Next Article in Journal
Development of Self-Cured Sustainable Concrete Using Local Water-Entrainment Aggregates of Vesicular Basalt
Next Article in Special Issue
The Influence of COVID-19 on Global CO2 Emissions and Climate Change: A Perspective from Malaysia
Previous Article in Journal
The Perception of Polish Business Stakeholders of the Local Economic Impact of Maritime Spatial Planning Promoting the Development of Offshore Wind Energy
Previous Article in Special Issue
Modeling Traffic Flow, Energy Use, and Emissions Using Google Maps and Google Street View: The Case of EDSA, Philippines
 
 
Font Type:
Arial Georgia Verdana
Font Size:
Aa Aa Aa
Line Spacing:
Column Width:
Background:
Article

Effects of Organic Solvents on the Organosolv Pretreatment of Degraded Empty Fruit Bunch for Fractionation and Lignin Removal

1
Department of Chemical Engineering, Lee Kong Chian Faculty of Engineering and Science, Universiti Tunku Abdul Rahman (UTAR), Jalan Sungai Long, Kajang 43000, Selangor, Malaysia
2
Centre for Photonics and Advanced Materials Research, Universiti Tunku Abdul Rahman (UTAR), Kampar 31900, Malaysia
3
Department of Chemical & Petroleum Engineering, Faculty of Engineering, Technology and Built Environment, UCSI University, Cheras 53000, Malaysia
4
China-UK Low Carbon College, Shanghai Jiao Tong University, Lingang, Shanghai 201306, China
*
Author to whom correspondence should be addressed.
Sustainability 2021, 13(12), 6757; https://doi.org/10.3390/su13126757
Submission received: 2 May 2021 / Revised: 25 May 2021 / Accepted: 29 May 2021 / Published: 15 June 2021
(This article belongs to the Special Issue Energy Development for Sustainability)

Abstract

Empty fruit bunch (EFB), which is one of the primary agricultural wastes generated from the palm oil plantation, is generally discharged into the open environment or ends up in landfills. The utilization of this EFB waste for other value-added applications such as activated carbon and biofuels remain low, despite extensive research efforts. One of the reasons is that the EFB is highly vulnerable to microbial and fungi degradation under natural environment owning to its inherent characteristic of high organic matter and moisture content. This can rapidly deteriorate its quality and results in poor performance when processed into other products. However, the lignocellulosic components in degraded EFB (DEFB) still largely remain intact. Consequently, it could become a promising feedstock for production of bio-products after suitable pretreatment with organic solvents. In this study, DEFB was subjected to five different types of organic solvents for the pretreatment, including ethanol, ethylene glycol, 2-propanol, acetic acid and acetone. The effects of temperature and residence time were also investigated during the pretreatment. Organosolv pretreatment in ethylene glycol (50 v/v%) with the addition of NaOH (3 v/v%) as an alkaline catalyst successfully detached 81.5 wt.% hemicellulose and 75.1 wt.% lignin. As high as 90.4 wt.% cellulose was also successfully retrieved at mild temperature (80 °C) and short duration (45 min), while the purity of cellulose in treated DEFB was recorded at 84.3%. High-purity lignin was successfully recovered from the pretreatment liquor by using sulfuric acid for precipitation. The amount of recovered lignin from alkaline ethylene glycol liquor was 74.6% at pH 2.0. The high recovery of cellulose and lignin in DEFB by using organosolv pretreatment rendered it as one of the suitable feedstocks to be applied in downstream biorefinery processes. This can be further investigated in more detailed studies in the future.

1. Introduction

Depletion of finite natural energy resources such as fossil fuel is one of the most actively debated topics recently. Lignocellulosic biomass as one of the most abundantly available resources has attracted intensive research over the years since 2008. Numerous lignocellulosic biomass, such as napier grass [1], corn stover [2], sugarcane bagasse, rice straw [3], sunflower stalk [4] and cotton stalk [5], have been constantly investigated by researchers for production of higher value bio-products such as biofuels. Indonesia and Malaysia are the major palm oil producers in the world, producing more than 85% of the global palm oil supply. During the palm oil production, the oil palm fruits are stripped from the fresh fruit bunch and thus enormous amounts of empty fruit bunch (EFB) will be generated as waste. It is conservatively estimated that the production of 1 ton of palm oil can generate as much as 1.05 tons of EFB [6]. Every year, both of the countries generate more than 60 million tons of EFB, which presents a huge burden to the environment [7]. Under optimal conditions, this EFB waste is reutilized as building blocks or composite for wooden furniture and bedding [8]. Another potential usage of EFB is being treated as solid fuel after energy densification processes such as torrefaction. Palm oil mills with substantial capacity usually resorted to combust EFB as solid fuel to generate energy for their own usage, which could partially offset the exorbitant energy cost.
There are several drawbacks related to electricity generation with EFB, such as considerable investment capital for smallholders to set up the necessary infrastructure and the high moisture content in the biomass, which renders it difficult to be stored for a pro-longed period. As a result, EFB is often discharged into the open environment or ends up in the landfills. Furthermore, EFB is an organic matter which is highly vulnerable to microbial and fungal attacks. This will cause its quality to degrade rapidly, especially in terms of physical appearances and chemical composition. Consequently, degraded EFB (DEFB) was seldom recycled and eventually disposed of into the environment, and left to decompose naturally. As a matter of fact, lignocellulosic content in DEFB has high potential for reutilization after undergoing appropriate pretreatment. These lignocellulosic materials can be fractionated and synthesized into higher value-added products such as biofuels, activated carbon or clean electricity generation from biohydrogen [9,10]. These can effectively improve the commercial value of EFB and diversify the sources of income for the palm oil industry in addition to the principal income derived from the conventional production of palm oil.
Generally, pretreatment for biomass is applied to destroy the barrier or reduce the recalcitrance of lignocellulosic biomass towards the subsequent conversion reaction [11]. Organosolv pretreatment, which applied organic solvents to pretreat lignocellulosic biomass, is one of the promising pretreatments in the presence or absence of catalyst at elevated temperature (80 to 200 °C) for short duration (30 to 120 min). Organosolv pretreatment has several advantages in pretreating the lignocellulosic biomass compared to acidic or alkaline hydrothermal pretreatment. It is able to obtain a very distinctive separation of high-purity cellulose content from the rest of the lignocellulosic components, such as lignin and hemicellulose. Furthermore, it can produce high-quality lignin which can be recovered from its pretreatment liquor. The lignin can be further processed into other bio-products which helps to minimize the waste generation and fulfills the circular economy concept [12]. Several prominent solvents used in the organosolv pretreatment are ethanol, acetic acid, acetone, glycerol and γ-valerolactone (GVL) [13]. Smit and Huijgen fractionated corn stover by using 50 wt.% acetone in the presence of sulfuric acid [2]. The acidified acetone pretreatment was conducted at 140 °C for 120 min. The treated corn stover was delignified at 81.5% with high hemicellulose removal of 91.5%. The treated corn stover also achieved high cellulose recoverability at 89.3%. Wu et al. successfully performed the organosolv pretreatment for cotton stalk using GVL as a solvent [5]. They discovered that the lignin obtained after the pretreatment contained higher yields and purity due to the higher degree of repolymerization and degradation.
From the literature, there were a lot of studies being conducted using fresh EFB [6,8,9,10]. However, relevant scientific studies which used DEFB for pretreatment are still very rare, despite its existence in large quantity in the industry, to the best of our knowledge. Therefore, this study aims to apply suitable pretreatment to the DEFB produced from the palm oil industry to uncover its potential as feedstock for the production of other bio-products from the recovered lignin and cellulose content. As an extension of our previous works [6,14], five different organic solvents were applied in this study, including ethanol, ethylene glycol, 2-propanol, acetic acid and acetone. Each of these solvents was chosen based on their different characteristics, which might provide different solvation effects during the pretreatment. The effects of temperature and residence time were also investigated for the most effective organosolv pretreatment against delignification, hemicellulose removal and cellulose recovery. The dissolved lignin was also isolated and recovered by acidification of the pretreatment liquor [15,16]. In order to understand the influences of pH to the amount of condensed lignin from the pretreatment liquor, sulfuric acid was used to acidify the pretreatment liquor. The effect of this organosolv pretreatment towards DEFB is still relatively lacking in the literature and thus the results presented in this study would be useful to provide the essential scientific information for future organosolv pretreatment studies on DEFB.

