Abstract
There is an immense demand for vermicomposting employing psychrophilic vermiculture (Aporrectodea caliginosa) for management of wastes under the Himalayan ecosystem. Dalweed (weeds from the world-famous urban Dal Lake) and cow manure (CM) are cheaply and abundantly available bio resources in Kashmir valley. Dalweed (DW), disposed of in the heart of the city, ascribes unpleasant effects on tourism and the natural ecosystem. Initial substrate mixtures of DW and CM with different ratios (CM100, DW100, CM80:DW20, CM60:DW40, CM40:DW60 and CM20:DW80) and castings harvested were analyzed for the following parameters: pH, TOC, TN, NO3- P, K, Fe, Zn, C:N, C:P, and C:S ratio. The results of a 56day study revealed in consistency and disparity towards the bio-optimization of coprolites depending upon the type of waste residue and mixture ratio used. Treatments with medium to low dalweed residues (CM60:DW40 followed by CM80:DW20) were found to be optimum and significantly primed chemical properties of castings using A. caligenosa. C:N, C:P, and C:S ratios showed a non-linear response with maximum decrease in C:N ratio by 35%, C:P ratio by 38% in CM100, and C:S ratio by 67% in DW100. Humification ratio, humification index, and percent humic acids were changed across all the treatments with the highest respective values of 21.33 ± 1.05, 11.33 ± 0.76, and 47.83 ± 0.76 for CM60:DW40. Results also showed that the earthworm population and biomass significantly increased with the highest respective increments of 57.53% and 74.88% in CM60:DW40 over initial values. Moreover, the highest number of cocoons (95.67 ± 1.17) were recorded within CM60:DW40 and the lowest in the control (43.33 ± 1.53). Dehydrogenase and fluorescein diacetate activities were inconsistent with the highest in CM40:DW60 (64.64%) and CM20:DW80 (63.54%) respectively over the initial substrates, while highest urease activity (74.40%) was observed from CM100. The results highlight the role of A. caliginosa in sustainable transformation of CM and DW with insightful, beneficial, and priming impacts on castings for its agronomic value.
1. Introduction
Kashmir, a Himalayan region and world tourist destination owing to its scenic beauty, eco-climate, urban (Dal Lake), and rural (Wular, Manasbal) lakes, is the backbone of local economy and ecotourism. Dal Lake is situated in the heart of Srinagar city (latitude 34°18′ N longitude 74°91′ E) of the state of Jammu and Kashmir (J&K). Dalweed (DW), or Dal lake weeds, are a diverse group of aquatic weed flora comprising Nelumbo nucifera, Lemna minor, Azolla sp., Salvinia cuculata, Trapa natans, Potamogetton crispus, Potamogettonlucens, Pistia sp. Hydrilla verticillata, Ceratophyllum demersum, Myriophyllum spicatum, and Myriophyllum verticillatum [1]. Rapid urbanization, traditional tourism, and commerce have increased the rate and magnitude of these weed species and led to several fold increases which exacerbated the detriment to the native biodiversity and ecosystem of the world-famous Dal Lake of Kashmir. The death of aquatic weeds (Nelumbo nucifera, Salvinia cuculata) brings out the accumulation of debris at the bottom and threatens the aquatic ecosystem by creating shallow water, diminishing dissolved oxygen, and serving as a vector for human diseases [2]. DW proliferates abundantly and is difficult to manage due to its rapid underwater multiplication. Mechanical eradication is a year-round process leaving an abundance of weed biomass on roadsides in the city. Landfilling of weed biomass is hazardous because it produces gas emissions and leachates which cause substantial damage to ecosystems and biodiversity. Moreover, lifting the DW from the Dal Lake raises the cost of disposal to cover thewide distance of the landfill at Shalimar. Annually, a hundred thousand cubic meters of mixed fresh weed biomass are removed from the Dal Lake by de-weeding harvesters [3]. Aquatic weeds (Nelumbo nucifera, Azolla, Salviniacuculata) produce a number of important secondary metabolites like alkaloids, flavonoids, steroids, triterpenoids, glycosides, and polyphenols [4] and are rich in lipids, carbohydrates, proteins, and minerals [5,6]. Earthworms kept in media Nelumbo leaves for 30 days showed increased body weight and produced relatively more cocoons [7]. Recycling of aquatic weeds can solve disposal issues [8]), and enhances their agronomic value with the building up of earthworms (biomass, hatchlings, and cocoons) [9]. Traditionally, cow manure is regarded as an important resource for sustainable rural agriculture [10,11] and a primary substrate for vermicomposting [12,13]. There has been a rapid increase in cattle farming as a pivotal source of livelihood among Himalayan farmers. Evoked cattle population has resulted in abundant generation of cattle manure among Himalayan agriculture communities. Mishandling and improper disposal of cattle dung among rural areas generates serious environmental pollution and human health hazards [14], with nutrient (N) losses of 800 kg ha−1 per year through different routes [15] Cow manure is rich in carbon and nutrients, and mismanagement may lead to greenhouse gas emissions (GHGs) and hypertrophication [16,17,18] (Nevertheless, cattle manure occupies an irreplaceable position in compost production with other organic wastes [10]. CM-based vermicomposting enhances growth and reproduction of earthworms and microbials leading to bio-stabilized nutrient rich vermifertilizer [13,14,19]. Vermicomposting, a bioecologically sustainable technology [20]), has been regarded as an ecofriendly alternative for solid waste recycling [21]. Vermitechnology causes environmental sustainability by minimizing the pollution risks associated with bio wastes and generating castings which act as a conditioner for soil and plant growth [14]). Aporrectodea caliginosa (endogeic) strongly influence the degradation of organic residue and nutrient cycling [22] with logical evidence of cold tolerance [23]. The present work can contribute to our understanding about the potential of CM and DW towards dynamics and recovery of nutrients by employing indigenous psychrophilic A. caligenosa. In addition, results can guide waste managers, agronomists, environmentalists, and policy makers with emissions and nutrients-recycling options for a better environment. Therefore, the study was carried out with the following objectives: (i) to investigate the influence of variable mixed combinations of CM and DW focusing on bio-optimization of the end product, and (ii) to evaluate the effect of waste mixtures on reproductive performance of A. caligenosa (biomass, cocoon production).
