Evaluation and Prediction of PM10 and PM2.5 from Road Source Emissions in Kuala Lumpur City Centre
Abstract
1. Introduction
2. Materials and Methods
2.1. Research Area
2.2. Prediction and Forecast of Air Quality Dispersion
2.3. Continuous Air Quality Monitoring
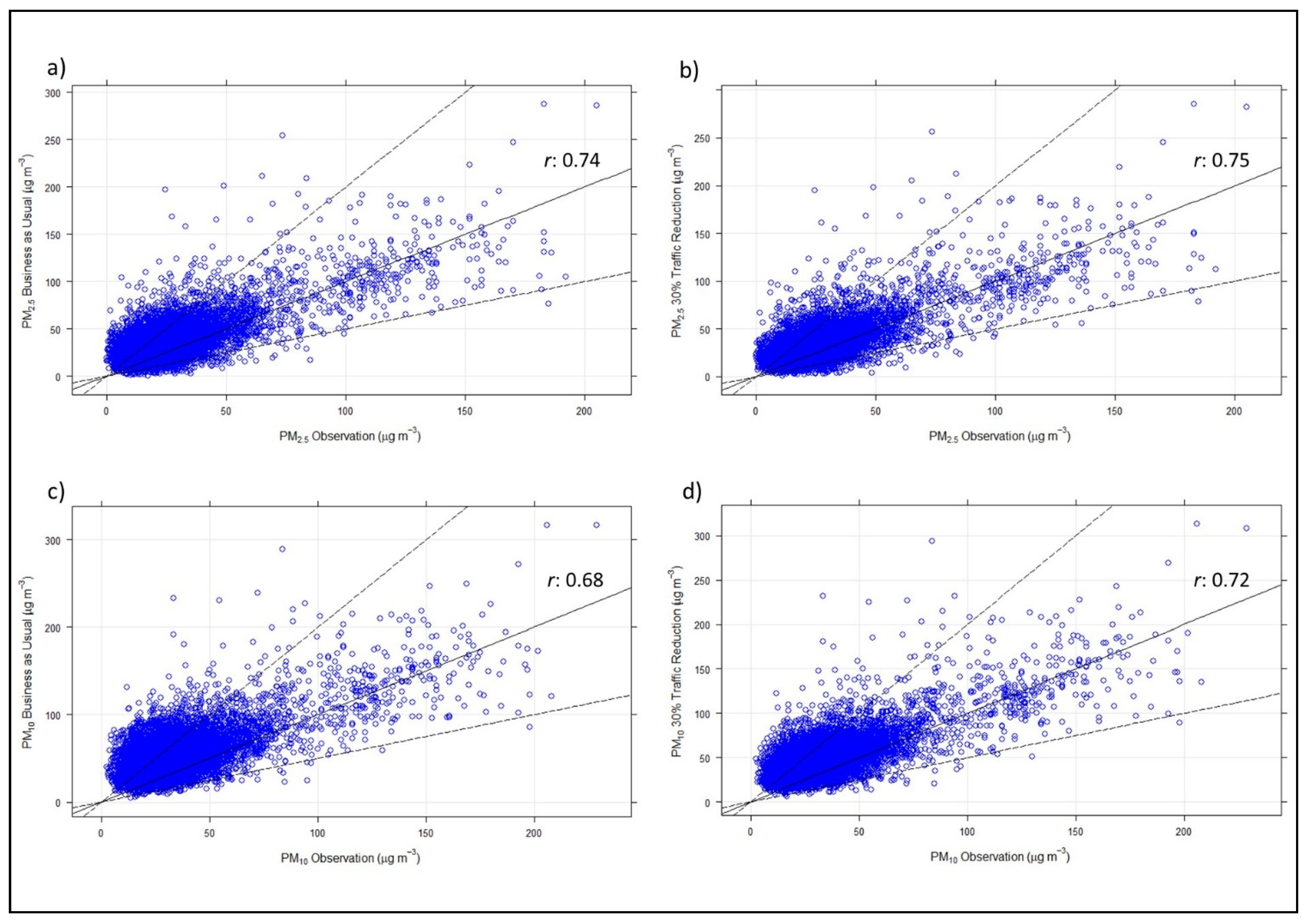
3. Results
4. Conclusions
Author Contributions
Funding
Institutional Review Board Statement
Informed Consent Statement
Data Availability Statement
Acknowledgments
Conflicts of Interest
References
- Afroz, R.; Hassan, M.N.; Ibrahim, N.A. Review of air pollution and health impacts in Malaysia. Environ. Res. 2003, 92, 71–77. [Google Scholar] [CrossRef]
- Chen, S.-C.; Liao, C.-M. Health risk assessment on human exposed to environmental polycyclic aromatic hydrocarbons pollution sources. Sci. Total Environ. 2006, 366, 112–123. [Google Scholar] [CrossRef] [PubMed]
- Duan, J.; Chen, Y.; Fang, W.; Su, Z. Characteristics and Relationship of PM, PM10, PM2.5 Concentration in a Polluted City in Northern China. Procedia Eng. 2015, 102, 1150–1155. [Google Scholar] [CrossRef]
- Juneng, L.; Latif, M.T.; Tangang, F. Factors influencing the variations of PM10 aerosol dust in Klang Valley, Malaysia during the summer. Atmos. Environ. 2011, 45, 4370–4378. [Google Scholar] [CrossRef]
- Lurie, K.; Nayebare, S.R.; Fatmi, Z.; Carpenter, D.O.; Siddique, A.; Malashock, D.; Khan, K.; Zeb, J.; Hussain, M.M.; Khatib, F.; et al. PM2.5 in a megacity of Asia (Karachi): Source apportionment and health effects. Atmos. Environ. 2019, 202, 223–233. [Google Scholar] [CrossRef]
- Zhang, P.; Zhou, X. Health and economic impacts of particulate matter pollution on hospital admissions for mental disorders in Chengdu, Southwestern China. Sci. Total Environ. 2020, 733, 139114. [Google Scholar] [CrossRef]
- Gulia, S.; Nagendra, S.S.; Khare, M.; Khanna, I. Urban air quality management-A review. Atmos. Pollut. Res. 2015, 6, 286–304. [Google Scholar] [CrossRef]
- Dominick, D.; Juahir, H.; Latif, M.T.; Zain, S.M.; Aris, A.Z. Spatial assessment of air quality patterns in Malaysia using multivariate analysis. Atmos. Environ. 2012, 60, 172–181. [Google Scholar] [CrossRef]
- Chen, J.; Li, C.; Ristovski, Z.; Milic, A.; Gu, Y.; Islam, M.S.; Wang, S.; Hao, J.; Zhang, H.; He, C.; et al. A review of biomass burning: Emissions and impacts on air quality, health and climate in China. Sci. Total Environ. 2017, 579, 1000–1034. [Google Scholar] [CrossRef]
- ChooChuay, C.; Pongpiachan, S.; Tipmanee, D.; Suttinun, O.; Deelaman, W.; Wang, Q.; Xing, L.; Li, G.; Han, Y.; Palakun, J.; et al. Impacts of PM2.5 sources on variations in particulate chemical compounds in ambient air of Bangkok, Thailand. Atmos. Pollut. Res. 2020, 11, 1657–1667. [Google Scholar] [CrossRef]
