Impact of Land Configuration and Strip-Intercropping on Runoff, Soil Loss and Crop Yields under Rainfed Conditions in the Shivalik Foothills of North-West, India
Abstract
1. Introduction
2. Materials and Methods
2.1. Experimental Site
2.2. Experimental Details and Crop Management Practices
2.3. Measurement of Leaf Area and Yield
2.4. Measurement of Runoff, Soil Loss, Nutrient Loss, and Water Conservation Efficiency
2.5. Intercropping Indices
2.6. Economic Analysis
2.7. Statistical Analysis
3. Results
3.1. Productivity
3.1.1. Maize
3.1.2. Cowpea
3.2. Maize Equivalent Yield (MEY) and Land Equivalent Ratio (LER)
3.2.1. Maize Equivalent Yield
3.2.2. Land Equivalent Ratio (LER)
3.3. Leaf Area Index (LAI)
3.4. Resource Conservation
3.4.1. Runoff and Soil Loss
3.4.2. Nutrient Loss
3.4.3. Water Conservation Efficiency and Water Use Efficiency
3.5. Profitability
4. Discussion
4.1. Maize and Cowpea Productivity from 2015 to 2017
4.2. Runoff and Soil Loss
4.3. Nutrient Losses
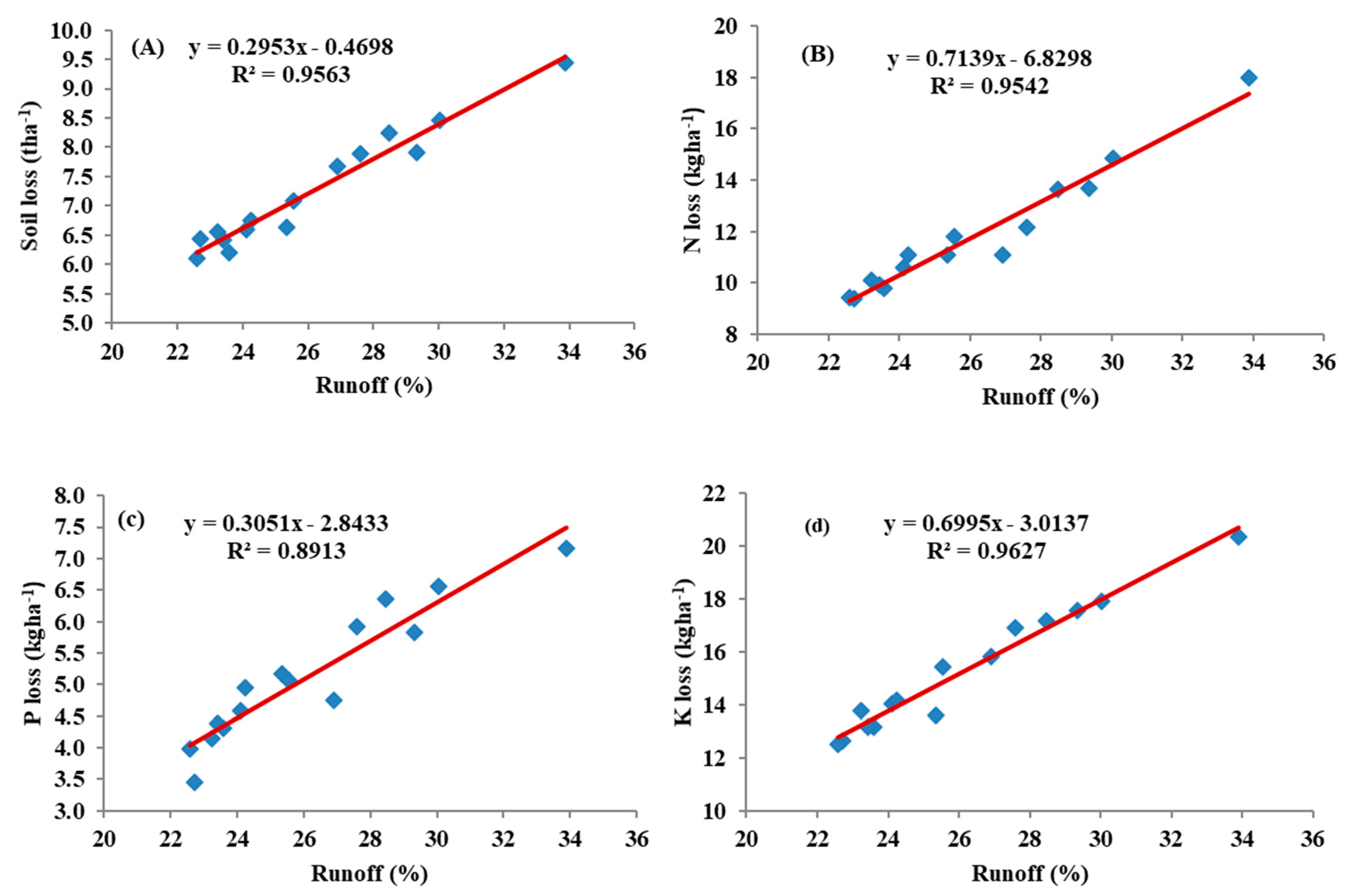
4.4. Regression and Correlation Analysis
5. Conclusions
Author Contributions
Funding
Institutional Review Board Statement
Informed Consent Statement
Data Availability Statement
Acknowledgments
Conflicts of Interest
References
- Dregne, H.E. Land degradation in the drylands. Arid Land Res. Manag. 2002, 16, 99–132. [Google Scholar] [CrossRef]
- Oyedele, D.; Aina, P. A study of soil factors in relation to erosion and yield of maize on a Nigerian soil. Soil Tillage Res. 1998, 48, 115–125. [Google Scholar] [CrossRef]
- Tiruwa, D.B.; Khanal, B.R.; Lamichhane, S.; Acharya, B.S. Soil erosion estimation using Geographic Information System (GIS) and Revised Universal Soil Loss Equation (RUSLE) in the Siwalik Hills of Nawalparasi, Nepal. J. Water Clim. Chang. 2021, in press. [Google Scholar] [CrossRef]
