Sustainable Soil Loss Management in Tropical Uplands: Impact on Maize-Chili Cropping Systems
Abstract
1. Introduction
2. Materials and Methods
2.1. Study Site
2.2. Experimental Layout
2.3. Productivity Evaluation
2.4. Economic Analysis
2.5. Statistical Analysis
3. Results
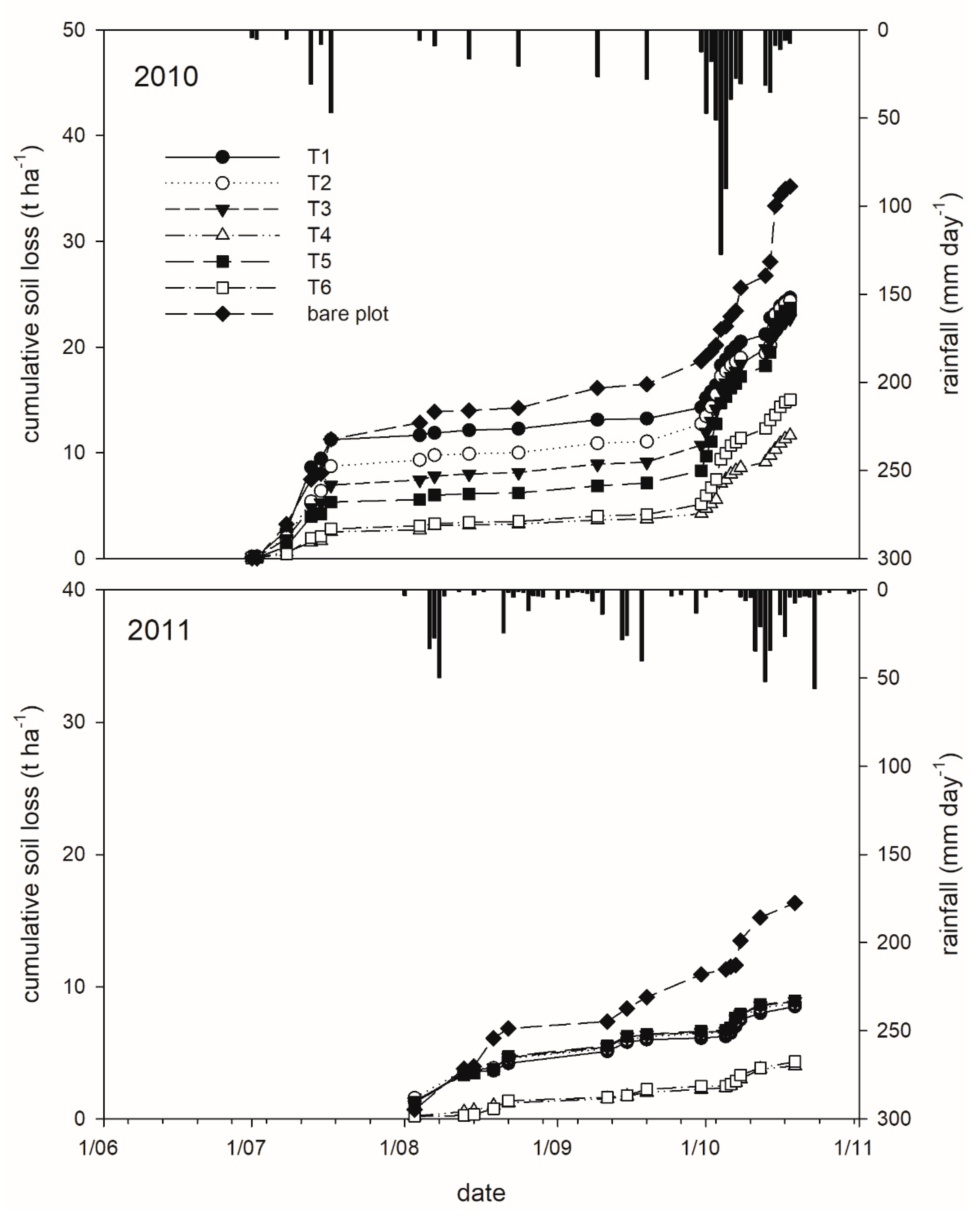
3.1. Soil Loss and Water Runoff
3.2. Maize Yield (t ha−1)
3.3. Chili Yield (t ha−1)
3.4. Cropping System Productivity Evaluation and Economic Analysis
4. Discussion
4.1. Effect of Various Land Use Options on Soil Loss and Water Runoff Dynamics
4.2. Effect of Land Use Options on Crop Productivity
4.3. Crop Productivity Evaluation and Economic Return
5. Conclusions
Author Contributions
Funding
Institutional Review Board Statement
Informed Consent Statement
Data Availability Statement
Acknowledgments
Conflicts of Interest
References
- Hillel, D.; Hatfield, J.L. Encyclopedia of Soils in the Environment; Elsevier: Amsterdam, The Netherlands, 2005; Volume 3. [Google Scholar]
- Pimentel, D.; Burgess, M. Soil Erosion Threatens Food Production. Agriculture 2013, 3, 443–463. [Google Scholar] [CrossRef]
- Forsyth, T. Sustainable Livelihood Approaches and Soil Erosion Risks: Who Is to Judge? Int. J. Soc. Econ. 2007, 34, 88–102. [Google Scholar] [CrossRef]
- Bahadur, K.C.K. Mapping Soil Erosion Susceptibility Using Remote Sensing and GIS: A Case of the Upper Nam Wa Watershed, Nan Province, Thailand. Environ. Geol. 2009, 57, 695–705. [Google Scholar] [CrossRef]
- Hussain, K.; Wongleecharoen, C.; Hilger, T.; Vanderborght, J.; Garré, S.; Onsamrarn, W.; Sparke, M.-A.; Diels, J.; Kongkaew, T.; Cadisch, G. Combining δ 13 C Measurements and ERT Imaging: Improving Our Understanding of Competition at the Crop-Soil-Hedge Interface. Plant Soil 2015, 393, 1–20. [Google Scholar] [CrossRef]
- Hussain, K.; Wongleecharoen, C.; Hilger, T.; Ahmad, A.; Kongkaew, T.; Cadisch, G. Modelling Resource Competition and Its Mitigation at the Crop-Soil-Hedge Interface Using WaNuLCAS. Agroforest. Syst. 2016, 90, 1025–1044. [Google Scholar] [CrossRef]
- Hussain, K.; Ilyas, A.; Wajid, A.; Ahmad, A.; Mahmood, N.; Hilger, T.; Kongkaew, T. Alley Cropping Simulation: An Opportunity for Sustainable Crop Production on Tropical Uplands. Pak. J. Agric. Sci. 2019, 56, 109–112. [Google Scholar] [CrossRef]