- Mahiyuddin, W.R.W.; Sahani, M.; Aripin, R.; Latif, M.T.; Thach, T.-Q.; Wong, C.-M. Short-term effects of daily air pollution on mortality. Atmos. Environ. 2013, 65, 69–79. [Google Scholar] [CrossRef]
- Teixeira, A.C.R.; Borges, R.R.; Machado, P.G.; Mouette, D.; Ribeiro, F.N.D. PM emissions from heavy-duty trucks and their impacts on human health. Atmos. Environ. 2020, 241, 117814. [Google Scholar] [CrossRef]
- Yan, F.; Winijkul, E.; Bond, T.C.; Streets, D.G. Global emission projections of particulate matter (PM): II Uncertainty analyses of on-road vehicle exhaust emissions. Atmos. Environ. 2014, 87, 189–199. [Google Scholar] [CrossRef]
- Piras, G.; Pini, F.; Garcia, D.A. Correlations of PM10 concentrations in urban areas with vehicle fleet development, rain precipitation and diesel fuel sales. Atmos. Pollut. Res. 2019, 10, 1165–1179. [Google Scholar] [CrossRef]
- Pongpiachan, S.; Kositanont, C.; Palakun, J.; Liu, S.; Ho, K.F.; Cao, J. Effects of day-of-week trends and vehicle types on PM2.5-bounded carbonaceous compositions. Sci. Total Environ. 2015, 532, 484–494. [Google Scholar] [CrossRef] [PubMed]
- Ferm, M.; Sjöberg, K. Concentrations and emission factors for PM 2.5 and PM 10 from road traffic in Sweden. Atmos. Environ. 2015, 119, 211–219. [Google Scholar] [CrossRef]
- Latif, M.T.; Dominick, D.; Ahamad, F.; Khan, F.; Juneng, L.; Hamzah, F.M.; Nadzir, M.S.M. Long term assessment of air quality from a background station on the Malaysian Peninsula. Sci. Total Environ. 2014, 482-483, 336–348. [Google Scholar] [CrossRef] [PubMed]
- Jaiprakash; Habib, G.; Kumar, A.; Sharma, A.; Haider, M. On-road emissions of CO, CO2 and NOX from four wheeler and emission estimates for Delhi. J. Environ. Sci. 2017, 53, 39–47. [Google Scholar] [CrossRef]
- Lawrence, S.; Sokhi, R.; Ravindra, K. Quantification of vehicle fleet PM10 particulate matter emission factors from exhaust and non-exhaust sources using tunnel measurement techniques. Environ. Pollut. 2016, 210, 419–428. [Google Scholar] [CrossRef]
- Mao, J.; Yang, L.; Mo, Z.; Jiang, Z.; Krishnan, P.; Sarkar, S.; Zhang, Q.; Chen, W.; Zhong, B.; Yang, Y.; et al. Comparative study of chemical characterization and source apportionment of PM2.5 in South China by filter-based and single particle analysis. Elem. Sci. Anth. 2021, 9. [Google Scholar] [CrossRef]
- Nagpure, A.S.; Gurjar, B.; Kumar, V.; Kumar, P. Estimation of exhaust and non-exhaust gaseous, particulate matter and air toxics emissions from on-road vehicles in Delhi. Atmos. Environ. 2016, 127, 118–124. [Google Scholar] [CrossRef]