2. Materials and Methods

2.1. Preparation of Feedstock

DEFB and fresh EFB were obtained from an oil palm plantation estate in Segamat, Malaysia. Prior to the collection, fresh EFB was left in the open field for two weeks to allow natural degradation to take place in order to obtain DEFB. The average humidity is estimated at about 80%, which helps to promote the microbial and fungal attacks from the oil palm plantation through a series of enzymatic and oxidation reactions. DEFB and fresh EFB were cut into pieces with length less than 5 cm and washed thoroughly with distilled water several times in order to remove the dirt and contaminants. Subsequently, the cleaned fresh EFB and DEFB were dried in a hot air oven (Mermert, Schwabach, Germany) at 105 °C overnight until constant weight was obtained. The dried fresh EFB and DEFB were ground with a mechanical grinder to reduce the particle size to powder form. The ground fresh EFB and DEFB in powder form were then sieved with No. 20 mesh size in order to maintain uniform particle size. Finally, the samples were kept in resealable containers inside a desiccator prior to the pretreatment. The lignocellulosic compositions for both the DEFB and fresh EFB were characterized and compared in Figure 1. The schematic experimental flowchart for the entire experimental work in this study is shown in Figure 2.

2.2. Pretreatment with Different Organic Solvents

A predetermined amount of powdered fresh EFB and DEFB (10 w/v%) was treated with a total of five different organic solvents, including ethanol, ethylene glycol, 2-propanol, acetic acid and acetone. For all organic solvents, 30 v/v% solvent concentration was used to pretreat the DEFB at 80 °C for 30 min based on the parameters from the previous works [6,14]. The dried and treated DEFB was repeatedly filtered and cleaned with distilled water until no more solvent was detected in the effluent. Subsequently, the biomass was dried in the hot air oven (Mermert, Schwabach, Germany) at 105 °C overnight. The dried and treated DEFB was then subjected to compositional analysis and characterization tests. Each of the experimental runs were repeated thrice to determine the variability of the data.

2.3. Pretreatment of DEFB with Ethylene Glycol Assisted by NaOH

Two primary factors including reaction temperature and pretreatment duration were studied for alkaline pretreatment of DEFB using ethylene glycol based on the best results obtained from Section 2.2. For the effect of reaction temperature, 10 w/v% of a predetermined amount DEFB sample was subjected to pretreatment with the concentration of ethylene glycol at 50 v/v% and addition of NaOH as the alkaline catalyst (3 v/v%) at temperature from 60 to 140 °C for 30 min. Treated DEFB was washed with distilled water and filtered repeatedly to remove all the pretreatment liquor. Afterwards, it was dried at 105 °C overnight to remove all the excess water and solvent in the sample. The pretreatment and washing steps were performed repeatedly with different pretreatment durations from 15 to 75 min under the same solvent and catalyst concentrations. For the temperature and residence time parameter study, the dried DEFB was then subjected to compositional analysis to evaluate the pretreatment performances in terms of cellulose recovery, delignification and hemicellulose removal. Each of the experimental runs were repeated thrice to determine the variability of the data.

2.4. Precipitation of Lignin from the Pretreatment Liquor by Using Acidification

Alkaline ethylene glycol pretreatment was conducted at optimum conditions according to Section 2.3 to produce sufficient amounts of pretreatment liquor in order to study the effects of pH toward the amount of precipitated lignin. All pretreatment liquors were collected immediately upon the completion of the pretreatment. The collected pretreatment liquors were kept in the cold storage at 4 °C to preserve the samples before their pH values were measured from the produced pretreatment liquors. The initial pH of pretreatment liquors from the alkaline ethylene glycol pretreatment was in the range of 12.3 to 12.5. Sulfuric acid with 5.0 mol/L concentration was slowly added in order to acidify the pretreatment liquor until the designated pH values from 6.5 to 2.0 were obtained. The acidified pretreatment liquor was subsequently washed thoroughly and filtered under vacuum several times in order to recover all the precipitated lignin. The precipitated lignin was then dried in the hot air oven (Mermert, Germany) at 105 °C overnight until constant weight was obtained.

