Next Article in Journal
Exergames to Prevent the Secondary Functional Deterioration of Older Adults during Hospitalization and Isolation Periods during the COVID-19 Pandemic
Next Article in Special Issue
Soil Nutrient Supply in Cultivated Bush Bean–Potato Intercropping Grown in Subarctic Soil Managed with Agroforestry
Previous Article in Journal
Illuminating Opportunities for Smart Tourism Innovation That Foster Sustainable Tourist Well-Being Using Q Methodology
Previous Article in Special Issue
Sustainable Soil Loss Management in Tropical Uplands: Impact on Maize-Chili Cropping Systems
 
 
Font Type:
Arial Georgia Verdana
Font Size:
Aa Aa Aa
Line Spacing:
Column Width:
Background:
Article

Effects of Domestic and Wild Ungulate Management on Young Oak Size and Architecture

1
Departamento de Sistemas y Recursos Naturales, Universidad Politécnica de Madrid, 28040 Madrid, Spain
2
Department of Biology, Stanford University, Stanford, CA 94305, USA
*
Author to whom correspondence should be addressed.
Sustainability 2021, 13(14), 7930; https://doi.org/10.3390/su13147930
Submission received: 25 June 2021 / Revised: 12 July 2021 / Accepted: 13 July 2021 / Published: 15 July 2021
(This article belongs to the Special Issue Agroforestry and Sustainable Agricultural Production)

Abstract

:
Scattered oaks in traditional silvopastoral systems (i.e., “dehesas”) provide important ecological services. However, livestock intensification applied to these systems over the last century has affected the architecture of young oak plants. This unsuitable rangeland management practice jeopardizes the long-term system sustainability. Here we examine the alterations in architecture of regenerating oak plants in Mediterranean dehesas under three representative management regimes: (1) traditional management with extensive sheep grazing; (2) commercially driven management with extensive cattle grazing, and (3) native deer grazing at moderate stocking rates (<0.11 livestock units × ha−1). Plant architecture was considerably altered in cattle-grazed “dehesas”, finding a 50% reduction in plant height–diameter ratios, compared to sheep-grazed dehesas where plants with higher height–diameter ratios predominated. Young oak plants, however, showed less altered architecture and less probability of damage on shoot apex (0.20-fold difference) in areas with deer grazing at moderate stocking rates. In addition, those young oak plants with multi-stemmed individual architecture were more stunted (lower values of crown height–diameter ratio) in areas with livestock grazing than wildlife areas (0.78-fold difference). Shrub presence, under all management schemes, helped to increase in plant height, except when shrubs were located under tree canopies. Conversely, plants without shrub protection showed stunted architecture with well-developed basal diameters but short stature. Appropriate sustainable practices should include cattle stocking rate reduction, traditional sheep grazing promotion, nurse shrub preservation and fencing stunted individuals along with pruning basal sprouts. Our study indicates that management may have important consequences on dehesa regeneration via alterations of plant architecture and therefore on system sustainability.

1. Introduction

Human-managed ecosystems featuring scattered trees occur throughout the world, providing important ecological services (e.g., seed source, nutrient enrichment, landscape connectivity functions, shelter; [1]). Many of these ecosystems are originally derived from dense forests that have been transformed into open agroforestry systems by clearing several trees and then used for grazing [1,2], supporting relatively high biodiversity [3,4]. This results in landscapes with scattered trees or shrubs (woody pastures) used for grazing. Despite their importance, these woody pastures have experienced important anthropogenic impacts such as overgrazing and land use conversion, all of which threaten their long-term persistence, particularly since the 1950s [5,6,7]. The lack of tree recruitment is one of the major consequences of such anthropogenic impacts [8] due to the implementation of inappropriate management practices that negatively affect natural oak (Quercus spp.) recruitment [9,10,11]. In particular, some livestock management practices such as the increment of livestock stocking rates (especially in extensive cattle grazing) or sheep replacement by cattle have been often related to oak recruitment failure [12,13,14,15].
Livestock has been regarded as an important part of ecosystem engineering that restructures ecological communities [16,17]. Generally, low levels of herbivory make woody growth and reproduction possible whereas high levels of it impede survival or affect plant development [18]. The permanent, stressing effect of high herbivory pressure, may not only affect recruitment rates but also patterns of plant recruitment (e.g., via sexual vs. asexual), as well as the architecture and growth patterns of young plants [19]. Herbivores generally destroy parts of the plants by pulling and trampling, and reduce biomass and cover of the stratum located within their grazing height [20]. The effects of large herbivores on young plant performance and architecture may in turn determine their probability of progressing from the juvenile stage to the adult (reproductive) stage, delaying or even impeding successful woodland regeneration of the woodland as a whole [21]. In addition, grazing height differs according to grazer body size. For instance, cattle can browse above 1.5 m high [22] while sheep typically browse below 1 m high [22], and red deer (Cervus elaphus L.) concentrates browsing at around 1 m [23]. Hence, larger herbivores are potentially able to consume greater proportions of the plant and have greater impacts damage on critical plant growth parts (e.g. apical meristems).
In Spain, ecosystems featuring scattered oak trees throughout the landscape, also known as dehesas, are internationally recognized for their ecological, socioeconomic and cultural importance, as well as for supporting high levels of biodiversity [2,24]. Yet, over the last few decades, dehesas have also suffered a dramatic increase of livestock stocking rates, which is often related to oak recruitment failure [9,13,14,15,25]. Research so far has primarily focused on the effect of different management schemes on oak recruitment density, both in dehesas [9,15] and other woody pasture lands [26,27,28]. However, little is known about the effect of different livestock management schemes (e.g., traditional vs. commercially competitive) or the use of wild vs. domestic ungulates on plant architecture and growth patterns of young oaks. Such knowledge is needed to integrate grazing into management schemes and to determine the ecological impact of herbivores on valuable human-dominated ecosystems. In similar oak wood-pastures worldwide, strong reductions in the stature of young plants (seedlings and saplings) have been observed in cattle-grazed areas compared to those without cattle for more than two decades [21,28]. The result is that oak recruits, repeatedly browsed by cattle, become bushy (multi-stemmed individuals), stunted individuals, forming coppice-like trees with multiple stems [21]. Conversely, it is known that the presence of shrubs in Mediterranean or arid ecosystems may reduce herbivory lethality [29] by reducing the probability of shoot apex damage [30], but this in turn may alter the plant architecture that facilitates the transition to plant reproductive stages. Thus, microsite location of young trees in relation to the presence of herbivore foraging patterns may play an important role not only on oak recruitment density [15,29] but also on plant architecture. Despite these relationships, oak architecture (e.g., height–diameter ratio, crown diameter, plant shape) has not been fully investigated across different microsites and under distinct management schemes.
This study brings together the effects of these two factors, impact of browsing on plant architecture, and the role of potentially protective microsites on young oak plant architecture under three representative management schemes of the Mediterranean scattered oak woodlands (dehesas). These schemes involve cattle, sheep and wildlife rearing (mostly red deer) foraging, under similar ecological conditions and for more than 30 years under the same management scheme. Specifically, we examined the architecture of Quercus ilex L. as this species is the dominant and most representative tree species of dehesas [31]. We predicted that (1) architectural measures (height, basal diameter and height–diameter ratio) of young plants (seedlings, saplings and oak multi-stemmed individuals) would be significantly modified under the current (>0.11 livestock units per ha, LU ha−1) extensive livestock farming (especially under cattle grazing) than wildlife management with moderate stocking rates (<0.11 LU ha−1); We posit, in particular, that crown height–diameter ratio of oak multi-stemmed individuals will be related to the management scheme, with gleaner oak multi-stemmed individuals under traditional sheep management; (2) the probability of finding undamaged shoot apexes would be also greater in traditional sheep management (small-sized animals) compared to other representative management schemes involving larger herbivore (wildlife or cattle) management; and (3) microsite location of young plants will affect oak architecture differently depending on the management scheme, with less impact on plant development under shrub protection.