- UNCCD. Desertification, Land Degradation & Drought (DLDD): Some Global Facts and Figures—United Nations Conventions to Combat Desertification. 2015. Available online: http://www.unccd.int/Lists/SiteDocumentLibrary/WDCD/DLDD%20Facts.pdf (accessed on 17 February 2021).
- Montgomery, D.R. Soil erosion and agricultural sustainability. Proc. Natl. Acad. Sci. USA 2007, 104, 13268–13272. [Google Scholar] [CrossRef]
- Oldeman, L.R.; Hakkeling, R.T.A.; Sombroek, W.G. World Map of the Status of Human-induced Soil Degradation: An Explanatory Note, Second Revised Edition: ISRIC/UNEP. 1991. Available online: http://www.isric.org/sites/default/files/ExplanNote_1.pdf (accessed on 15 January 2021).
- Bai, Z.G.; Dent, D.L.; Olsson, L.; Schaepman, M.E. Proxy global assessment of land degradation. Soil Use Manag. 2008, 24, 223–234. [Google Scholar] [CrossRef]
- Bindraban, P.S.; Van der Velde, M.; Ye, L.; Van den Berg, M.; Materechera, S.; Innocent Kiba, D.; Tamene, L.; Vala Ragnarsdottir, K.; Jongschaap, R.; Hoogmoed, M.; et al. Assessing the impact of soil degradation on food production. Curr. Opin. Environ. Sustain. 2012, 4, 478–488. [Google Scholar] [CrossRef]
- Pimentel, P.; Burgess, M. Soil erosion threatens food production. Agriculture 2013, 3, 443–463. [Google Scholar] [CrossRef]
- Hurni, H.; Giger, M.; Liniger, H.; Studer, R.M.; Messerli, P.; Portner, B.; Schwilch, G.; Wolfgramm, B.; Breu, T. Soils, agriculture and food security: The interplay between ecosystem functioning and human well-being. Curr. Opin. Environ. Sustain. 2015, 15, 25–34. [Google Scholar] [CrossRef]
- Gibbs, H.K.; Salmon, J.M. Mapping the world’s degraded lands. Appl. Geogr. 2015, 57, 12–21. [Google Scholar] [CrossRef]
- FAO. The State of the World’s Land and Water Resources for Food and Agriculture (SOLAW)—Managing Systems at Risk; Food and Agriculture Organization of the United Nations: Rome, Italy; Earthscan: London, UK, 2011; Available online: http://www.fao.org/docrep/017/i1688e/i1688e.pdf (accessed on 15 January 2021).