2.5. Compositional Analysis of Fresh EFB and DEFB

Untreated and treated fresh EFB and DEFB were subjected to compositional analysis. For composition of cellulose and hemicellulose in the substrate, they were determined according to TAPPI T203 cm-09. For total lignin content, the Klason lignin was quantified by using the Klason method while the acid soluble lignin from the Klason lignin test and the depolymerized lignin in pretreatment liquor were measured with a UV-Vis spectrophotometer (Agilent, Cary 100, Selangor, Malaysia) at 215 and 280 nm wavelength [14]. The ash and extractives content in the substrate were determined with TAPPI T211 om-02 and TAPPI T204 cm-97, respectively.

2.6. Equipment Characterizations

Scanning electron microscopy (SEM) was conducted using the model Hitachi, S-3400N, Japan, to obtain the surface morphology of the treated, untreated DEFB and fresh EFB, with 500× magnifications, non-destructively. FTIR (Thermo-Fisher, Nicolet IS-10, Selangor, Malaysia) was used to analyze the chemical bonding of the related substrate by using the wavelength range from 500 to 4000 cm−1.

3. Results and Discussion

3.1. Effects of Different Organic Solvents on Fresh EFB and DEFB

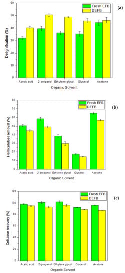
Both the fresh EFB and DEFB were used as substrates and subjected to organosolv pretreatment in order to study the substrate effects on the pretreatment performances. Five different organic solvents, including acetic acid, 2-propanol, ethylene glycol, glycerol and acetone, were investigated, as shown in Figure 3. For fair comparison, the organosolv pretreatment was conducted with different organic solvents in fixed conditions based on the previous works: 30 v/v% concentration at 80 °C for 30 min under 10 w/v% mass loading.
As shown in Figure 3, the pretreatment with DEFB was able to achieve moderately higher delignification but lower hemicellulose removal compared to fresh EFB for all the organic solvents investigated. Furthermore, DEFB also achieved slightly lower cellulose recovery. The degradation process by the microbial action on the DEFB when left in open environment had helped to loosen up the lignocellulosic structure. This would increase its surface area which was exposed to the pretreatment environment. Higher surface area of DEFB also resulted in it being more susceptible to chemical attacks, which enhanced the delignification and degradation of cellulose.
In terms of delignification, 2-propanol was able to achieve the highest delignification at 50.6% for DEFB, while acetone recorded the highest delignification at 44.4% for fresh EFB. The mechanism of lignin depolymerization through the action of major organic solvents was mainly through the cleavage of aryl ether linkages [17]. The highest delignification achieved by 2-propanol could be attributed to its closer Hildebrand solubility parameter (23.8 MPa−1) with lignin, which was estimated to have a value of 22.5 MPa−1 [13]. Hildebrand solubility parameter is a square root of the cohesive energy density and is often used to gauge the solvency behavior of the solvents. It was advocated that the smaller difference in Hildebrand solubility parameter between organic solvent and lignin would result in the largest possible solubility [18,19]. It could be evidently observed that the decrement of delignification was in accordance with the increasing differences between the Hildebrand solubility of organic solvents and lignin, except for acetic acid (acetone 20.5 MPa−1, ethylene glycol 32.8 Mpa−1, glycerol 33.8 MPa−1). Low delignification was reported for acetic acid despite its close Hildebrand solubility parameter with lignin. The possible reasons could be due to the lower concentration and milder temperature applied, which led to insufficient cleavage of the lignin. Tang et al. studied the organosolv pretreatment with different acetic acid concentrations in the presence of 0.7 wt.% sulfuric acid for tea oil fruit hull under the same operating conditions (135 °C for 30 min) [20]. The delignification was improved by more than 5-fold, from 11.9% to 67.1%, when the acetic acid concentration was increased from 20 to 60 wt.%. This indicated that the delignification performance of acetic acid was strongly affected by its concentration.
On the other hand, the percentage of hemicellulose removal for different organic solvents was recorded in the following sequence (from highest to lowest), regardless of fresh EFB and DEFB: acetone > 2-propanol > acetic acid > ethylene glycol > glycerol. Increasing hydroxyl functional groups in the organic solvent did not favor the hemicellulose hydrolysis since 2-propanol recorded 50% while glycerol only recorded 15% hemicellulose removal. Generally, acid catalyst was able to facilitate the hemicellulose hydrolysis more efficiently and achieved higher removal of hemicellulose [21]. It was interesting to report that acetic acid merely recorded 44% hemicellulose hydrolysis, which was lower as compared to 2-propanol and acetone. This could be due to the lower concentration of acetic acid being applied in this study, which could result in a smaller amount of H+ ions being dissociated. The fact that acetic acid is a weak organic acid compared to sulfuric acid further strengthens this theory. Similar to delignification, Tang et al. reported that the hemicellulose was only effectively removed under higher acetic acid concentrations [20]. Hemicellulose hydrolysis was substantially improved from 9.0% to 81.2% when the concentration of acetic acid was increased from 20 to 60 wt.% under the same operating conditions. On the other hand, glycerol recorded the lowest hemicellulose hydrolysis as compared to other organic solvents. It was reported that glycerol was ineffective in hemicellulose hydrolysis, where large amounts of hemicellulose would be retained in the treated pulp after the pretreatment [22,23]. Lv et al. performed the pretreatment for sugarcane bagasse with 80 wt.% glycerol at 130 °C for 60 min. Their study merely recorded 8.7% of hemicellulose removal [23]. In another similar work, Phi Trinh et al. observed that the continuous increment of 70 wt.% glycerol pretreatment temperature (130–210 °C) was not effective in removing hemicellulose, which only recorded the removal in the range of 6.1–14.0% [22].
The surface morphology of treated DEFB by different organic solvents is shown in Figure 4. The SEM images agree with the pretreatment performances reported in Figure 3. Large opened and deepened line structures were observed for treated DEFB by 2-propanol and acetone, which indicated that substantial lignin and hemicellulose content had been removed. Numerous opened structures were also prevalently observed on the surface of DEFB treated with acetic acid. However, the surface was relatively smooth, which implied that the lignin was removed to a relatively smaller extent. Similar surface morphology was also observed for ethylene glycol, where numerous pores were formed and silica bodies were removed. The enlargement of the pores showed that the delignification process took place through the pores’ enlargement and swelling as the delignification intensified. DEFB treated with glycerol had a relatively smooth surface as compared to DEFB treated with ethylene glycol, which could be due to its lower hemicellulose removal. Despite that similar opened surface structures were observed for DEFB treated with glycerol, the opened structures were relatively less obvious since glycerol only removed a smaller amount of lignin and hemicellulose.
The FTIR spectrum of DEFB treated with different organic solvents in the range of 500 to 4000 cm−1 is shown in Supplementary Figure S1. As compared to FTIR spectrum of untreated DEFB, the reduction of intensity of the absorbance peak at 2850 cm−1 was observed for all organic solvents. The absorbance peak at 2850 cm−1 represents the acetyl group of hemicellulose or the methyl oxide group of lignin [24], which indicated that all the tested organic solvents were able to remove considerable amounts of lignin or hemicellulose. Since organic solvents including 2-propanol and acetone were able to remove significant amounts of lignin and hemicellulose, the absorbance peak at 3330 cm−1, which corresponded to the hydrogen bond or hydroxyl of cellulose [25], was shown to be intensified. The intensification of the peak indicated the removal of lignin and hemicellulose content, which ramified the exposure of cellulose.

