Framework of Spatial Flood Risk Assessment for a Case Study in Quang Binh Province, Vietnam
Abstract
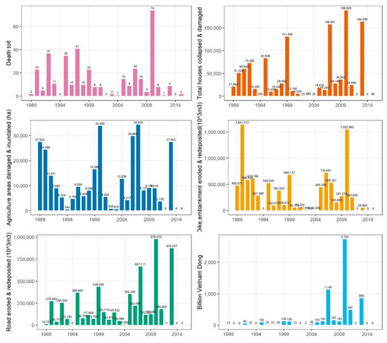
1. Introduction
2. Research Area
3. Methodology
3.1. Flood Risk Assessment Framework
3.2. Multi-Criteria Decision-Making Analysis Model
- Step 1: Construct a hierarchical decision model as in Figure 4.
- Step 2: Develop a paired comparison matrix for criteria or sub-criteria of the decision model as in Equation (2) based on subjective judgment and reciprocal judgement axiom.
- Step 3: Obtain the relative importance or weights of criteria and sub-criteria.
3.3. Data Used
4. Results
4.1. Flood Inundation Map
4.2. Flood Exposure Analysis
4.3. Flood Vulnerability Analysis
4.4. Flood Risk Assessment
5. Discussion
6. Conclusions
Author Contributions
Funding
Acknowledgments
Conflicts of Interest
References
- Mitchell, B. Integrated Water Resource Management, Institutional Arrangements, and Land-Use Planning. Environ. Plan. A Econ. Sp. 2005, 37, 1335–1352. [Google Scholar] [CrossRef]
- López, E.; Bocco, G.; Mendoza, M.; Duhau, E. Predicting land-cover and land-use change in the urban fringe: A case in Morelia city, Mexico. Landsc. Urban Plan. 2001, 55, 271–285. [Google Scholar] [CrossRef]
- Tanoue, M.; Hirabayashi, Y.; Ikeuchi, H. Global-scale river flood vulnerability in the last 50 years. Sci. Rep. 2016, 6, 36021. [Google Scholar] [CrossRef] [PubMed]
- Luu, C.; von Meding, J. Analyzing Flood Fatalities in Vietnam Using Statistical Learning Approach and National Disaster Database. In Resettlement Challenges for Displaced Populations and Refugees; Asgary, A., Ed.; Springer International Publishing: Cham, Switzerland, 2019; pp. 197–205. ISBN 978-3-319-92498-4. [Google Scholar]
- Kreft, S.; Eckstein, D.; Melchior, I. Global Climate Risk Index 2017; Chapman-Rose, J., Ed.; Germanwatch e.V.: Berlin, Germany, 2016; ISBN 978-3-943704-49-5. [Google Scholar]
- Nguyen, K.-A.; Liou, Y.-A.; Terry, J.P. Vulnerability of Vietnam to typhoons: A spatial assessment based on hazards, exposure and adaptive capacity. Sci. Total Environ. 2019, 682, 31–46. [Google Scholar] [CrossRef] [PubMed]
- Luu, C.; von Meding, J.; Mojtahedi, M. Analyzing Vietnam’s national disaster loss database for flood risk assessment using multiple linear regression-TOPSIS. Int. J. Disaster Risk Reduct. 2019, 40, 101153. [Google Scholar] [CrossRef]
- Le, H.; Ha, L.B. Flood Vulnerability and Resilience in Peri-urbanizing Vietnam: A Case Study from Ninh Binh Province BT—Urban Climate Resilience in Southeast Asia; Daniere, A.G., Garschagen, M., Eds.; Springer International Publishing: Cham, Switzerland, 2019; pp. 83–101. ISBN 978-3-319-98968-6. [Google Scholar]
- Zhou, Q.; Mikkelsen, P.S.; Halsnæs, K.; Arnbjerg-Nielsen, K. Framework for economic pluvial flood risk assessment considering climate change effects and adaptation benefits. J. Hydrol. 2012, 414–415, 539–549. [Google Scholar] [CrossRef]
- Masuya, A.; Dewan, A.; Corner, R.J. Population evacuation: Evaluating spatial distribution of flood shelters and vulnerable residential units in Dhaka with geographic information systems. Nat. Hazards 2015, 78, 1859–1882. [Google Scholar] [CrossRef]
