Modeling Traffic Flow, Energy Use, and Emissions Using Google Maps and Google Street View: The Case of EDSA, Philippines
Abstract
1. Introduction
2. Methods and Data
2.1. Research Methodology
- To begin, identify the specific road or highway that will be studied and determine its starting and end points in Google Maps. The road must be divided into a preferred number of segments. The segment length in kilometers (km) and the actual number of lanes on each side of the road (e.g., northbound and southbound) shall be recorded;
- Decide on the periodicity (e.g., weekly, monthly, and yearly) of the study and select the days of the week from which data collection will be made. Days can be classified according to the identicality of their traffic situations. For example, the modeler can opt to assume that Tuesday, Wednesday, and Thursday have similar traffic conditions;
- Across each road segment, collect and tabulate the average travel time, TAve, from Google Maps. By default, this is provided by Google in terms of minutes (min). Convert the unit of time from minutes to hours (hr). Do this at least 24 times, getting at least one data point per hour of the day (i.e., from 0:00 to 23:00). Note that this will be repeated for all the days covered in the study. This tabulation was done manually in the illustrative case study below, but the modeler has the option to automate this using Google Maps’ API service.
- Calculate the bulk speed, VB, in terms of kilometers per hour (km/hr) by dividing each segment length, LS, by the hourly average travel time, TAve [41] (see Equation (1) below);
- Through the use of a speed-flow curve, the calculated bulk speed, VB, from Google Maps is converted to passenger car units per hour (PCU/hr). The unit PCU is used to convert the heterogeneous characteristics of vehicle flow due to the presence of different vehicle types on the road into an equivalent homogenous quantity, using relative weightage factors (i.e., PCEF) [42]. For example, the road space occupied by a bus is equivalent to approximately two passenger cars;
- Assuming that the available speed-flow curve only applies to particular hours of the day, correction factors can be used to adjust the rate of vehicle flow in hours when a significant drop in traffic volume is expected, such as from midnight to the earliest hours of the morning;
- Consolidate the estimated hourly PCU counts for the full 24 h into a total daily PCU count;
- Within each road segment, assign point coordinates having roughly equidistant spacing with one another as shown in Figure 2 [43]. The modeler has the discretion to determine the distance/spacing between these points, with consideration of road structures, such as the presence of an underpass, flyover, road intersection, etc. The modeler must avoid potential duplication in the counting of vehicles. These points will be used to estimate the modal share;
- Utilizing the Street View feature of Google Maps, perform a classified vehicle count on all of the points identified in the previous step. Count the number of vehicles per variant/category (i.e., motorcycle, tricycle, car, taxi, utility vehicle, jeepney, bus, truck, etc.).
- Multiply the total vehicle count of each category (from Street View counting in Google Maps) with its PCEF, and then divide it by the sum-product of vehicle counts and PCEFs across all categories. This shall generate the PCU mix (i.e., modal share);
- To convert the PCU count into vehicle counts by category, VC, break down the PCU count using the PCU mix obtained in the previous step, and then divide it by the corresponding PCEF for each vehicle category;
- Derive mobile emission factors for each vehicle type with respect to greenhouse gas and air pollutant emissions in terms of grams per kilometer (gemissions/km), taking into account the variants, fuel type, local emission standards, fuel economy in grams of fuel per kilometer (gfuel/km), and specific emission factors in grams of emissions per gram of fuel (gemissions/gfuel). The emission factors used in this study are shown in the illustrative case study in Section 3. An aggregated emission factor, EF, can be estimated using the PCU mix obtained above;
- Multiply the emission factors, EF, (gemissions/km) to the segment length, LS, (km) and to the total vehicle count, VC, in order to obtain the total emissions load, EL. See Equation (2);EL = EF × LS × VC
- Derive energy consumption for each vehicle type, EC, in terms of megajoules per kilometers (MJ/km) by taking into account the variants, fuel type, local emission standards, fuel economy in grams of fuel per kilometer (gfuel/km), and calorific value of fuels, specifically the lower heating values, in terms of megajoules per grams of fuel (MJ/gfuel).