3.2. Effects of Reaction Temperature for Organosolv Pretreatment

The alkaline pretreatment of DEFB was conducted with 50 v/v% ethylene glycol and addition of 3 v/v% sodium hydroxide as the catalyst. The operating temperature of the pretreatment varied from 60 to 140 °C for 30 min. From Figure 5, it was evident that the pretreatment temperature significantly affected the degree of delignification. As the pretreatment temperature increased from 60 to 140 °C, the delignification recorded improvement from 56.1% to 71.5%. Higher pretreatment temperature could provide more energy to facilitate the cleavage of lignin bonds, which led to higher delignification. On the other hand, when the temperature was increased from 60 to 140 °C, the hemicellulose removal from DEFB also increased, from 52% to 78.0%, which was a similar trend to the delignification. The addition of alkaline catalyst was able to promote the cleavage of the glycosidic linkages between the hemicellulose and benzyl ester [22]. The cellulose recovery was diminished to 78.5%, down from the previous 92%, when the pretreatment temperature was increased from 60 to 140 °C Higher pretreatment temperature could lead to more intensive cleavage of the glycosidic bonds in cellulose. Lv et al. demonstrated that the addition of a suitable alkaline catalyst was able to significantly improve the delignification [23]. They conducted two types of glycerol pretreatments to treat sugarcane bagasse, with one scenario using 0.8 wt.% sodium methoxide and another without the addition of any catalyst [23]. The glycerol pretreatment with sodium methoxide achieved 70.4% delignification, while the glycerol pretreatment without any catalyst merely recorded 19.1% delignification.
It was generally hypothesized that the increasing pretreatment temperature would encourage the destruction of glycosidic linkages in the biomass structure connecting the cellulose and hemicellulose content. Nevertheless, it was interesting to take note that the degree of delignification at higher temperature did not improve significantly based on the comparison of the initial composition of the DEFB shown in Table 1 and the results obtained in Figure 5. A closer observation revealed that there was no significant reduction of lignin content for the composition of treated pulp when the temperature was varied from 100 to 140 °C. Similarly, the cellulose content in the treated DEFB did not exhibit any improvement either. By observing the lignocellulosic composition in Table 1, composition of all components remained almost similar in the temperature range investigated, which insinuated that all the compositions were being detached simultaneously at the same rate. It could also be due to the high exposure of treated DEFB to the pretreatment environment after significant lignin content was removed. Ideally, satisfactory pretreatment performances by organosolv pretreatment should preferentially remove the lignin and hemicellulose content only, while recovering as much cellulose content as possible with high purity. Consequently, the optimum pretreatment temperature at 80 °C was fixed for the subsequent experimental investigations based on the best pretreatment results obtained, which recorded the lignin composition at 11.9%, 90.8% cellulose recovery and 70.4% hemicellulose removal. By comparing to the acidified ethylene glycol pretreatment, ethylene glycol pretreatment assisted by NaOH catalyst in this study successfully obtained high delignification percentage at lower temperature (80 °C), albeit it required a longer pretreatment period. The longer pretreatment duration could be attributed to the DEFB, which had higher lignin content as compared to newspaper in a similar study conducted by Lee and co-workers, where they applied the ethylene glycol with sulfuric acid to pretreat the newspaper. The acidified ethylene glycol pretreatment was conducted at 150 °C for short duration (15 min) and the delignification was recorded at 75% [26].
Figure 6a–c demonstrates the surface characteristics of the treated DEFB at 60, 80 and 120 °C. From the figures shown, the surface structures were observed to be severely cracked open with prevalence of rough surfaces at higher temperatures, which proved the successful detachment of lignin and hemicellulose from DEFB. However, excessive high pretreatment temperature can be detrimental to the pretreatment efficiency since it will cause higher loss of cellulose during the pretreatment. As shown in Figure 6c, at 120 °C, the surface morphology was significantly disrupted, and the internal structures were widely exposed. This could explain the reasons behind the low cellulose recovery after 120 °C. The larger exposure of the internal structure to the pretreatment environment could induce more severe bond cleavage.
Supplementary Figure S2 shows the FTIR of treated DEFB at 60, 80 and 120 °C, as well as untreated DEFB. FTIR results show that the reduction in absorbance peak intensity at 1243 cm−1 (C-O-C aryl alkyl ether of lignin), 1630 cm−1 (C=C aromatic group of lignin) [27] and 2850 cm−1 (OCH3 group of lignin) indicated that a higher amount of lignin was removed with increasing temperature. This was in agreement with the higher delignification results being reported in the previous pretreatment performance. The reduction of 1243 and 1735 cm−1 peak intensities coupled with the reduction in absorbance peak at 2850 cm−1 represented the removal of hemicellulose during the pretreatment. The increment in absorbance of peak intensity at 3330 cm−1 indicated higher exposure of cellulose with higher pretreatment temperature, which was in agreement with the surface morphology observed with SEM characterization. This could also be explained as the reason for lower cellulose recovery being reported at 100–120 °C.