2. Material and Methods
2.1. Earthworms and Raw Material
The experiment was conducted under protected conditions at Mountain Extension and Research Institute, Izmarg-Guraz (74.73° E, 34.64° N) of District Bandipora of Jammu and Kashmir, India. The annual average temperature and precipitation of the location are 15.6 °C and 2200 mm, respectively. Geophagous earthworms, Aporrectodea caliginosa (endogeic), were obtained from the biowaste conversion unit at the farmer’s field in Chorwan, Guraz, where it had been cultured for the last 3 years. Initially, this species was explored from different cold habitats of the Guraz valley under the project National Mission on Himalayan Research supported by the Ministry of Environment, Government of India, New Delhi. Fresh samples of DW were collected from the dumping site at Shalimar, while CM was taken from the livestock dairy unit (Bakerwal cows) located near the experimental station.
2.2. Experimental Set Up
CM was mixed with DW at different ratios on w/w basis and air dried to a moisture content of 25%. After blending the raw material thoroughly, they were placed into the plastic troughs (polyvinylchloride–PVC) with the dimensions 45 cm × 30 cm × 10 cm. Different substrate mixtures were allowed pre-decomposition for 2 weeks with optimum moisture to soften the materials and to eliminate the volatile toxic gases and uric acid of cow manure [24]. Treatment substrates (2 kg) of CM and DW in triplicates were formulated in different ratios with corresponding control as shown in Table 1 and their C:N ratio was maintained to 25–30 for initiation of the composting process. The earthworms were adapted to the experimental conditions by placing them in the troughs filled with feeding material for 24 h. Afterwards, the earthworms were brought out and washed properly with water to remove adhesive residue and mucus before being inoculated into the experimental troughs. In the present study, 80 earthworms with an average body weight of 0.5 g each were allocated to each trough for the composting process. The troughs were placed under ambient light, with an average air temperature and relative humidity of 16.8 ± 1.5 °C and 67 ± 4%, respectively, to ensure uniform microclimatic conditions during the course of the experiment. Surface vermicast samples of 10 g were collected from each trough and placed into petri dishes with moistened filter paper for further analysis.
Table 1.
Treatment combinations of cow manure and dalweed.
2.3. Chemical Properties of Coprolites
Vermicast samples collected in triplicates at the end of the experiment were analyzed for pH (determined in 1:5, sample: water ratio) by a glass electrode pH meter; C, N, and S content were determined by the CHNS analyzer (FLASH EA 1112 series); total N [25]; NO3− (cadmium reduction method). Phosphorus and potassium were quantified by the procedure of [26] through flam photometer-128 (Systronics) after assimilating samples in diacid suspension (HClO4:HNO3 in the ratio of 4:1). The micronutrients were analyzed by an atomic absorption spectrophotometer. Percent increase–decrease among chemical parameters relative to respective control substrates (CM and DW) was calculated [27].
2.4. Coprolite Enzyme Analysis
Samples of vermicast were also subjected to differential analysis for micro flora using the method as described by [28]. Comparative and diversity enumeration of isolates were determined. Microbial activity was evaluated by determining dehydrogenase (DH) activity using the triphenyl tetrazolium chloride (TTCM) method [29]. Fluorescein diacetate activity (FDA) was determined bythe method of [30]. Urease activity was assayed by determining NH4+ release from the organic wastes based on the method described by [31].
2.5. Humification Indices
Analysis of humic substance (humus ratio, humic index, percent humus) in vermicast was carried out by the method as described by [32]. A 0.1 mol L−1 NaOH solution was used in the ratio of 2:4 (w/v) and left on a mechanical shaker for 5 h. Afterwards, samples were centrifuged (4000 rpm for 20 min) and supernatant was divided into two fractions, where one half was acidified to pH 2 by gradually adding concentrated H2SO4 which developed into a precipitate for humic acid fractions. Non-precipitated parts of samples were analyzed for the fulvic acid form of carbon (CFA). The leftover half fraction of the supernatant was analyzed for the total extractable carbon fraction (CtEx). The concentration of fractional humic acid (CHA) was calculated as the difference between CtEx and CFA. The indices of humification viz, humification ratio (HR), humification index (HI), and percent humic acid (Pha) were calculated by the Equations (1)–(3), respectively [32].
2.6. Reproductive Performance of A. caliginosa
Growth and reproduction performances of the earthworms were assessed from the individual troughs after the composting process. The growth rate and reproduction of A. caligenosa were determined in terms of population and cocoon production during the experimentation. The adult and baby worms were manually isolated from each trough, and weighted and counted separately. Worms from each trough were sorted, washed with water, blotted by filter paper (Whatman No.1), and weighed in a digital analog balance. After recording data, cocoons were placed under incubation for future studies. The progressive increments in worm population during the study were calculated as per the standard method.Influence of various substrate combinations of CM and DW on biomass of A. caliginosa was determined as per the formula [33] given below:
2.7. Statistical Analysis
The data were statistically analyzed with Origin 2021. One-way analysis of variance (ANOVA) and post hoc analysis were performed to compare mean values of the samples (p < 0.05). Mean differentiation for humic indices, chemical parameters of substrates, and reproductive performance in the experiment were done through Student’s t-test.