- Multiply energy consumption, EC, (MJ/km) to the segment length, LS, (km) and to the total vehicle count, VC, in order to get the total energy use, EU. See Equation (3).EU = EC × LS × VC
2.2. Data Collection for the Illustrative Case Study
3. Illustrative Case Study
3.1. Estimation of Monthly Vehicle Count
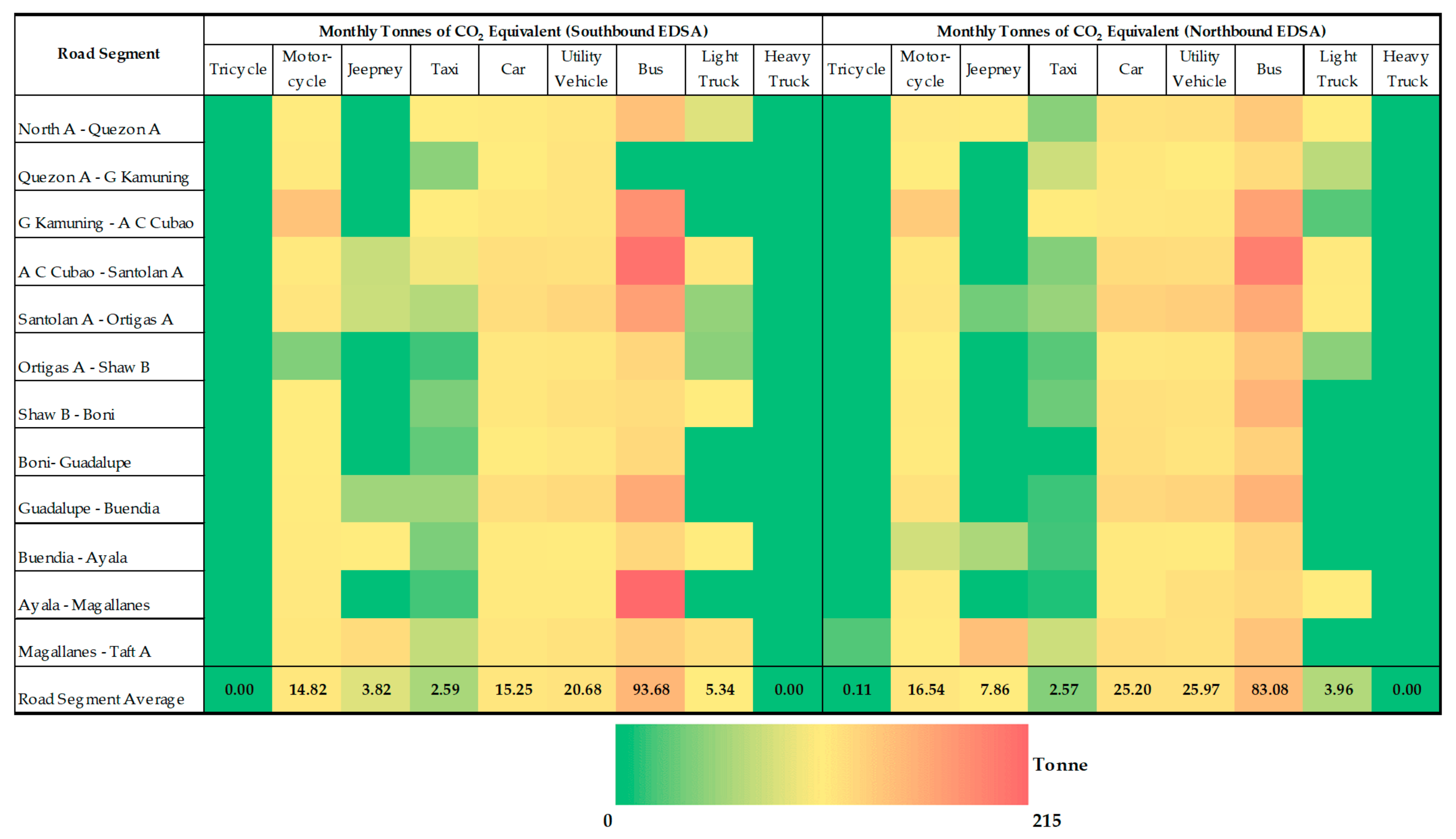
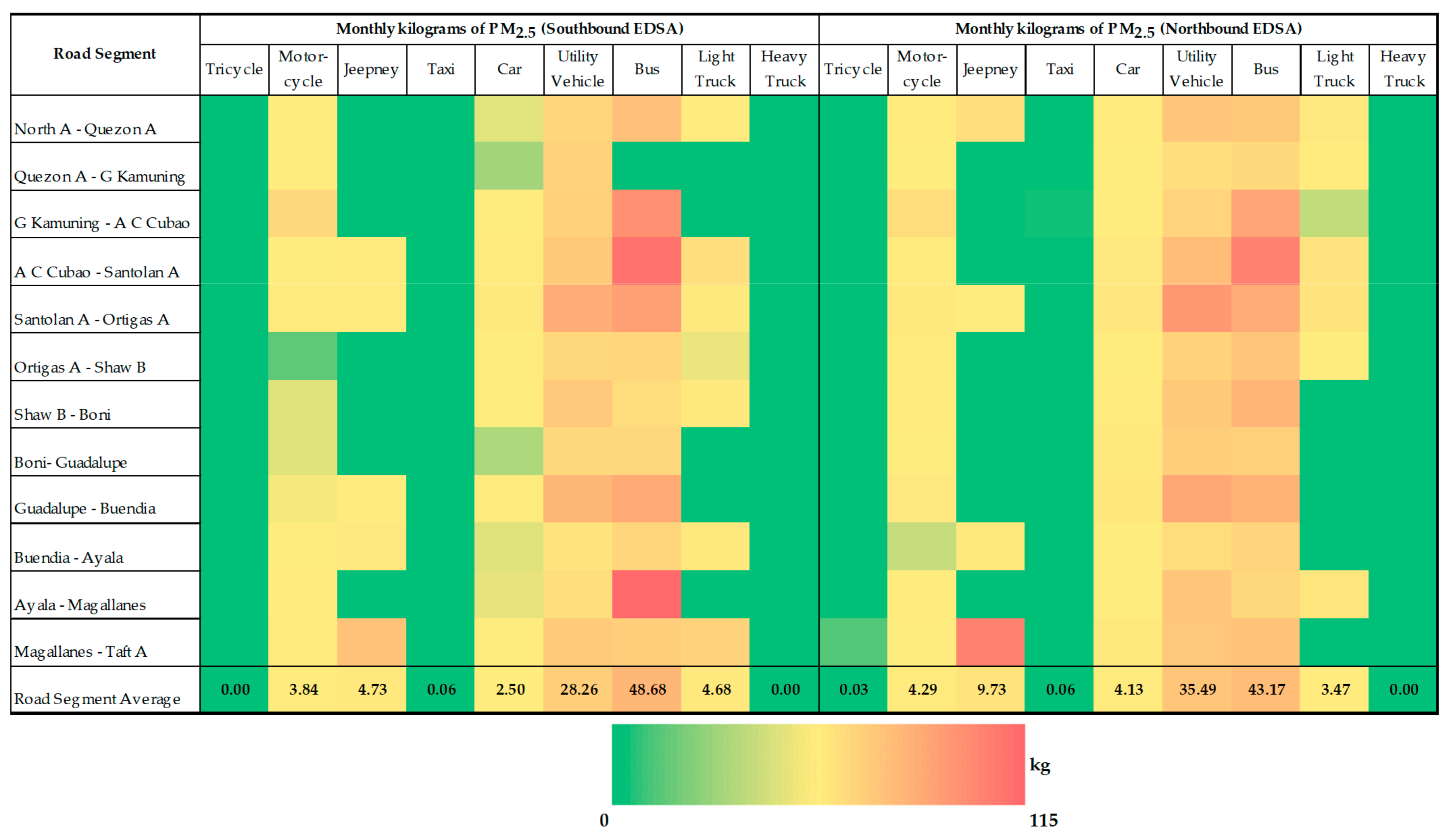
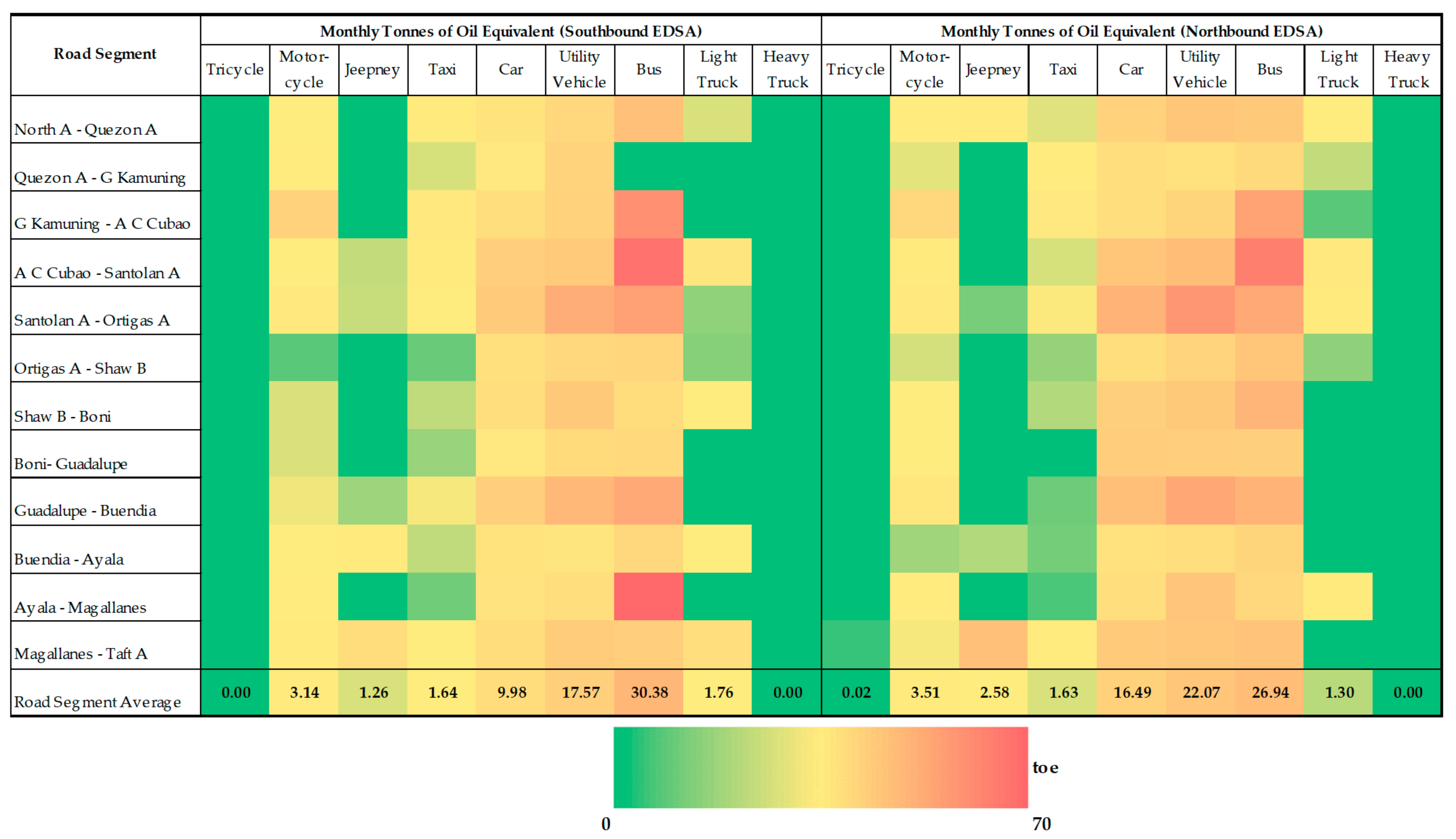
3.2. Estimation of Transport Emissions and Energy Use
3.3. Data Validation
4. Limitations and Future Work
5. Conclusions
Author Contributions
Funding
Institutional Review Board Statement
Informed Consent Statement
Data Availability Statement
Conflicts of Interest
References
- Stern, N. The Economics of Climate Change. Am. Econ. Rev. 2008, 98, 1–37. [Google Scholar] [CrossRef]
- Lopez, N.S.; Soliman, J.; Biona, J.B.M.; Fulton, L. Cost-benefit analysis of alternative vehicles in the Philippines using immediate and distant future scenarios. Transp. Res. Part D Transp. Environ. 2020, 82, 102308. [Google Scholar] [CrossRef]
- International Energy Agency. Global Energy & CO2 Status Report; International Energy Agency: Paris, France, 2019. [Google Scholar]
- United Nations. Paris Agreement; United Nations: Paris, France, 2015. [Google Scholar]
- Manisalidis, I.; Stavropoulou, E.; Stavropoulos, A.; Bezirtzoglou, E. Environmental and Health Impacts of Air Pollution: A Review. Front. Public Health 2020, 8, 1–13. [Google Scholar] [CrossRef] [PubMed]
- Ritchie, H.; Roser, M. Outdoor Air Pollution. Available online: https://ourworldindata.org/outdoor-air-pollution (accessed on 20 May 2021).