3.3. Effects of Duration Time for Organosolv Pretreatment

The effects of residence time are shown in Figure 7, while the composition of treated DEFB at different residence times is shown in Table 2. Initially, the increased residence time of pretreatment from 15 to 45 min improved the delignification from 63.1% to 75.1%. However, the delignification reduced slightly to 72.8% as the pretreatment residence time was further increased to 75 min. The removal of hemicellulose was discovered to increase significantly from 53.2% to 85.2% when the residence time of pretreatment was increased from 15 to 75 min. This resulted in the decrement of hemicellulose content from 6.10% to 1.39%. On the other hand, the cellulose recovery was only affected minimally, even though the residence time was further prolonged from 15 to 75 min. The cellulose recovery was recorded at 91.8% for 15 min, while the recovery was only 88.0% for 75 min. By comparing the results from Section 3.2 and Section 3.3, it seems that prolonged pretreatment time had a milder influential effect on cellulose recovery as compared to pretreatment temperature. However, low reduction of cellulose recovery with extended residence time could be due to the lower operating temperature (80 °C) applied to the pretreatment. This was in agreement with a similar work in the literature, where the cellulose recovery was found to reduce from 93.1% to 85.6%, even though the residence time for the pretreatment was prolonged from 30 to 90 min at the same temperature as in this work. However, when the pretreatment was conducted at 140 °C with the same residence time range, the reduction of recoverable cellulose content became very significant. At this high temperature, it reported a cellulose recovery reduction of 46.1% to 35.7% [28]. Therefore, it can be concluded that the operating temperature for the pretreatment played a dominant role in determining the cellulose yield. Consequently, this study chose the residence time of 45 min since it recorded the highest cellulose purity of treated DEFB at 84.5%, lignin removal efficiency at 75.1%, hemicellulose removal up to 81.5% and recovery of cellulose at 90.4%.
Figure 8a–c shows the SEM images of treated DEFB, which revealed its surface morphology after the designated pretreatment duration. Increased pretreatment residence time led to higher uneven and opened surface structures, as shown on treated DEFB. This showed that both the lignin and hemicellulose content were removed or cleaved after the pretreatment. Supplementary Figure S3 shows the FTIR spectrum of treated DEFB at different pretreatment residence times (15, 45 and 75 min) and untreated DEFB for comparison. FTIR analysis indicated that increasing pretreatment residence time successfully improved the delignification due to the reduction in intensity of the absorbance peaks observed at 1243, 1630 and 2850 cm−1. Similarly, peaks at 1735 and 2850 cm−1, which represented hemicellulose bonding, were reduced. In addition, the increased intensity of absorbance peaks at 3330 and 1157 cm−1 signified that increased pretreatment time enhanced the exposure of cellulose. The continuous removal of lignin and hemicellulose resulted in the higher exposure of cellulose. However, similar to temperature, increasing the pretreatment residence time would result in a higher degradation of the cellulose.

3.4. Comparison of Different Pretreatments with That in This Study

Table 3 shows the comparison of pretreatment performances of different pretreatments in the literature with that in this study. As compared to other pretreatments, the alkaline ethylene glycol pretreatment that was applied in this study was capable to achieve comparable and effective pretreatment performances with lower pretreatment temperatures and shorter duration. The comparable pretreatment performances indicated the effectiveness of alkaline organosolv pretreatment to remove the lignin and hemicellulose but retain significant amounts of cellulose. Furthermore, the pretreatment in this study was performed below 100 °C, which removed the requirement of a pressurized reactor which can minimize the initial capital cost for industrial-scale production.

3.5. Lignin Precipitation from Spent Pretreatment Liquor after Organosolv Pretreatment

Acidification of pretreatment liquor is commonly applied to precipitate and recover the lignin which dissolved in the pretreatment liquor. The amount of precipitated lignin and its corresponding purity at different pH values is shown in Figure 9. Decreasing pH was found to improve the amount of precipitated lignin. From Figure 9, it shows that the lignin recovery increased significantly from 47.7% to 74.6% at pH 6.5 and pH 2.0, respectively. The purity of the precipitated lignin was measured between 94.5% and 97.2%, while the rest consisted of a hemicellulose component which was still attached together with the lignin due to the lignin–hemicellulose bonding, which remained intact [33]. Mussatto et al., who performed a similar study in the literature, investigated the delignified brewer’s spent grain as the feedstock with sodium hydroxide as the alkaline catalyst to recover its precipitated lignin [15]. They successfully precipitated up to 81.4% of lignin content at pH 2.15, compared to this study, which recorded 74.6% recoverable lignin content at pH 2.0. This difference might be caused by the intrinsic phenolic composition in the different feedstock which resulted in different lignin precipitation rates. Furthermore, Supplementary Figure S4 shows the color of the pretreatment liquor after the removal of precipitated lignin from the acidified pretreatment liquor. It could be observed that the color changed significantly from dark brown to light brown when the pH was reduced from pH 6.5 to pH 2.0. The color change advocated that the dark brown color was derived from the chromophore of lignin, such as phenolic hydroxyl groups, carbonyl groups and quinones, which are generally soluble in alkaline medium [34]. Therefore, the color change corresponded to the higher amount of precipitated lignin being recorded. Depolymerized lignin from the pretreatment was able to be recovered in huge amounts from the pretreatment liquor, which signified the sustainability of organosolv pretreatment and reduced the wastage from the production. This was also in line with the findings from Lauwaert et al. [16]. The color of black liquor was reduced upon acidification and yielded light brown precipitate, which represented the recovered lignin at pH 5.2. Generally, the lignin that is recovered from organosolv liquor has a very high reutilization potential due to the negligible sulfur content, which will reduce the environmental pollution. The recovered lignin from organosolv pretreatment liquor can be incorporated or synthesized into composites, bioplastics, nanoparticles, dispersants, adsorbents and carbon fibers [35].

4. Conclusions

This study successfully demonstrated that the DEFB could be a promising low-cost feedstock for various applications due to its high lignocellulosic content, which was still preserved even after microbial degradation. In fact, the DEFB possessed a more open and deepened surface structure, as evidenced from the SEM characterizations. Its high cellulose content, which was recoverable up to 55.9% by weight, could be a potential source for biofuel production. The comparison between different organic solvents during the pretreatment proved that ethylene glycol was the best solvent for DEFB. Under the designated ethylene glycol pretreatment with addition of sodium hydroxide as the alkaline catalyst, 75.1% of lignin and 81.5% of hemicellulose contents were successfully removed, while at the same time, 90.4% of cellulose content was recovered. Its cellulose purity was enhanced from 55.9% in fresh EFB to 84.5% in treated DEFB, which rendered the DEFB to be suitable for utilization as a substrate for the subsequent hydrolysis process. The next phase of research will be to evaluate the conversion of the extracted cellulose into sugar before being subjected to enzymatic processes to produce bioethanol. Last but not least, addition of sulfuric acid was able to precipitate the lignin from the pretreatment liquor of DEFB, which enhanced the practicability of organosolv pretreatment. In this study, the optimum lignin recovery was obtained at 74.6% at pH 2.0. Further analysis could be performed in the future to upgrade the recovered lignin into more usable bio-products such as bioplastics, adsorbents and other specialty chemicals through a consolidated bioprocess.