- McCool, D.K.; Williams, J.D. Soil erosion by water. In Encyclopedia of Ecology; Jorgensen, S.E., Fath, B.D., Eds.; Elsevier: Amsterdam, The Netherlands, 2008; pp. 3284–3290. [Google Scholar]
- Bhardwaj, A.; Rana, D.S. Torrent control measures in Kandi area of Punjab-A case study. J. Water Manag. 2008, 16, 55–63. [Google Scholar]
- Yousuf, A.; Bhardwaj, A.; Prasad, V. Simulating impact of conservation interventions on runoff and sediment yield in a degraded watershed using WEPP model. Ecopersia 2021, 9, 191–205. [Google Scholar]
- Bhardwaj, A.; Kaushal, M.P. Two dimensional physically based finite element runoff model for small agricultural watershed. Hydrol. Process. 2009, 23, 397–407. [Google Scholar] [CrossRef]
- Lenz, J.; Yousuf, A.; Schindewolf, M.; Werner, M.V.; Hartsch, K.; Singh, M.J.; Schmidt, J. Parameterization for EROSION-3D model under simulated rainfall conditions in lower Shivaliks of India. Geosciences 2018, 8, 396. [Google Scholar] [CrossRef]
- Mandal, M.; Sharda, V.N. Assessment of permissible soil loss in India employing a quantitative bio-physical model. Curr. Sci. 2011, 100, 383–389. [Google Scholar]
- Hadda, M.S.; Arora, S. Soil and nutrient management practices for sustaining crop yields under maize-wheat cropping sequence in sub-mountain Punjab, India. Soil Environ. 2006, 25, 1–5. [Google Scholar]
- Singh, M.J.; Khera, K.L. Soil erodibility indices under different land uses in lower Shiwaliks. Trop. Ecol. 2005, 49, 113–119. [Google Scholar]
- Sharma, K.R.; Arora, S. Runoff & soil loss as affected by different intercrops with maize in relation to productivity in the Kandi region of Jammu. In Emerging Trends in Watershed Management; Yadav, R.P., Tiwari, A.K., Sharma, P., Singh, P., Arya, S.L., Bhatt, V.K., Prasad, R., Sharda, V.N., Eds.; Satish Serial Publishing House: New Delhi, India, 2010; Volume 1, pp. 355–361. [Google Scholar]
- Ma, B.; Yu, X.; Ma, F.; Li, Z.; Wu, F. Effects of crop canopies on rain splash detachment. PLoS ONE 2014, 9, e99717. [Google Scholar] [CrossRef] [PubMed]
- Li, G.; Wan, L.; Cui, M.; Wu, B.; Zhou, J. Influence of canopy interception and rainfall kinetic energy on soil erosion under forests. Forests 2019, 10, 506. [Google Scholar] [CrossRef]
- Barton, A.P.; Fullen, M.A.; Mitchell, D.J.; Hocking, T.J.; Liu, L.; Bo, Z.W.; Zheng, Y.; Xia, Z.Y. Effects of soil conservation measures on erosion rates and crop productivity on sub-tropical Ultisols in Yunnan Province, China. Agric. Ecosyst. Environ. 2004, 104, 343–357. [Google Scholar] [CrossRef]
- Dunj’o, G.; Pardini, G.; Gispert, M. The role of land use land cover on runoff generation and sediment yield at a microplot scale in a small Mediterranean catchment. J. Arid Environ. 2004, 57, 99–116. [Google Scholar] [CrossRef]
- Adekalu, K.O.; Okunade, D.A.; Osunbitan, J.A. Compaction and mulching effects on soil loss and runoff from two south-western Nigeria agricultural soils. Geoderma 2006, 137, 226–230. [Google Scholar] [CrossRef]
- Ali, I.; Khan, F.; Bhatti, A.U. Soil and nutrient losses by water erosion under mono-cropping and legume inter-cropping on sloping land. Pak. J. Agric. Res. 2007, 20, 161–166. [Google Scholar]
