Tillering and Structural Characteristics of Panicum Cultivars in the Brazilian Semiarid Region
Abstract
1. Introduction
2. Materials and Methods
2.1. Site
2.2. Experiment
2.3. Assessments
2.3.1. Tiller Population Dynamics
2.3.2. Pasture Height
2.3.3. Canopy Light Interception
2.3.4. Tiller Population Density
2.3.5. Forage Mass and Morphological Constituents
2.4. Statistical Analysis
3. Results
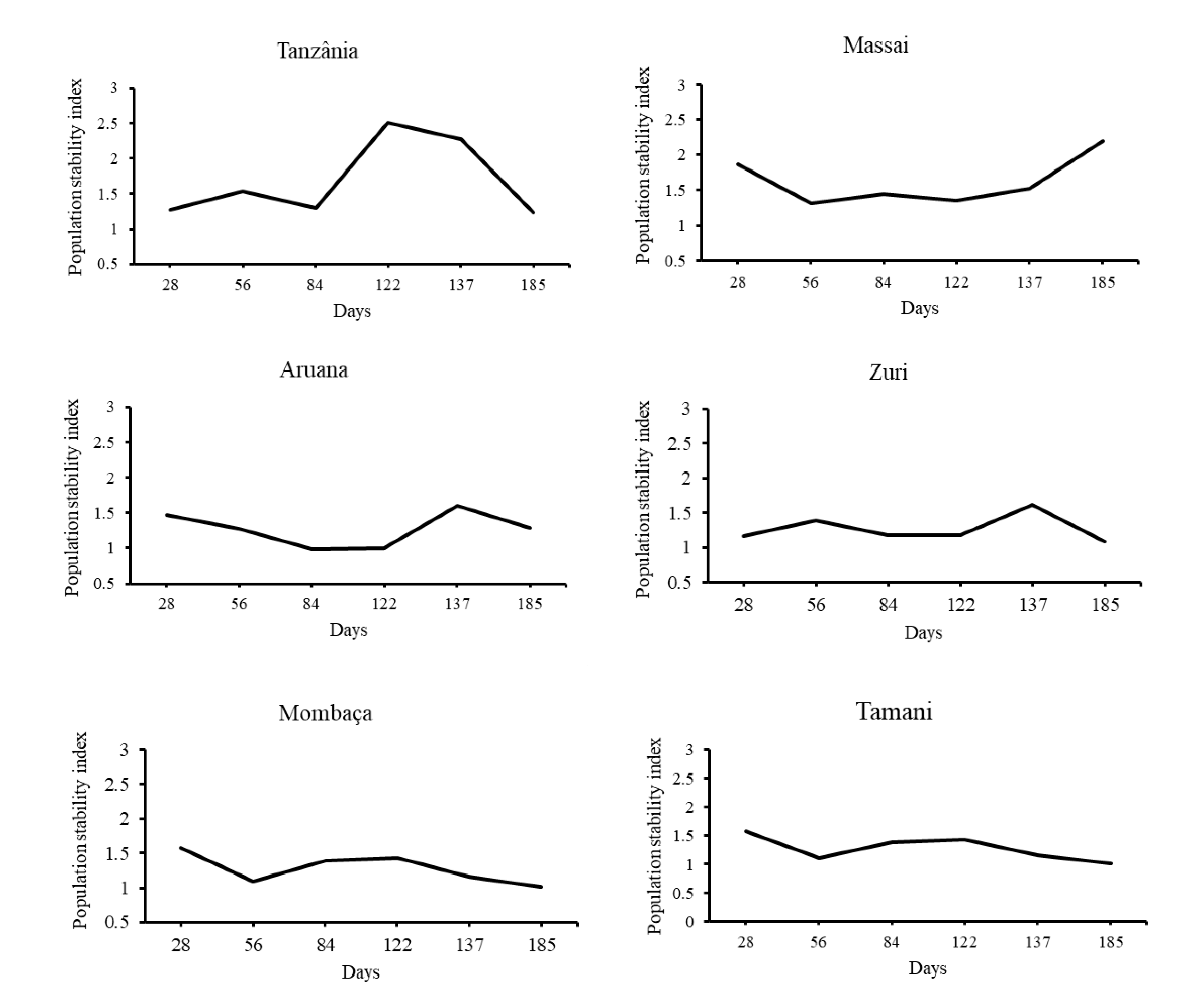
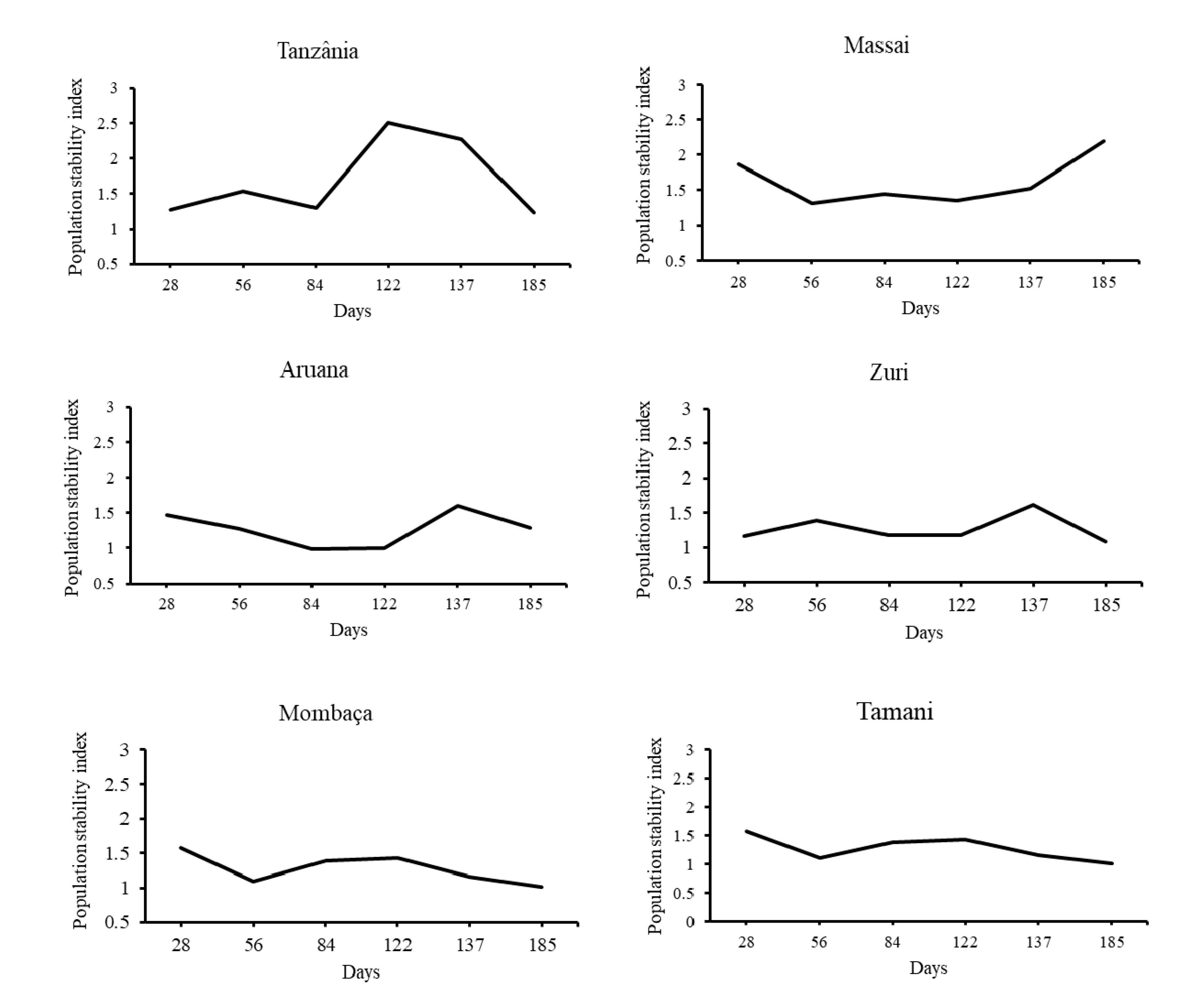
3.1. Tiller Population Dynamics
3.2. Structural Characteristics of Pastures
4. Discussion
4.1. Tiller Population Dynamics
4.2. Structural Characteristics of Pastures
5. Conclusions
Author Contributions
Funding
Conflicts of Interest
References
- Braz, T.G.S.; Martuscello, J.A.; Jank, L.; Fonseca, D.M.; Resende, M.D.V.; Evaristo, A.B. Genotypic value in hybrid progenies of Panicum maximum Jacq. Cienc. Rural. 2017, 47, 1–6. [Google Scholar] [CrossRef][Green Version]
- Euclides, V.P.B.; Carpejani, G.C.; Montagner, D.B.; Nascimento Junior, D.; Barbosa, R.A.; Difante, G.S. Maintaining post-grazing sward height of Panicum maximum (cv. Mombaça) at 50 cm led to higher animal performance compared with post-grazing height of 30 cm. Grass Forage Sci. 2018, 73, 174–182. [Google Scholar] [CrossRef]