Supplementary Materials

The following are available online at https://www.mdpi.com/article/10.3390/su13126757/s1.

Author Contributions

Conceptualization, D.W.K.C. and S.L.; methodology, D.W.K.C. and S.L.; validation, Y.L.P. and C.H.L.; formal analysis, D.W.K.C. and S.L.; investigation, D.W.K.C. and S.H.S.; resources, K.M.L. and C.T.C.; writing—original draft preparation, D.W.K.C., S.L. and Y.L.P.; writing—review and editing, C.H.L., S.H.S., K.M.L. and C.T.C.; supervision, S.L. and Y.L.P.; funding acquisition, S.L. and Y.L.P. All authors have read and agreed to the published version of the manuscript.

Funding

This research was funded by the Fundamental Research Grant Scheme (FRGS/1/2018/TK10/UTAR/02/1) from the Ministry of Education, Malaysia, and the Universiti Tunku Abdul Rahman Research Grant (IPSR/RMC/UTARRF/2020-C2/W01).

Institutional Review Board Statement

Not Applicable.

Informed Consent Statement

Not Applicable.

Data Availability Statement

All the data is available inside this paper and in the supplementary figures.

Conflicts of Interest

The authors declare no conflict of interest. The funders had no role in the design of the study; in the collection, analyses, or interpretation of data; in the writing of the manuscript, or in the decision to publish the results.