- Cutter, S.L. Vulnerability to environmental hazards. Prog. Hum. Geogr. 1996, 20, 529–539. [Google Scholar] [CrossRef]
- Kundzewicz, Z.W.; Lugeri, N.; Dankers, R.; Hirabayashi, Y.; Döll, P.; Pińskwar, I.; Dysarz, T.; Hochrainer, S.; Matczak, P. Assessing river flood risk and adaptation in Europe—Review of projections for the future. Mitig. Adapt. Strateg. Glob. Chang. 2010, 15, 641–656. [Google Scholar] [CrossRef]
- Luu, C.; Von Meding, J.; Kanjanabootra, S. Flood risk management activities in Vietnam: A study of local practice in Quang Nam province. Int. J. Disaster Risk Reduct. 2018, 28, 776–787. [Google Scholar] [CrossRef]
- Davis, I. Disaster Risk Management in Asia and the Pacific; Taylor and Francis: Florence, UK, 2014; ISBN 978-131-764-4873. [Google Scholar]
- Burby, R.J. Hurricane Katrina and the Paradoxes of Government Disaster Policy: Bringing About Wise Governmental Decisions for Hazardous Areas. Ann. Am. Acad. Pol. Soc. Sci. 2006, 604, 171–191. [Google Scholar] [CrossRef]
- Sayers, P.B.; Hall, J.W.; Meadowcroft, I.C. Towards risk-based flood hazard management in the UK. Proc. Inst. Civ. Eng. Civ. Eng. 2002, 150, 36–42. [Google Scholar] [CrossRef]
- Tien Bui, D.; Hoang, N.D. A Bayesian framework based on a Gaussian mixture model and radial-basis-function Fisher discriminant analysis (BayGmmKda V1.1) for spatial prediction of floods. Geosci. Model Dev. 2017, 10, 3391–3409. [Google Scholar] [CrossRef]
- Tran, P.; Shaw, R.; Chantry, G.; Norton, J. GIS and local knowledge in disaster management: A case study of flood risk mapping in Viet Nam. Disasters 2009, 33, 152–169. [Google Scholar] [CrossRef]
- Chau, V.N.; Holland, J.; Cassells, S.; Tuohy, M. Using GIS to map impacts upon agriculture from extreme floods in Vietnam. Appl. Geogr. 2013, 41, 65–74. [Google Scholar] [CrossRef]
- Luu, C.; Von Meding, J.; Kanjanabootra, S. Assessing flood hazard using flood marks and analytic hierarchy process approach: A case study for the 2013 flood event in Quang Nam, Vietnam. Nat. Hazards 2018, 90, 1031–1050. [Google Scholar] [CrossRef]
- UNISDR. Sendai Framework for Disaster Risk Reduction 2015–2030; United Nations Office for Disaster Risk Reduction (UNISDR): Geneva, Switzerland, 2015. [Google Scholar]
- Phong, T.V.; Phan, T.T.; Prakash, I.; Singh, S.K.; Shirzadi, A.; Chapi, K.; Ly, H.-B.; Ho, L.S.; Quoc, N.K.; Pham, B.T. Landslide susceptibility modeling using different artificial intelligence methods: A case study at Muong Lay district, Vietnam. Geocarto Int. 2019, 1–24. [Google Scholar] [CrossRef]
- Wassmann, R.; Hien, N.; Hoanh, C.; Tuong, T. Sea Level Rise Affecting the Vietnamese Mekong Delta: Water Elevation in the Flood Season and Implications for Rice Production. Clim. Chang. 2004, 66, 89–107. [Google Scholar] [CrossRef]
- Yokoi, S.; Matsumoto, J. Collaborative Effects of Cold Surge and Tropical Depression–Type Disturbance on Heavy Rainfall in Central Vietnam. Mon. Weather Rev. 2008, 136, 3275–3287. [Google Scholar] [CrossRef]
- UNISDR Global Assessment Report on Disaster Risk Reduction, 2015. Available online: https://www.unisdr.org/we/inform/publications/42809 (accessed on 10 January 2020).