- Machado, S. Does intercropping have a role in modern agriculture? J. Soil Water Conserv. 2009, 64, 55A–57A. [Google Scholar] [CrossRef]
- Subudhi, C.R.; Senapati, S.C. Relationship between rainfall, runoff, soil loss and productivity in north eastern ghat zone of Odisha. Biom. Biostat. Int. J. 2016, 4, 84–89. [Google Scholar]
- Nyawade, S.O.; Gachene, C.K.K.; Karanja, N.N.; Gitari, H.I.; Schulte-Geldermann, E.; Parker, M.L. Controlling soil erosion in smallholder potato farming systems using legume intercrops. Geoderma Reg. 2019, 17, e00225. [Google Scholar] [CrossRef]
- Lithourgidis, A.S.; Dordas, C.A.; Damalas, C.A.; Vlachostergios, D.N. Annual intercrops: An alternative pathway for sustainable agriculture. Aust. J. Crop Sci. 2011, 5, 396–410. [Google Scholar]
- Verdelli, D.; Acciaresi, H.A.; Leguizamon, E.S. Corn and Soybeans in a Strip Intercropping System: Crop Growth Rates, Radiation Interception, and Grain Yield Components. Int. J. Agron. 2012, 980284. [Google Scholar] [CrossRef]
- Sharaiha, R.K.; Ziadat, F.M. Alternative cropping systems to control soil erosion in arid to semi-arid areas of Jordan. Afr. Crop Sci. Conf. Proc. 2007, 8, 1559–1565. [Google Scholar] [CrossRef]
- Ghosh, B.N.; Sharma, N.K.; Dadhwal, K.S. Integrated nutrient management and intercropping/cropping system impact on yield, water productivity and net return in valley soils of north-west Himalayas. Ind. J. Soil Conserv. 2011, 39, 236–242. [Google Scholar]
- Wang, T.; Zhu, B.; Xia, L. Effects of contour hedgerow intercropping on nutrient losses from the sloping farmland in the three Gorges Area, China. J. Mt. Sci. 2012, 9, 105–114. [Google Scholar] [CrossRef]
- Sharma, N.K.; Singh, R.J.; Mandal, D.; Kumar, A.; Alam, N.M.; Keesstra, S. Increasing farmers income and reducing soil erosion using intercropping in rainfed maize-wheat rotation of Himalaya, India. Agric. Ecosyst. Environ. 2017, 247, 43–53. [Google Scholar] [CrossRef]
- Jakhar, P.; Ahikary, P.P.; Naik, B.S.; Madhu, M. Finger millet (Eleusine coracana)–groundnut (Arachis hypogaea) strip-intercropping for enhanced productivity and resource conservation in uplands of Eastern Ghats of Odisha. Ind. J. Agron. 2015, 60, 365–371. [Google Scholar]
- Sharma, V.; Kumar, V.; Sharma, S.C.; Sharma, R.K.; Khokhar, A.; Singh, M. Climatic Variability analysis at Ballowal Saunkhri in submontane Punjab (India). Clim. Chang. Environ. Sustain. 2017, 5, 83–91. [Google Scholar] [CrossRef]
- Jackson, M.L. Soil Chemical Analysis, 1st ed.; Prentice Hall of India Pvt Ltd.: New Delhi, India, 1973; Volume 1, pp. 38–204. [Google Scholar]
- Walkley, A.; Black, I.A. An examination of the Degtjareff method for determining soil organic matter, and a proposed modification of the chromic acid titration method. Soil Sci. 1934, 37, 29–38. [Google Scholar] [CrossRef]
- Subbiah, B.V.; Asija, G.L. A rapid procedure for the determination of available nitrogen in soil. Curr. Sci. 1956, 25, 259–260. [Google Scholar]
- Olsen, S.R.; Cole, C.V.; Watanabe, F.S.; Dean, L. Estimation of Available Phosphorus in Soil by Extraction with Sodium Carbonate; Cir. 939; USDA: Washington, DC, USA, 1954.