- Dewangan, A.; Mallick, A.; Yadav, A.K.; Kumar, R. Combustion-generated pollutions and strategy for its control in CI engines: A review. Mater. Today Proc. 2020, 21, 1728–1733. [Google Scholar] [CrossRef]
- Lewtas, J. Air pollution combustion emissions: Characterization of causative agents and mechanisms associated with cancer, reproductive, and cardiovascular effects. Mutat. Res. 2007, 636, 95–133. [Google Scholar] [CrossRef] [PubMed]
- Luken, R.A.; Van Berkel, R.; Leuenberger, H.; Schwager, P. A 20-year retrospective of the National Cleaner Production Centres programme. J. Clean. Prod. 2016, 112, 1165–1174. [Google Scholar] [CrossRef]
- Carslaw, D.C.; Rhys-Tyler, G. New insights from comprehensive on-road measurements of NOx, NO2 and NH3 from vehicle emission remote sensing in London, UK. Atmos. Environ. 2013, 81, 339–347. [Google Scholar] [CrossRef]
- Berkowicz, R.; Ketzel, M.; Jensen, S.S.; Hvidberg, M.; Raaschou-Nielsen, O. Evaluation and application of OSPM for traffic pollution assessment for a large number of street locations. Environ. Model. Softw. 2008, 23, 296–303. [Google Scholar] [CrossRef]
- Amirjamshidi, G.; Mostafa, T.S.; Misra, A.; Roorda, M.J. Integrated model for microsimulating vehicle emissions, pollutant dispersion and population exposure. Transp. Res. Part D Transp. Environ. 2013, 18, 16–24. [Google Scholar] [CrossRef]
- Assael, M.; Delaki, M.; Kakosimos, K. Applying the OSPM model to the calculation of PM10 concentration levels in the historical centre of the city of Thessaloniki. Atmos. Environ. 2008, 42, 65–77. [Google Scholar] [CrossRef]
- Ketzel, M.; Omstedt, G.; Johansson, C.; Düring, I.; Pohjolar, M.; Oettl, D.; Gidhagen, L.; Wåhlin, P.; Lohmeyer, A.; Haakana, M.; et al. Estimation and validation of PM2.5/PM10 exhaust and non-exhaust emission factors for practical street pollution modelling. Atmos. Environ. 2007, 41, 9370–9385. [Google Scholar] [CrossRef]
- Awasthi, S.; Khare, M.; Gargava, P. General plume dispersion model (GPDM) for point source emission. Environ. Model. Assess. 2006, 11, 267–276. [Google Scholar] [CrossRef]
- Brusca, S.; Famoso, F.; Lanzafame, R.; Mauro, S.; Garrano, A.M.C.; Monforte, P. Theoretical and Experimental Study of Gaussian Plume Model in Small Scale System. Energy Procedia 2016, 101, 58–65. [Google Scholar] [CrossRef]
- Berkowicz, R. OSPM—A parameterised street polluton model. Environ. Monit. Assess. 2000, 65, 323–331. [Google Scholar] [CrossRef]
- Lazić, L.; Urošević, M.A.; Mijić, Z.; Vuković, G.; Ilić, L. Traffic contribution to air pollution in urban street canyons: Integrated application of the OSPM, moss biomonitoring and spectral analysis. Atmos. Environ. 2016, 141, 347–360. [Google Scholar] [CrossRef]