2. Materials and Methods

2.1. Study Area

The study area (108 km2, largely flat and open) involved different oak dehesa systems within Toledo province, Central Spain (39–40° N, 5° W). Elevation ranges from 300 to 400 m a.s.l. The climate is Mediterranean oceanic pluvioseasonal [32], with a mean annual temperature of 15.1 °C and an average annual rainfall of 571 mm. Soils are sandy and acidic with low organic matter content within topsoil (see López-Sánchez et al. [15] for details). The study area supports diverse vegetation dominated by open holm oak (Quercus ilex L. subsp. ballota (Desf.) Samp.) woodland with a shrub cover mostly comprised of xerophytic and evergreen species. Shrub cover is low (0.2%, 0.6% and 38.0% in cattle, sheep and wildlife-grazed areas, respectively; [33]). The herbaceous layer is dominated by sub-nitrophilous Mediterranean annual communities and therophytic oligotrophic communities (see López-Sánchez et al. [15] for details).

2.2. Study Sites

Three sites (independent estates) with distinct and representative management (grazing regime) for at least thirty years (i.e., they were not subjected to ploughing, shrub-clearing or fire) were selected within the study area. The first one (142 ha), hereafter “Cattle”, consists of commercially driven management (0.33 LU ha−1) of cattle (breed “Avileña negra ibérica”). The second site (140 ha), hereafter “Sheep”, has been supporting traditional management (0.25 LU ha−1,) of extensive sheep (breed “Talaverana”). Both sites have maintained livestock rearing year-round for the last 40 years and represent the typical managements (stocking rates) for these systems [25,34]. In addition, both sites are fenced off to control livestock movements and prevent wildlife and human access (see López-Sánchez et al. [15] for details). Finally, the third site (150 ha) has not supported livestock since 1985 and its management has been devoted to recreational big game hunting, mostly red deer but also some wild boar (Sus scrofa L.), for the past 50 years, and represents the typical deer management (densities) of Mediterranean hunting properties in oak-dominated woodlands and dehesas [35,36] (see López-Sánchez et al. [15]).

2.3. Sample Design and Data Collection

We selected nine independent, replicated zones (three zones per site) of 5 ha, each one with similar density of holm oak trees (42.15 ± 11.44 trees ha−1), with similar diameter at breast height (40.40 ± 16.23 cm, see López-Sánchez et al. [15] for details). In each zone, eighteen 4 m × 35 m belt transects (separated by 40 m) were established (total n = 162) within which we defined four different microsites: (i) under the tree canopy (hereafter tree), (ii) under the shrub canopy (hereafter shrub), (iii) under the tree and shrub canopy (hereafter tree-shrub) and (iv) in open grasslands (hereafter open). We recorded the microsite and some architectural measures of all oak young plants (height <130 cm) that were found within the transect. The architectural measures were the basal diameter (hereafter, diameter, cm) and the height (cm) of all young plants, measured on the largest diameter shoot in the event of oak multi-stemmed individuals (plants with multiple shoots). We noted whether the apical sprout was browsed, or whether there was no sign of browsing. In the event of oak multi-stemmed individuals, we also measured crossed diameters (the largest one and their perpendicular). The mean of both crossed diameters was used as a single variable (hereafter, crown diameter). Vertebrate herbivory damage was categorized according to its intensity and was assessed for all young plants. Damage categories followed a 0–4 rank of herbivory level [28]: 0 for plants with no apparent browsing evidence (hereafter, null damage), 1 for plants with low browsing (1–10% of browsable biomass damaged; hereafter low damage), 2 for plants with moderate browsing (11–40% of browsable biomass damaged; hereafter moderate damage), 3 for plants with high browsing (41–70% of browsable biomass damaged; hereafter high damage), and 4 for plants with maximum browsing (>70% of browsable biomass damaged; hereafter maximum damage, see details in López-Sánchez et al. [28] for details) which was considered as unsustainable browsing since plants at this damage level become incapable of developing onto further ontogenetic stages [28,36]. Surveys were conducted at the beginning of spring (March–April 2014), coinciding with the highest browsing damage in most Mediterranean environments [37].

2.4. Statistical Analysis

We developed generalized linear mixed models (GLMMs, [38]) for all architectural response variables (Table 1). These models are an extension of General Linear Models (e.g., regression, variance analysis) allowing different error distributions for response variables, and establishing a linear relationship through a link function. In addition, applying random effects allows grouped data to be analyzed. We established the shape of the young plants (thickest shoot in the case of multi-stemmed individual oaks) through the height–diameter ratio (hereafter, HDR) by dividing the height/basal diameter (in the same units, cm). In addition, the shape of young oak multi-stemmed individuals was measured through crown height–diameter ratio (hereafter, CHDR, in cm) by dividing the height/crown diameter (in the same units, cm). When necessary, Box–Cox transformations [39] were applied to data in order to calculate the lambda transformation (power lambda link) [40] that maximizes the likelihood. Thus, the response variables were fitted to gamma error distribution with their corresponding power lambda link function (Table 1).
All models included rangeland management, microsite and the herbivory occurrence (presence-absence) as fixed effects. The structure of the random effect was the following: transect nested within zone and, thus, nested within management regime. Moreover, we repeated the same analyses for each response variable with the same random effect and fixed effects but including herbivory intensity (using the herbivory categories described above) instead of herbivory occurrence.
In addition, the occurrence of browsed apical sprout (presence-absence, for plants with some herbivory) was analyzed as a response variable by means of GLMMs and fitted to binomial error distribution with a logit link function. The models included rangeland management and microsite as fixed effects. Transect nested within zone and within management regime was considered as random effect.
We used the model averaging approach [41] in all cases. We first fitted the maximal model, containing all the predictors. Then, we performed model comparison of all possible models by using the AIC weights. For model comparison we used the “dredge” function within the “MuMIn” package of R. Finally, we obtained the model-averaged coefficients as well as the relative importance of each predictor (from 0 to 1) by using the “model.avg” function of “MuMIn”. For predicted values obtained from models, we used the “fitted” function within the “stats” basic package of R.
Data processing and statistics were performed using R 3.1.1 [42] with the modules “lme4” [43], “car” [44] and “MuMIn” [45].