3. Results and Discussion
3.1. Chemical Properties of Coprolites
The evaluation of the effect of different substrate combinations of CM and DW was based on determining the changes in physicochemical characteristics like pH, TOC, TN, NO3-, TP, TK, Fe, and Zn. After 56 days of vermicomposting, the pH of the controls CM and DW were slightly acidic (6.33 ± 0.15) and alkaline (7.80 ± 0.61), respectively. Meanwhile, all other treatments showed slight alkaline values which differed from the values of the controls, with the treatment CM40:DW60 showing the highest pH of 7.43. However, the pH of all treatments did not show any significant (p < 0.05) difference. The earthworms promoted the stabilization of the pH of all feed stocks to slightly alkaline (Table 2). Mixing of increased amounts of DW progressively neutralized the pH of the end product. The pH in all treatments increased with the onset of composting relative to respective control, which is attributed to rapid degradation of acidic compounds, secondary metabolites, and ammonification which isatypical pattern of vermicomposting [34,35]. The data (Table 2) revealed that after 56 days of vermicomposting, the control treatment DW100 showed significantly (p < 0.05) lower (14.067%) TOC in the end product in comparison to other treatments. In addition, the control treatment DW100 showed significantly (p < 0.05) higher TOC (21.667%) in the end product. The other substrate mixtures (CM80:DW20, CM60:DW40, CM40:DW60, and CM20:DW80) showed a nonsignificant (p < 0.05) difference in TOC between each other, and the values ranged between 16.26% and19.53% with maximum carbon decline in CM60:DW40 (19.53 ± 0.93), followed by treatment CM40:DW60 (18.20 ± 0.61). The reason for reduction in organic carbon could be due to production and evolution of CO2 during the process [36] With respect to TP content in the end product of different treatments after 56 days of vermicomposting, it was found that the treatment CM60:DW40 showed the highest TP content of 0.85% which was significantly (p < 0.05) different from the treatments CM20:DW80 and DW100 (control) with a TP content of 0.51%. However, the TP value of the treatment CM60:DW40 was non significant (p < 0.05) with TP values of the treatments CM100 (control), CM80:DW20, and CM40:DW60. It was also observed that there was increase in TP in all treatments from the initial values of different substrate mixtures. The increase in total phosphorus observed during the vermicomposting of different substrate combinations is due to the mineralization of organic phosphorus fractions carried by secretion of phosphatase by the earthworms [37] (The varied substrate combinations influenced the total nitrogen (TN) in the coprolites with an increase in all the treatments observed between 1.90% and 3.16%. The increasing trend followed the following order: CM100 (3.16%) > CM80:DW20 (3.20%) > CM60:DW40 (2.86%) > CM40:DW60 (2.50%) > CM20:DW80 (2.28%) > DW100 (1.90%). It was observed that the control treatment CM100 showed the highest TN (3.16%) in the final end product, however it was non significant (p < 0.05) with other treatments except for the treatment DW100 (control). The addition of many metabolic components like excretory products, mucus and body fluids by worms, decomposition of organic matter, respiratory activity ofmicrobes, and earthworms causing loss in TOC during the vermicomposting process led to improvements in nitrogen content in the final product [36,38,39]. The other factors that can improve the nitrogen content of the vermicompost include nitrogen-fixing bacteria and dead tissues of earthworms [40,41]. Decrease in pH is an important factor for stabilization and retention of N by preventing its loss from volatile ammonia. Previous studies suggested the final N content depends on the initial N content in wastes and extant of decomposition [42,43]. Analysis also resulted in high consistent concentration of nitrates following the order DW100 (7.02%) > CM20:DW80 (7.69%) > CM40:DW60 (16.07%) CM100 (18.75%) > CM80:DW20 (20.22%) > CM60:DW40 (24.39%). The increase in NO3- during the vermicomposting process is due to the enhanced aeration and nitrification process by the activities of the earthworms [44]. The K difference between treatments was significant, while its content was found to be high, relative to initial content (Table 2). The K concentration evidenced a steady increase, and the concentration in the final product followed the order CM100 (1.33%) > CM80:DW20 (1.06%) > CM60:DW40 (0.93%) > CM40:DW60 (0.86%) > CM20:DW80 (0.68%) > DW100 (0.47%). Interestingly, the analyzed results showed significantly (p < 0.05) higher TK in the control treatment of cow manure CM100 (1.33 ± 0.15%) followed by CM60:DW40 (0.93 ± 0.05%) that was non significant with respect to other treatments. In a similar study, the vermicomposting of different treatment combinations of cow dung and duckweed resulted in increased K content in the final product that was proportional to the concentration of cow dung [36]. The increase in K content in the vermicompost could be due to respiratory loss of organic matter, hydrolysis of organic substrate by the microbial and earthworm gut enzymes, chelation process by humic acids, and release of K [45]. Data pertaining to micronutrient content indicated that Zn and Fe showed a similar recovery trend. The mean content of Fe in the final product varied between 0.10 ± 0.01 and 0.06 ± 0.01 with the highest recovery percentage in DW100 (21.05%) followed by CM40:DW60 (18.64%). Data pertaining to micronutrient content indicated that Zn and Fe showed a similar recovery trend. The mean content of Fe in the final product varied between 0.10 ± 0.01 and 0.06 ± 0.01with the highest recovery percentage in DW100 (21.05%) followed by CM40:DW60 (18.64%). Irrespective of substrate combinations, the Zn recovery percent considerably increased with the highest recorded in CM60:DW40 (23.68%) followed by CM40:DW60 (21.58%). Degradation of organic matter by A. caligenosa and subsequent mineralization of mineral elements increased the content of Fe and Zn in the coprolites.
Table 2.
Chemical properties of castings as influenced by various substrate ratios of CM and DW.
