A Novel Hybrid Deep Neural Network Model to Predict the Refrigerant Charge Amount of Heat Pumps
Abstract
1. Introduction
2. Methods
2.1. Experimental Setup
2.1.1. Electric Heat Pumps (EHPs)
2.1.2. Experimental Conditions
2.2. Data Collection
2.3. Thermodynamic Model
2.4. Deep Neural Network Model
2.4.1. Deep Neural Network (DNN)
2.4.2. Model development
2.4.3. Model Optimization and Evaluation
3. Results
3.1. Relationship between Measured Variables and RCA
3.2. Prediction Performance
3.2.1. Random Search Results
3.2.2. Prediction Performance on Training Dataset
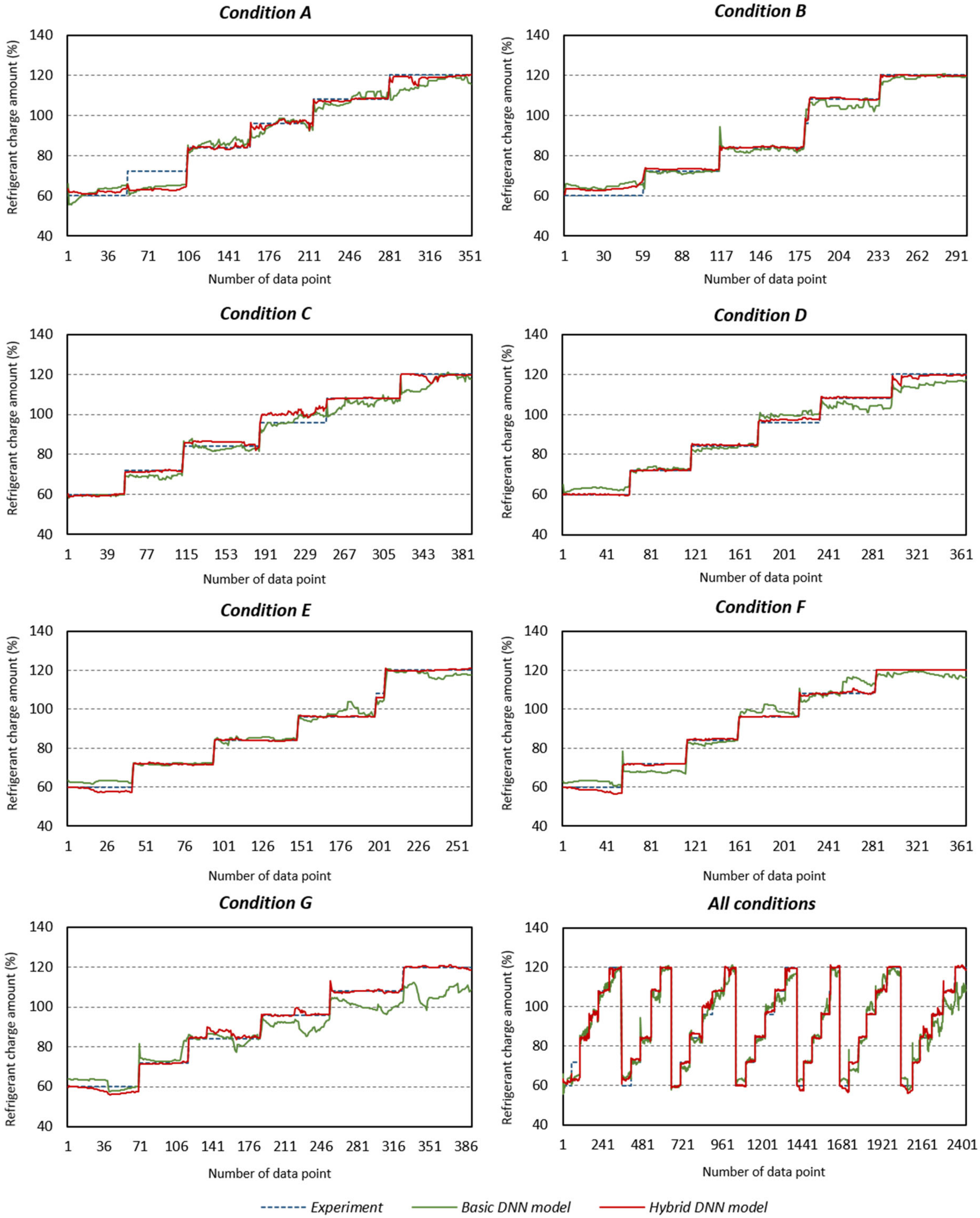
3.2.3. Prediction Performance of Testing Datasets
4. Discussion
5. Conclusions
- (1)
- The temperature variables such as indoor and outdoor dry-bulb temperature; the refrigerant temperature at the evaporator inlet, compressor outlet, and condenser outlet; and the difference between outdoor dry-bulb temperature and refrigerant temperature at outlets of compressor and condenser are used as input variables for the basic DNN model. For the hybrid DNN model, the thermodynamic properties, enthalpy, entropy, pressure, superheat, and subcooling, were used as additional input variables.