- Benson, P.E. CALINE4—A Dispersion Model for Predicting Air Pollutant Concentration Near Roadways; California Department of Transportation, Office of Transportation Laboratory: Sacramento, CA, USA, 1984. [Google Scholar]
- Pénard-Morand, C.; Schillinger, C.; Armengaud, A.; Debotte, G.; Chrétien, E.; Pellier, S.; Annesi-Maesano, I. Assessment of schoolchildren’s exposure to traffic-related air pollution in the French Six Cities Study using a dispersion model. Atmos. Environ. 2006, 40, 2274–2287. [Google Scholar] [CrossRef]
- Beevers, S.D.; Kitwiroon, N.; Williams, M.L.; Carslaw, D.C. One way coupling of CMAQ and a road source dispersion model for fine scale air pollution predictions. Atmos. Environ. 2012, 59, 47–58. [Google Scholar] [CrossRef]
- Dėdelė, A.; Miškinytė, A. Seasonal and site-specific variation in particulate matter pollution in Lithuania. Atmos. Pollut. Res. 2019, 10, 768–775. [Google Scholar] [CrossRef]
- Gulliver, J.; Briggs, D. STEMS-Air: A simple GIS-based air pollution dispersion model for city-wide exposure assessment. Sci. Total Environ. 2011, 409, 2419–2429. [Google Scholar] [CrossRef] [PubMed]
- Sofia, D.; Gioiella, F.; Lotrecchiano, N.; Giuliano, A. Mitigation strategies for reducing air pollution. Environ. Sci. Pollut. Res. 2020, 27, 19226–19235. [Google Scholar] [CrossRef]
- Tang, J.; McNabola, A.; Misstear, B. The potential impacts of different traffic management strategies on air pollution and public health for a more sustainable city: A modelling case study from Dublin, Ireland. Sustain. Cities Soc. 2020, 60, 102229. [Google Scholar] [CrossRef]
- Hertel, O.; Hvidberg, M.; Ketzel, M.; Storm, L.; Stausgaard, L. A proper choice of route significantly reduces air pollution exposure—A study on bicycle and bus trips in urban streets. Sci. Total Environ. 2008, 389, 58–70. [Google Scholar] [CrossRef]
- Olesen, H.R.; Ketzel, M.; Jensen, S.S.; Løfstrøm, P.; Im, U.; Becker, T. User Guide to OML-Highway. In A Tool for Air Pollution Assessments along Highways; Aarhus University, DCE—Danish Centre for Environment and Energy: Aarhus, Denmark, 2015; p. 66. [Google Scholar]
- Olesen, H.R.; Berkowicz, R.; Løfstrøm, P. OML: Review of Model Formulation; National Environmental Research Institute: Aarhus, Denmark, 2007. [Google Scholar]
- Becker, T.; Ketzel, M.; Løfstrøm, P.; Lorentz, H.; Jensen, S.S.; Olesen, H.R. OML-Highway—A Road source model in a GIS environment—evaluation with measurements In Proceedings of the 13th Conference on Harmonisation within Atmospheric Dispersion Modelling for Regulatory Purposes, Paris, France, 1–4 June 2010.