- Emerenciano Neto, J.V.; Difante, G.S.; Lana, Â.M.Q.; Medeiros, H.R.; Aguiar, E.M.; Montagner, D.B.; Souza, J.S. Forage quality and performance of sheep in Massai grass pastures managed at pre-grazing canopy heights. S. Afr. J. Anim. Sci. 2018, 48, 1073–1081. [Google Scholar] [CrossRef]
- Fahad, S.; Bajwa, A.A.; Nazir, U.; Anjum, S.A.; Farooq, A.; Zohaib, A.; Sadia, S.; Nasim, W.; Adkins, S.; Saud, S.; et al. Crop production under drought and heat stress: Plant responses and management options. Front. Plant. Sci. 2017, 8, 1147. [Google Scholar] [CrossRef] [PubMed]
- Habermann, E.; Oliveira, E.A.D.; Contin, D.R.; Delvecchio, G.; Viciedo, D.O.; De Moraes, M.A.; Prado, R.M.; Costa, K.A.P.; Braga, M.R.; Martinez, C.A. Warming and water deficit impact leaf photosynthesis and decrease forage quality and digestibility of a C4 tropical grass. Physiol. Plant. 2019, 165, 383–402. [Google Scholar] [CrossRef]
- Sousa, B.M.L.; Rizato, C.A.; Fagundes, J.L.; Fontes, P.T.N.; Backes, A.A.; Oliveira Junior, L.F.G.; Nascimento, C.S. Tillering dynamics of digit grass subject to different defoliation frequencies. Pesqui. Agropecu. Bras. 2019, 54, 1–9. [Google Scholar] [CrossRef]
- Difante, G.S.; Nascimento Júnior, D.; Da Silva, S.C.; Euclides, V.P.B.; Zanine, A.M.; Adese, B. Dinâmica do perfilhamento do capim-marandu cultivado em duas alturas e três intervalos de corte. Rev. Bras. Zootec. 2008, 37, 189–196. [Google Scholar] [CrossRef]