- Hussain, K.; Ilyas, A.; Wongleecharoen, C.; Hilger, T.; Wajid, A.; Ahmad, A.; Cadisch, G. Sustainable Land Use Options for Optimum Resources Use in Maize Based Cropping System on Uplands of Western Thailand. Agroforest. Syst. 2020, 94, 2289–2300. [Google Scholar] [CrossRef]
- Frene, J.P.; Gabbarini, L.A.; Wall, L.G. Soil Physiology Discriminates between No-till Agricultural Soils with Different Crop Systems on Winter Season. Soil Use Manag. 2020, 36, 571–580. [Google Scholar] [CrossRef]
- Hussain, K. Measuring and Modelling Resource Use Competition at the Crop-Soil-Hedge Interface on a Hillside in Western Thailand. Ph.D. Thesis, University of Hohenheim, Stuttgart, Germany, 2015. [Google Scholar]
- Banik, P.; Sasmal, T.; Ghosal, P.K.; Bagchi, D.K. Evaluation of Mustard (Brassica Compestris Var. Toria) and Legume Intercropping under 1:1 and 2:1 Row-replacement Series Systems. J. Agron. Crop Sci. 2000, 185, 9–14. [Google Scholar] [CrossRef]
- Lithourgidis, A.S.; Vlachostergios, D.N.; Dordas, C.A.; Damalas, C.A. Dry Matter Yield, Nitrogen Content, and Competition in Pea–Cereal Intercropping Systems. Eur. J. Agron. 2011, 34, 287–294. [Google Scholar] [CrossRef]
- Javanmard, A.; Nasab, A.D.M.; Javanshir, A.; Moghaddam, M.; Janmohammadi, H. Forage Yield and Quality in Intercropping of Maize with Different Legumes as Double-Cropped. J. Food Agric. Environ. 2009, 7, 163–166. [Google Scholar]
- Maitra, S.; Hossain, A.; Brestic, M.; Skalicky, M.; Ondrisik, P.; Gitari, H.; Brahmachari, K.; Shankar, T.; Bhadra, P.; Palai, J.B.; et al. Intercropping—A Low Input Agricultural Strategy for Food and Environmental Security. Agronomy 2021, 11, 343. [Google Scholar] [CrossRef]
- Sollen-Norrlin, M.; Ghaley, B.B.; Rintoul, N.L.J. Agroforestry Benefits and Challenges for Adoption in Europe and Beyond. Sustainability 2020, 12, 7001. [Google Scholar] [CrossRef]
- Hilger, T.; Keil, A.; Lippe, M.; Panomtaranichagul, M.; Saint-Macary, C.; Zeller, M.; Pansak, W.; Dinh, T.V.; Cadisch, G. Soil Conservation on Sloping Land: Technical Options and Adoption Constraints. In Sustainable Land Use and Rural Development in Southeast Asia: Innovations and Policies for Mountainous Areas; Springer: Berlin/Heidelberg, Germany, 2013; pp. 229–279. [Google Scholar]
- Pansak, W.; Hilger, T.H.; Dercon, G.; Kongkaew, T.; Cadisch, G. Changes in the Relationship between Soil Erosion and N Loss Pathways after Establishing Soil Conservation Systems in Uplands of Northeast Thailand. Agric. Ecosyst. Environ. 2008, 128, 167–176. [Google Scholar] [CrossRef]