- Winsemius, H.C.; Aerts, J.C.J.H.; van Beek, L.P.H.; Bierkens, M.F.P.; Bouwman, A.; Jongman, B.; Kwadijk, J.C.J.; Ligtvoet, W.; Lucas, P.L.; van Vuuren, D.P.; et al. Global drivers of future river flood risk. Nat. Clim. Chang. 2015, 6, 381–385. [Google Scholar] [CrossRef]
- Bouwer, L.M.; Bubeck, P.; Aerts, J.C.J.H. Changes in future flood risk due to climate and development in a Dutch polder area. Glob. Environ. Chang. 2010, 20, 463–471. [Google Scholar] [CrossRef]
- Kron, W. Flood Risk = Hazard · Values · Vulnerability. Water Int. 2005, 30, 58–68. [Google Scholar] [CrossRef]
- Budiyono, Y.; Aerts, J.; Brinkman, J.; Marfai, M.A.; Ward, P. Flood risk assessment for delta mega-cities: A case study of Jakarta. Nat. Hazards 2014, 75, 389–413. [Google Scholar] [CrossRef]
- Hirabayashi, Y.; Mahendran, R.; Koirala, S.; Konoshima, L.; Yamazaki, D.; Watanabe, S.; Kim, H.; Kanae, S. Global flood risk under climate change. Nat. Clim. Chang. 2013, 3, 816–821. [Google Scholar] [CrossRef]
- Seneviratne, S.I.; Nicholls, N.; Easterling, D.; Goodess, C.M.; Kanae, S.; Kossin, J.; Luo, Y.; Marengo, J.; McInnes, K.; Rahimi, M.; et al. Changes in Climate Extremes and their Impacts on the Natural Physical Environment; Cambridge University Press: Cambridge, UK, 2012. [Google Scholar]
- Crichton, D. The risk triangle. Nat. Disaster Manag. 1999, 102, 103. [Google Scholar]
- Cardona, O.D.; Birkmann, J.; Fordham, M.; Perez, R.; Schipper, E.L.F.; Sinh, B.T.; Field, C.B.; Barros, V.; Stocker, T.F.; Qin, D.; et al. Determinants of risk: Exposure and vulnerability. In Managing the Risks of Extreme Events and Disasters to Advance Climate Change Adaptation; A Special Report of Working Groups I and II of the Intergovernmental Panel on Climate Change (IPCC); Cambridge University Press: Cambridge, UK, 2012; pp. 65–108. [Google Scholar]
- Maaskant, B.; Jonkman, S.N.; Bouwer, L.M. Future risk of flooding: An analysis of changes in potential loss of life in South Holland (The Netherlands). Environ. Sci. Policy 2009, 12, 157–169. [Google Scholar] [CrossRef]
- De Moel, H.; van Alphen, J.; Aerts, J.C.J.H. Flood maps in Europe methods, availability and use. Nat. Hazards Earth Syst. Sci. 2009, 9, 289–301. [Google Scholar] [CrossRef]
- Winsemius, H.C.; Van Beek, L.P.H.; Jongman, B.; Ward, P.J.; Bouwman, A. A framework for global river flood risk assessments. Hydrol. Earth Syst. Sci. 2013, 17, 1871–1892. [Google Scholar] [CrossRef]
- Foudi, S.; Osés-Eraso, N.; Tamayo, I. Integrated spatial flood risk assessment: The case of Zaragoza. Land Use Policy 2015, 42, 278–292. [Google Scholar] [CrossRef]
- Jongman, B.; Kreibich, H.; Apel, H.; Barredo, J.I.; Bates, P.D.; Feyen, L.; Gericke, A.; Neal, J.; Aerts, J.C.J.H.; Ward, P.J. Comparative flood damage model assessment: Towards a European approach. Nat. Hazards Earth Syst. Sci. 2012, 12, 3733–3752. [Google Scholar] [CrossRef]
- Ho, L.T.K.; Umitsu, M. Micro-landform classification and flood hazard assessment of the Thu Bon alluvial plain, central Vietnam via an integrated method utilizing remotely sensed data. Appl. Geogr. 2011, 31, 1082–1093. [Google Scholar] [CrossRef]
- Roy, D.C.; Blaschke, T. Spatial vulnerability assessment of floods in the coastal regions of Bangladesh. Geomat. Nat. Hazards Risk 2015, 6, 21–44. [Google Scholar] [CrossRef]
- Malczewski, J.; Rinner, C. GIS-MCDA for Group Decision Making. In Multicriteria Decision Analysis in Geographic Information Science; Springer: Berlin/Heidelberg, Germany, 2015; pp. 223–247. ISBN 978-3-540-74756-7. [Google Scholar]
- Dewan, A. Floods in a Megacity: Geospatial Techniques in Assessing Hazards, Risk and Vulnerability; Springer: Dordrecht, The Netherlands, 2013; ISBN 978-94-007-5874-2. [Google Scholar]
- Luu, C.; von Meding, J. A flood risk assessment of Quang Nam, Vietnam using spatial multicriteria decision analysis. Water (Switzerland) 2018, 10, 461. [Google Scholar] [CrossRef]