References

  1. Chin, D.W.K.; Lim, S.; Pang, Y.L.; Wong, K.H. Application of organosolv pretreatment on Pennisetum Purpureum for lignin removal and cellulose recovery. In Proceedings of the 2017 4th International Conference on Biomedical and Bioinformatics Engineering, Seoul, Korea, 12–14 November 2017; pp. 84–89. [Google Scholar]
  2. Smit, A.T.; Huijgen, W.J.J. Effective fractionation of lignocellulose in herbaceous biomass and hardwood using a mild acetone organosolv process. Green Chem. 2017, 22, 5505–5514. [Google Scholar] [CrossRef]
  3. Morone, A.; Pandey, R.A.; Chakrabarti, T. Evaluation of OrganoCat process as a pretreatment during bioconversion of rice straw. Ind. Crops Prod. 2017, 77, 7–18. [Google Scholar] [CrossRef]
  4. Hesami, S.M.; Zilouei, H.; Karimi, K.; Asadineshad, A. Enhanced biogas production from sunflower stalks using hydrothermal and organosolv pretreatment. Ind. Crops Prod. 2015, 76, 449–455. [Google Scholar] [CrossRef]
  5. Wu, M.; Liu, J.K.; Yan, Z.Y.; Wang, B.; Zhang, X.M.; Feng, X.; Sun, R.C. Efficient recovery and structural characterization of lignin from cotton stalk based on a biorefinery process using a γ-valerolactone/water system. RSC Adv. 2016, 6, 6196–6204. [Google Scholar] [CrossRef]
  6. Chin, D.W.K.; Lim, S.; Pang, Y.L.; Leong, L.K.; Lim, C.H. Investigation of organosolv pretreatment to natural microbial-degraded empty fruit bunch for sugar based substrate recovery. Energy Procedia 2019, 158, 1065–1071. [Google Scholar] [CrossRef]
  7. Wong, W.Y.; Lim, S.; Pang, Y.L.; Shuit, S.H.; Chen, W.H.; Lee, K.T. Synthesis of renewable heterogeneous acid catalyst from oil palm empty fruit bunch for glycerol-free biodiesel production. Sci. Total Environ. 2020, 727, 138534. [Google Scholar] [CrossRef] [PubMed]
  8. Zhang, K.; Pei, Z.J.; Wang, D.H. Organic solvent pretreatment of lignocellulosic biomass for biofuels and biochemicals: A review. Bioresour. Technol. 2016, 199, 21–33. [Google Scholar] [CrossRef] [PubMed]
  9. Mahmood, H.; Moniruzzaman, M.; Igbal, T.; Khan, M.J. Recent advances in the pretreatment of lignocellulosic biomass for biofuels and value-added products. Curr. Opin. Green Sustain. Chem. 2019, 20, 18–24. [Google Scholar] [CrossRef]
  10. Thoresen, P.P.; Matsakas, L.; Rova, U.; Christakopoulos, P. Recent advances in organosolv fractionation: Towards biomass fractionation technology of the future. Bioresour. Technol. 2020, 306, 123189. [Google Scholar] [CrossRef] [PubMed]
  11. Guo, Y.; Zhou, J.; Wen, J.; Sun, G.; Sun, Y. Structural transformations of triploid of Populus tomentosa Carr. lignin during auto-catalyzed ethanol organosolv pretreatment. Ind. Crops Prod. 2015, 75, 522–529. [Google Scholar] [CrossRef]
  12. Karnaouri, A.; Asimakopoulou, G.; Kalogiannis, K.G.; Lappas, A.; Topakas, E. Efficient d-lactic acid production by Lactobacillus delbrueckii subsp. bulgaricus through conversion of organosolv pretreated lignocellulosic biomass. Biomass Bioenergy 2020, 140, 105672. [Google Scholar] [CrossRef]
  13. Chin, D.W.K.; Lim, S.; Pang, Y.L.; Lam, M.K. Fundamental review of organosolv pretreatment and its challenges in emerging consolidated bioprocessing. Biofuel Bioprod. Biorefin. 2020, 14, 808–829. [Google Scholar] [CrossRef]
  14. Chin, D.W.K.; Lim, S.; Pang, Y.L.; Lim, C.H.; Lee, K.M. Two-staged acid hydrolysis on ethylene glycol pretreated degraded oil palm empty fruit bunch for sugar based substrate recovery. Bioresour. Technol. 2019, 292, 121967. [Google Scholar] [CrossRef]
  15. Mussatto, S.I.; Fernandes, M.; Roberto, I.C. Lignin recovery from brewer’s spent grain black liquor. Carbohydr. Polym. 2007, 70, 218–223. [Google Scholar] [CrossRef]
  16. Lauwaert, J.; Stals, I.; Lancefield, C.S.; Deschaumes, W.; Depuydt, D.; Vanlerberghe, B.; Devlamynck, T.; Bruijnincx, P.C.A.; Verberckmoes, A. Pilot scale recovery of lignin from black liquor and advanced characterization of the final product. Sep. Purif. Technol. 2019, 221, 226–235. [Google Scholar] [CrossRef]
  17. Zhou, X.; Ding, D.; You, T.; Zhang, X.; Takabe, K.; Xu, F. Synergetic dissolution of branched xylan and lignin opens the way for enzymatic hydrolysis of poplar cell wall. J. Agric. Food Chem. 2018, 66, 3449–3456. [Google Scholar] [CrossRef]
  18. Zhang, Z.; Harrison, M.D.; Rackemann, D.W.; Doherty, W.O.S.; O’Hara, I.M. Organosolv pretreatment of plant biomass for enhanced enzymatic saccharification. Green Chem. 2016, 20, 360–381. [Google Scholar] [CrossRef]
  19. Sameni, J.; Krigstin, S.; Sain, M. Acetylation & lignin solubility. Bioresources 2017, 12, 1548–1565. [Google Scholar]
  20. Tang, S.; Liu, R.; Sun, F.F.; Dong, C.; Wang, R.; Gao, Z.; Zhang, Z.; Xiao, Z.; Li, C.; Li, H. Bioprocessing of tea oil fruit hull with acetic acid organosolv pretreatment in combination with alkaline H2O2. Biotechnol. Biofuels 2017, 10, 1–12. [Google Scholar] [CrossRef]
  21. Oliva, A.; Tan, L.C.; Papirio, S.; Esposito, G.; Lens, P.N.L. Effect of methanol-organosolv pretreatment on anaerobic digestion of lignocellulosic materials. Renew. Energy 2021, 169, 1000–1012. [Google Scholar] [CrossRef]
  22. Phi Trinh, L.T.; Lee, J.W.; Lee, H.J. Acidified glycerol pretreatment for enhanced ethanol production from rice straw. Biomass Bioenergy 2016, 94, 39–45. [Google Scholar] [CrossRef]
  23. Lv, X.; Lin, J.; Luo, L.; Zhang, D.; Lei, S.; Xiao, W.; Xu, Y.; Gong, Y.; Liu, Z. Enhanced enzymatic saccharification of sugarcane bagasse pretreated by sodium methoxide with glycerol. Bioresour. Technol. 2018, 249, 226–233. [Google Scholar] [CrossRef]
  24. Banerjee, D.; Mukherjee, S.; Pal, S.; Khowala, S. Enhanced saccharification efficiency of lignocellulosic biomass of mustard stalk and straw by salt pretreatment. Ind. Crops Prod. 2016, 80, 42–49. [Google Scholar] [CrossRef]
  25. Avanthi, A.; Banerjee, D. A strategic laccase mediated lignin degradation of lignocellulosic feedstocks for ethanol production. Ind. Crops Prod. 2016, 92, 174–185. [Google Scholar] [CrossRef]
  26. Lee, D.H.; Cho, E.Y.; Kim, C.J.; Kim, S.B. Pretreatment of waste newspaper using ethylene glycol for bioethanol production. Biotechnol. Bioprocess Eng. 2010, 15, 1094–1101. [Google Scholar] [CrossRef]
  27. Patowary, D.; Baruah, D.C. Effect of combined chemical and thermal pretreatments on biogas production from lignocellulosic biomasses. Ind. Crops Prod. 2018, 124, 735–746. [Google Scholar] [CrossRef]
  28. Sun, S.N.; Chen, X.; Tao, Y.H.; Cao, F.X.; Li, M.F.; Wen, J.L.; Nie, S.X.; Sun, R.C. Pretreatment of Eucalyptus urophylla in γ-valerolactone/dilute acid system for removal of non-cellulosic components and acceleration of enzymatic hydrolysis. Ind. Crops Prod. 2019, 132, 21–28. [Google Scholar] [CrossRef]
  29. Mondylaksita, K.; Ferreira, J.A.; Millati, R.; Budhijanto, W.; Niklasson, C.; Taherzadeh, M.J. Recovery of high purity lignin and digestible cellulose from oil palm empty fruit bunch using low acid-catalyzed organosolv pretreatment. Agronomy 2020, 10, 674. [Google Scholar] [CrossRef]
  30. Kim, D.Y.; Kim, Y.S.; Kim, T.H.; Oh, K.K. Two-stage, acetic acid-aqueous ammonia, fractionation of empty fruit bunches for increased lignocellulosic biomass utilization. Bioresour. Technol. 2016, 199, 121–127. [Google Scholar] [CrossRef]
  31. Akhtar, J.; Idris, A. Oil palm empty fruit bunches a promising substrate for succinic acid production via simultaneous saccharification and fermentation. Renew. Energy 2017, 114, 917–923. [Google Scholar] [CrossRef]
  32. Tan, Y.T.; Ngoh, G.C.; Chua, A.S.M. Evaluation of fractionation and delignification efficiencies of deep eutectic solvents on oil palm empty fruit bunch. Ind. Crops Prod. 2018, 123, 271–277. [Google Scholar] [CrossRef]
  33. Giummarella, N.; Pu, Y.Q.; Ragauskas, A.J.; Lawoko, M. A critical review on the analysis of lignin carbohydrate bonds. Green Chem. 2019, 20, 1573–1595. [Google Scholar] [CrossRef]
  34. Fengel, D.; Wegener, G. Wood: Chemistry, ultrastructure, reactions. J. Polym. Sci. 1985, 23, 601–602. [Google Scholar]
  35. Norgen, M.; Edlund, H. Lignin: Recent advances and emerging applications. Curr. Opin. Colloid Interface Sci. 2014, 19, 409–416. [Google Scholar] [CrossRef]
Figure 1. Lignocellulosic composition of fresh EFB and DEFB.
Figure 1. Lignocellulosic composition of fresh EFB and DEFB.
Sustainability 13 06757 g001
Figure 2. Schematic experimental flow of organosolv pretreatment.
Figure 2. Schematic experimental flow of organosolv pretreatment.
Sustainability 13 06757 g002
Figure 3. Pretreatment performances, including (a) delignification, (b) hemicellulose removal and (c) cellulose recovery of different organic solvents (acetic acid, 2-propanol, ethylene glycol, glycerol and acetone).
Figure 3. Pretreatment performances, including (a) delignification, (b) hemicellulose removal and (c) cellulose recovery of different organic solvents (acetic acid, 2-propanol, ethylene glycol, glycerol and acetone).
Sustainability 13 06757 g003
Figure 4. Surface morphology of DEFB treated with (a) 2-propanol, (b) acetic acid, (c) acetone, (d) ethylene glycol and (e) glycerol under 500× magnifications.
Figure 4. Surface morphology of DEFB treated with (a) 2-propanol, (b) acetic acid, (c) acetone, (d) ethylene glycol and (e) glycerol under 500× magnifications.
Sustainability 13 06757 g004
Figure 5. Pretreatment performances of alkaline ethylene glycol for DEFB from 60 to 140 °C.
Figure 5. Pretreatment performances of alkaline ethylene glycol for DEFB from 60 to 140 °C.
Sustainability 13 06757 g005
Figure 6. Surface morphology of treated DEFB by alkaline ethylene glycol at (a) 60 °C, (b) 80 °C and (c) 120 °C.
Figure 6. Surface morphology of treated DEFB by alkaline ethylene glycol at (a) 60 °C, (b) 80 °C and (c) 120 °C.
Sustainability 13 06757 g006
Figure 7. Pretreatment performances of alkaline ethylene glycol for DEFB from 15 to 75 min.
Figure 7. Pretreatment performances of alkaline ethylene glycol for DEFB from 15 to 75 min.
Sustainability 13 06757 g007
Figure 8. Surface morphology of DEFB treated with alkaline ethylene glycol at (a) 15, (b) 45 and (c) 75 min.
Figure 8. Surface morphology of DEFB treated with alkaline ethylene glycol at (a) 15, (b) 45 and (c) 75 min.
Sustainability 13 06757 g008
Figure 9. Precipitated lignin from alkaline ethylene glycol pretreatment liquor at different pH values.
Figure 9. Precipitated lignin from alkaline ethylene glycol pretreatment liquor at different pH values.
Sustainability 13 06757 g009
Table 1. The compositional analysis of treated pulp with variations in pretreatment temperatures.
Table 1. The compositional analysis of treated pulp with variations in pretreatment temperatures.
Temperature (°C) Pulp Yield (g)Composition (wt.%)
LigninHemicelluloseCelluloseAshExtractive
Untreated-23.96.1055.94.458.80
606.8715.33.9375.42.333.06
806.2911.92.7081.21.912.23
1005.8912.42.3881.22.721.36
1205.5512.12.3479.84.321.44
1405.4212.02.4081.53.140.92
Table 2. The compositional analysis of treated pulp with variations in residence times.
Table 2. The compositional analysis of treated pulp with variations in residence times.
Time (min)Pulp Yield (g)Composition (wt.%)
LigninHemicelluloseCelluloseAshExtractive
Untreated10.023.96.1055.94.458.80
156.7113.63.5677.03.272.10
306.2911.92.7081.21.912.23
455.9810.01.8984.41.731.98
605.8511.31.5083.21.762.19
755.8411.61.3984.31.860.92
Table 3. Comparisons of different pretreatments with DEFB.
Table 3. Comparisons of different pretreatments with DEFB.
BiomassPretreatment ConditionsDelignification (%)Hemicellulose Removal (%)Cellulose Recovery (%)Reference
DEFB50 v/v% ethylene glycol + 3 v/v% NaOH at 80 °C for 45 min75.181.590.4This Study
EFB50 wt.% ethanol + 0.07 wt.% H2SO4 at 210 °C for 90 min90.084.680.0[29]
EFB3–7 wt.% Acetic acid at 170–190 °C for 10–20 min followed by:
5–20 wt.% Ammonium hydroxide at 140–220 °C for 5–25 min
53.953.698.3[30]
EFB8 v/v% H2SO4 at 121 °C for 1 h followed by:
2.5 mol/dm3 NaOH at 90 °C for 20 min
72.990.7N.D. *[31]
Extractive-free EFB76.3 wt.% lactic acid + 23.7 wt.% choline chloride at 120 °C for 8 h88.0100100[32]
* Not Determined.
Publisher’s Note: MDPI stays neutral with regard to jurisdictional claims in published maps and institutional affiliations.