- Pansak, W.; Hilger, T.; Lusiana, B.; Kongkaew, T.; Marohn, C.; Cadisch, G. Assessing Soil Conservation Strategies for Upland Cropping in Northeast Thailand with the WaNuLCAS Model. Agroforest. Syst. 2010, 79, 123–144. [Google Scholar] [CrossRef]
- Mutsaers, H.J.W. A Field Guide for On-Farm Experimentation; IITA: Ibadan, Nigeria, 1997. [Google Scholar]
- Paleari, S. Is the European Union Protecting Soil? A Critical Analysis of Community Environmental Policy and Law. Land Use Policy 2017, 64, 163–173. [Google Scholar] [CrossRef]
- Chowaniak, M.; Głąb, T.; Klima, K.; Niemiec, M.; Zaleski, T.; Zuzek, D. Effect of Tillage and Crop Management on Runoff, Soil Erosion and Organic Carbon Loss. Soil Use Manag. 2020, 36, 581–593. [Google Scholar] [CrossRef]
- Agegnehu, G.; Ghizaw, A.; Sinebo, W. Yield Performance and Land-Use Efficiency of Barley and Faba Bean Mixed Cropping in Ethiopian Highlands. Eur. J. Agron. 2006, 25, 202–207. [Google Scholar] [CrossRef]
- Kumar, V.; Gathala, M.K.; Saharawat, Y.S.; Parihar, C.M.; Kumar, R.; Kumar, R.; Jat, M.L.; Jat, A.S.; Mahala, D.M.; Kumar, L.; et al. Impact of Tillage and Crop Establishment Methods on Crop Yields, Profitability and Soil Physical Properties in Rice–Wheat System of Indo-Gangetic Plains of India. Soil Use Manag. 2019, 35, 303–313. [Google Scholar] [CrossRef]
- Thomas, G.A.; Dalal, R.C.; Standley, J. No-till Effects on Organic Matter, PH, Cation Exchange Capacity and Nutrient Distribution in a Luvisol in the Semi-Arid Subtropics. Soil Till. Res. 2007, 94, 295–304. [Google Scholar] [CrossRef]
- Sogbedji, J.M.; van Es, H.M.; Agbeko, K.L. Cover Cropping and Nutrient Management Strategies for Maize Production in Western Africa. Agron. J. 2006, 98, 883–889. [Google Scholar] [CrossRef]
- Shafi, M.; Bakht, J.; Jan, M.T.; Shah, Z. Soil C and N Dynamics and Maize (Zea May L.) Yield as Affected by Cropping Systems and Residue Management in North-Western Pakistan. Soil Tillage Res. 2007, 94, 520–529. [Google Scholar] [CrossRef]
- Zuazo, V.H.D.; Martínez, J.R.F.; Pleguezuelo, C.R.R.; Raya, A.M.; Rodríguez, B.C. Soil-Erosion and Runoff Prevention by Plant Covers in a Mountainous Area (SE Spain): Implications for Sustainable Agriculture. Environmentalist 2006, 26, 309–319. [Google Scholar] [CrossRef]