3. Results

3.1. Management Effects on Young Oak Plant Architecture

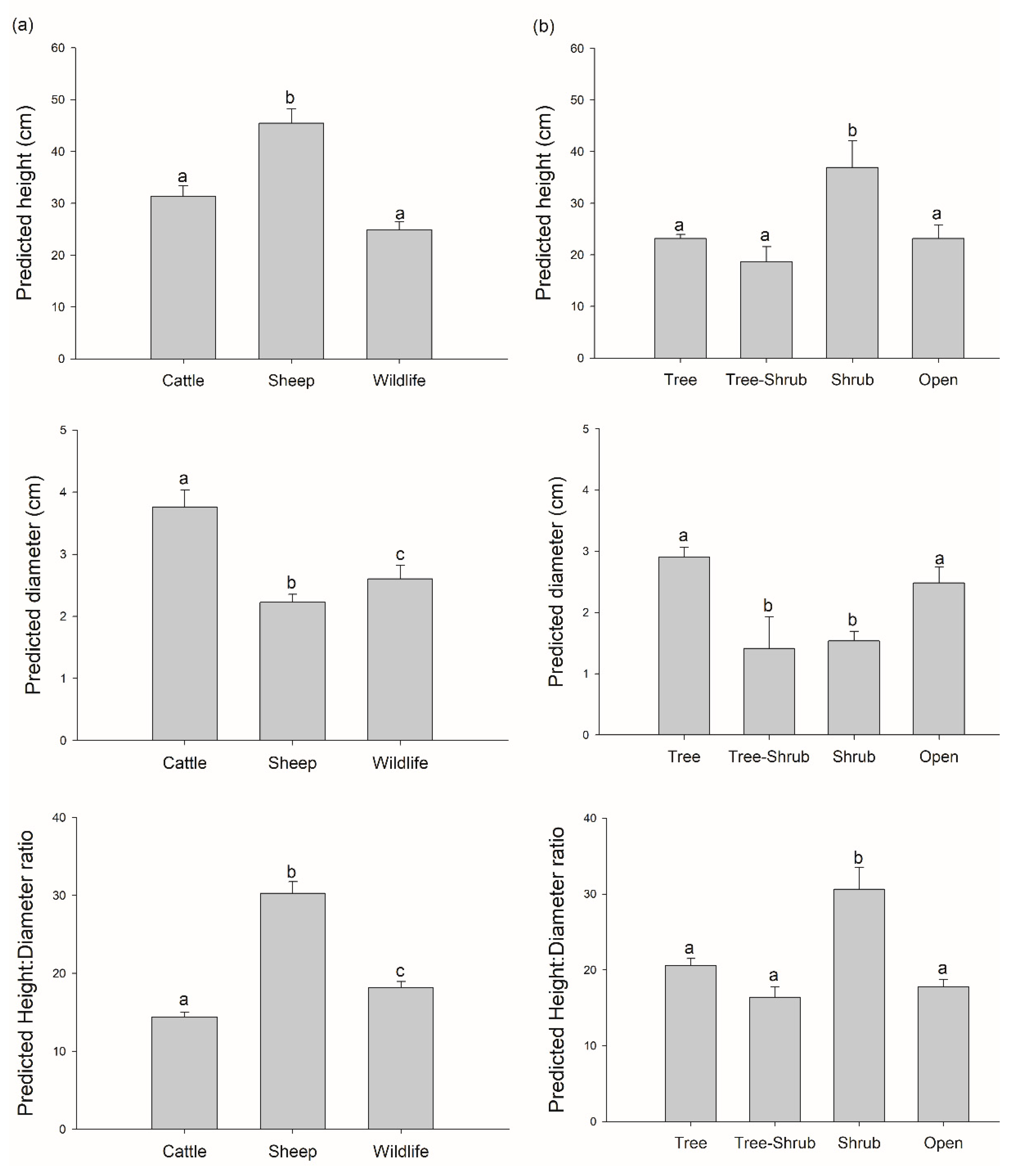
Rangeland management affected the height, diameter (>1 cm) and shape (HDR) of the young oaks and multi-stemmed individuals (Table 2). In sheep-grazed areas, we found significantly greater heights of young plants (mean of 45 cm) than in cattle-grazed areas (31 cm) and wildlife areas (24 cm; Figure 1a). In contrast, the diameter of young plants was greater (3.8 cm; Figure 1a) in cattle-grazed areas than in wildlife areas with no extensive farming (2.6 cm; Figure 1a). In addition, in areas where only wildlife was present the diameter of young plants was greater than in sheep-grazed areas (2 cm; Figure 1a).
As HDR is directly proportional to height measure, we also found higher values of HDR of young plants in sheep-grazed areas (30; Figure 1a) than in areas where livestock grazing was not present (20; Figure 1a). Furthermore, in areas where only wildlife was present the HDR of young plants was higher than in cattle-grazed areas (14; Figure 1a). We found a higher proportion of young oak multi-stemmed individuals in livestock (cattle or sheep)-grazed areas (71.0% ± 40.1 and 68.3% ± 30.7, respectively) than in wildlife areas (58.3% ± 43.6). Multi-stemmed individuals were more stunted (lower CHDR) in livestock grazing areas than in wildlife areas (Table 2), but they did not differ between cattle- and sheep-grazed areas (Table 2).
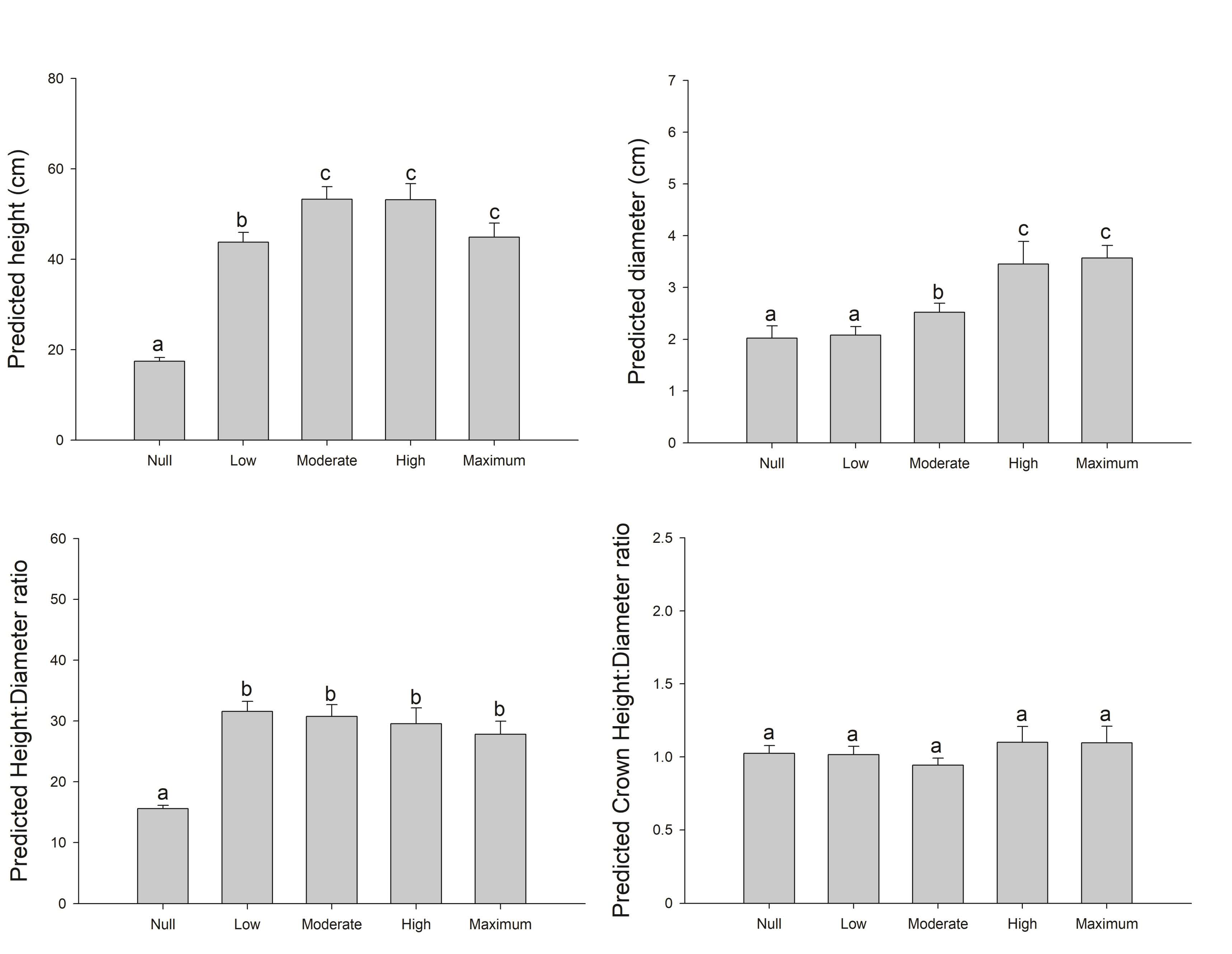
Plants with greater height (50 cm) showed higher probability of being browsed (Table 2) exhibiting moderate, high and maximum damages (Figure 2). In addition, plants with greater diameter (3.5 cm) showed higher probability of being browsed (Table 2) exhibiting high and maximum damage (Figure 2).
Plants with greater HDR (30) showed higher probability of being browsed (Table 2) for any score of herbivory intensity (Figure 2). We did not find differences in oak multi-stemmed individuals CHDR depending on occurrence and intensity of herbivory (Table 1, Figure 2).