- Stanaway, J.D.; Afshin, A.; Gakidou, E.; Lim, S.S.; Abate, D.; Abate, K.H.; Abbafati, C.; Abbasi, N.; Abbastabar, H.; Abd-Allah, F.; et al. Global, regional, and national comparative risk assessment of 84 behavioural, environmental and occupational, and metabolic risks or clusters of risks for 195 countries and territories, 1990–2017: A systematic analysis for the Global Burden of Disease Stu. Lancet 2018, 392, 1923–1994. [Google Scholar] [CrossRef]
- Lopez, N.S.; Chiu, A.S.F.; Biona, J.B.M. Decomposing drivers of transportation energy consumption and carbon dioxide emissions for the Philippines: The case of developing countries. Front. Energy 2018, 12, 389–399. [Google Scholar] [CrossRef]
- International Energy Agency. Clean Energy Transitions Programme; International Energy Agency: Paris, France, 2021. [Google Scholar]
- Hall, D.; Lutsey, N. Estimating the infrastructure needs and costs for the launch of zero-emission trucks. Int. Counc. Clean Transp. 2019, 1–31. [Google Scholar] [CrossRef]
- Anenberg, S.C.; Miller, J.; Henze, D.K.; Minjares, R.; Achakulwisut, P. The global burden of transportation tailpipe emissions on air pollution-related mortality in 2010 and 2015. Environ. Res. Lett. 2019, 14, 094012. [Google Scholar] [CrossRef]
- Acaravci, A.; Ozturk, I. On the relationship between energy consumption, CO2 emissions and economic growth in Europe. Energy 2010, 35, 5412–5420. [Google Scholar] [CrossRef]
- Zou, S.; Zhang, T. CO2 Emissions, Energy Consumption, and Economic Growth Nexus: Evidence from 30 Provinces in China. Math. Probl. Eng. 2020, 2020, 1–10. [Google Scholar] [CrossRef]
- International Energy Agency. Energy Efficiency Indicators Highlights; International Energy Agency: Paris, France, 2020. [Google Scholar]
- Song, M.; Wu, N.; Wu, K. Energy Consumption and Energy Efficiency of the Transportation Sector in Shanghai. Sustainability 2014, 6, 702–717. [Google Scholar] [CrossRef]
- Furfari, S. Energy efficiency of engines and appliances for transport on land, water, and in air. Ambio 2016, 45, 63–68. [Google Scholar] [CrossRef] [PubMed]
- Engeset, P.; Keitheile, O.B. Traffic Data Collection and Analysis; Ministry of Works and Transport: Gaborone, Botswana, 2004. [Google Scholar]
- Paľo, J.; Caban, J.; Kiktová, M.; Černický, Ľ. The comparison of automatic traffic counting and manual traffic counting. IOP Conf. Ser. Mater. Sci. Eng. 2019, 710, 012041. [Google Scholar] [CrossRef]
- Wardrop, J.G.; Charlesworth, G. A Method of Estimating Speed and Flow of Traffic from a Moving Vehicle. Proc. Inst. Civ. Eng. 1954, 3, 158–171. [Google Scholar] [CrossRef]
- Mortimer, W.J. Moving Vehicle Method of Estimating Traffic Volumes and Speeds. Highw. Res. Board Bull. 1957, 156, 1–13. [Google Scholar]
- Venkatcharyulu, S.; Mallikarjunareddy, V. Traffic volume Analysis of Newly Developing semi-urban Road. E3S Web Conf. 2020, 184, 01116. [Google Scholar] [CrossRef]
- Zhao, N.; Qi, T.; Yu, L.; Zhang, J.; Jiang, P. A Practical Method for Estimating Traffic Flow Characteristic Parameters of Tolled Expressway Using Toll Data. Procedia Soc. Behav. Sci. 2014, 138, 632–640. [Google Scholar] [CrossRef][Green Version]
- Seo, T.; Kusakabe, T. Probe vehicle-based traffic flow estimation method without fundamental diagram. Transp. Res. Procedia 2015, 9, 149–163. [Google Scholar] [CrossRef][Green Version]
- Aksoy, A.; Küçükoğlu, İ.; Ene, S.; Öztürk, N. Integrated Emission and Fuel Consumption Calculation Model for Green Supply Chain Management. Procedia Soc. Behav. Sci. 2014, 109, 1106–1109. [Google Scholar] [CrossRef]
- Jabali, O.; Van Woensel, T.; de Kok, A.G. Analysis of Travel Times and CO 2 Emissions in Time-Dependent Vehicle Routing. Prod. Oper. Manag. 2012, 21, 1060–1074. [Google Scholar] [CrossRef]