- Quinkenstein, A.; Woellecke, J.; Böhm, C.; Grünewald, H.; Freese, D.; Schneider, B.U.; Hüttl, R.F. Ecological Benefits of the Alley Cropping Agroforestry System in Sensitive Regions of Europe. Environ. Sci. Policy 2009, 12, 1112–1121. [Google Scholar] [CrossRef]
- Midya, A.; Bhattacharjee, K.; Ghose, S.S.; Banik, P. Deferred Seeding of Blackgram (Phaseolus Mungo L.) in Rice (Oryza Sativa L.) Field on Yield Advantages and Smothering of Weeds. J. Agron. Crop Sci. 2005, 191, 195–201. [Google Scholar] [CrossRef]
- Dhima, K.V.; Lithourgidis, A.S.; Vasilakoglou, I.B.; Dordas, C.A. Competition Indices of Common Vetch and Cereal Intercrops in Two Seeding Ratio. Field Crops Res. 2007, 100, 249–256. [Google Scholar] [CrossRef]
- Bedoussac, L.; Justes, E. Dynamic Analysis of Competition and Complementarity for Light and N Use to Understand the Yield and the Protein Content of a Durum Wheat-Winter Pea Intercrop. Plant Soil 2010, 330, 37–54. [Google Scholar] [CrossRef]



| Soil Depth | * Soil Texture | Sand (%) | Silt (%) | Clay (%) | * pH | * SOC (g·kg−1) | * Total N (g·kg−1) | Extractable P (mg·kg−1) | Extractable K (mg·kg−1) | BD (g·cm−3) |
|---|---|---|---|---|---|---|---|---|---|---|
| 0–15 cm | Loamy soil | 38.8 | 40.2 | 21 | 5.8 | 13 | 1.6 | 12.5 | 220.6 | 1.7 |
| Treatments | Soil Loss (t·ha−1) | Water Runoff (m3·ha−1) | ||
|---|---|---|---|---|
| 2010 | 2011 | 2010 | 2011 | |
| T1 | 24.7 b | 7.50 b | 4091 | 1227 |
| T2 | 24.4 b | 7.70 b | 3955 | 1268 |
| T3 | 22.7 b | 7.88 b | 4431 | 1429 |
| T4 | 11.6 c | 3.00 c | 3980 | 1123 |
| T5 | 23.7 b | 7.92 b | 4004 | 1111 |
| T6 | 15.0 bc | 3.31 c | 3948 | 1069 |
| Chili sole crop | 22.7 b | 10.12 b | 4392 | 1533 |
| Bare soil plot | 30.0 a | 16.10 a | 4474 | 1681 |
| p value | ≤0.005 | ≤0.05 | NS | NS |
| Treatments | Maize Grain Yield (t·ha−1) | Maize Biological Yield (t·ha−1) | Maize Equivalent Grain Yield (t·ha−1) | Chili Fresh Fruit Yield (t·ha−1) | Land Equivalent Ratio | |||||
|---|---|---|---|---|---|---|---|---|---|---|
| 2010 | 2011 | 2010 | 2011 | 2010 | 2011 | 2010 | 2011 | 2010 | 2011 | |
| T1 | 6.86 a | 6.41 a | 14.97 a | 11.84 a | - | - | - | - | 1.00 c | 1.00 b |
| T2 | 3.06 c | 2.97 d | 6.84 b | 5.46 b | 19.48 a | 6.54 a | 3.28 b | 0.71 b | 1.23 a | 1.17 a |
| T3 | 2.57 d | 2.69 e | 5.55 c | 4.97 c | 14.78 b | 5.79 b | 2.44 c | 0.62 c | 1.08 b | 1.03 b |