3.2. Microbial Activity and Enzyme Property
The data analysis revealed that microbial activity showed rapid reduction in all treatments during the incubation of 56 days. Higher dehydrogenase activity was recorded during the first 45 days. A comparative analysis of initial and final dehydrogenase activity recorded (Figure 1) interesting values in the following order: DW100 (62.66%) > CM20:DW80 (64.64%) > CM100 (58.78%)> CM60:DW40 (56.21%). CM40:DW60 (42.39%) > CM40:DW60 (40.06%). Such findings may be due to the rapid enzymatic activity by distinguished microbes from the beginning of the process; however, due to the quick loss of organic matter causing nonsignificant effects in DHA across the treatments, this is in line with previous studies on vermicomposting [46]. Earthworms strongly escalate the microbial enzymatic activities such as DHA for conversion of volatile suspended solids [47]. Vermicomposting was also directly related to fluorescein diacetate activity present in the gut of earthworms and bacteria. The activity of fluorescein hydolysing enzyme increased the mineralization and stabilization of organ matter during the vermicomposting. The higher value of fluorescein diacetate hydrolysis enzyme (FDHE) activity was recorded and followed and the order CM100 (57.23%) > DW100 (59.91%) > CM60:DW40 (63.32%) > CM40:DW60 (63.54%) > CM20:DW80 (70.66%). A balanced mixture of CM and DW residues showed a higher FDHE activity with change over the initial status as depicted in Figure 1. Substrates having higher content of DW residues reflected higher FHE activity (Figure 1), which is attributed to higher aerobic conditions due to higher lignocellulosic content in DW compared to CM. Our results are supported by the findings of [48] who reported higher FDHE activity in top soil (aerated), with limited activity in lower layers under the same conditions. Urease is closely linked with the decomposition of biowastes by hydrolyzing NH4+ into CO2 [49]. In this study, the initial and final values were influenced by the substrate mixtures with urease activity following the order DW100 (48.52%) > CM20:DW80 (55.83%) > CM40:DW60 (58.72%) > CM60:DW40 (62.21%) > CM80:DW20 (63.32%) > CM100 (74.40%) (Figure 2). The increased DW residue in the substrates showed a linear decrease in urease activity and can be attributed to diminished initial content of NH4+ in the substrate mixture with high weed residue. The change over the initialstatusin urease activity (Figure 1) during the composting process is associated with the decrease in readily available organic matter which resulted in decreased microbial activity. Previous findings also reported decreased urease activity towardstheterminal phase of vermicomposting [50,51]. The final values of the urease activity across various treatments, regardless of the considerable difference in initial N contents and enzyme activities, implies that urease activity is a promising indicator of maturity. Similar results reported that measuring enzymatic activity and organic matter decomposition can provide information about compost maturity [52].
Figure 1.
Change over initial (%) in enzymatic activity compared to final vermicatings from different mixtures of CM and DW.
3.3. C:N, C:P, and C:S Ratio
Mixtures of cow manure and dalweed influenced the bio-gradation process. Diminished changes were recorded in C:N, C:P, and C:S ratios during partial and final decomposition relative to the initial status (Table 3). The C:N ratio of different substrate mixtures varied initially, decreased gradually during the vermicomposting process of 56 days, and ranged from 14.83 ± 1.03 to 23.67 ± 1.33 in the final product. The highest decrease in C:N ratio was evidenced in control treatment CM100 (23.67 ± 1.33) followed by control treatment DW100 (22.33 ± 1.41) which were decreased by 34.87% and 34.33%, respectively, in the final product. However, the lowest values of C:N ratios were observed in the treatments CM20:DW80 (14.83 ± 1.03) and CM40:DW60 (15.83 ± 0.29). The carbon loss due to respiration of earthworm-associated microbes could be the reason for the decreased C:N ratio. Previous studies also suggested the transformation of C to CO2 through microbial respiration and an increase in N content due to mineralization [53,54] The recycling of sludge through vermitechnology revealed a decreased C:Nratio (Srivastava et al., 2020) of dry grass and rice straw [55]. Scientific studies revealed the value of the C:N ratio as an indicator of compost maturity with a ratio less than 20 indicating advanced degree of stabilization [56] and <15 desirable for crop production [57]. The C:P ratio of waste substrates ranged from 20.17 ± 1.04 to 52.03 ± 1.03 and 18.33 ± 0.58 to 42.17 ± 1.04 in varied substrates after partial decomposition and final vermicomposting, respectively. The maximum decrease (38%) in the final product was recorded in the control (CM100) treatment followed by GM60:DW40 (36%) (Table 3). C:S ratio showed a similar decreasing trend with a maximum decrease in DW100 (67%) followed by GM40:DW100 (64%). Rapid degradation of organic matter and a high degree of stabilization was achieved in all the treatments. This demonstrates the role of earthworms in degradation and mineralization of mixed substrates giving a stabilized output. Mounted evidence also reported a decrease in C:P ratio during vermicomposting from kitchen waste, farm yard manure and temple wastes [58,59]. Previous research work also suggested the decrease in C:P ratio during vermicomposting of urban wastes [60].
Table 3.
Mean values (±standard error) of C:N, C:P, and C:S ratios at initial, partial, and final stages of CM and DW mixtures.
3.4. Humification
Humification reflects the formation of humic substances of waste material. The study observed an inconsistent change in humification ratio (HR) and humification index (HI) during the analysis (Figure 2). HR showed a significant difference (p < 0.05) across treatments. For HR, the increasing trend followed the order CM20:DW80 (8.43 ± 0.6) > CM40:DW60 (11.34 ± 0.87) > DW100 (12.03 ± 0.68) > CM100 (16.50 ± 1.74) > CM80:DW20 (18.07 ± 0.40) > CM60:DW40 (21.33 ± 1.05). The higher input quantity of CM positively influenced the humification process and led to positive interactions among biochemical parameters of substrate mixtures. Vermicomposting increased both the HR and HI which is corroborated with the findings of [61]. The HR above 7 is considered an indicator of maturity as reported by [62,63]. Our study evidenced HR higher than 7, which signifiesthatthe positive influence of A. caligenosa and associated microbes caused enrichment in the vermicastings. The increase in both HR and HI in the vermicastings is due to the combined action of earthworm-microbes and is also based on the initial chemical composition of different mixture substrates. A recent study also confirmed the positive influence of vemicomposting on humification of cow and pig manure blended with paper wastes [64,65], and other scientific reports projected the highest humification degree in recycling of municipal solid waste blended with cow dung [66]. The high HI during the vermicomposting could also have contributed to the improvement in mineralization and dissolution of organic matter which reflected an increased percentage of humic acid (Pha) in the coprolites. The Pha was found to be highest in CM60:DW40 (47.83 ± 0.76) and lowest in GM20:DW80 (20.12 ± 1.70). The increased percent of humic acids demonstrated more maturity in the end product.
Figure 2.
Humification indices with variable combinations of CM and DW after 8 weeks of vermicomposting. (Bars are means ± SD)
Figure 2.