- (2)
- For DNN models developed in this study, the hidden layers and training scheme were optimized using random search. The basic DNN model and hybrid DNN model developed with optimized parameters have two and three hidden layers, respectively, and having the Rectifier as the activation function in common.
- (3)
- The new sophisticated RCA prediction model (hybrid DNN model) achieved high accuracy compared to the basic DNN model. For model testing, the RCA was predicted with a precision of 72% for the basic DNN model and 93% for the hybrid DNN model.
- (4)
- Under various experimental conditions, reliable prediction performance was confirmed with the hybrid DNN model. For model training, it had an average RMSE error of 2.93% for seven conditions that reflect different indoor and outdoor temperatures and a RMSE of 3.95% for testing.
- (5)
- The hybrid DNN model showed similar trends under various experimental conditions. For both training and testing, it had a high predictive performance at a normal charged state (~100%) than at an undercharged state (~70%). Moreover, it showed higher accuracy in conditions where outdoor dry-bulb temperature was relatively higher than the indoor dry-bulb temperature.
- (6)
- Overfitting and poor generalization challenges, which were identified as the problems of conventional ANN, were addressed by the hybrid DNN model. When the developed model was applied to the new EHP system, the RCA prediction performance decreased by 24% in the basic DNN model but recorded a decrease of 6% only in the hybrid DNN model. The prediction performance for model training was 99% and 93% for model testing.
Author Contributions
Funding
Conflicts of Interest
Appendix A. The Details of the Thermodynamic Model
| No. | Values | Equations |
|---|---|---|
| 1 | Helmholtz energy (a) | |
| 2 | Helmholtz energy for an ideal mixture (aidmix) | |
| 3 | Reduced values of density (δ) | |
| 4 | Reduced values of temperature (τ) | |
| 5 | Reducing values of density (ρred) | |
| 6 | Reducing values of temperature (Tred) | |
| 7 | Excess function for the mixture Helmholtz energy | |
| 8 | Compressibility factor (Z), Pressure (p) | |
| 9 | Internal energy (u) | |
| 10 | Enthalpy (h) | |
| 11 | Entropy (s) | |
| 12 | Gibbs energy (g) | |
| 13 | Isochoric heat capacity (cv) | |
| 14 | Isobaric heat capacity (cp) | |
| 15 | Speed of sound (w) | |
| 16 | First derivative of pressure with respect to density at constant temperature | |
| 17 | Second derivative of pressure with respect to density at constant temperature | |
| 18 | First derivative of pressure with respect to temperature at constant density | |
| 19 | Ideal gas Helmholtz energy (α0) | |
| 20 | Residual Helmholtz energy (αr) |
| k | Nk | tk | dk | lk |
|---|---|---|---|---|
| 1 | −0.007 2955 | 4.5 | 2 | 1 |
| 2 | 0.078 035 | 0.57 | 5 | 1 |
| 3 | 0.610 07 | 1.9 | 1 | 2 |
| 4 | 0.642 46 | 1.2 | 3 | 2 |
| 5 | 0.014 965 | 0.5 | 9 | 2 |
| 6 | −0.340 49 | 2.6 | 2 | 3 |
| 7 | 0.085 658 | 11.4 | 3 | 3 |
| 8 | −0.064 429 | 4.5 | 6 | 3 |
| Abbreviation | Physical Quantity | Unit | ||
|---|---|---|---|---|
| a | Molar Helmholtz energy | J/mol | ||
| A | Helmholtz energy | J | ||
| cp | Isobaric heat capacity | J/(mol∙K) | ||
| cv | Isochoric heat capacity | J/(mol∙K) | ||
| d | Density exponent | |||
| f | Fugacity | MPa | ||
| F | Generalized factor | |||
| g | Gibbs energy | J/mol | ||
| h | Enthalpy | J/mol | ||
| l | Density exponent | |||
| m | Number of components | |||
| M | Molar mass | g/mol | ||
| n | Number of moles | mol | ||