- Bharadwaj, S.; Ballare, S.; Rohit Chandel, M.K. Impact of congestion on greenhouse gas emissions for road transport in Mumbai metropolitan region. Transp. Res. Procedia 2017, 25, 3538–3551. [Google Scholar] [CrossRef]
- Nesamani, K.S.; Saphores, J.; McNally, M.G.; Jayakrishnan, R. Estimating impacts of emission specific characteristics on vehicle operation for quantifying air pollutant emissions and energy use. J. Traffic Transp. Eng. 2017, 4, 215–229. [Google Scholar] [CrossRef]
- de Maes, A.S.; Hoinaski, L.; Meirelles, T.B.; Carlson, R.C. A methodology for high resolution vehicular emissions inventories in metropolitan areas: Evaluating the effect of automotive technologies improvement. Transp. Res. Part D Transp. Environ. 2019, 77, 303–319. [Google Scholar] [CrossRef]
- Iqbal, A.; Allan, A.; Zito, R. Meso-scale on-road vehicle emission inventory approach: A study on Dhaka City of Bangladesh supporting the ‘cause-effect’ analysis of the transport system. Environ. Monit. Assess. 2016, 188, 149. [Google Scholar] [CrossRef] [PubMed]
- Zhang, L.; Lin, J.; Qiu, R. Characterizing the toxic gaseous emissions of gasoline and diesel vehicles based on a real-world on-road investigation. J. Clean. Prod. 2021, 286, 124957. [Google Scholar] [CrossRef]
- Iqbal, A.; Afroze, S.; Rahman, M.M. Probabilistic Health Risk Assessment of Vehicular Emissions as an Urban Health Indicator in Dhaka City. Sustainability 2019, 11, 6427. [Google Scholar] [CrossRef]
- Chatzimilioudis, G.; Zeinalipour-Yazti, D. Crowdsourcing for Mobile Data Management. In Proceedings of the 2013 IEEE 14th International Conference on Mobile Data Management, Milan, Italy, 3–6 June 2013; Volume 2, pp. 3–4. [Google Scholar]
- Brabham, D.C. Crowdsourcing as a Model for Problem Solving. Converg. Int. J. Res. N. Media Technol. 2008, 14, 75–90. [Google Scholar] [CrossRef]
- Misra, A.; Gooze, A.; Watkins, K.; Asad, M.; Le Dantec, C.A. Crowdsourcing and Its Application to Transportation Data Collection and Management. Transp. Res. Rec. J. Transp. Res. Board 2014, 2414, 1–8. [Google Scholar] [CrossRef]
- Chandra, S.; Naik, R.T.; Jimenez, J. A Framework for Smart Freight Mobility with Crowdsourcing. Transp. Res. Procedia 2020, 48, 494–502. [Google Scholar] [CrossRef]
- Nair, D.J.; Gilles, F.; Chand, S.; Saxena, N.; Dixit, V. Characterizing multicity urban traffic conditions using crowdsourced data. PLoS ONE 2019, 14, e0212845. [Google Scholar] [CrossRef]
- Ferster, C.; Nelson, T.; Laberee, K.; Vanlaar, W.; Winters, M. Promoting Crowdsourcing for Urban Research: Cycling Safety Citizen Science in Four Cities. Urban Sci. 2017, 1, 21. [Google Scholar] [CrossRef]
- Wang, X.; Zheng, X.; Zhang, Q.; Wang, T.; Shen, D. Crowdsourcing in ITS: The State of the Work and the Networking. IEEE Trans. Intell. Transp. Syst. 2016, 17, 1596–1605. [Google Scholar] [CrossRef]
- Zheng, X.; Chen, W.; Wang, P.; Shen, D.; Chen, S.; Wang, X.; Zhang, Q.; Yang, L. Big Data for Social Transportation. IEEE Trans. Intell. Transp. Syst. 2016, 17, 620–630. [Google Scholar] [CrossRef]
- Linton, C.; Grant-Muller, S.; Gale, W.F. Approaches and Techniques for Modelling CO 2 Emissions from Road Transport. Transp. Rev. 2015, 35, 533–553. [Google Scholar] [CrossRef]
- Jiménez-Meza, A.; Arámburo-Lizárraga, J.; de la Fuente, E. Framework for Estimating Travel Time, Distance, Speed, and Street Segment Level of Service (LOS), based on GPS Data. Procedia Technol. 2013, 7, 61–70. [Google Scholar] [CrossRef]
- Sharma, M.; Biswas, S. Estimation of Passenger Car Unit on urban roads: A literature review. Int. J. Transp. Sci. Technol. 2020. [Google Scholar] [CrossRef]
- Google Maps. Available online: https://www.google.com/maps/dir/Quezon+Avenue/GMA+Kamuning+Station/@14.6389009,-121.0371689,16z/data=!4m18!4m17!1m5!1m1!1s0x3397b7aa16a4f333:0x5eefaaf26ee44220!2m2!1d121.0385078!2d14.6427595!1m5!1m1!1s0x3397b7af0a4f1251:0x867338649729026b!2m2!1d121.0433426 (accessed on 30 April 2021).