Humification indices with variable combinations of CM and DW after 8 weeks of vermicomposting. (Bars are means ± SD)

3.5. Reproductive Performance of A. caliginosa
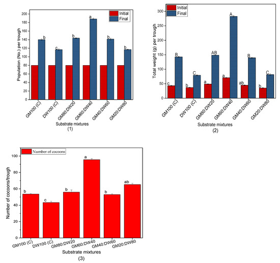
The reproductive performance of an earthworm is considered a good indicator of substrate preference, which leads to an effective composting process. The reproductive performance in the present study was assessed in terms of population increase, biomass gain, and cocoon production at the end of the study. The initial number of A. caliginosa inoculated was 80 individuals per trough subjected to study for 8 weeks. Development of clitellum in A. caliginosa started from day 25 of worm inoculation. The varied substrate combinations of CM and DW significantly (p < 0.05) influenced the reproductive indices of earthworms during the study. The increased trend in the population followed the order DW100 (31.43%) > CM20:DW80 (31.62%) > CM100 (42.86%) > CM40:DW60 (43.40%) > CM80:DW20 (44.44%) > CM60:DW40 (57.52%). The treatment combinations with a DW residue proportion of 40% (CM60:DW40) and 20% (CM80:DW20) was reflected in the highest population of 188.33 ± 2.08 and 143.67 ± 0.58, respectively. Theresults (Figure 3) revealed that sole dalweed (control) substrates showed significantly (p < 0.05) poorer results indicating least preference as a food substrate because of the significantly (p < 0.05) higher pH and wide C:N ratio ofsole DW100 compared to other combinations. Lower pH, carbon, and nitrogen are important factors of suitable food for Esenia fetida [67]. The weight gain by earthworms is considered a universal comparative index to compare the biomass of earthworms. The biomass values of A. caligenosa at the end of the experiment differed significantly (p < 0.05). Notching the values of biomass, the increasing order follows DW100 (55.24%) CM20:DW80 (56.73%) > CM80:DW20 (67.04%) > CM40:DW60 (67.78%) > CM100 (69.63%) > CM60:DW40 (74.88%). The substrate combinations having higher input content of CM positively influenced the earthworm biomass, with the highest value recorded in CM60:DW40 (282.67 ± 2.52) and minimum in DW100 (79.33 ± 1.53).
Figure 3.
Biological parameters of A. caliginosa: (1) population increase, (2) body weight gain, and (3) total cocoon production during the experiment. Error bars indicate SD. For population and weight, the significant differences (p < 0.05) are indicated with different capital and lower-case letters for initial and final, respectively. (Means with different superscripts differ significantly (p < 0.05)).
Research evidence favored our findings by observing the consistent higher live weight of P. sansibaricus with cow dung during 13 weeks of study [68] and the weight reduction may be attributed to quick degradation of cow manure [13]. Number of cocoons recovered after week 8 of composting registered more or less similar trends with the highest number of cocoons found in CM60:DW40 (95.67 ± 1.15), and the minimum in DW100 (43.33 ± 1.53). The study also revealed that the control treatment (DW100) with sole dalweed residues imparted stress to earthworms by lower biological parameters which could be attributed to lower multiplication rates, simultaneously resulting in low cocoon production. The blending mixture of cow manure and dalweed (CM60:DW40) was evidenced as an optimum substrate combination with a higher positive influence on the biomass and reproductive performance of A. caliginosa.
4. Conclusions
Experimental findings affirmed that vermicastings from CM and DW with a blending mixture of CM60:DW40 ratio were found optimum compared to either of these as sole treatments. CM, a potential bio resource hosting a wide variety of micro flora, promotes the bio-optimization of vermicastings and contributes significantly by adding value to DW in definite proportion. Humification indices also favor the CD60:DW40 for maximum deciphering of nutrients (OC, N, P, K, Fe, and Zn) and stability (pH, C:N) of the end product. Dehydrogenase and fluorescein diacetate activities as maturity indicators were highest in CD60:DW40 (64.64%) and CD40:DW60 (63.54%), respectively, while highest urease activity (74.40%) was from CD100. The study revealed that the 40% DW residues blended with 60% CM is an optimum combination with sufficient essential nutrients for growth body synthesis and multiplication of A. caliginosa. A. caliginous promotes the growth of microorganisms, which is otherwise largely limited due to severe winter and low ambient temperature, and hence is a suitable candidate for the recycling of CM and DW under temperate Himalayan climatic conditions. Further large scale trials are required in the future under variable substrates and microclimates (temperatures) of the Himalayas.
Author Contributions
Conceptualization, writing, original draft, revision, T.S.; Conceptualization, proof reading, editing, Z.B.; Literature review, S.I.; writing, literature review proof reading, editing, revision, B.H.; Statistics, F.W.; Proof reading, A.B.; Literature review, proof reading, S.S. All authors have read and agreed to the published version of the manuscript.
Funding
This research received no external funding.
Institutional Review Board Statement
Not applicable.
Informed Consent Statement
Not applicable.
Data Availability Statement
All supporting data is available in the manuscript.
Conflicts of Interest
Authors declare no conflict of interest.
