Experimental Study on Flexural Performance of Regulated Reinforced Glulam Beam after Long-Term Loading
Abstract
1. Introduction
2. Materials and Methods
2.1. Composition of the Regulated Reinforced Glulam Beam
2.2. Experimental Method
- Groups A and B: glulam beams and reinforced glulam beams. The loading level was the variable;
- Group C: reinforced glulam beams to which the same external load was applied, and the variable was the reinforcement ratio;
- Group D: prestressed glulam beams to which the same external load and the reinforcement ratio were applied, and the variable was the prestress value.
3. Results
3.1. The Tensile Failure of the Beam-Bottom
3.2. The Horizontal Joint Failure
3.3. The Local Compressive Failure of the Beam-End
3.4. Classification and Analysis of Failure Modes
4. Discussion
4.1. Analysis of the Ultimate Load of Beams
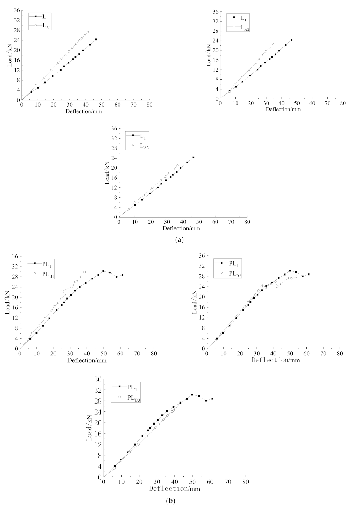
4.2. Load-Deflection Curves
5. Conclusions
Author Contributions
Funding
Institutional Review Board Statement
Informed Consent Statement
Data Availability Statement
Conflicts of Interest
References
- Kolb, J. Multi-Storey Timber Structure; Birkhäuser: Basel, Switzerland, 2008; pp. 188–200. [Google Scholar]
- Kohler, J.; Svensson, S. Probabilistic representation of duration of load effects in timber structures. Eng. Struct. 2011, 33, 462–467. [Google Scholar] [CrossRef]
- Wang, Z.; Li, H.; Lorenzo, R.; Corbi, I.; Corbi, O.; Fang, C. Review on bond properties between wood and fiber reinforced polymer. J. Renew. Mater. 2020, 8, 993–1018. [Google Scholar] [CrossRef]
- Lam, E. Tall Wood Buildings: Design, Construction and Performance. In Canadian CLT Handbook, 2019th ed.; National Library of Canada: Ottawa, ON, Canada, 2020; Volume 65, pp. 48–49. [Google Scholar]
- Viholainen, N.; Kylkilahti, E.; Autio, M.; Toppinen, A. A home made of wood: Consumer experiences of wooden building materials. Int. J. Consum. Stud. 2020, 44, 542–551. [Google Scholar] [CrossRef]
- Sassu, M.; de Falco, A.; Giresini, L.; Puppio, M.L. Structural Solutions for Low-Cost Bamboo Frames: Experimental Tests and Constructive Assessments. Materials 2016, 9, 346. [Google Scholar] [CrossRef]
- Lu, W.; Song, E.; Yue, K.; Liu, W. Experimental study on creep performance of FRP board reinforced glued-wood beam. Build. Mater. 2013, 16, 294–297. [Google Scholar]
- He, M.; Lu, W.; Yue, K.; Song, E. FRP enhances creep property of glue-wood arch. J. Nanjing Univ. Technol. 2013, 35, 107–110. [Google Scholar]
- Zuo, H.; Li, Y.; Fu, D.; Guo, N. Influence of size effect on bending performance of reinforced glulam beams. J. Northeast For. Univ. 2019, 47, 62–65. [Google Scholar]
- Yang, H.; Liu, W.; Lu, W.; Zhu, S.; Geng, Q. Flexural behavior of FRP and steel reinforced glulam beams: Experimental and theoretical evaluation. Constr. Build. Mater. 2016, 106, 550–563. [Google Scholar] [CrossRef]
- Soriano, J.; Pellis, B.P.; Mascia, N.T. Mechanical performance of glued-laminated timber beams symmetrically reinforced with steel bars. Compos. Struct. 2016, 150, 200–207. [Google Scholar] [CrossRef]
- Daniel, L.; Ghasan, D. Towards enhancing the post-peak performance of glued-laminated timber beams using multi-directional fibre reinforced polymers. Eng. Struct. 2020, 215, 110680. [Google Scholar]
- Yang, H.; Ju, D.; Liu, W.; Lu, W. Prestressed glulam beams reinforced with CFRP bars. Constr. Build. Mater. 2016, 109, 73–83. [Google Scholar] [CrossRef]