| p | Pressure | MPa | ||
| R | Molar gas constant | J/(mol∙K) | ||
| s | Entropy | J/(mol∙K) | ||
| t | Temperature exponent | |||
| T | Temperature | K | ||
| u | Internal energy | J/mol | ||
| v | Molar volume | dm3/mol | ||
| V | Volume | dm3 | ||
| w | Speed of sound | m/s | ||
| x | Composition | mole fraction | ||
| Z | Compressibility factor (Z = p/ρRT) | |||
| α | Reduced Helmholtz energy (α = a/RT) | |||
| δ | Reduced density (δ = ρ/ρc) | |||
| ρ | Molar density | mol/dm3 | ||
| τ | Inverse reduced temperature (τ = Tc/T) | |||
| μ | Chemical potential | J/mol | ||
| ξ | Reduced density parameter | dm3/mol | ||
| ζ | Reduced temperature parameter | K | ||
| k | Nk | tk | dk | lk |
| 1 | −0.007 2955 | 4.5 | 2 | 1 |
| 2 | 0.078 035 | 0.57 | 5 | 1 |
| 3 | 0.610 07 | 1.9 | 1 | 2 |
| 4 | 0.642 46 | 1.2 | 3 | 2 |
| 5 | 0.014 965 | 0.5 | 9 | 2 |
| 6 | −0.340 49 | 2.6 | 2 | 3 |
| 7 | 0.085 658 | 11.4 | 3 | 3 |
| 8 | −0.064 429 | 4.5 | 6 | 3 |
| Superscripts | Superscripts | ||
|---|---|---|---|
| 0 | Ideal gas property | 0 | Reference state property |
| E | Excess property | C | Critical point property |
| idmix | Ideal mixture | calc | Calculated using an equation |
| r | Residual | data | Experimental value |
| ′ | Saturated liquid state | i,j | Property of component i or j |
| ″ | Saturated vapor state | red | Reducing parameter |
References
- Choi, J.M.; Kim, Y.C. The effects of improper refrigerant charge on the performance of a heat pump with an electronic expansion valve and capillary tube. Energy 2002, 27, 391–404. [Google Scholar] [CrossRef]
- Tassou, S.A.; Grace, I.N. Fault diagnosis and refrigerant leak detection in vapour compression refrigeration systems. Int. J. Refrig. 2005, 28, 680–688. [Google Scholar] [CrossRef]
- Akkurt, G.G.; Aste, N.; Borderon, J.; Buda, A.; Calzolari, M.; Chung, D.; Costanzo, V.; Del Pero, C.; Evola, G.; Huerto-Cardenas, H.E.; et al. Dynamic thermal and hygrometric simulation of historical buildings: Critical factors and possible solutions. Renew. Sustain. Energy Rev. 2020, 118, 109509. [Google Scholar] [CrossRef]
- Serraino, M.; Lucchi, E. Energy Efficiency, Heritage Conservation, and Landscape Integration: the Case Study of the San Martino Castle in Parella (Turin, Italy). Energy Procedia 2017, 133, 424–434. [Google Scholar] [CrossRef]
- Choi, J.; Kim, Y. Influence of the expansion device on the performance of a heat pump using R407C under a range of charging conditions. Int. J. Refrig. 2004, 27, 378–384. [Google Scholar] [CrossRef]
- Cho, H.; Ryu, C.; Kim, Y.; Kim, H.Y. Effects of refrigerant charge amount on the performance of a transcritical CO2 heat pump. Int. J. Refrig. 2005, 28, 1266–1273. [Google Scholar] [CrossRef]
- Kim, W.; Braun, J.E. Impacts of Refrigerant Charge on Air Conditioner and Heat Pump Performance. In Proceedings of the 13th International Refrigeration and Air Conditioning Conference, West Lafayette, IN, USA, 10–15 July 2010; pp. 1–8. [Google Scholar]
- Kim, W.; Braun, J.E. Evaluation of the impacts of refrigerant charge on air conditioner and heat pump performance. Int. J. Refrig. 2012, 35, 1805–1814. [Google Scholar] [CrossRef]
- Downey, T.; Proctor, J. What Can 15,000 Air Conditioners Tell Us. Available online: https://www.proctoreng.com/dnld/biasedresultsairflow.pdf (accessed on 5 April 2020).
- Salmon, W. Review of recent commercial roof top unit field studies in the practice northwest and California. Available online: https://newbuildings.org/sites/default/files/NWPCC_SmallHVAC_Report_R3_.pdf (accessed on 5 April 2020).