| T4 | 3.33 b | 3.78 b | 6.71 b | 5.51 b | 14.77 b | 6.91 a | 2.29 c | 0.62 c | 1.28 a | 1.21 a |
| T5 | 2.45 d | 2.33 f | 5.03 c | 4.13 c | 13.06 c | 4.94 c | 2.12 c | 0.52 cd | 0.90 d | 0.88 c |
| T6 | 3.31 b | 3.25 c | 6.61 b | 4.83 c | 10.94 d | 5.46 b | 1.52 d | 0.44 d | 0.92 d | 0.94 c |
| CSC | - | - | - | - | - | - | 6.47 a | 1.19 a | 1.00 c | 1.00 b |
| p value | ≤0.005 | ≤0.05 | ≤0.005 | ≤0.005 | ≤0.05 | ≤0.05 | ≤0.005 | ≤0.005 | ≤0.005 | ≤0.05 |
| Treatments | Maize Return | Chili Fruit Return | Gross Return | Production Cost | Net Return |
|---|---|---|---|---|---|
| 2010 | |||||
| T1 | 1715 | - | 1715 | 850 | 865 |
| T2 | 765 | 6560 | 7325 | 1400 | 5925 |
| T3 | 643 | 4880 | 5523 | 1100 | 4423 |
| T4 | 833 | 4580 | 5413 | 1100 | 4313 |
| T5 | 613 | 4240 | 4853 | 1100 | 3753 |
| T6 | 828 | 3040 | 3868 | 1100 | 2768 |
| 2011 | |||||
| T1 | 1603 | - | 1603 | 850 | 753 |
| T2 | 743 | 1420 | 2163 | 1400 | 763 |
| T3 | 673 | 1240 | 1913 | 1100 | 813 |
| T4 | 945 | 1240 | 2185 | 1100 | 1085 |
| T5 | 583 | 1040 | 1623 | 1100 | 523 |
| T6 | 813 | 880 | 1693 | 1100 | 593 |
Publisher’s Note: MDPI stays neutral with regard to jurisdictional claims in published maps and institutional affiliations. |
© 2021 by the authors. Licensee MDPI, Basel, Switzerland. This article is an open access article distributed under the terms and conditions of the Creative Commons Attribution (CC BY) license (https://creativecommons.org/licenses/by/4.0/).
Share and Cite
Hussain, K.; Ilyas, A.; Bibi, I.; Hilger, T. Sustainable Soil Loss Management in Tropical Uplands: Impact on Maize-Chili Cropping Systems. Sustainability 2021, 13, 6477. https://doi.org/10.3390/su13116477
Hussain K, Ilyas A, Bibi I, Hilger T. Sustainable Soil Loss Management in Tropical Uplands: Impact on Maize-Chili Cropping Systems. Sustainability. 2021; 13(11):6477. https://doi.org/10.3390/su13116477
Chicago/Turabian StyleHussain, Khalid, Ayesha Ilyas, Irshad Bibi, and Thomas Hilger. 2021. "Sustainable Soil Loss Management in Tropical Uplands: Impact on Maize-Chili Cropping Systems" Sustainability 13, no. 11: 6477. https://doi.org/10.3390/su13116477
APA StyleHussain, K., Ilyas, A., Bibi, I., & Hilger, T. (2021). Sustainable Soil Loss Management in Tropical Uplands: Impact on Maize-Chili Cropping Systems. Sustainability, 13(11), 6477. https://doi.org/10.3390/su13116477