- Nelson, D.W.; Sommers, L.E. A simple digestion procedure for estimation of total nitrogen in soils and sediments. J. Environ. Qual. 1972, 1, 423–425. [Google Scholar] [CrossRef]
- Kassam, A.; Smith, M. FAO methodologies on crop water use and crop water productivity. In Proceedings of the Expert Meeting on Crop Water Productivity, Rome, Italy, 3–5 December 2001; Paper no. CWP-M07. pp. 1–18. [Google Scholar]
- Lakaria, B.L.; Narayan, D.; Biswas, H.; Raj, S.; Jha, P.; Somasundaram, J. Water conservation efficiency of prominent kharif crops in Bundelkhand region. Ind. J. Soil Conserv. 2012, 40, 231–235. [Google Scholar]
- Willey, R.W.; Rao, M.R. A competitive ratio for quantifying competition between intercrops. Exp. Agric. 1980, 16, 117–125. [Google Scholar] [CrossRef]
- Nadal-Romero, E.; Cammeraat, E.; Pérez-Cardiel, E.; Lasanta, T. Effects of secondary succession and afforestation practices on soil properties after cropland abandonment in humid Mediterranean mountain areas. Agric. Ecosyst. Environ. 2016, 228, 91–100. [Google Scholar] [CrossRef]
- Egarter-Vigl, L.; Depellegrin, D.; Pereira, P.; De Groot, D.; Tappeiner, U. Mapping the ecosystem service delivery chain: Capacity, flow, and demand pertaining to aesthetic experiences in mountain landscapes. Sci. Total Environ. 2017, 574, 436–442. [Google Scholar] [CrossRef]
- Masvaya, E.N.; Nyamangara, J.; Descheemaeker, K.; Giller, K.E. Is maize and cowpea intercropping a viable option for smallholder farms in the risky environments of semiarid southern Africa? Field Crops Res. 2017, 209, 73–87. [Google Scholar] [CrossRef]
- Romero-Díaz, A.; Ruiz-Sinoga, J.D.; Robledano-Aymerich, F.; Brevik, E.C.; Cerdà, A. Ecosystem responses to land abandonment in western Mediterranean mountains. Catena 2017, 149, 824–835. [Google Scholar] [CrossRef]
- Singh, R.K.; Chaudhary, R.S.; Somasundaram, J.; Sinha, N.K.; Mohanty, M.; Hati, K.M.; Rashmi, I.; Patra, A.K.; Chaudhari, S.K.; Rattan, L. Soil and nutrients losses under different crop covers in vertisols of Central India. J. Soils Sediments 2019, 20, 609–620. [Google Scholar] [CrossRef]
- Jiang, P.; Thelen, K.D. Effect of soil and topographic properties on crop yield in a north-central corn–soybean cropping system. Agron. J. 2004, 96, 252–258. [Google Scholar] [CrossRef]
- Yang, W.; Zhang, X.; Gong, W.; Ye, Y.; Yang, Y. Soil erosion and corn yield in a cultivated catchment of the Chinese Mollisol region. PLoS ONE 2019, 14, e0221553. [Google Scholar] [CrossRef]
- Wezel, A.; Steinmüller, N.; Friederichsen, J.R. Slope position effects on soil fertility and crop productivity and implications for soil conservation in upland northwest Vietnam. Agric. Ecosyst. Environ. 2002, 91, 113–126. [Google Scholar] [CrossRef]