- Montagner, D.B.; Nascimento Júnior, D.; Vilela, H.H.; Sousa, B.M.L.; Euclides, V.P.B.; Da Silva, S.C.; Carloto, S.C. Tillering dynamics in pastures of guinea grass subjected to grazing severities under intermittent stocking. Rev. Bras. Zootec. 2012, 41, 544–549. [Google Scholar] [CrossRef]
- Luna, A.A.; Difante, G.S.; Montagner, D.B.; Emerenciano Neto, J.V.; Araujo, I.M.M.; Fernandes, L.S. Tillering dynamic and structural characteristics oftropical grasses under cutting management. Biosci. J. 2016, 32, 1008–1017. [Google Scholar] [CrossRef]
- Gurgel, A.L.C.; Difante, G.S.; Emerenciano Neto, J.V.; Souza, J.S.; Veras, E.L.L.; Costa, A.B.G.; Carvalho Netto, R.T.; Fernandes, L.S.; Cunha, J.C.; Roberto, F.F.S. Estrutura do pasto e desempenho de ovinos em capim-massai na época seca em resposta ao manejo do período das águas. Bol. Ind. Anim. 2017, 74, 86–95. [Google Scholar] [CrossRef]
- Cândido, M.J.D.; Lopes, M.N.; Furtado, R.N.; Pompeu, R.C.F.F. Potencial e desafios para a produção animal sustentável em pastagens cultivadas do Nordeste. Rev. Cienc. Prod. Anim. 2018, 20, 59–70. [Google Scholar]
- Thorthwaite, C.W. An approach toward a rational classification of climate. Geog. Ver. 1948, 38, 55–93. [Google Scholar] [CrossRef]
- International Soil Classification System for Naming Soils and Creating Legends for Soil Maps; Update 2015; World Soil Resources Raport 106; FAO: Rome, Italy, 2015; 188p.