Share and Cite

MDPI and ACS Style

Chin, D.W.K.; Lim, S.; Pang, Y.L.; Lim, C.H.; Shuit, S.H.; Lee, K.M.; Chong, C.T. Effects of Organic Solvents on the Organosolv Pretreatment of Degraded Empty Fruit Bunch for Fractionation and Lignin Removal. Sustainability 2021, 13, 6757. https://doi.org/10.3390/su13126757

AMA Style

Chin DWK, Lim S, Pang YL, Lim CH, Shuit SH, Lee KM, Chong CT. Effects of Organic Solvents on the Organosolv Pretreatment of Degraded Empty Fruit Bunch for Fractionation and Lignin Removal. Sustainability. 2021; 13(12):6757. https://doi.org/10.3390/su13126757

Chicago/Turabian Style

Chin, Danny Wei Kit, Steven Lim, Yean Ling Pang, Chun Hsion Lim, Siew Hoong Shuit, Kiat Moon Lee, and Cheng Tung Chong. 2021. "Effects of Organic Solvents on the Organosolv Pretreatment of Degraded Empty Fruit Bunch for Fractionation and Lignin Removal" Sustainability 13, no. 12: 6757. https://doi.org/10.3390/su13126757

APA Style

Chin, D. W. K., Lim, S., Pang, Y. L., Lim, C. H., Shuit, S. H., Lee, K. M., & Chong, C. T. (2021). Effects of Organic Solvents on the Organosolv Pretreatment of Degraded Empty Fruit Bunch for Fractionation and Lignin Removal. Sustainability, 13(12), 6757. https://doi.org/10.3390/su13126757

Note that from the first issue of 2016, this journal uses article numbers instead of page numbers. See further details here.

Article Metrics

Back to TopTop