- Zhu, E.; Zhou, H. Creep Buckling of Laminate Arch. J. Shenyang Jianzhu Univ. 2009, 25, 640–655. [Google Scholar]
- Akbarzadeh, I.; SattariFar, I.; Salehi, M. Numerical and experimental study of the effect of short-term and long-term creep modeling in stress relaxation of a multi-pass welded austenitic stainless steel pipe. Mater. Sci. Eng. A 2010, 528, 2118–2127. [Google Scholar] [CrossRef]
- He, T. The Study on Flexural Performance of Prestressed Glulam Beams Based on the Creep Behavior. Master’s Thesis, Northeast Forestry University, Harbin, China, 2016. [Google Scholar]
- Chen, H. The Study on Flexural Performance of Regulable Reinforcement Glulam Beams Based on the Creep Behavior. Master’s Thesis, Northeast Forestry University, Harbin, China, 2017. [Google Scholar]
- Thelandersson, S.; Larsen, J.H. Timber Engineering; John Willey & Sons Ltd.: Hoboken, NJ, USA, 2003; pp. 131–152. [Google Scholar]
- Corbi, I.; Corbi, O.; Li, H. A coupled control strategy for the mitigation of structural vibrations. Ing. Sismica 2019, 36, 107–117. [Google Scholar]
- Guo, N.; Xiong, H.; Wu, M.; Zuo, H.; Jiang, F.; Hou, X.; Xin, D. Long-Term Bending Behaviour of Prestressed Glulam Bamboo-Wood Beam Based on Creep Effect. Struct. Durab. Health Monit. 2020, 14, 229–248. [Google Scholar] [CrossRef]
- Liu, Q.; Yang, H. Experimental study on flexural behavior of Engineering timber beams. J. Build. Struct. 2008, 29, 90–95. [Google Scholar]
- Ribeiro, A.S.; de Jesus, A.M.P.; Lima, A.M.; Lousada, J.L.C. Study of strengthening solutions for glued-laminated wood beams of maritime pine wood. Constr. Build. Mater. 2009, 23, 2738–2745. [Google Scholar] [CrossRef]
- Sun, X.; Liu, W.; Lu, W.; Zhu, X.; Yuan, S. Study on bending performance test and engineering application of glued-wood string beam. J. Nanjing Univ. Technol. 2016, 38, 121–128. [Google Scholar]
- Zuo, H.; Di, J.; Wang, T. Lateral resistance of shear wall of light timber structure with prestressed cross tie bar under low cyclic reciprocating load. J. Northeast For. Univ. 2019, 47, 61–64. [Google Scholar]
- Zuo, H.; Liu, H.; Lu, J. The effect of new self-tapping screw reinforcement measures on the bending performance of glued timber beams. J. Northeast For. Univ. 2020, 48, 112–116. [Google Scholar]
- Standard for Design of Timber Structures; GB50005-2017; Ministry of Housing and Urban-Rural Development of the People’s Republic of China (MOHURD): Beijing, China; General Administration of Quality Supervision, Inspection and Quarantine of the People’s Republic of China (AQSIQ): Beijing, China, 2017.
- CSA Group. Engineering Design in Wood (086-14); CSA Group: Toronto, ON, Canada, 2017; ISBN 978-1-77139-448-2. [Google Scholar]










| Material | Average Tensile Strength (MPa) | Design Tensile Strength MPa) | Average Compressive Strength (MPa) | Design Compressive Strength (MPa) | Elastic modulus (N/mm2) |
|---|---|---|---|---|---|
| Pinus sylvestris | 66.5 | 10.51 | 36.62 | 14.68 | 8515.75 |
| Diameter (mm) | Yield Strength Fy (MPa) | Ultimate Strength Fu (MPa) | Elastic Modulus Ey (N/mm2) |
|---|---|---|---|
| 14 | 428 | 573 | 2.01 × 105 |
| 16 | 434 | 586 | 2.01 × 105 |
| 18 | 441 | 601 | 2.01 × 105 |
| Group | Number of the Component | Loading Level | Load Value (kN) | Reinforcement Ratio 2 (%) | Prestress Value (MPa) |
|---|---|---|---|---|---|
| A (LA) | LA1 | 20% | 4.66 | 0 | 0 |
| LA2 | 30% | 6.99 | 0 | 0 | |
| LA3 | 40% | 9.32 | 0 | 0 | |
| B (PLB) | PLB1 | 20% | 6.18 | 3.39 | 0 |
| PLB2 1 | 30% | 9.12 | 3.39 | 0 | |