- Ganiron, T.U.J. Exploring the Emerging Impact of Metro Rail Transit (MRT-3) in Metro Manila. Int. J. Adv. Sci. Technol. 2015, 74, 11–24. [Google Scholar] [CrossRef]
- Google Maps. Available online: https://www.google.com/maps/dir/Taft+Avenue/MRT+North+Ave.+Station,+Bagong+Pag-asa,+Quezon+City,+Metro+Manila/@14.5950342,120.9740679,12z/data=!4m18!4m17!1m5!1m1!1s0x3397c945008b5cb5:0x23dd98e8b1d43815!2m2!1d121.0021747!2d14.537669!1m5!1m1!1s0x3397b6fd9e1 (accessed on 20 April 2021).
- Cruz, F.T.; Narisma, G.T.; Villafuerte, M.Q.; Cheng Chua, K.U.; Olaguera, L.M. A climatological analysis of the southwest monsoon rainfall in the Philippines. Atmos. Res. 2013, 122, 609–616. [Google Scholar] [CrossRef]
- Villafuerte, M.Q.; Juanillo, E.L.; Hilario, F.D. Climatic insights on academic calendar shift in the Philippines. Philipp. J. Sci. 2017, 146, 267–276. [Google Scholar]
- Salini, S.; George, S.; Ashalatha, R. Effect of Side Frictions on Traffic Characteristics of Urban Arterials. Transp. Res. Procedia 2016, 17, 636–643. [Google Scholar] [CrossRef]
- Pal, S.; Roy, S.K. Impact of Roadside Friction on Travel Speed and LOS of Rural Highways in India. Transp. Dev. Econ. 2016, 2, 9. [Google Scholar] [CrossRef]
- Srikanth, S.; Mehar, A. Estimation of Equivalency Units for Vehicle Types under Mixed Traffic Conditions: Multiple Non-Linear Regression Approach. Int. J. Technol. 2017, 8, 820. [Google Scholar] [CrossRef][Green Version]
- Boquet, Y. Battling Congestion in Manila: The EDSA Problem. Transp. Commun. Bull. Asia Pacific 2013, 45–59. [Google Scholar]
- Japan International Cooperation Agency; Department of Public Works and Highways. Transport and Environmental Surveys. In The Feasibility Study and Implementation Support for Cavite-Laguna East-West National Road Project; Japan International Cooperation Agency: Tokyo, Japan, 2006; pp. 1–84. [Google Scholar]
- Al-Kaisy, A.; Jung, Y.; Rakha, H. Developing Passenger Car Equivalency Factors for Heavy Vehicles during Congestion. J. Transp. Eng. 2005, 131, 514–523. [Google Scholar] [CrossRef]
- Japan International Cooperation Agency; Department of Public Works and Highways. Feasibility Study of the Road Improvement Project on the Pan-Philippine Highway (Philippine-Japan Friendship Highway); Japan International Cooperation Agency: Tokyo, Japan, 1987. [Google Scholar]
- Adnan, M. Passenger Car Equivalent Factors in Heterogenous Traffic Environment-are We Using the Right Numbers? Procedia Eng. 2014, 77, 106–113. [Google Scholar] [CrossRef]
- Coz, M.C.; Flores, P.J.; Hernandez, K.L.; Portus, A.J. An Ergonomic Study on the UP-Diliman Jeepney Driver’s Workspace and Driving Conditions. Procedia Manuf. 2015, 3, 2597–2604. [Google Scholar] [CrossRef][Green Version]
- Agaton, C.B.; Guno, C.S.; Villanueva, R.O.; Villanueva, R.O. Diesel or Electric Jeepney? A Case Study of Transport Investment in the Philippines Using the Real Options Approach. World Electr. Veh. J. 2019, 10, 51. [Google Scholar] [CrossRef]
- Kim, H.; Tae, S.; Yang, J. Calculation Methods of Emission Factors and Emissions of Fugitive Particulate Matter in South Korean Construction Sites. Sustainability 2020, 12, 9802. [Google Scholar] [CrossRef]
- Olaguer, E.P. Emission Inventories. In Atmospheric Impacts of the Oil and Gas Industry; Elsevier: Amsterdam, The Netherlands, 2017; pp. 67–77. ISBN 9780128018835. [Google Scholar]
- Waldron, C.D.; Harnisch, J.; Lucon, O.; Mckibbon, R.S.; Saile, S.B.; Wagner, F.; Walsh, M.P.; Kapshe, M. Mobile Combustion. In 2006 IPCC Guidelines for National Greenhouse Gas Inventories Volume 2 Energy; Institute for Global Environmental Strategies: Kanagawa, Japan, 2006; pp. 1–78. [Google Scholar]
- Bongardt, D.; Eichhorst, U.; Dünnebeil, F.; Reinhard, C. Monitoring Greenhouse Gas Emissions of Transport Activities in Chinese Cities; Deutsche Gesellschaft für Internationale Zusammenarbeit: Bonn, Germany, 2016. [Google Scholar]
- Cheremisinoff, N.P. Pollution Management and Responsible Care. In Waste; Elsevier: Cambridge, UK, 2011; pp. 487–502. ISBN 9780123814753. [Google Scholar]
- Argonne National Laboratory The Greenhouse gases, Regulated Emissions, and Energy use in Technologies (GREET) Model. Available online: https://greet.es.anl.gov/greet.models (accessed on 6 January 2021).
- Argonne National Laboratory Alternative Fuel Life-Cycle Environmental and Economic Transportation (AFLEET) Tool. Available online: https://greet.es.anl.gov/afleet (accessed on 6 January 2021).