- Jensen, S.S.; Becker, T.; Ketzel, M.; Løfstrøm, P.; Olesen, H.R.; Lorentz, H. OML-Highway within the Framework of SELMA-GIS; National Environmental Research Institute, Aarhus University: Aarhus, Denmark, 2010; p. 26. [Google Scholar]
- Russo, F.; Comi, A. Urban Freight Transport Planning towards Green Goals: Synthetic Environmental Evidence from Tested Results. Sustainability 2016, 8, 381. [Google Scholar] [CrossRef]
- Meyer, T. Decarbonizing road freight transportation—A bibliometric and network analysis. Transp. Res. Part D Transp. Environ. 2020, 89, 102619. [Google Scholar] [CrossRef]
- Ho, B.Q.; Clappier, A. Road traffic emission inventory for air quality modelling and to evaluate the abatement strategies: A case of Ho Chi Minh City, Vietnam. Atmos. Environ. 2011, 45, 3584–3593. [Google Scholar] [CrossRef]
- Steinberga, I.; Susterea, L.; Bikse, J.; Bilkse, J.B., Jr.; Kleperis, J. Traffic induced air pollution modeling: Scenario analysis for air quality management in street canyon. Procedia Comput. Sci. 2019, 149, 384–389. [Google Scholar] [CrossRef]
- Tezel-Oguz, M.N.; Sari, D.; Ozkurt, N.; Keskin, S.S. Application of reduction scenarios on traffic-related NOx emissions in Trabzon, Turkey. Atmos. Pollut. Res. 2020, 11, 2379–2389. [Google Scholar] [CrossRef]
- Pardo, C.F.; Jiemian, Y.; Hongyuan, Y.; Mohanty, C.R. Sustainable urban transport. In Shanghai Manual—A Guide for Sustainable Urban Development in the 21st Century; United Nations: Shanghai, China, 2011; pp. 106–143. [Google Scholar]
- Hadi, A.S.; Idrus, S.; Shah, A.H.H.; Mohamed, A.F. Critical Urbanisation Transitions in Malaysia: The Challenge of Rising Bernam to Linggi Basin Extended Mega Urban Region. Akademika 2011, 81, 10. [Google Scholar]
- Asnawi, N.H.; Ahmad, P.; Choy, L.K.; Khair, M.S.A.A. Land use and land cover change in Kuala Lumpur using remote sensing and geographic information system approach. J. Built Environ. Technol. Eng. 2018, 4, 10. [Google Scholar]
- Azhari, A.; Halim, N.D.A.; Othman, M.; Latif, M.T.; Juneng, L.; Sofwan, N.M.; Stocker, J.; Johnson, K. Highly spatially resolved emission inventory of selected air pollutants in Kuala Lumpur’s urban environment. Atmos. Pollut. Res. 2021, 12, 12–22. [Google Scholar] [CrossRef]
- Đăng, P.N.; Hùng, N.T. Thematic Report on Traffic Emission Coefficient for Hanoi, Vietnam; Center for Environment of Towns and Industrial Areas: Hanoi, Vietnam, 2014. [Google Scholar]
- PSTW. CAQMS—Standard Operating Procedures for Operation, Scheduled, Maintenance, Troubleshooting, Calibration and Verification; PSTW: Shah Alam, Malaysia, 2018. [Google Scholar]
- PSTW. MAQM—Standard Operating Procedures for Operation, Scheduled, Maintenance, Troubleshooting and Verification; PSTW: Shah Alam, Malaysia, 2018. [Google Scholar]