- Bahmani, I.; Thom, E.R.; Matthew, C.; Hooper, R.J.; Lemaire, G. Tiller dynamics of perennial ryegrass cultivars derived from different New Zealand ecotypes: Effects of cultivar, season, nitrogen fertilizer, and irrigation. Aust. J. Agric. Res. 2003, 54, 803–817. [Google Scholar] [CrossRef]
- Martuscello, J.A.; Silva, L.P.; Cunha, D.N.F.V.; Batista, A.C.S.; Braz, T.G.S.; Ferreira, S.P. Adubação nitrogenada em capim-massai: Morfogênese e produção. Ci. Anim. Bras. 2015, 16, 1–13. [Google Scholar] [CrossRef]
- Luna, A.A.; Difante, G.S.; Montagner, D.B.; Emerenciano Neto, J.V.; Araujo, I.M.M.; Oliveira, L.E.C. Características morfogênicas e acúmulo de forragem de gramíneas forrageiras sob corte. Biosci. J. 2014, 30, 1803–1810. [Google Scholar]
- Fernandes, L.S.; Difante, G.S.; Costa, M.G.; Emerenciano Neto, J.V.; Araújo, I.M.M.; Dantas, J.L.S.; Gurgel, A.L.C. Pasture structure and sheep performance supplemented on different tropical grasses in the dry season. Revista Mexicana de Ciencias Pecuarias 2020, 11, 89–101. [Google Scholar] [CrossRef]
- Silveira, M.C.T.; Nascimento Júnior, D.; Da Silva, S.C.; Euclides, V.P.B.; Montagner, D.B.; Sbrissia, A.F.; Rodrigues, C.S.; Sousa, B.M.L.; Karine Da Silva Pena, K.S.; Vilela, H.H. Morphogenetic and structural comparative characterization of tropical forage grass cultivars under free growth. Sci. Agric. 2010, 67, 136–142. [Google Scholar] [CrossRef]
- Carnevalli, R.A.; Da Silva, S.C.; Bueno, A.A.O.; Uebele, M.C.; Bueno, F.O.; Hodgson, J.; Morais, J.P.G. Herbage production and grazing losses in Panicum maximum cv. mombaça under four grazing managements. Trop. Grassl. 2006, 40, 165–176. [Google Scholar]
- Barbosa, R.A.; Nascimento Júnior, D.D.; Euclides, V.P.; Silva, S.C.; Zimmer, A.H.; Júnior, T.; de Almeida, R.A. Capim-tanzânia submetido a combinações entre intensidade e frequência de pastejo. Pesqui. Agropecu. Bras. 2007, 42, 329–340. [Google Scholar] [CrossRef]
- Sbrissia, A.F.; Da Silva, S.C. Compensação tamanho: Densidade populacional de perfis em pastos de capim-marandu. Rev. Bras. Zootec. 2008, 37, 35–47. [Google Scholar] [CrossRef]
- Lopes, M.N.; Cândido, M.J.D.; Pompeu, P.C.F.F.; Silva, R.D.; Bezerra, F.M.L. Componentes estruturais do resíduo pós-corte em capim-massai adubado com cinco doses de nitrogênio. Rev. Ciênc. Agron. 2011, 42, 518–525. [Google Scholar] [CrossRef][Green Version]
- Difante, G.S.; Nascimento Júnior, D.; Da Silva, S.C.; Euclides, V.P.B.; Montagner, D.B.; Márcia Silveira, C.T.; Pena, K.S. Características morfogênicas e estruturais do capim-marandu submetido a combinações de alturas e intervalos de corte. Rev. Bras. Zootec. 2011, 40, 955–963. [Google Scholar] [CrossRef][Green Version]
- Santos, M.E.R.; Fonseca, D.M.; Oliveira, I.M.; Casagrande, D.R.; Balbino, E.M.; Freitas, F.P. Correlações entre número de perfilhos, índice de tombamento, massa dos componentes morfológicos e valor nutritivo da forragem em pastos diferidos de capim-braquiária. Rev. Bras. Zootecn. 2010, 39, 487–493. [Google Scholar] [CrossRef]
- Oliveira, J.S.; Emerenciano Neto, J.V.; Difante, G.S.; Lista, F.N.; Santos, R.S.; Bezerra, J.D.V.; Bonfim, B.R.S.; Milhomens, L.B.S.; Ribeiro, J.S.M. Structural and productive features of Panicum cultivars submitted to different rest periods in the irrigated semiarid region of Brazil. Biosci. J. 2019, 35, 682–690. [Google Scholar] [CrossRef]





| Layer (cm) | P | K | Na | pH H2O | Ca | Mg | Al | H+Al | CEC | BS (%) | Particle Size (%) | ||