- Carvill, J. Mechanical Engineer’s Data Handbook, 1st ed.; Elsevier: Oxford, UK, 1993; ISBN 9780080511351. [Google Scholar]
- Yoro, K.O.; Daramola, M.O. CO2 emission sources, greenhouse gases, and the global warming effect. In Advances in Carbon Capture; Elsevier: Cambridge, UK, 2020; pp. 3–28. ISBN 9780128196571. [Google Scholar]
- Dincer, I.; Abu-Rayash, A. Sustainability modeling. In Energy Sustainability; Elsevier: Amsterdam, The Netherlands, 2020; pp. 119–164. ISBN 9780128195567. [Google Scholar]
- Vallero, D.A. Air pollution biogeochemistry. In Air Pollution Calculations; Elsevier: Amsterdam, The Netherlands, 2019; pp. 175–206. ISBN 9780128149348. [Google Scholar]
- Myong, J.-P. Health Effects of Particulate Matter. Korean J. Med. 2016, 91, 106–113. [Google Scholar] [CrossRef]
- Xing, Y.F.; Xu, Y.H.; Shi, M.H.; Lian, Y.X. The impact of PM2.5 on the human respiratory system. J. Thorac. Dis. 2016, 8, E69–E74. [Google Scholar] [CrossRef]
- Metropolitan Manila Developement Authority Metropolitan Manila Annual Average Daily Traffic (AADT) 2019. Available online: https://mmda.gov.ph/2-uncategorised/3345-freedom-of-information-foi.html (accessed on 30 April 2021).
- Bains, M.S.; Ponnu, B.; Arkatkar, S.S. Modeling of Traffic Flow on Indian Expressways using Simulation Technique. Procedia Soc. Behav. Sci. 2012, 43, 475–493. [Google Scholar] [CrossRef]
- Bharadwaj, N.; Kumar, P.; Arkatkar, S.S.; Joshi, G. Deriving capacity and level-of-service thresholds for intercity expressways in India. Transp. Lett. 2020, 12, 182–196. [Google Scholar] [CrossRef]
- Ahmed, U. Passenger Car Equivalent Factors for Level Freeway Segments Operating under Moderate and Congested Conditions; Marquette University: Milwaukee, WI, USA, 2010. [Google Scholar]
- Lu, P.; Zheng, Z.; Tolliver, D.; Pan, D. Measuring Passenger Car Equivalents (PCE) for Heavy Vehicle on Two Lane Highway Segments Operating Under Various Traffic Conditions. J. Adv. Transp. 2020, 2020, 1–9. [Google Scholar] [CrossRef]







| Hours with Anticipated Significant Vehicle Volume Drops | Correction Factor |
|---|---|
| 23:00 | 0.03 |
| 0:00 | 0.02 |
| 1:00 | 0.01 |
| 2:00 | 0.01 |
| 3:00 | 0.01 |
| 4:00 | 0.02 |
| Type of Vehicle | PCEF |
|---|---|
| Tricycle | 1 |
| Motorcycle | 0.25 |
| Jeepney | 1.5 |
| Taxi | 1 |
| Car | 1 |
| Utility Vehicle | 1 |
| Bus | 2 |
| Light Truck | 2 |
| Heavy Truck | 2.2 |
| Monthly Vehicle Count (Southbound EDSA) | |||||||||
|---|---|---|---|---|---|---|---|---|---|
| Road Segment | Tricycle | Motorcycle | Jeepney | Taxi | Car | Utility Vehicle | Bus | Light Truck | Heavy Truck |
| North A-Quezon A | 0 | 51,933 | 0 | 81,610 | 59,352 | 126,124 | 44,514 | 3710 | 0 |
| Quezon A-G Kamuning | 0 | 81832 | 0 | 37768 | 44,063 | 176,253 | 0 | 0 | 0 |
| G Kamuning-A C Cubao | 0 | 339,941 | 0 | 59,837 | 60,704 | 105,798 | 64,173 | 0 | 0 |
| A C Cubao-Santolan A | 0 | 45,296 | 2831 | 49,543 | 117,487 | 134,473 | 84,931 | 11,324 | 0 |
| Santolan A-Ortigas A | 0 | 55,772 | 2145 | 23,596 | 98,674 | 178,042 | 39,684 | 1073 | 0 |
| Ortigas A-Shaw B | 0 | 16,773 | 0 | 16,773 | 122994 | 178,900 | 36,339 | 2795 | 0 |
| Shaw B-Boni | 0 | 46,081 | 0 | 31,902 | 106341 | 233,951 | 21,268 | 7089 | 0 |
| Boni-Guadalupe | 0 | 54,241 | 0 | 27,121 | 57631 | 149,164 | 30,511 | 0 | 0 |
| Guadalupe-Buendia | 0 | 29,357 | 1957 | 25,443 | 111556 | 187,884 | 45,014 | 0 | 0 |
| Buendia-Ayala | 0 | 78,073 | 7435 | 33,460 | 74355 | 66,919 | 29,742 | 7435 | 0 |
| Ayala-Magallanes | 0 | 82,409 | 0 | 12,361 | 61807 | 86,530 | 127,735 | 0 | 0 |
| Magallanes-Taft A | 0 | 56,876 | 23,334 | 30,626 | 56876 | 107,919 | 18,959 | 16,042 | 0 |
| Monthly Vehicle Count (Northbound EDSA) | |||||||||
| Road Segment | Tricycle | Motorcycle | Jeepney | Taxi | Car | Utility Vehicle | Bus | Light Truck | Heavy Truck |