- Hoang, T.L.; Simelton, E.; Ha, V.T.; Vu, D.T.; Nguyen, T.H.; Nguyen, V.C.; Phung, Q.T.A. Diagnosis of Farming Systems in the Agroforestry for Livelihoods of Smallholder Farmers in Northwestern Viet Nam Project; Working Paper no. 161; World Agroforestry Centre (ICRAF) Southeast Asia Regional Program: Hanoi, Vietnam, 2013; 24p. [Google Scholar]
- Andersen, M.K.; Hauggaard-Nielsen, H.; Ambus, P.; Jensen, E.S. Biomass production, symbiotic nitrogen fixation and inorganic N use in dual and tricomponent annual intercrops. Plant Soil 2004, 266, 273–287. [Google Scholar] [CrossRef]
- Yang, F.; Huang, S.; Gao, R.; Liu, W.; Yong, T.; Wang, X.; Wu, X.; Yang, W. Growth of soybean seedlings in relay strip intercropping systems in relation to light quantity and red:far-red ratio. Field Crops Res. 2014, 155, 245–253. [Google Scholar] [CrossRef]
- Hodgson, A.S.; Holland, J.F.; Rayner, P. Effects of field slope and duration of furrow irrigation on growth and yield of six grain legumes on a waterlogging-prone vertisol. Field Crops Res. 1989, 22, 165–180. [Google Scholar] [CrossRef]
- Maruthi, V.; Reddy, K.S.; Pankaj, P.K. Strip-intercropping system as a climate adaptation strategy in semi-arid Alfisols of South-Central India. Ind. J. Agric. Sci. 2017, 87, 1238–1245. [Google Scholar]
- Siswanto, S.Y.; Sule, M.I.S. The Impact of slope steepness and land use type on soil properties in Cirandu sub-sub catchment, Citarum watershed. IOP Conf. Ser. Earth Environ. Sci. 2019, 393, 012059. [Google Scholar] [CrossRef]
- Zhang, Z.; Sheng, L.; Yang, J.; Chen, X.; Kong, L.; Wagan, B. Effects of land use and slope gradient on soil erosion in a red soil hilly watershed of Southern China. Sustainability 2015, 7, 14309–14325. [Google Scholar] [CrossRef]
- Sanders, D.W. Sloping land: Soil erosion problems and soil conservation requirements, 1986. In Land Evaluation for Land-Use Planning and Conservation in Sloping Areas; Siderius, W., Ed.; International Institute for Land Reclamation and Improvement: Enschede, The Netherlands, 1984; pp. 40–50. [Google Scholar]
- Guo, M.; Zhang, T.; Li, Z.; Xu, G. Investigation of runoff and sediment yields under different crop and tillage conditions by field artificial rainfall experiments. Water 2019, 11, 1019. [Google Scholar] [CrossRef]
- Prasad, S.N.; Singh, R.; Prakash, C. Erosion studies in castor at 1% slope in vertisols of south-eastern Rajasthan. Ind. J. Soil Conserv. 1993, 21, 25–30. [Google Scholar]
- Lakaria, B.L.; Narayan, D.; Katiyar, V.S.; Biswas, H. Evaluation of different kharif crops for minimizing runoff and soil loss in Bundelkhand region. J. Ind. Soc. Soil Sci. 2010, 58, 252–255. [Google Scholar]
- Yao, Y.; Dai, Q.; Gao, R.; Gan, Y.; Yi, X. Effects of rainfall intensity on runoff and nutrient loss of gently sloping farmland in a karst area of SW China. PLoS ONE 2021, 16, e0246505. [Google Scholar] [CrossRef] [PubMed]










| Slope | Cost of Cultivation (US$ ha−1) * | Gross Returns (US$ ha−1) ** | Net Returns (US$ ha−1) | B:C |
|---|---|---|---|---|