- Amoatey, P.; Omidvarborna, H.; Baawain, M.S.; Al-Mamun, A. Evaluation of vehicular pollution levels using line source model for hot spots in Muscat, Oman. Environ. Sci. Pollut. Res. 2020, 27, 31184–31201. [Google Scholar] [CrossRef]
- Berger, J.; Walker, S.-E.; Denby, B.; Berkowicz, R.; Løfstrøm, P.; Ketzel, M.; Härkönen, J.; Nikmo, J.; Karppinen, A. Evaluation and inter-comparison of open road line source models currently in use in the Nordic Countries. Boreal Environ. Res. 2008, 15, 319–334. [Google Scholar]
- Khan, M.F.; Sulong, N.A.; Latif, M.T.; Nadzir, M.S.M.; Amil, N.; Hussain, D.F.M.; Lee, V.; Hosaini, P.N.; Shahrom, S.; Yusoff, N.A.Y.; et al. Comprehensive assessment of PM2.5 physicochemical properties during the Southeast Asia dry season (southwest monsson). J. Geophys. Res. Atmos. 2016, 121, 14589–14611. [Google Scholar] [CrossRef]
- Halim, N.D.A.; Latif, M.T.; Mohamed, A.F.; Maulud, K.N.A.; Idrus, S.; Azhari, A.; Othman, M.; Sofwan, N.M. Spatial assessment of land use impact on air quality in mega urban regions, Malaysia. Sustain. Cities Soc. 2020, 63, 102436. [Google Scholar] [CrossRef]
- Panko, J.M.; Hitchcock, K.M.; Fuller, G.W.; Green, D. Evaluation of Tire Wear Contribution to PM2.5 in Urban Environments. Atmosphere 2019, 10, 99. [Google Scholar] [CrossRef]
- Penkała, M.; Ogrodnik, P.; Rogula-Kozłowska, W. Particulate Matter from the Road Surface Abrasion as a Problem of Non-Exhaust Emission Control. Environment 2018, 5, 9. [Google Scholar] [CrossRef]
- Shokoohi, R.; Nikitas, A. Urban Growth, and Transportation in Kuala Lumpur: Can Cycling be Incorporated into Kuala Lumpur’s Transportation System? Case Stud. Transp. Policy 2017, 5, 615–626. [Google Scholar] [CrossRef]
- Mohamad, J.; Kiggundu, A.T. The Rise of the Private Car in Kuala Lumpur, Malaysia. IATSS Res. 2007, 31, 69–77. [Google Scholar] [CrossRef][Green Version]
- Shafie, S.H.M.; Mahmud, M. Urban Air Pollutant from Motor Vehicle Emissions in Kuala Lumpur, Malaysia. Aerosol Air Qual. Res. 2020, 20, 2793–2804. [Google Scholar] [CrossRef]
- Bin Abas, M.R.; Oros, D.R.; Simoneit, B. Biomass burning as the main source of organic aerosol particulate matter in Malaysia during haze episodes. Chemosphere 2004, 55, 1089–1095. [Google Scholar] [CrossRef] [PubMed]
- Keywood, M.D.; Ayers, G.P.; Gras, J.L.; Boers, C.P. Leong Haze in the Klang Valley of Malaysia. Atmos. Chem. Phys. Discuss. 2003, 3, 591–605. [Google Scholar] [CrossRef]
- Latif, M.T.; Othman, M.; Idris, N.; Juneng, L.; Abdullah, A.M.; Hamzah, W.P.; Khan, F.; Sulaiman, N.M.N.; Jewaratnam, J.; Aghamohammadi, N.; et al. Impact of regional haze towards air quality in Malaysia: A review. Atmos. Environ. 2018, 177, 28–44. [Google Scholar] [CrossRef]