References
- Ganie, S.A.; Rabani, M.S.; Mir, M.A.; Khan, I.A. Proximate Nutrient Content Analysis of Some Aquatic Weeds of DalLake Srinagar. Int. J. Pharm. Biol. Sci. 2019, 9, 713–720. [Google Scholar]
- Hussain, N.; Abbasi, T.; Abbasi, S.A. Generation of highly potent organic fertilizer from pernicious aquatic weed Salvinia Molesta. Environ. Sci. Pollut. Res. 2018, 25, 4989–5002. [Google Scholar] [CrossRef]
- Lakes and Water ways, D.A., (Jammu and Kashmir). Weeds englough Dal Lake. Greater Kashmir, 31 July 2016. [Google Scholar]
- Mukherjee, P.K.; Mukherjee, D.; Maji, A.K.; Rai, S.; Heinrich, M. The sacred lotus(Nelumbo nucifera)—Phytochemical and therapeutic profile. J. Pharm. Pharmacol. 2009, 61, 407–422. [Google Scholar] [CrossRef]
- Gusain, R.; Pandey, B.; Suthar, S. Composting as a sustainable option for managing biomass of aquatic weed Pistia: A biological hazard to aquatic system. J. Clean. Prod. 2018, 177, 803–812. [Google Scholar] [CrossRef]
- Suthar, S.; Pandey, B.; Gusain, R.; Gaur, R.Z. Nutrient changes and biodynamics of Eisenia fetida during vermicomposting of water lettuce (Pistiasp.) biomass: Anoxious weed of aquatic system. Environ. Sci. Pollut. Res. 2017, 24, 199–207. [Google Scholar] [CrossRef]
- Kanaga, M.D.; Deivanayaki, M. Effect of different Nelumbo nucifera media on the growth and cocoon Production of Eisenia fetida. Res. J. Sci. Technol. 2017, 9, 239–243. [Google Scholar] [CrossRef]
- Najar, I. Vermicomposting of aquatic weeds: A quick review. Plant Sci. Today 2017, 4, 133. [Google Scholar] [CrossRef]
- Arora, M.; Kaur, A. Azolla pinnata, Aspergillus terreus and Eisenia fetida for enhancing agronomic value of paddy straw. Sci. Rep. 2019, 9, 1341. [Google Scholar] [CrossRef] [PubMed]
- Gupta, K.K.; Aneja, K.R.; Rana, D. Current status of cow dung as a Bioresource for sustainable development. Bioresour. Bioprocess. 2016, 3, 28. [Google Scholar] [CrossRef]
- Rini, J.; Deepthi, M.P.; Saminathan, K.; Narendhirakannan, R.T.; Karmegam, N.; Kathireswari, P. Nutrient recovery and vermicompost production from live stock solid wastes with epigeic earth worms. Bioresour. Technol. 2020, 313, 123690. [Google Scholar] [CrossRef] [PubMed]
- Teenstra, E.D.; Vellinga, T.V.; Aktasaeng, N.; Amatayaku, W.; Ndambi, A.; Pelster, D.; Germer, L.; Jenet, C.O.; Andeweg, K. Global Assessment of Manure Management Policies and Practices; Wageningen UR Livestock Research: Wageningen, The Netherlands, 2014; pp. 1–33. [Google Scholar]
- Jjagwe, J.; Komakech, A.J.; Karungi, J.; Amann, A.; Wanyama, J.; Lederer, J. Assessment of a Cattle Manure Vermicomposting System Using Material Flow Analysis: A Case Study from Uganda. Sustainability 2019, 11, 5173. [Google Scholar] [CrossRef]
- Yuvaraj, A.; Thangaraj, R.; Balasubramani, R.; Chang, S.; Karmegam, N. Centrality of cattle solid wastes in vermicomposting technology—A cleaner resource recovery and biowaste recycling option for agricultural and environmental sustainability. Environ. Pollut. 2021, 268, 115688. [Google Scholar] [CrossRef]
- Deng, M.; Bellingrath-Kimura, S.D.; Zeng, L.; Hojito, M.; Zhang, T.; Yoh, M. Evaluation of environmental risks on Andosols from an intensive dairy farming water shed using DNDC. Sci Total Environ. 2015, 512–513, 659–671. [Google Scholar] [CrossRef]
- Zubair, M.; Wang, S.; Zhang, P.; Ye, J.; Liang, J.; Nabi, M.; Zhou, Z.; Tao, X.; Chen, N.; Sun, K.; et al. Biological nutrient removal and recovery from solid and liquid live stock manure: Recent advance and perspective. Bioresour. Technol. 2020, 301, 122823. [Google Scholar] [CrossRef]
- Nguyen, B.T.; Trinh, N.N.; Bach, Q.-V. Methane emissions and associated microbial activities from paddy salt-affected soil as influenced by biochar and cow manure addition. Appl. Soil Ecol. 2020, 152, 103531. [Google Scholar] [CrossRef]
- Kim, S.Y.; Pramanik, P.; Bodelier, P.L.E.; Kim, P.J. Cattle Manure Enhances Methanogens Diversity and Methane Emissions Compared to Swine Manure under Rice Paddy. PLoS ONE 2014, 9, e113593. [Google Scholar] [CrossRef] [PubMed]
- Balachandar, R.; Baskaran, L.; Yuvaraj, A.; Thangaraj, R.; Subbaiya, R.; Ravindran, B.; Chang, S.W.; Karmegam, N. Enriched press mud vermicompost production with green manure plants using Eudrilus eugeniae. Bioresour. Technol. 2020, 299, 122578. [Google Scholar] [CrossRef]
- Kopeć, M.; Gondek, K.; Mierzwa-Hersztek, M.; Antonkiewicz, J. Factors influencing chemical quality of composted poultry waste. Saudi. J. Biol. Sci. 2018, 25, 1678–1686. [Google Scholar] [CrossRef] [PubMed]
- Raza, S.T.; Zhu, B.; Tang, J.L.; Ali, Z.; Anjum, R.; Bah, H.; Iqbal, H.; Ren, X.; Ahmad, R. Nutrients Recovery during Vermicomposting of Cow Dung, Pig Manure, and Biochar for Agricultural Sustainability with Gases Emissions. Appl. Sci. 2020, 10, 8956. [Google Scholar] [CrossRef]
- Rüdisser, J.; Tasser, E.; Peham, T.; Meyer, E.; Tappeiner, U. Hidden Engineers and Service Providers: Earth worms in Agricultural Land-Use Types of South Tyrol, Italy. Sustainability 2021, 13, 312. [Google Scholar] [CrossRef]
- Butt, K.R.; Nuutinen, V. Earthworms in past and present agricultural landscapes of Hebridean Scotland. Eur. J. Soil Biol. 2021, 104, 103273. [Google Scholar] [CrossRef]