3.2. Microsite Effects on Young Holm Oak Architecture

Microsite of location affected the height, diameter (>1 cm) and shape (HDR) of the young oaks (Table 2). However, we did not find differences in shape of oak multi-stemmed individuals (CHDR) depending on the microsite (Table 2).
Young oak plants refuged under shrubs located in open areas showed greater values of heights (mean of 37 cm) than in other microsites (around 20 cm; Figure 1b). In contrast, we found significantly greater diameters in open areas and under tree canopy cover (2.8 cm) than under shrubs located both in open areas and under tree canopy cover (1.5; Figure 1b).
Additionally, we found higher HDR (30) under shrub cover than in other microsites (18; Figure 1b).

3.3. Damage on Shoot Apex

Occurrence of intact shoot apex (no apical sprout damage) in young plants varied depending on the management regime (Table 3). In livestock (cattle or sheep)-grazed areas the probability of having a damaged shoot apex was greater than in wildlife areas. We did not find differences on shoot apex damage across microsites (Table 3).

4. Discussion

4.1. Management Effects on Young Oak Plant Architecture

The different management schemes led to a notable change in young oak recruitment architecture. We observed lower (40%) oak heights for areas with a management of commercial extensive cattle grazing in comparison to more traditional management such as sheep farming. Alternative management schemes with no extensive farming (at least 30 years without livestock) also reduced the young oak height in comparison to traditional sheep-grazed areas but the effect was less accentuated (around 30% height reduction) than with highly competitive cattle-grazing areas. Here, we found that plant architecture was modified, increasing the abundance of oak multi-stemmed individuals, with a clear shaping of the natural tree form (Figure 1). At stand level, an important consequence of abundant presence of young oak plants (height < 1.30 m) with low height–diameter ratios is the increase of the time required to reach the height threshold (1.5–2 m) that allows young trees to avoid being browsed [46,47]. In addition, stunted individuals with low height have greater probability of being killed by large browsers [48]. Importantly, we found a higher probability of shoot apex damage under permanent livestock farming (cattle or sheep), compared with representative wildlife areas, probably due to the continuous browsing activity of cattle and sheep (management under continuous grazing). Areas with no extensive farming (wildlife) usually involve lower stocking rates due to both lower animal density and greater mobility of wild ungulates. The continuous disruption of apical dominance through shoot apex removal results in shorter plants with multiple lateral meristems that facilitate the increase in width growth. This differential growth in width vs. height delays plant development and brings about a higher probability of being repeatedly damaged, either by browsing or by trampling [49]. Accordingly, we found larger basal diameters in cattle areas compared to wildlife areas, or with traditional management of sheep (Figure 1). This corroborates the idea of a disproportionally height–diameter ratio. According to Plieninger [6], dehesas with long-term silvopastoral use (>300 years) maintain adult or sub-adult trees with greater diameters than those with less historical silvopastoral management (60–100 years). Most of those adult or sub-adult trees are thick and have great diameter; but their height is not large enough to represent a well-developed adult tree. Our results showed that cattle farming management, involving continuous grazing at high stocking rates, resulted in a strong limitation for the growth of young oak plants and confirms previous studies [21,28,50].
Differences in HDR across management schemes need to be considered with caution since it may involve both management (stocking rates, presence) and animal size. Larger herbivores will reach the central shoot more easily than smaller herbivores. Most of the young oak plants in dehesas generated sprouts as a response to herbivore damage, and as soon as the horizontal extension of the stools is thick enough, the central shoot can gain height without being accessible to browsing herbivores [51]. Sheep are less able to reach the central shoot due to their smaller body size and, thus, young plants with certain height or width (e.g., wider oak multi-stemmed individuals) will escape shoot apex damage more easily, growing with higher HDR, which, in turn, results in the ability to advance to the adult stage faster. Moreover, slender young plants (higher HDR) showed a higher probability of being browsed since they were more visible and accessible than stunted plants.
Most oak regeneration found in examined livestock-grazed areas was in the form of oak multi-stemmed individuals (70%) due to high herbivore pressure, as happens in many dehesas holding livestock [9,25]. Our study reveals that livestock management exerted over more than 30 years results in more stunted plants (lower CHDR values) than in the case of wildlife grazing at moderate stocking rates (<0.11 LU ha−1) due to the longer and continued consumption over oak multi-stemmed individuals. In particular, intensive commercial management of cattle sustained stunted oak multi-stemmed individuals (compared to traditional management of sheep grazing), resulting in protection of the central shoot against damage caused by cattle in this type of management. However, these extensive oak multi-stemmed individuals could not avoid constant damage in their central shoot after more than 30 years due to the current, most competitive management, involving constant presence of the cattle (year-round) at high stocking rates (>0.30 LU ha−1).

4.2. Microsite Effects on Young Holm Oak Architecture

Young holm oak architecture was related to specific microsites. We found greater plant height under shrub protection in open areas. In harsh, dry environments, such as the Mediterranean, shrub cover not only provides protection against herbivore pressure [25,30], but also reduces evapotranspiration [52,53], which favors the growth of the apical shoot, leading to higher plants [52,54] with greater HDR (Figure 1). Thus, the results of our study are in line with previous research showing that the presence of some shrubs in Mediterranean dehesas may have positive effects on early recruitment of oak species, not only by facilitating seedling establishment [33,50,53,55], but also by ensuring a more natural plant architecture (reduction of apical damage) and a faster advance to the reproductive stage [15]. Plants under shrub protection located under trees were also protected against intensive browsing and desiccation. However, competition for light conditions and other resources is probably too high given the number of oak shoots under tree cover and the presence of the adult trees, which may reduce plant growth, affecting architecture. Conversely, we found higher diameter and smaller HDR under tree canopy and in open areas (without shrub protection) in comparison to those growing under shrub cover (Figure 1).