| PLB3 | 40% | 12.36 | 3.39 | 0 | |
| C (PLC) | PLC1-1 1 | 30% | 9.12 | 3.39 | 0 |
| PLC1-2 | 30% | 9.12 | 3.39 | 0 | |
| PLC2-1 | 30% | 9.09 | 2.68 | 0 | |
| PLC2-2 | 30% | 9.09 | 2.68 | 0 | |
| PLC3-1 | 30% | 9.00 | 2.05 | 0 | |
| PLC3-2 | 30% | 9.00 | 2.05 | 0 | |
| D (YLD) | YLD1-1 | 30% | 9.18 | 3.39 | 30 |
| YLD1-2 | 30% | 9.18 | 3.39 | 30 | |
| YLD2-1 | 30% | 10.05 | 3.39 | 60 | |
| YLD2-2 | 30% | 10.05 | 3.39 | 60 |
| Group | Number of the Component | Failure Modes |
|---|---|---|
| Creep beams | LA1 | the tensile failure of the beam-bottom |
| LA2 | the tensile failure of the beam-bottom | |
| LA3 | the tensile failure of the beam-bottom | |
| PLB1 | the local compressive failure of the beam-end | |
| PLB2 | the horizontal joint failure | |
| PLB3 | the horizontal joint failure | |
| PLC1-1 | the horizontal joint failure | |
| PLC2-1 | the local compressive failure of the beam-end | |
| PLC3-1 | the local compressive failure of the beam-end | |
| YLD1-1 | the local compressive failure of the beam-end | |
| YLD2-1 | the local compressive failure of the beam-end | |
| Regulated beams | PLC1-2 | the horizontal joint failure |
| PLC2-2 | the local compressive failure of the beam-end | |
| PLC3-2 | the horizontal joint failure | |
| YLD1-2 | the local compressive failure of the beam-end | |
| YLD2-2 | the horizontal joint failure |
| Number of the Component | Ultimate Load (kN) | Percentage (%) |
|---|---|---|
| L1 1 | 23.30 | — |
| LA1 | 27.09 | 16.3 |
| LA2 | 22.55 | −3.2 |
| LA3 | 21.01 | −9.8 |
| PL1 1 | 30.40 | — |
| PLB1 | 29.90 | −1.6 |
| PLB2 | 27.92 | −8.2 |
| PLB3 | 26.38 | −13.2 |
| PL1 1 | 30.40 | — |
| PLC1-1 | 27.92 | −8.2 |
| PL2 1 | 30.30 | — |
| PLC2-1 | 26.89 | −11.3 |
| PL3 1 | 30.00 | — |
| PLC3-1 | 27.14 | −9.5 |
| YL1 1 | 30.60 | — |
| YLD1-1 | 29.71 | −2.9 |
| YL2 1 | 33.50 | — |
| YLD2-1 | 30.43 | −9.2 |
| Number of the Component | Ultimate Load (kN) | Percentage (%) |
|---|---|---|
| PL1 | 30.40 | — |
| PLC1-2 | 34.68 | 14.1 |
| PL2 | 30.30 | — |
| PLC2-2 | 31.70 | 4.6 |
| PL3 | 30.00 | — |
| PLC3-2 | 33.55 | 11.8 |
| YL1 | 30.60 | — |
| YLD1-2 | 32.61 | 6.6 |
| YL2 | 33.50 | — |
| YLD2-2 | 31.83 | −5.0 |
Publisher’s Note: MDPI stays neutral with regard to jurisdictional claims in published maps and institutional affiliations. |
© 2021 by the authors. Licensee MDPI, Basel, Switzerland. This article is an open access article distributed under the terms and conditions of the Creative Commons Attribution (CC BY) license (https://creativecommons.org/licenses/by/4.0/).
Share and Cite
Guo, N.; Yang, C.; Li, L.; Li, G.; Zhao, Y. Experimental Study on Flexural Performance of Regulated Reinforced Glulam Beam after Long-Term Loading. Sustainability 2021, 13, 5556. https://doi.org/10.3390/su13105556
Guo N, Yang C, Li L, Li G, Zhao Y. Experimental Study on Flexural Performance of Regulated Reinforced Glulam Beam after Long-Term Loading. Sustainability. 2021; 13(10):5556. https://doi.org/10.3390/su13105556
Chicago/Turabian StyleGuo, Nan, Chao Yang, Ling Li, Guodong Li, and Yan Zhao. 2021. "Experimental Study on Flexural Performance of Regulated Reinforced Glulam Beam after Long-Term Loading" Sustainability 13, no. 10: 5556. https://doi.org/10.3390/su13105556
APA StyleGuo, N., Yang, C., Li, L., Li, G., & Zhao, Y. (2021). Experimental Study on Flexural Performance of Regulated Reinforced Glulam Beam after Long-Term Loading. Sustainability, 13(10), 5556. https://doi.org/10.3390/su13105556