| S1: 1% | 429 | 858 | 428 | 2.00 |
| S2: 2% | 426 | 809 | 384 | 1.90 |
| S3: 3% | 424 | 764 | 340 | 1.80 |
| Maize + Cowpea strip-intercropping | ||||
| W1: 6:00 | 470 | 901 | 432 | 1.92 |
| W2: 4.8:1.2 | 488 | 1018 | 530 | 2.09 |
| W3: 3:3 | 443 | 881 | 439 | 1.99 |
| W4: 1.2:4.8 | 397 | 704 | 306 | 1.77 |
| W5: 0:6 | 333 | 546 | 214 | 1.64 |
| Rainfall | Runoff | Soil Loss | N Loss | P Loss | K Loss | Maize Grain Yield | Cowpea Grain Yield | Maize Straw Yield | Cowpea Straw Yield | |
|---|---|---|---|---|---|---|---|---|---|---|
| Rainfall | 1 | |||||||||
| Runoff | 0.05 | 1 | ||||||||
| Soil loss | 0.01 | 0.97 ** | 1 | |||||||
| N loss | 0.06 | 0.97 ** | 0.95 ** | 1 | ||||||
| P loss | 0.16 | 0.94 ** | 0.92 ** | 0.94 ** | 1 | |||||
| K loss | 0.08 | 0.98 ** | 0.98 ** | 0.96 ** | 0.93 ** | 1 | ||||
| Maize grain yield | 0.49 | 0.40 | 0.28 | 0.47 | 0.51 | 0.36 | 1 | |||
| Cowpea grain yield | −0.37 | −0.57 * | −0.44 | −0.63 * | −0.63 * | −0.52 * | −0.96 ** | 1 | ||
| Maize straw yield | 0.49 | 0.41 | 0.28 | 0.48 | 0.52 * | 0.37 | 0.99 ** | −0.96 ** | 1 | |
| Cowpea fodder yield | −0.34 | −0.57 * | −0.43 | −0.62 * | −0.61 * | −0.51 * | −0.95 ** | 0.99 ** | −0.95 ** | 1 |
Publisher’s Note: MDPI stays neutral with regard to jurisdictional claims in published maps and institutional affiliations. |
© 2021 by the authors. Licensee MDPI, Basel, Switzerland. This article is an open access article distributed under the terms and conditions of the Creative Commons Attribution (CC BY) license (https://creativecommons.org/licenses/by/4.0/).
Share and Cite
Khokhar, A.; Yousuf, A.; Singh, M.; Sharma, V.; Sandhu, P.S.; Chary, G.R. Impact of Land Configuration and Strip-Intercropping on Runoff, Soil Loss and Crop Yields under Rainfed Conditions in the Shivalik Foothills of North-West, India. Sustainability 2021, 13, 6282. https://doi.org/10.3390/su13116282
Khokhar A, Yousuf A, Singh M, Sharma V, Sandhu PS, Chary GR. Impact of Land Configuration and Strip-Intercropping on Runoff, Soil Loss and Crop Yields under Rainfed Conditions in the Shivalik Foothills of North-West, India. Sustainability. 2021; 13(11):6282. https://doi.org/10.3390/su13116282
Chicago/Turabian StyleKhokhar, Anil, Abrar Yousuf, Manmohanjit Singh, Vivek Sharma, Parminder Singh Sandhu, and Gajjala Ravindra Chary. 2021. "Impact of Land Configuration and Strip-Intercropping on Runoff, Soil Loss and Crop Yields under Rainfed Conditions in the Shivalik Foothills of North-West, India" Sustainability 13, no. 11: 6282. https://doi.org/10.3390/su13116282
APA StyleKhokhar, A., Yousuf, A., Singh, M., Sharma, V., Sandhu, P. S., & Chary, G. R. (2021). Impact of Land Configuration and Strip-Intercropping on Runoff, Soil Loss and Crop Yields under Rainfed Conditions in the Shivalik Foothills of North-West, India. Sustainability, 13(11), 6282. https://doi.org/10.3390/su13116282