4.3. Sustainable Management Involves Well-Developed Young Oak Plants

The current age structure in dehesas (scarce adult oaks and lack of regeneration) represents a threat to the sustainability of the whole system because old-aged trees are not being replaced [9,13]. López-Sánchez et al. [15] have shown the striking differences in oak densities and herbivory role under three representative management schemes of Mediterranean dehesas. In the present study, we analyze the architecture of young oak plants subjected to these three typical management schemes in dehesas. It is not only important to evaluate the numerical oak recruitment presence but also the long-term effects of management (>30 years) on plant architecture and growth. Our results have shown that some livestock management schemes, chiefly high commercially competitive management of cattle, are generating stunted plants due to constant and heavy herbivore pressure over the same plants. However, traditional management of sheep grazing generated slender plants and promoted central shoot development compared to cattle grazing. Therefore, the management recommendation to return to a traditional livestock grazing management (e.g., using local sheep breeds) suggested by López-Sánchez et al. [15] would help plants grow faster, and with an adequate architecture that will ensure a more rapid and higher quality regeneration (i.e., incorporation of well-developed reproductive trees in less time). Furthermore, it might be helpful to reduce those Supplementary feed with high urea content that disproportionally make animals search for browse [56]. Additionally, temporary livestock exclusion with only the presence of wildlife (deer) at adequate densities (<0.11 LU ha−1) will provide opportunities for holm oak regeneration and a possible encroachment of shrub cover [57] that would help to protect young plants. However, high densities of deer could produce an opposite result [36,58,59], since deer also browse and are large-bodied animals that impede oak regeneration and can modify the architecture of young oaks [16]. Therefore, under wildlife management it is also essential to monitor and control deer populations [60,61].
Young plants should not only substitute the actual old stand but also ensure the future sustainability of the whole system by producing high acorn yield. Hence, individual protection may be essential in current livestock management schemes, especially in high commercially competitive management, along with shearing epicormic and basal sprouts [31]. This management practice should promote greater HDR, reducing the disproportional horizontal extension of the sprouts. In addition, this technique will generate larger saplings in a shorter amount of time and will give rise to reproductive trees. We may remove the individual protection after the saplings reach the grazing height threshold (>2 m). Herbivores will then browse lower parts of the plant, operating as a pruning mechanism with no effect on upper parts [62]. Examples of these techniques are shown in Figure 3 and clearly deserve further investigation. The use of oak multi-stemmed individuals or stunted saplings to generate reproductive trees through protection and pruning could be more promising (both economically and environmentally) than planting new individuals. For instance, protecting oak multi-stemmed individuals and saplings instead of planting imported trees will reduce the risk of introducing important diseases (e.g., sudden oak death caused by Phytophthora spp.) that have been commonly brought through the introduction of plant and soil material from nurseries. Further research is needed to fully evaluate the costs and benefits of these proposed management practices.

5. Conclusions

Livestock intensification (especially in high commercially competitive management with cattle grazing) applied to silvopastoral systems over the last century has affected the architecture of young oak plants, potentially reducing the probability of high acorn yield of future adult trees. This rangeland management practice jeopardizes the long-term system sustainability. Specifically, cattle-grazed “dehesas” feature considerably altered plant architecture by reducing 50% plant height–diameter ratios compared to traditional management with extensive sheep grazing. In contrast, young oak plants showed more natural architecture and less probability of damage on shoot apex in areas with deer grazing at moderate stocking rates. Shrub presence, for all management schemes, helped to increase plant height, except when shrubs were located under tree canopies.
Hence, we recommend sustainable practices such as cattle stocking rate reduction, traditional sheep grazing promotion, nurse shrub preservation and the fencing of stunted individuals along with pruning basal sprouts. Overall, our study highlights that management may have important consequences for dehesa regeneration via alterations of plant architecture and for the sustainability of the systems.

Author Contributions

Conceptualization, A.L.-S., R.P. and S.R.; formal analysis, A.L.-S.; data curation, A.L.-S.; writing—original draft preparation, A.L.-S.; writing—review and editing, R.P. and R.D.; supervision, R.P. and S.R. All authors have read and agreed to the published version of the manuscript.

Funding

This research was funded by a Study Fellowship (‘FPU’) of the Spanish Ministry of Education, Culture and Sport to A.L.-S., a Marie Curie fellowship from the European Union (FP7-PEOPLE-2013-IOF-627450) to R.P., and the project GLOBALFOR supported by UPM and Comunidad de Madrid (Convenio Plurianual for young researchers). RD was supported by Stanford’s unrestricted funds to Dirzo Lab.

Institutional Review Board Statement

“Not applicable.” Field studies did not involve endangered or protected species. Animals were only observed in the field, and were not captured or harmed in any way.

Data Availability Statement

The data presented in this study are openly available in the FigShare Repository at https://doi.org/10.6084/m9.figshare.14955483.v1 (accessed on 11 July 2021). López-Sánchez: Aida; Sonia Roig; Dirzo, Rodolfo; Perea, Ramón (2021): Effects of domestic and wild ungulate management on young oak size and architecture. figshare. Dataset. https://doi.org/10.6084/m9.figshare.14955483.v1 (accessed on 11 July 2021).

Acknowledgments

We thank the staff of ‘‘Dehesón del Encinar”, especially Celia López-Carrasco and Antonio Ávila Cerrada, for their help to access the ranch and help to contact ranch owners. We thank Arturo Cobisa Pérez for access at the ‘‘Dehesa nueva” and Luis Fernando Gómez Calvo for access at the ‘‘Valdecasillas”. We thank Irma Vasquez García for her assistance in the field.

Conflicts of Interest

The authors declare no conflict of interest.