- Huang, I.B.; Keisler, J.; Linkov, I. Multi-criteria decision analysis in environmental sciences: Ten years of applications and trends. Sci. Total Environ. 2011, 409, 3578–3594. [Google Scholar] [CrossRef]
- De Brito, M.M.; Evers, M.; Almoradie, A.D.S. Participatory flood vulnerability assessment: A multi-criteria approach. Hydrol. Earth Syst. Sci. 2018, 22, 373–390. [Google Scholar] [CrossRef]
- Chung, E.-S.; Lee, K.S. Identification of Spatial Ranking of Hydrological Vulnerability Using Multi-Criteria Decision Making Techniques: Case Study of Korea. Water Resour. Manag. 2009, 23, 2395–2416. [Google Scholar] [CrossRef]
- Solín, Ľ. Spatial variability in the flood vulnerability of urban areas in the headwater basins of Slovakia. J. Flood Risk Manag. 2012, 5, 303–320. [Google Scholar] [CrossRef]
- Hwang, C.-L.; Yoon, K. Multiple Attribute Decision Making; Springer: Berlin/Heidelberg, Germany, 1981; ISBN 978-3-540-10558-9. [Google Scholar]
- Markovic, M. Multi criteria Analysis of Hydraulic Structures for River Training Works. Water Resour. Manag. 2012, 26, 3893–3906. [Google Scholar] [CrossRef]
- Su, H.-T.; Tung, Y.-K. Multi-criteria decision making under uncertainty for flood mitigation. Stoch. Environ. Res. Risk Assess. 2014, 28, 1657–1670. [Google Scholar] [CrossRef]
- Malekian, A.; Azarnivand, A. Application of Integrated Shannon’s Entropy and VIKOR Techniques in Prioritization of Flood Risk in the Shemshak Watershed, Iran. Water Resour. Manag. 2016, 30, 409–425. [Google Scholar] [CrossRef]
- Malczewski, J. GIS and Multicriteria Decision Analysis; John Wiley & Sons: New York, NY, USA, 1999; ISBN 047-132-9444. [Google Scholar]
- Ishizaka, A.; Labib, A. Analytic Hierarchy Process and Expert Choice: Benefits and limitations. ORI 2009, 22, 201–220. [Google Scholar] [CrossRef]
- Koczkodaj, W.W.; Magnot, J.P.; Mazurek, J.; Peters, J.F.; Rakhshani, H.; Soltys, M.; Strzałka, D.; Szybowski, J.; Tozzi, A. On normalization of inconsistency indicators in pairwise comparisons. Int. J. Approx. Reason. 2017, 86, 73–79. [Google Scholar] [CrossRef]
- Schmoldt, D.; Kangas, J.; Mendoza, G.A. Basic Principles of Decision Making in Natural Resources and the Environment. In The Analytic Hierarchy Process in Natural Resource and Environmental Decision Making; Schmoldt, D., Kangas, J., Mendoza, G., Pesonen, M., Eds.; Springer: Dordrecht, The Netherlands, 2001; Volume 3, pp. 1–13. ISBN 978-90-481-5735-8. [Google Scholar]
- Millet, I.; Harker, P.T. Globally effective questioning in the Analytic Hierarchy Process. Eur. J. Oper. Res. 1990, 48, 88–97. [Google Scholar] [CrossRef]
- Velasquez, M.; Hester, P.T. An analysis of multi-criteria decision making methods. Int. J. Oper. Res. 2013, 10, 56–66. [Google Scholar]
- Saaty, T.L. What is the Analytic Hierarchy Process? In Mathematical Models for Decision Support; Mitra, G., Greenberg, H., Lootsma, F., Rijkaert, M., Zimmermann, H., Eds.; Springer: Berlin/Heidelberg, Germany, 1988; Volume 48, pp. 109–121. ISBN 978-3-642-83557-5. [Google Scholar]
- Ramanathan, R. A note on the use of the analytic hierarchy process for environmental impact assessment. J. Environ. Manag. 2001, 63, 27–35. [Google Scholar] [CrossRef] [PubMed]
- Vaidya, O.S.; Kumar, S. Analytic hierarchy process: An overview of applications. Eur. J. Oper. Res. 2006, 169, 1–29. [Google Scholar] [CrossRef]
- Li, G.-F.; Xiang, X.-Y.; Tong, Y.-Y.; Wang, H.-M. Impact assessment of urbanization on flood risk in the Yangtze River Delta. Stoch. Environ. Res. Risk Assess. 2013, 27, 1683–1693. [Google Scholar] [CrossRef]
- Kandilioti, G.; Makropoulos, C. Preliminary flood risk assessment: The case of Athens. Nat. Hazards 2012, 61, 441–468. [Google Scholar] [CrossRef]
- Saaty, T.L. How to make a decision: The analytic hierarchy process. Eur. J. Oper. Res. 1990, 48, 9–26. [Google Scholar] [CrossRef]