- Mupambwa, H.A.; Ravindran, B.; Mnkeni, P.N.S. Potential of effective micro-organisms and Eisenia fetida in enhancing vermi-degradation and nutrient release of flyash in corporate into cow dung–paper waste mixture. Waste Manag. 2016, 48, 165–173. [Google Scholar] [CrossRef] [PubMed]
- Bremner, J.M. Nitrogen-Total. In Methods of Soil Analysis; Soil Science Society of America: Madison, WI, USA, 1996; pp. 1085–1121. [Google Scholar] [CrossRef]
- John, M.K. Colorimetric determination of phosphorus in soil and plant materials with ascorbic acid. Soil Sci. 1970, 109, 214–220. [Google Scholar] [CrossRef]
- Karmegam, N.; Daniel, T. Growth, reproductive biology and lifecycle of the vermicomposting earthworm,Perionyx ceylanensis Mich.(Oligochaeta: Megascolecidae). Bioresour. Technol. 2009, 100, 4790–4796. [Google Scholar] [CrossRef] [PubMed]
- Hussain, M.; Asgher, Z.; Tahir, M.; Ijaz, M.; Shahid, M.; Ali, H.; Sattar, A. Bacteria in combination with fertilizers improve growth, productivity and net returns of wheat (Triticum aestivum L.). Pak. J. Agric. Sci. 2016, 53, 633–645. [Google Scholar]
- Huang, K.; Xia, H.; Wu, Y.; Chen, J.; Cui, G.; Li, F.; Chen, Y.; Wu, N. Effects of earth worms on the fate of tetracycline and fluoroquinolone resistance genes of sewage sludge during vermicomposting. Bioresour. Technol. 2018, 259, 32–39. [Google Scholar] [CrossRef] [PubMed]
- Adam, G.; Duncan, H. Development of a sensitive and rapid method for the measurement of total microbial activity using fluorescein diacetate (FDA) in arrange of soils. Soil Biol. Biochem. 2001, 33, 943–951. [Google Scholar] [CrossRef]
- Frankenberger, W.T.; Tabatabai, M.A. Amidase and urease activities in plants. Plant Soil 1982, 64, 153–166. [Google Scholar] [CrossRef]
- Sánchez-Monedero, M.A.; Roig, A.; Martínez-Pardo, C.; Cegarra, J.; Paredes, C. A microanalysis method for determining total organic carbon in extracts of humic substances. Relationships between total organic carbon and oxidable carbon. Bioresour. Technol. 1996, 57, 291–295. [Google Scholar] [CrossRef]
- Mazantseva, G.P. Growth pattern in the earthworm Nocodrilus calignosus (Oligochaeta: Lumbricidae) during the first year of life. Pedobiology 1982, 23, 272–276. [Google Scholar]
- Gong, X.; Li, S.; Sun, X.; Wang, L.; Cai, L.; Zhang, J.; Wei, L. Green waste compost and vermicompost as peat substitutes in growing media for geranium (Pelargonium zonale L.) and calendula (Calendula officinalis L.). Sci. Hortic. 2018, 236, 186–191. [Google Scholar] [CrossRef]
- Hanc, A.; Chadimova, Z. Nutrient recovery from apple pomace waste by vermicomposting technology. Bioresour. Technol. 2014, 168, 240–244. [Google Scholar] [CrossRef]
- Gusain, R.; Suthar, S. Vermicomposting of duckweed (Spirodela polyrhiza) by employing Eisenia fetida: Changes in nutrient contents, microbial enzyme activities and earthworm biodynamics. Bioresour. Technol. 2020, 311, 123585. [Google Scholar] [CrossRef] [PubMed]
- Esmaeili, A.; Khoram, M.R.; Gholami, M.; Eslami, H. Pistachio waste management using combined composting-vermicomposting technique: Physico-chemical changes and worm growth analysis. J. Clean Prod. 2020, 242, 118523. [Google Scholar] [CrossRef]
- Jain, M.S.; Daga, M.; Kalamdhad, A.S. Physical parameters evaluation during production of soil conditioner from aquatic waste: Hydrilla verticillata (Lf)Royle. Environ. Technol. Innov. 2018, 11, 64–73. [Google Scholar] [CrossRef]
- Varma, V.S.; Kalamdhad, A.S.; Khwairkpam, M. Feasibility of Eudrilus eugeniae and Perionyx excavates in vermicomposting of water hyacinth. Ecol. Eng. 2016, 94, 127–135. [Google Scholar] [CrossRef]
- Negi, R.; Suthar, S. Degradation of paper mill waste water sludge and cow dung using brown-rot fungi Oligoporus placenta and Eisenia fetida during vermicomposting. J. Clean. Prod. 2018, 201, 442–452. [Google Scholar] [CrossRef]
- Gupta, R.; Garg, V. Vermiremediation and nutrient recovery of non-recyclable paper waste employing Eisenia fetida. J. Hazard. Mater. 2009, 162, 430–439. [Google Scholar] [CrossRef]
- Gaur, A.C.; Singh, G. Recycling of rural and urban wastes through conventional and vermicomposting. In Recycling of Crop, Animal, Human and Industrial Wastes in Agriculture; Tandon, H.L.S., Ed.; Fertilizer Development and Consultation Organisation: New Delhi, India, 1995; pp. 31–49. [Google Scholar]
- Crawford, J. Review of composting. Process Biochem. 1983, 18, 14–15. [Google Scholar]
- Lv, B.; Zhang, D.; Chen, Q.; Cui, Y. Effects of earthworms on nitrogen transformation and the correspond genes (amoA and nirS) in vermicomposting of sewage sludge and rice straw. Bioresour. Technol. 2019, 287, 121428. [Google Scholar] [CrossRef]
- Sharma, K.; Garg, V.K. Vermicomposting: A green technology for organic waste management. In Waste to Wealth.; Springer: Singapore, 2018; pp. 199–235. [Google Scholar]
- Zhang, H.; Li, J.; Zhang, Y.; Huang, K. Quality of Vermicompost and Microbial Community Diversity Affected by the Contrasting Temperature during Vermicomposting of Dewatered Sludge. Int. J. Environ. Res. Public Health 2020, 17, 1748. [Google Scholar] [CrossRef] [PubMed]