References

  1. Manning, A.D.; Fischer, J.; Lindenmayer, D.B. Scattered trees are keystone structures–implications for conservation. Biol. Conserv. 2006, 132, 311–321. [Google Scholar] [CrossRef]
  2. Moreno, G.; Pulido, F.J. The functioning, management and persistence of dehesas. In Agroforestry in Europe; Springer: Berlin/Heidelberg, Germany, 2009; pp. 127–160. [Google Scholar]
  3. Myers, N.; Mittermeier, R.A.; Mittermeier, C.G.; da Fonseca, G.A.; Kent, J. Biodiversity hotspots for conservation priorities. Nature 2000, 403, 853–858. [Google Scholar] [CrossRef] [PubMed]
  4. Eichhorn, M.; Paris, P.; Herzog, F.; Incoll, L.; Liagre, F.; Mantzanas, K.; Mayus, M.; Moreno, G.; Papanastasis, V.; Pilbeam, D. Silvoarable systems in Europe–past, present and future prospects. Agrofor. Syst. 2006, 67, 29–50. [Google Scholar] [CrossRef]
  5. Fernández-Alés, R.; Martin, A.; Ortega, F.; Ales, E.E. Recent changes in landscape structure and function in a Mediterranean region of SW Spain (1950–1984). Landsc. Ecol. 1992, 7, 3–18. [Google Scholar] [CrossRef]
  6. Plieninger, T. Habitat loss, Fragmentation, and Alteration–Quantifying the Impactof Land-use Changes on a Spanish Dehesa Landscape by Use of Aerial Photography and GIS. Landsc. Ecol. 2006, 21, 91–105. [Google Scholar] [CrossRef]
  7. Underwood, E.C.; Viers, J.H.; Klausmeyer, K.R.; Cox, R.L.; Shaw, M.R. Threats and biodiversity in the mediterranean biome. Divers. Distrib. 2009, 15, 188–197. [Google Scholar] [CrossRef]
  8. Gibbons, P.; Lindenmayer, D.B.; Fischer, J.; Manning, A.D.; Weinberg, A.; Seddon, J.; Ryan, P.; Barrett, G. The future of scattered trees in agricultural landscapes. Conserv. Biol. 2008, 22, 1309–1319. [Google Scholar] [CrossRef]
  9. Pulido, F.J.; Díaz, M.; de Trucios, S.J.H. Size structure and regeneration of Spanish holm oak Quercus ilex forests and dehesas: Effects of agroforestry use on their long-term sustainability. For. Ecol. Manag. 2001, 146, 1–13. [Google Scholar] [CrossRef]
  10. Tyler, C.M.; Kuhn, B.; Davis, F.W. Demography and recruitment limitations of three oak species in California. Q. Rev. Biol. 2006, 81, 127–152. [Google Scholar] [CrossRef]
  11. Plieninger, T.; Schaich, H.; Kizos, T. Land-use legacies in the forest structure of silvopastoral oak woodlands in the Eastern Mediterranean. Reg. Environ. Chang. 2011, 11, 603–615. [Google Scholar] [CrossRef] [Green Version]
  12. Hostert, P.; Röder, A.; Hill, J.; Udelhoven, T.; Tsiourlis, G. Retrospective studies of grazing-induced land degradation: A case study in central Crete, Greece. Int. J. Remote Sens. 2003, 24, 4019–4034. [Google Scholar] [CrossRef]
  13. Plieninger, T.; Pulido, F.J.; Konold, W. Effects of land-use history on size structure of holm oak stands in Spanish dehesas: Implications for conservation and restoration. Environ. Conserv. 2003, 30, 61–70. [Google Scholar] [CrossRef]
  14. Cierjacks, A.; Hensen, I. Variation of stand structure and regeneration of Mediterranean holm oak along a grazing intensity gradient. Plant Ecol. 2004, 173, 215–223. [Google Scholar] [CrossRef]
  15. López-Sánchez, A.; Perea, R.; Dirzo, R.; Roig, S. Livestock vs. wild ungulate management in the conservation of Mediterranean dehesas: Implications for oak regeneration. For. Ecol. Manag. 2016, 362, 99–106. [Google Scholar] [CrossRef]
  16. Waller, D.M.; Alverson, W.S. The white-tailed deer: A keystone herbivore. Wildl. Soc. Bull. 1997, 217–226. [Google Scholar]
  17. Derner, J.D.; Lauenroth, W.K.; Stapp, P.; Augustine, D.J. Livestock as ecosystem engineers for grassland bird habitat in the western Great Plains of North America. Rangel. Ecol. Manag. 2009, 62, 111–118. [Google Scholar] [CrossRef] [Green Version]
  18. Díaz, M.; Pulido, F.J.; Møller, A.P. Herbivore effects on developmental instability and fecundity of holm oaks. Oecologia 2004, 139, 224–234. [Google Scholar] [CrossRef]
  19. Møller, A.P.; Shykoff, J.A. Morphological developmental stability in plants: Patterns and causes. Int. J. Plant Sci. 1999, 160, S135–S146. [Google Scholar] [CrossRef]
  20. Milchunas, D.G.; Lauenroth, W.K. Quantitative effects of grazing on vegetation and soils over a global range of environments. Ecol. Monogr. 1993, 63, 327–366. [Google Scholar] [CrossRef]
  21. Garbarino, M.; Bergmeier, E. 7 Plant and vegetation diversity in European wood-pastures. In European Wood-Pastures in Transition: A Social-Ecological Approach; Hartel, T., Plieninger, T., Eds.; Routledge: Abingon, UK, 2014; pp. 113–131. [Google Scholar]
  22. Sanon, H.; Kaboré-Zoungrana, C.; Ledin, I. Behaviour of goats, sheep and cattle and their selection of browse species on natural pasture in a Sahelian area. Small Rumin. Res. 2007, 67, 64–74. [Google Scholar] [CrossRef]
  23. Renaud, P.-C.; Verheyden-Tixier, H.; Dumont, B. Damage to saplings by red deer (Cervus elaphus): Effect of foliage height and structure. For. Ecol. Manag. 2003, 181, 31–37. [Google Scholar] [CrossRef]
  24. Plieninger, T.; Wilbrand, C. Land use, biodiversity conservation, and rural development in the dehesas of Cuatro lugares, Spain. Agrofor. Syst. 2001, 51, 23–34. [Google Scholar] [CrossRef]
  25. Plieninger, T.; Pulido, F.J.; Schaich, H. Effects of land-use and landscape structure on holm oak recruitment and regeneration at farm level in Quercus ilex L. dehesas. J. Arid Environ. 2004, 57, 345–364. [Google Scholar] [CrossRef]
  26. McClaran, M.P.; Bartolome, J.W. Effect of Quercus douglasii (Fagaceae) on herbaceous understory along a rainfall gradient. Madroño 1989, 36, 141–153. [Google Scholar]
  27. Dufour-Dror, J.-M. Influence of cattle grazing on the density of oak seedlings and saplings in a Tabor oak forest in Israel. Acta Oecol. 2007, 31, 223–228. [Google Scholar] [CrossRef]
  28. López-Sánchez, A.; Schroeder, J.; Roig, S.; Sobral, M.; Dirzo, R. Effects of cattle management on oak regeneration in northern Californian Mediterranean oak woodlands. PLoS ONE 2014, 9, e105472. [Google Scholar] [CrossRef] [PubMed]
  29. Rolo, V.; Plieninger, T.; Moreno, G. Facilitation of holm oak recruitment through two contrasted shrubs species in Mediterranean grazed woodlands. J. Veg. Sci. 2013, 24, 344–355. [Google Scholar] [CrossRef]
  30. Perea, R.; Gil, L. Shrubs facilitating seedling performance in ungulate-dominated systems: Biotic versus abiotic mechanisms of plant facilitation. Eur. J. For. Res. 2014, 133, 525–534. [Google Scholar] [CrossRef]
  31. Serrada, R.; San Miguel, A. Selvicultura en Dehesas; Serrada, R., Montero, G., Reque, J.A., Eds.; INIA-Fundación Conde del Valle de Salazar: Madrid, Spain, 2008; Volume 1178, pp. 861–876. [Google Scholar]
  32. Rivas-Martínez, S.; Rivas-Saenz, S. Worldwide Bioclimatic Classification System 1996–2017. Available online: http://www.globalbioclimatics.org (accessed on 22 November 2017).
  33. Perea, R.; López-Sánchez, A.; Roig, S. The use of shrub cover to preserve Mediterranean oak dehesas: A comparison between sheep, cattle and wild ungulate management. Appl. Veg. Sci. 2016, 19, 244–253. [Google Scholar] [CrossRef]