- Moghadas, M.; Asadzadeh, A.; Vafeidis, A.; Fekete, A.; Kötter, T. A multi-criteria approach for assessing urban flood resilience in Tehran, Iran. Int. J. Disaster Risk Reduct. 2019, 35, 101069. [Google Scholar] [CrossRef]
- Godfrey, A.; Ciurean, R.L.; van Westen, C.J.; Kingma, N.C.; Glade, T. Assessing vulnerability of buildings to hydro-meteorological hazards using an expert based approach—An application in Nehoiu Valley, Romania. Int. J. Disaster Risk Reduct. 2015, 13, 229–241. [Google Scholar] [CrossRef]
- Kokangül, A.; Polat, U.; Dağsuyu, C. A new approximation for risk assessment using the AHP and Fine Kinney methodologies. Saf. Sci. 2017, 91, 24–32. [Google Scholar] [CrossRef]
- Kienberger, S.; Lang, S.; Zeil, P. Spatial vulnerability units—Expert-based spatial modelling of socio-economic vulnerability in the Salzach catchment, Austria. Nat. Hazards Earth Syst. Sci. 2009, 9, 767–778. [Google Scholar] [CrossRef]
- Tran, N.A. Integrated Flood Risk Manual for Vietnam; Ministry of Agriculture and Rural Development: Hanoi, Vietnam, August 2016.
- Hachijo, Y. Reviewing Resent Structural and Non-Structural Measures and Result of Lood Simulation in Quang Binh, 2015. Available online: https://www.jica.go.jp/project/vietnam/031/materials/ku57pq00001y1feh-att/Present_Measures_and_Flood_Simulation.pdf (accessed on 10 January 2020).
- Masuya, A. Flood Vulnerability and Risk Assessment with Spatial Multi-criteria Evaluation. In Dhaka Megacity: Geospatial Perspectives on Urbanisation, Environment and Health; Dewan, A., Corner, R., Eds.; Springer: Dordrecht, The Netherlands, 2014; pp. 177–202. ISBN 978-94-007-6735-5. [Google Scholar]
- Whitaker, R.; Adams, W. Developers of Superdecisions Software; Decisions Foundation: Pittsburgh, PA, USA, 2005. [Google Scholar]
- Scheuer, S.; Haase, D.; Meyer, V. Exploring multicriteria flood vulnerability by integrating economic, social and ecological dimensions of flood risk and coping capacity: From a starting point view towards an end point view of vulnerability. Nat. Hazards 2011, 58, 731–751. [Google Scholar] [CrossRef]
- Lee, G.; Jun, K.S.; Chung, E.S. Integrated multi-criteria flood vulnerability approach using fuzzy TOPSIS and Delphi technique. Nat. Hazards Earth Syst. Sci. 2013, 13, 1293–1312. [Google Scholar] [CrossRef]
- Jongman, B.; Ward, P.J.; Aerts, J.C.J.H. Global exposure to river and coastal flooding: Long term trends and changes. Glob. Environ. Chang. 2012, 22, 823–835. [Google Scholar] [CrossRef]
- Zhou, Q.; Leng, G.; Feng, L. Predictability of state-level flood damage in the conterminous United States: The role of hazard, exposure and vulnerability. Sci Rep 2017, 7, 1–11. [Google Scholar] [CrossRef]
- Schanze, J. Flood Risk Management: A basic framework. In Flood Risk Management: Hazards, Vulnerability and Mitigation Measures; Schanze, J., Zeman, E., Marsalek, J., Eds.; Springer: Dordrecht, The Netherlands, 2006; pp. 1–20. ISBN 978-1-4020-4598-1. [Google Scholar]
- Malczewski, J. GIS-based multicriteria decision analysis: A survey of the literature. Int. J. Geogr. Inf. Sci. 2006, 20, 703–726. [Google Scholar] [CrossRef]
- Tran, P.; Marincioni, F.; Shaw, R. Catastrophic flood and forest cover change in the Huong river basin, central Viet Nam: A gap between common perceptions and facts. J Env. Manag. 2010, 91, 2186–2200. [Google Scholar] [CrossRef]
- Nam, D.H.; Udo, K.; Mano, A. Future fluvial flood risks in Central Vietnam assessed using global super-high-resolution climate model output. J. Flood Risk Manag. 2014, 8, 276–288. [Google Scholar] [CrossRef]
- Phan, V.T. Climate Change-Induced Water Disaster and Participatory Information System for Vulnerability Reduction in North Central Vietnam, 2015. Available online: http://danida.vnu.edu.vn/cpis/vn/cat/59 (accessed on 10 January 2020).