| North A-Quezon A | 0 | 86,341 | 13,283 | 43,170 | 149,436 | 209,211 | 36,529 | 6642 | 0 |
| Quezon A-G Kamuning | 0 | 63,742 | 0 | 93,162 | 112,775 | 93,162 | 24,516 | 4903 | 0 |
| G Kamuning-A C Cubao | 0 | 275,358 | 0 | 76,707 | 64,906 | 94,408 | 51,138 | 983 | 0 |
| A C Cubao-Santolan A | 0 | 74,151 | 0 | 28,837 | 148,303 | 177,139 | 74,151 | 8239 | 0 |
| Santolan A-Ortigas A | 0 | 63,442 | 1322 | 26,434 | 158,605 | 229,977 | 34,364 | 5287 | 0 |
| Ortigas A-Shaw B | 0 | 71,129 | 0 | 35,565 | 138,308 | 209,436 | 59,274 | 3953 | 0 |
| Shaw B-Boni | 0 | 93,141 | 0 | 37,256 | 193,732 | 230,989 | 67,061 | 0 | 0 |
| Boni-Guadalupe | 0 | 95,722 | 0 | 0 | 245,288 | 233,324 | 41,879 | 0 | 0 |
| Guadalupe-Buendia | 0 | 102,646 | 0 | 10,265 | 164,233 | 243,784 | 38,492 | 0 | 0 |
| Buendia-Ayala | 0 | 40,424 | 5775 | 21,174 | 94,322 | 115,496 | 32,724 | 0 | 0 |
| Ayala-Magallanes | 0 | 82,708 | 0 | 9543 | 89,071 | 213,133 | 22,268 | 9543 | 0 |
| Magallanes-Taft A | 3546 | 35,457 | 56,732 | 46,094 | 109,917 | 120,555 | 24,820 | 0 | 0 |
| Emission Factors Data (gemissions/km) | CO2 Equivalence(gCO2eq/gemissions) | |||||||||
|---|---|---|---|---|---|---|---|---|---|---|
| Types of Emission | Tricycle | Motorcycle | Jeepney | Taxi | Car | Utility Vehicle | Bus | Light Truck | Heavy Truck | |
| PM2.5 | 0.0562 | 0.0336 | 0.8466 | 0.0011 | 0.0221 | 0.1430 | 0.7539 | 0.7519 | 0.6731 | - |
| CH4 | 4.0906 | 2.3022 | 0.2357 | 0.3000 | 0.7408 | 0.3538 | 1.2873 | 0.3648 | 1.0238 | 30.0000 |
| N2O | 0.0021 | 0.0015 | 0.0316 | 0.0039 | 0.0099 | 0.0063 | 0.0222 | 0.0226 | 0.0247 | 265.0000 |
| CO2 | 66.9747 | 60.0983 | 668.7415 | 41.9204 | 109.8958 | 92.4039 | 1406.2301 | 842.0852 | 1672.4363 | 1.0000 |
| Energy Consumption Data (MJ/km) | ||||||||||
| Tricycle | Motorcycle | Jeepney | Taxi | Car | Utility Vehicle | Bus | Light Truck | Heavy Truck | ||
| Energy Consumption | 1.5285 | 1.1504 | 9.4130 | 1.3812 | 3.6924 | 3.7241 | 19.6944 | 11.8412 | 23.3813 | - |
| Vehicle Type | MMDA | Percentage Share | Google Maps | Percentage Share |
|---|---|---|---|---|
| Tricycle | 9 | 0% | 118 | 0% |
| Motorcycle | 110,167 | 27% | 70,299 | 19% |
| Jeepney | 2166 | 1% | 3827 | 1% |
| Taxi | 18,913 | 5% | 29,745 | 8% |
| Car | 255,732 | 63% | 91,817 | 25% |
| Utility Vehicle | 6285 | 2% | 136,514 | 37% |
| Bus | 11,313 | 3% | 35,496 | 10% |
| Light Truck | 1297 | 0% | 3038 | 1% |
| Heavy Truck | 0 | 0% | 0 | 0% |
| Total | 405,882 | 100% | 370,854 | 100% |
Publisher’s Note: MDPI stays neutral with regard to jurisdictional claims in published maps and institutional affiliations. |
© 2021 by the authors. Licensee MDPI, Basel, Switzerland. This article is an open access article distributed under the terms and conditions of the Creative Commons Attribution (CC BY) license (https://creativecommons.org/licenses/by/4.0/).
Share and Cite
Rito, J.E.; Lopez, N.S.; Biona, J.B.M. Modeling Traffic Flow, Energy Use, and Emissions Using Google Maps and Google Street View: The Case of EDSA, Philippines. Sustainability 2021, 13, 6682. https://doi.org/10.3390/su13126682
Rito JE, Lopez NS, Biona JBM. Modeling Traffic Flow, Energy Use, and Emissions Using Google Maps and Google Street View: The Case of EDSA, Philippines. Sustainability. 2021; 13(12):6682. https://doi.org/10.3390/su13126682
Chicago/Turabian StyleRito, Joshua Ezekiel, Neil Stephen Lopez, and Jose Bienvenido Manuel Biona. 2021. "Modeling Traffic Flow, Energy Use, and Emissions Using Google Maps and Google Street View: The Case of EDSA, Philippines" Sustainability 13, no. 12: 6682. https://doi.org/10.3390/su13126682
APA StyleRito, J. E., Lopez, N. S., & Biona, J. B. M. (2021). Modeling Traffic Flow, Energy Use, and Emissions Using Google Maps and Google Street View: The Case of EDSA, Philippines. Sustainability, 13(12), 6682. https://doi.org/10.3390/su13126682