  34. Escribano, M.; Rodríguez, A.; Mesías, F.J.; Pulido, F. Niveles de cargas ganaderas en la dehesa extremeña. Arch. Zootec. 2002, 51, 315–326. [Google Scholar]
  35. Acevedo, P.; Ruiz-Fons, F.; Vicente, J.; Reyes-García, A.; Alzaga, V.; Gortázar, C. Estimating red deer abundance in a wide range of management situations in Mediterranean habitats. J. Zool. 2008, 276, 37–47. [Google Scholar] [CrossRef]
  36. Perea, R.; Girardello, M.; San Miguel, A. Big game or big loss? High deer densities are threatening woody plant diversity and vegetation dynamics. Biodivers. Conserv. 2014, 23, 1303–1318. [Google Scholar] [CrossRef]
  37. Perea, R.; Perea-García-Calvo, R.; Díaz-Ambrona, C.G.; San Miguel, A. The reintroduction of a flagship ungulate Capra pyrenaica: Assessing sustainability by surveying woody vegetation. Biol. Conserv. 2015, 181, 9–17. [Google Scholar] [CrossRef]
  38. Zuur, A.F.; Ieno, E.N.; Walker, N.J.; Saveliev, A.A.; Smith, G.M. Mixed effects modelling for nested data. In Mixed Effects Models and Extensions in Ecology with R; Springer: Berlin/Heidelberg, Germany, 2009; pp. 101–142. [Google Scholar]
  39. Box, G.E.; Cox, D.R. An analysis of transformations. J. R. Stat. Soc. Ser. B Methodol. 1964, 26, 211–252. [Google Scholar] [CrossRef]
  40. Crawley, M.J. The R Book; John Wiley & Sons: Hoboken, NJ, USA, 2012. [Google Scholar]
  41. Burnham, K.P.; Anderson, D.R. Model Selection and Multi-Model Inference: A Practical Information-Theoretic Approach, 2nd ed.; Springer: New York, NY, USA, 2002. [Google Scholar]
  42. R Development Core Team. R: A Language and Environment for Statistical Computing; Foundation for Statistical Computing: Vienna, Austria, 2015. [Google Scholar]
  43. Bates, D.; Maechler, M.; Bolker, B.; Walker, S. Fitting Linear Mixed-Effects Models Using lme4. J. Stat. Softw. 2015, 67, 1–48. [Google Scholar] [CrossRef]
  44. Fox, J.; Weisberg, S. An {R} Companion to Applied Regression; Sage: Thousand Oaks, CA, USA, 2011. [Google Scholar]
  45. Barton, K. MuMIn: Multi-Model Inference. R Package Version 1.15.1, 2015.
  46. Pérez-Férnandez, M.A.; Gomez-Gutiérrez, J.M. Evolution of the tree cover (Quercus pyrenaica Willd and Quercus ilex subspecies ballota (Desf. Samp) in a dehesa over the last 100 years. Cah. Options Méditerranéennes 1995, 12, 259–266. [Google Scholar]
  47. Zamora, R.; Gómez, J.M.; Hódar, J.A.; Castro, J.; García, D. Effect of browsing by ungulates on sapling growth of Scots pine in a Mediterranean environment: Consequences for forest regeneration. For. Ecol. Manag. 2001, 144, 33–42. [Google Scholar] [CrossRef]
  48. Bartolome, J.W.; McClaran, M.P.; Allen-Diaz, B.H.; Ford, L.D.; Standiford, R.B.; McDougald, N.K.; Forero, L.C. Effects of fire and browsing on regeneration of blue oak. In Oaks in California’s Changing Landscapes, Proceedings of the 5th Symposium on Oak Woodlands; Standiford, R., McCreary, D., Purcell, K., Eds.; General Technical Report PSW-GTR-184; PSRS, Forest Service: Albany, CA, USA; USDA: San Diego, CA, USA, 2001; pp. 281–286. [Google Scholar]
  49. Aarssen, L.W. Hypotheses for the evolution of apical dominance in plants: Implications for the interpretation of overcompensation. Oikos 1995, 74, 149–156. [Google Scholar] [CrossRef]
  50. Carmona, C.P.; Azcárate, F.M.; Oteros-Rozas, E.; González, J.A.; Peco, B. Assessing the effects of seasonal grazing on holm oak regeneration: Implications for the conservation of Mediterranean dehesas. Biol. Conserv. 2013, 159, 240–247. [Google Scholar] [CrossRef] [Green Version]
  51. San Miguel, A. La Dehesa Española: Origen, Tipología, Características y Gestión; Fundación Conde del Valle Salazar: Madrid, Spain, 1994; p. 96. [Google Scholar]
  52. Castro, J.; Zamora, R.; Hódar, J.A.; Gómez, J.M. Use of shrubs as nurse plants: A new technique for reforestation in Mediterranean mountains. Restor. Ecol. 2002, 10, 297–305. [Google Scholar] [CrossRef] [Green Version]
  53. Gómez-Aparicio, L.; Zamora, R.; Gómez, J.M.; Hódar, J.A.; Castro, J.; Baraza, E. Applying plant facilitation to forest restoration: A meta-analysis of the use of shrubs as nurse plants. Ecol. Appl. 2004, 14, 1128–1138. [Google Scholar] [CrossRef] [Green Version]
  54. Pulido, F.J.; Díaz, M. Regeneration of a Mediterranean oak: A whole-cycle approach. Ecoscience 2005, 12, 92–102. [Google Scholar] [CrossRef]
  55. Pulido, F.; García, E.; Obrador, J.J.; Moreno, G. Multiple pathways for tree regeneration in anthropogenic savannas: Incorporating biotic and abiotic drivers into management schemes. J. Appl. Ecol. 2010, 47, 1272–1281. [Google Scholar] [CrossRef]
  56. San Miguel, A. La vegetación arbórea. In Manual de Buenas Prácticas de Gestión en Fincas de Montes Mediterráneo de la Red Natura 2000; González, L.M., San Miguel, A., Eds.; Dirección General para la Biodiversidad; Ministerio de Medio Ambiente: Madrid, Spain, 2005; pp. 157–176. [Google Scholar]
  57. Ramírez, J.A.; Díaz, M. The role of temporal shrub encroachment for the maintenance of Spanish holm oak Quercus ilex dehesas. For. Ecol. Manag. 2008, 255, 1976–1983. [Google Scholar] [CrossRef]
  58. Mysterud, A. The concept of overgrazing and its role in management of large herbivores. Wildl. Biol. 2006, 12, 129–141. [Google Scholar] [CrossRef] [Green Version]
  59. Gill, R.M.A.; Morgan, G. The effects of varying deer density on natural regeneration in woodlands in lowland Britain. Forestry 2010, 83, 53–63. [Google Scholar] [CrossRef]
  60. Olea, L.; San Miguel, A. The Spanish Dehesa. A Traditional Mediterranean Silvopastoral System Linking Production and Nature Conservation. In the 21st General Meeting of the European Grassland Federation; European Grassland Federation: Kassel, Germany, 2006; pp. 3–11. [Google Scholar]
  61. Martínez-Jaúregui, M.; Arenas, C.; Herruzo, A.C. Understanding long-term hunting statistics: The case of Spain (1972–2007). For. Syst. 2011, 20, 139–150. [Google Scholar] [CrossRef] [Green Version]
  62. Perea, R. Bellotas: El esperado maná. Trofeo. Caza Conserv. 2012, 511, 60–65. [Google Scholar]
Figure 1. Architectural variables (height, diameter and height–diameter ratio) of plants depending on (a) the management regime (shown through the bars); and (b) the microsite (shown through the bars). N = 554 plants for height and height–diameter ratio, and N = 176 plants for diameter as response variables. Error lines are 95% confidence intervals. Different letters (a, b, c) indicate significant differences (p < 0.05) in architectural variables between (a) management regime and (b) microsite.
Figure 1. Architectural variables (height, diameter and height–diameter ratio) of plants depending on (a) the management regime (shown through the bars); and (b) the microsite (shown through the bars). N = 554 plants for height and height–diameter ratio, and N = 176 plants for diameter as response variables. Error lines are 95% confidence intervals. Different letters (a, b, c) indicate significant differences (p < 0.05) in architectural variables between (a) management regime and (b) microsite.