- Anwar, A.; Juneng, L.; Othman, M.R.; Latif, M.T. Correlation between hotspots and air quality in Pekanbaru, Riau, Indonesia in 2006–2007. Sains Malays. 2010, 39, 169–174. [Google Scholar]
- Loo, Y.Y.; Billa, L.; Singh, A. Effect of climate change on seasonal monsoon in Asia and its impact on the variability of monsoon rainfall in Southeast Asia. Geosci. Front. 2015, 6, 817–823. [Google Scholar] [CrossRef]
- Halim, N.D.A.; Latif, M.T.; Ahamad, F.; Dominick, D.; Chung, J.X.; Juneng, L.; Khan, F. The long-term assessment of air quality on an island in Malaysia. Heliyon 2018, 4, e01054. [Google Scholar] [CrossRef] [PubMed]
- Mohtar, A.A.A.; Latif, M.T.; Baharudin, N.H.; Ahamad, F.; Chung, J.X.; Othman, M.; Juneng, L. Variation of major air pollutants in different seasonal conditions in an urban environment in Malaysia. Geosci. Lett. 2018, 5, 21. [Google Scholar] [CrossRef]
- Wang, Y.; Li, J.; Cheng, X.; Lun, X.; Sun, D.; Wang, X. Estimation of PM10 in the traffic-related atmosphere for three road types in Beijing and Guangzhou, China. J. Environ. Sci. 2014, 26, 197–204. [Google Scholar] [CrossRef]
- Wei, Y.D.; Ye, X. Urbanization, urban land expansion and environmental change in China. Stoch. Environ. Res. Risk Assess. 2014, 28, 757–765. [Google Scholar] [CrossRef]
- Zhang, K.; Batterman, S. Air pollution and health risks due to vehicle traffic. Sci. Total Environ. 2013, 450–451, 307–316. [Google Scholar] [CrossRef] [PubMed]
- Field, R.; Soltis, J.; Pérez-Ballesta, P.; Grandesso, E.; Montague, D. Distributions of air pollutants associated with oil and natural gas development measured in the Upper Green River Basin of Wyoming. Elem. Sci. Anth. 2015, 3. [Google Scholar] [CrossRef]
- Liaquat, A.; Kalam, M.; Masjuki, H.; Jayed, M. Potential emissions reduction in road transport sector using biofuel in developing countries. Atmos. Environ. 2010, 44, 3869–3877. [Google Scholar] [CrossRef]
- Badland, H.; Whitzman, C.; Lowe, M.; Davern, M.; Aye, L.; Butterworth, I.; Hes, D.; Giles-Corti, B. Urban liveability: Emerging lessons from Australia for exploring the potential for indicators to measure the social determinants of health. Soc. Sci. Med. 2014, 111, 64–73. [Google Scholar] [CrossRef]
- Idrus, S.; Hadi, A.S.; Shah, A.H.H.; Mohamed, A.F. Spatial Urban Metabolism for Livable City. In Proceedings of the Blueprints for Sustainable Infrastructure Conference, Auckland, New Zealand, 9–12 December 2008. [Google Scholar]
- Leby, J.L.; Hashim, A.H. Liveability Dimensions and Attributes: Their Relative Importance in the Eyes of Neighbourhood Residents. J. Constr. Dev. Ctries. 2010, 15, 67–69. [Google Scholar]