- Nguyen, X.; Phan, V.T. Đánh giá tác động của Biến đổi khí hậu đến ngập lụt lưu vực sông Nhật Lệ, Việt Nam. Tạp chí Khoa học ĐHQGHN Khoa học tự nhiên và Công nghệ 2015, 31, 125–138. [Google Scholar]










| Component | Criteria | Weight | Sub-Criteria | Weight |
|---|---|---|---|---|
| Flood exposure | Population density (person/km2) | 0.53961 | ≤50 | 0.07138 |
| 50–200 | 0.10766 | |||
| 200–500 | 0.16732 | |||
| 500–1000 | 0.25904 | |||
| >1000 | 0.39460 | |||
| Distance to rivers (km) | 0.29696 | <1 | 0.51701 | |
| 1–2 | 0.32894 | |||
| 2–3 | 0.10779 | |||
| >3 | 0.04626 | |||
| Land-use category | 0.16342 | Agricultural land | 0.27365 | |
| Homestead and built-up | 0.49179 | |||
| Forest and vegetation | 0.12295 | |||
| Water bodies | 0.11160 |
| Component | Criteria | Weight | Sub-Criteria | Weight |
|---|---|---|---|---|
| Flood vulnerability | Poverty rate (%) | 0.577 | ≤5 | 0.066196 |
| 5–10 | 0.098437 | |||
| 10–20 | 0.161901 | |||
| 20–40 | 0.265226 | |||
| >40 | 0.408239 | |||
| Road density (m/km2) | 0.298 | <100 | 0.413598 | |
| 100–200 | 0.238857 | |||
| 200–500 | 0.164538 | |||
| 500–1000 | 0.106464 | |||
| >1000 | 0.076542 |
© 2020 by the authors. Licensee MDPI, Basel, Switzerland. This article is an open access article distributed under the terms and conditions of the Creative Commons Attribution (CC BY) license (http://creativecommons.org/licenses/by/4.0/).
Share and Cite
Luu, C.; Tran, H.X.; Pham, B.T.; Al-Ansari, N.; Tran, T.Q.; Duong, N.Q.; Dao, N.H.; Nguyen, L.P.; Nguyen, H.D.; Thu Ta, H.; et al. Framework of Spatial Flood Risk Assessment for a Case Study in Quang Binh Province, Vietnam. Sustainability 2020, 12, 3058. https://doi.org/10.3390/su12073058
Luu C, Tran HX, Pham BT, Al-Ansari N, Tran TQ, Duong NQ, Dao NH, Nguyen LP, Nguyen HD, Thu Ta H, et al. Framework of Spatial Flood Risk Assessment for a Case Study in Quang Binh Province, Vietnam. Sustainability. 2020; 12(7):3058. https://doi.org/10.3390/su12073058
Chicago/Turabian StyleLuu, Chinh, Hieu Xuan Tran, Binh Thai Pham, Nadhir Al-Ansari, Thai Quoc Tran, Nga Quynh Duong, Nam Hai Dao, Lam Phuong Nguyen, Huu Duy Nguyen, Huong Thu Ta, and et al. 2020. "Framework of Spatial Flood Risk Assessment for a Case Study in Quang Binh Province, Vietnam" Sustainability 12, no. 7: 3058. https://doi.org/10.3390/su12073058
APA StyleLuu, C., Tran, H. X., Pham, B. T., Al-Ansari, N., Tran, T. Q., Duong, N. Q., Dao, N. H., Nguyen, L. P., Nguyen, H. D., Thu Ta, H., Le, H. V., & Meding, J. v. (2020). Framework of Spatial Flood Risk Assessment for a Case Study in Quang Binh Province, Vietnam. Sustainability, 12(7), 3058. https://doi.org/10.3390/su12073058