Sustainability 13 07930 g001
Figure 2. Probability of browsing depending on plant architectural variables (plant height, diameter and height–diameter ratio, and multi-stemmed individual crown height–diameter ratio). N = 554 plants for height and height–diameter ratio, N = 176 plants for diameter, and N = 253 multi-stemmed individuals as response variables. Bars indicate plant architectural variable value between different levels of damage intensity. Null damage: browsable biomass undamaged; Low damage: 1–10% of browsable biomass damaged; Moderate damage: 11–40% of browsable biomass damaged; High damage: 41–70% of browsable biomass damaged; Maximum damage: >70% of browsable biomass damaged. Error lines are 95% confidence intervals. Different letters (a, b, c) indicate significant differences (p < 0.05) in architectural variables between different levels of herbivory damage intensity.
Figure 2. Probability of browsing depending on plant architectural variables (plant height, diameter and height–diameter ratio, and multi-stemmed individual crown height–diameter ratio). N = 554 plants for height and height–diameter ratio, N = 176 plants for diameter, and N = 253 multi-stemmed individuals as response variables. Bars indicate plant architectural variable value between different levels of damage intensity. Null damage: browsable biomass undamaged; Low damage: 1–10% of browsable biomass damaged; Moderate damage: 11–40% of browsable biomass damaged; High damage: 41–70% of browsable biomass damaged; Maximum damage: >70% of browsable biomass damaged. Error lines are 95% confidence intervals. Different letters (a, b, c) indicate significant differences (p < 0.05) in architectural variables between different levels of herbivory damage intensity.
Sustainability 13 07930 g002
Figure 3. Protection of two stunted multi-stemmed individuals of oak (Quercus ilex) with a strong wire fence (2 m high). Only part of the oak multi-stemmed individuals was protected. Pictures show a comparison between the protected part and the original part (non-protected oak multi-stemmed individuals): (a) cylindrical shape of the protected part of the multi-stemmed individuals, showing an increase in height (>2 m high) and no pruning was carried out; and (b) small tree generated from a multi-stemmed individual after partial protection and pruning of the basal sprouts. The following Photos: Ramón Perea.
Figure 3. Protection of two stunted multi-stemmed individuals of oak (Quercus ilex) with a strong wire fence (2 m high). Only part of the oak multi-stemmed individuals was protected. Pictures show a comparison between the protected part and the original part (non-protected oak multi-stemmed individuals): (a) cylindrical shape of the protected part of the multi-stemmed individuals, showing an increase in height (>2 m high) and no pruning was carried out; and (b) small tree generated from a multi-stemmed individual after partial protection and pruning of the basal sprouts. The following Photos: Ramón Perea.
Sustainability 13 07930 g003
Table 1. Summary of architectural (response) variables.
Table 1. Summary of architectural (response) variables.
Response VariableSample Size Used (n)Error Distribution (Power Lambda Link Function) 1
Height554 (all plants)Gamma (0.70)
Diameter174 (plants with basal diameter >1 cm)Gamma (0.70)
Height–diameter ratio554 (all plants)Gamma (0.34)
Crown height–diameter ratio253 (only oak multi-stemmed individuals)Gamma (0.33)
1 Power lambda link function (g(μ) = μλ) is the lambda (λ, numeric value inside the brackets) used for the monotonic transformations.
Table 2. Summary of the generalized linear mixed models to analyze the effect of management, occurrence of herbivory and microsite on plant architectural variables (height, diameter and height–diameter ratio, and crown height–diameter ratio).
Table 2. Summary of the generalized linear mixed models to analyze the effect of management, occurrence of herbivory and microsite on plant architectural variables (height, diameter and height–diameter ratio, and crown height–diameter ratio).
Response VariableManagementH.O. 1Microsite
SheepWildlifePresenceShrubTree-ShrubOpen
Height (cm)Estimated model coefficient5.0881.4236.4282.6260.053−0.539
Standard error1.0210.9350.5171.0030.4900.548
z-value4.9831.52212.4232.6190.1090.985
p-value<0.0010.128<0.0010.0090.9130.325
Diameter (cm)Estimated model coefficient−0.528−0.2890.271−0.662−0.7190.038
Standard error0.1320.1390.1270.2160.2590.103
z-value4.0002.0762.1243.0652.7790.363
p-value<0.0010.0380.0340.0020.0050.716
Height–diameter ratioEstimated model coefficient0.9170.4170.4450.5290.052−0.053
Standard error0.0950.0910.0530.1140.0730.068
z-value9.6044.5718.3494.6340.7060.777
p-value<0.001<0.001<0.001<0.0010.4800.437
Crown Height–diameter ratioEstimated model coefficient0.0260.1040.0440.069−0.0300.002
Standard error0.0390.0400.0310.0530.0510.029
z-value0.6592.5851.3901.2990.5960.072
p-value0.5090.0100.1650.1940.5510.943
1 H.O: Herbivory Occurrence. Reference levels from fixed effects Management, H.O. and Microsite are Cattle, Absence and Tree, respectively.
Table 3. Summary of the generalized linear mixed models to analyze the effect of management and microsite on the occurrence of apical sprout damage.
Table 3. Summary of the generalized linear mixed models to analyze the effect of management and microsite on the occurrence of apical sprout damage.
Response VariablePredictorsFactorsEstimated Model CoefficientStandard Errorz-Valuep-Value
Probability of occurrence of apical sprout damageIntercept 0.7060.7390.9540.340
ManagementSheep−0.0600.9770.0610.951
Wildlife−3.4940.9833.557<0.001
Shrub0.6990.6881.0170.309
Tree-shrub−0.1530.6390.2390.810
MicrositeOpen0.6950.3931.7690.077
Publisher’s Note: MDPI stays neutral with regard to jurisdictional claims in published maps and institutional affiliations.

Share and Cite

MDPI and ACS Style

López-Sánchez, A.; Roig, S.; Dirzo, R.; Perea, R. Effects of Domestic and Wild Ungulate Management on Young Oak Size and Architecture. Sustainability 2021, 13, 7930. https://doi.org/10.3390/su13147930

AMA Style

López-Sánchez A, Roig S, Dirzo R, Perea R. Effects of Domestic and Wild Ungulate Management on Young Oak Size and Architecture. Sustainability. 2021; 13(14):7930. https://doi.org/10.3390/su13147930

Chicago/Turabian Style

López-Sánchez, Aida, Sonia Roig, Rodolfo Dirzo, and Ramón Perea. 2021. "Effects of Domestic and Wild Ungulate Management on Young Oak Size and Architecture" Sustainability 13, no. 14: 7930. https://doi.org/10.3390/su13147930

APA Style

López-Sánchez, A., Roig, S., Dirzo, R., & Perea, R. (2021). Effects of Domestic and Wild Ungulate Management on Young Oak Size and Architecture. Sustainability, 13(14), 7930. https://doi.org/10.3390/su13147930

Note that from the first issue of 2016, this journal uses article numbers instead of page numbers. See further details here.

Article Metrics

Back to TopTop