|---|---|---|---|---|---|---|---|---|---|---|---|---|---|
| mg dm−3 | cmolc dm−3 | Sand | Silt | Clay | |||||||||
| 0–20 | 18 | 63 | 20 | 6.6 | 3.1 | 0.2 | - | 1.2 | 4.4 | 72.7 | 84.6 | 4 | 11.4 |
| 20–40 | 8 | 49 | 13 | 5.6 | 0.9 | 0.1 | - | 1.1 | 2.2 | 50 | 85.2 | 2 | 12.8 |
| Periods (Days) | Massai | Tanzânia | Aruana | Zuri | Mombaça | Tamani |
|---|---|---|---|---|---|---|
| 28 | 0.90 aA | 0.25 aB | 0.48 aA | 0.20 aA | 0.31 aA | 0.50 aB |
| 56 | 0.44 aAB | 0.40 aB | 0.26 aA | 0.31 aA | 0.01 aA | 0.23 aB |
| 84 | 0.27 aB | 0.15 aB | 0.01 aA | 0.24 aA | 0.24 aA | 0.23 aB |
| 122 | 0.43 bAB | 1.16 aA | 0.01 bA | 0.44 bA | 0.31 bA | 1.30 aA |
| 137 | 0.39 bAB | 0.90 aA | 0.30 bA | 0.42 bA | 0.33 bA | 1.20 aA |
| 185 | 0.68 aAB | 0.10 aB | 0.29 aA | 0.23 aA | 0.16 aA | 0.02 aB |
| Variables | Cultivars | EPM | Valor P | |||||
|---|---|---|---|---|---|---|---|---|
| Massai | Tanzânia | Aruana | Zuri | Mombaça | Tamani | |||
| Height (cm) | 50.9 b | 61.6 ab | 34.9 c | 58.1 ab | 74.1 a | 43.3 b | 5.2 | 0.005 |
| LI (%) | 90.6 a | 92.9 a | 80.7 b | 77.2 b | 87.4 ab | 93.8 a | 19.1 | 0.044 |
| TPD (Perf/m2) | 427.8 a | 294.0 ab | 190.0 b | 195.50 b | 197.3 b | 323.50 a | 18.8 | 0.001 |
| HM (kg ha−1 de MS) | 2979.0 a | 2879.9 ab | 1648.6 b | 2704.1 ab | 3249.0 a | 2718.4 a | 332.5 | 0.015 |
| Leaf (kg ha−1 de MS) | 1781.5 a | 1614.2 ab | 784.9 b | 1613.2 ab | 1903.2 a | 1855.6 ab | 40.7 | 0.016 |
| Stem (kg ha−1 de MS) | 579.4 ab | 529.3 ab | 403.2 b | 600.8 a | 736.0 a | 536.0 a | 20.0 | 0.001 |
| Dead material (kg ha−1 de MS) | 618.0 | 636.4 | 460.4 | 490.15 | 609.9 | 657.8 | 20.7 | 0.089 |
| L/S | 3.1 a | 3.0 a | 1.9 b | 2.7 ab | 2.6 ab | 3.4 a | 2.8 | 0.001 |
© 2020 by the authors. Licensee MDPI, Basel, Switzerland. This article is an open access article distributed under the terms and conditions of the Creative Commons Attribution (CC BY) license (http://creativecommons.org/licenses/by/4.0/).
Share and Cite
de Lima Veras, E.L.; Difante, G.d.S.; Chaves Gurgel, A.L.; Graciano da Costa, A.B.; Gomes Rodrigues, J.; Marques Costa, C.; Emerenciano Neto, J.V.; Gusmão Pereira, M.d.; Ramon Costa, P. Tillering and Structural Characteristics of Panicum Cultivars in the Brazilian Semiarid Region. Sustainability 2020, 12, 3849. https://doi.org/10.3390/su12093849
de Lima Veras EL, Difante GdS, Chaves Gurgel AL, Graciano da Costa AB, Gomes Rodrigues J, Marques Costa C, Emerenciano Neto JV, Gusmão Pereira Md, Ramon Costa P. Tillering and Structural Characteristics of Panicum Cultivars in the Brazilian Semiarid Region. Sustainability. 2020; 12(9):3849. https://doi.org/10.3390/su12093849
Chicago/Turabian Stylede Lima Veras, Emmanuel Lievio, Gelson dos Santos Difante, Antonio Leandro Chaves Gurgel, Ana Beatriz Graciano da Costa, Jéssica Gomes Rodrigues, Carolina Marques Costa, João Virginio Emerenciano Neto, Marislayne de Gusmão Pereira, and Pablo Ramon Costa. 2020. "Tillering and Structural Characteristics of Panicum Cultivars in the Brazilian Semiarid Region" Sustainability 12, no. 9: 3849. https://doi.org/10.3390/su12093849
APA Stylede Lima Veras, E. L., Difante, G. d. S., Chaves Gurgel, A. L., Graciano da Costa, A. B., Gomes Rodrigues, J., Marques Costa, C., Emerenciano Neto, J. V., Gusmão Pereira, M. d., & Ramon Costa, P. (2020). Tillering and Structural Characteristics of Panicum Cultivars in the Brazilian Semiarid Region. Sustainability, 12(9), 3849. https://doi.org/10.3390/su12093849