| BAU Scenario | 30% Traffic Reduction Scenario | |
|---|---|---|
| Road network | Highway and trunk road (DBKL, 2017) | Highway and trunk road (DBKL, 2017) |
| Traffic data | Traffic data including number of vehicles for AADT, vehicle type, vehicle travel distance (km), vehicle speeds and activity (RTVM, 2019, DBKL, 2019) | 30% reduction of total traffic count from business as usual |
| Road type | Highway: Sultan Iskandar Highway, Ampang-Kuala Lumpur Elevated Highway, Sungai Besi Highway, Tun Razak Road Mainroad: Bukit Bintang Road, Tun Tan Cheng Lock Road, DBP Road, Hang Tuah Road, Imbi Road, Kinabalu Road, Kuching Road, LTL Road, Loke Yew Road, Maharajalela Road, Melaka Road, Pahang Road, Parlimen Road, Pudu Road, Raja Laut Road, Raja Chulan Road, Raja Laut Road, RMAA Road, Sentul Road, Sultan Hishamuddin Road, Sultan Ismail Road, Kuching Road, TAR Road, Tun Ismail Road, Tun Perak Road, Tunku Road, Yew Road, Damansara Road | |
| Average traffic speed | Highway: 90 km/h Mainroad: 60 km/h | |
| Concentration (Mean ± s.d.) | |||
|---|---|---|---|
| Model Data | CAQMS | ||
| BAU Scenario | 30% Traffic Reduction Scenario | ||
| PM2.5 | 37.6 ± 24.3 | 35.3 ± 23.9 | 28.2 ± 22.2 |
| PM10 | 54.5 ± 27.8 | 50.76 ± 26.4 | 36.4 ± 24.2 |
Publisher’s Note: MDPI stays neutral with regard to jurisdictional claims in published maps and institutional affiliations. |
© 2021 by the authors. Licensee MDPI, Basel, Switzerland. This article is an open access article distributed under the terms and conditions of the Creative Commons Attribution (CC BY) license (https://creativecommons.org/licenses/by/4.0/).
Share and Cite
Azhari, A.; Halim, N.D.A.; Mohtar, A.A.A.; Aiyub, K.; Latif, M.T.; Ketzel, M. Evaluation and Prediction of PM10 and PM2.5 from Road Source Emissions in Kuala Lumpur City Centre. Sustainability 2021, 13, 5402. https://doi.org/10.3390/su13105402
Azhari A, Halim NDA, Mohtar AAA, Aiyub K, Latif MT, Ketzel M. Evaluation and Prediction of PM10 and PM2.5 from Road Source Emissions in Kuala Lumpur City Centre. Sustainability. 2021; 13(10):5402. https://doi.org/10.3390/su13105402
Chicago/Turabian StyleAzhari, Azliyana, Nor Diana Abdul Halim, Anis Asma Ahmad Mohtar, Kadaruddin Aiyub, Mohd Talib Latif, and Matthias Ketzel. 2021. "Evaluation and Prediction of PM10 and PM2.5 from Road Source Emissions in Kuala Lumpur City Centre" Sustainability 13, no. 10: 5402. https://doi.org/10.3390/su13105402
APA StyleAzhari, A., Halim, N. D. A., Mohtar, A. A. A., Aiyub, K., Latif, M. T., & Ketzel, M. (2021). Evaluation and Prediction of PM10 and PM2.5 from Road Source Emissions in Kuala Lumpur City Centre. Sustainability, 13(10), 5402. https://doi.org/10.3390/su13105402