- Ma, X.; Xing, M.; Wang, Y.; Xu, Z.; Yang, J. Microbial enzyme and biomass responses: Deciphering the effects of earth worms and seasonal variation on treating excess sludge. J. Environ. Manag. 2016, 170, 207–214. [Google Scholar] [CrossRef] [PubMed]
- Schnürer, J.; Rosswall, T. Fluorescein diacetate hydrolysis as a measure of total microbial activity in soil and litter. Appl. Environ. Microbiol. 1982, 43, 1256–1261. [Google Scholar] [CrossRef]
- Tayebi Sudkolai, S.; Nourbakhsh, F. Urease activity as an index for assessing them aturity of cow manure and wheat residue vermicomposts. Waste Manag. 2017, 64. [Google Scholar] [CrossRef]
- Wu, S.; Shen, Z.; Yang, C.; Zhou, Y.; Li, X.; Zeng, G.; Ai, S.; He, H. Effects of C/N ratio and bulking agent on speciation of Zn and Cu and enzymatic activity during pig manure composting. Int. Biodeterior. Biodegrad. 2017, 119, 429–436. [Google Scholar] [CrossRef]
- Jurado, M.; Suárez-Estrella, F.; Vargas-García, M.; López, M.; López-González, J.; Moreno, J. Evolution of enzymatic activities and carbon fractions throughout composting of plant waste. J. Environ. Manag. 2014, 133, 355–364. [Google Scholar] [CrossRef]
- Bohacz, J. Changes in mineral forms of nitrogen and sulfur and enzymatic activities during composting of lignocellulosic waste and chicken feathers. Environ. Sci. Pollut. Res. 2019, 26, 10333–10342. [Google Scholar] [CrossRef]
- Swarnam, T.; Velmurugan, A.; Pandey, S.K.; Roy, S.D. Enhancing nutrient recovery and compost maturity of coconut husk by vermicomposting technology. Bioresour. Technol. 2016, 207, 76–84. [Google Scholar] [CrossRef]
- Cabrera, M.L.; Kissel, D.E.; Vigil, M.F. Nitrogen mineralization from organic residues: Research opportunities. J. Environ. Qual. 2005, 34, 75–79. [Google Scholar] [CrossRef]
- Ramnarain, Y.I.; Ansari, A.A.; Ori, L. Vermicomposting of different organic materials using the epigeic earthworm Eisenia foetida. Int. J. Recycl. Org. Waste Agric. 2019, 8, 23–36. [Google Scholar] [CrossRef]
- Devi, C.; Khwairakpam, M. Management of lignocellulosic green waste Saccharum spontaenum through vermicomposting with cow dung. Waste Manag. 2020, 113, 88–95. [Google Scholar] [CrossRef] [PubMed]
- Soobhany, N.; Gunasee, S.; Rago, Y.P.; Joyram, H.; Raghoo, P.; Mohee, R.; Garg, V.K. Spectroscopic, thermo gravimetric and structural characterization analyses for comparing Municipal Solid Waste composts and vermicomposts stability and maturity. Bioresour. Technol. 2017, 236, 11–19. [Google Scholar] [CrossRef]
- Singh, A.; Jain, A.; Sarma, B.; Abhilash, P.; Singh, H. Solid waste management of temple floral offerings by vermicomposting using Eisenia fetida. Waste Manag. 2013, 33, 1113–1118. [Google Scholar] [CrossRef]
- Yadav, A.; Garg, V.K. Nutrient Recycling from Industrial Solid Wastes and Weeds by Vermi processing Using Earthworms. Pedosphere 2013, 23, 668–677. [Google Scholar] [CrossRef]
- Pattnaik, S.; Reddy, M.V. Nutrient status of vermicompost of urban green waste processed by three earthworm species—Eisenia fetida, Eudrilus eugeniae, and Perionyx excavatus. Appl. Environ. Soil Sci. 2010, 2010, 1–13. [Google Scholar] [CrossRef]
- Mupondi, L.T.; Mnkeni, P.N.S.; Muchaonyerwa, P.; Mupambwa, H.A. Vermicomposting manure-paper mixture with igneous rock phosphate enhances biodegradation, phosphorus bioavailability and reduces heavy metal concentrations. Heliyon 2018, 4, e00749. [Google Scholar] [CrossRef] [PubMed]
- Bernal, M.P.; Alburquerque, J.A.; Moral, R. Composting of animal manures and chemical criteria for compost maturity assessment. Areview. Bioresour. Technol. 2009, 100, 5444–5453. [Google Scholar] [CrossRef] [PubMed]
- Ganguly, R.K.; Chakraborty, S.K. Assessment of qualitative enrichment of organic papermill wastes through vermicomposting: Humification factor and time of maturity. Heliyon 2019, 5. [Google Scholar] [CrossRef]
- Ajibade, S.; Mupambwa, H.A.; Manyevere, A.; Mnkeni, P.N.S. Influence of Microbial Inoculation ofI gneous Rock Phosphate-Amended Cow and Pig Manures on Vermidegradation and Nutrient Release. Agronomy 2020, 10, 1587. [Google Scholar] [CrossRef]
- Huang, G.F.; Wu, Q.T.; Wong, J.; Nagar, B. Transformation of organic matter during co-composting of pig manure with saw dust. Bioresour. Technol. 2006, 97, 1834–1842. [Google Scholar] [CrossRef] [PubMed]
- Rastogi, M.; Nandal, M.; Nain, L. Additive effect of cowdung slurry and cellulolytic bacteria linoculation on humic fractions during composting of municipal solid waste. Int. J. Recycl. Org. Waste Agric. 2019, 8, 325–332. [Google Scholar] [CrossRef]
- Loh, T.C.; Lee, Y.C.; Liang, J.B.; Tan, D. Vermicomposting of cattle and goat manures by Eisenia foetida and their growth and reproduction performance. Bioresour. Technol. 2005, 96, 111–114. [Google Scholar] [CrossRef] [PubMed]
- Suthar, S. Growth and fecundity of earth worms: Perionyx excavates and Perionyx sansibaricus in cattle waste solids. Environment 2009, 29, 78–84. [Google Scholar] [CrossRef]
Publisher’s Note: MDPI stays neutral with regard to jurisdictional claims in published maps and institutional affiliations. |
© 2021 by the authors. Licensee MDPI, Basel, Switzerland. This article is an open access article distributed under the terms and conditions of the Creative Commons Attribution (CC BY) license (https://creativecommons.org/licenses/by/4.0/).