- Li, Z.; Tan, J.; Li, S.; Liu, J.; Chen, H.; Shen, J.; Huang, R.; Liu, J. An efficient online wkNN diagnostic strategy for variable refrigerant flow system based on coupled feature selection method. Energy Build. 2019, 183, 222–237. [Google Scholar] [CrossRef]
- Kim, W.; Braun, J.E. Performance evaluation of a virtual refrigerant charge sensor. Int. J. Refrig. 2013, 36, 1130–1141. [Google Scholar] [CrossRef]
- Choi, H.; Cho, H.; Choi, J.M. Refrigerant amount detection algorithm for a ground source heat pump unit. Renew. Energy 2012, 42, 111–117. [Google Scholar] [CrossRef]
- Hu, Y.; Li, G.; Chen, H.; Li, H.; Liu, J. Sensitivity analysis for PCA-based chiller sensor fault detection. Int. J. Refrig. 2016, 63, 133–143. [Google Scholar] [CrossRef]
- Li, G.; Hu, Y.; Chen, H.; Shen, L.; Li, H.; Li, J.; Hu, W. Extending the virtual refrigerant charge sensor (VRC) for variable refrigerant flow (VRF) air conditioning system using data-based analysis methods. Appl. Therm. Eng. 2016, 93, 908–919. [Google Scholar] [CrossRef]
- Li, H.; Braun, J. Virtual Refrigerant Pressure Sensors for Use in Monitoring and Fault Diagnosis of Vapor-Compression Equipment. HVAC&R Res. 2009, 15, 597–616. [Google Scholar]
- Lin, X.; Lee, H.; Hwang, Y.; Radermacher, R. A review of recent development in variable refrigerant flow systems. Sci. Technol. Built Environ. 2015, 21, 917–933. [Google Scholar] [CrossRef]
- Kim, W.; Braun, J.E. Evaluation of a Virtual Refrigerant Charge Sensor. Available online: https://digitalcommons.unl.edu/cgi/viewcontent.cgi?article=1139&context=archengfacpub (accessed on 5 April 2020).
- Guo, Y.; Li, G.; Chen, H.; Wang, J.; Guo, M.; Sun, S.; Hu, W. Optimized neural network-based fault diagnosis strategy for VRF system in heating mode using data mining. Appl. Therm. Eng. 2017, 125, 1402–1413. [Google Scholar] [CrossRef]
- Son, J.E.; Nam, S.; Kang, K.; Lee, J. Refrigerant Charge Estimation for an Air Conditioning System using Artificial Neural Network Modelling. In Proceedings of the 2018 18th International Conference on Control, Automation and Systems (ICCAS), Daegwallyeong, South Korea, 17–20 October 2018. [Google Scholar]
- Shi, S.; Li, G.; Chen, H.; Liu, J.; Hu, Y.; Xing, L.; Hu, W. Refrigerant charge fault diagnosis in the VRF system using Bayesian artificial neural network combined with ReliefF filter. Appl. Therm. Eng. 2017, 112, 698–706. [Google Scholar] [CrossRef]
- Shi, S.; Li, G.; Chen, H.; Hu, Y.; Wang, X.; Guo, Y.; Sun, S. An efficient VRF system fault diagnosis strategy for refrigerant charge amount based on PCA and dual neural network model. Appl. Therm. Eng. 2018, 129, 1252–1262. [Google Scholar] [CrossRef]
- Samsung. Available online: https://www.samsung.com/sec/support/model/AC145KX4PHH3/ (accessed on 5 April 2020).
- Mora R, J.E.; Pérez T, C.; González N, F.F.; Ocampo D, J.D.D. Thermodynamic properties of refrigerants using artificial neural networks. Int. J. Refrig. 2014, 46, 9–16. [Google Scholar] [CrossRef]
- Sieres, J.; Varas, F.; Martínez-Suárez, J.A. A hybrid formulation for fast explicit calculation of thermodynamic properties of refrigerants. Int. J. Refrig. 2012, 35, 1021–1034. [Google Scholar] [CrossRef]
- Thol, M.; Lemmon, E.W. Equation of State for the Thermodynamic Properties of trans-1,3,3,3-Tetrafluoropropene [R-1234ze(E)]. Int. J. Thermophys. 2016, 37, 1–16. [Google Scholar] [CrossRef]
- Coquelet, C.; El Abbadi, J.; Houriez, C. Prediction of thermodynamic properties of refrigerant fluids with a new three-parameter cubic equation of state. Int. J. Refrig. 2016, 69, 418–436. [Google Scholar] [CrossRef]
- Al Ghafri, S.Z.S.; Rowland, D.; Akhfash, M.; Arami-Niya, A.; Khamphasith, M.; Xiao, X.; Tsuji, T.; Tanaka, Y.; Seiki, Y.; May, E.F.; et al. Thermodynamic properties of hydrofluoroolefin (R1234yf and R1234ze(E)) refrigerant mixtures: Density, vapour-liquid equilibrium, and heat capacity data and modelling. Int. J. Refrig. 2019, 98, 249–260. [Google Scholar] [CrossRef]
- Fouad, W.A.; Vega, L.F. Transport properties of HFC and HFO based refrigerants using an excess entropy scaling approach. J. Supercrit. Fluids 2018, 131, 106–116. [Google Scholar] [CrossRef]
- Lemmon, E.W.; Jacobsen, R.T. Equations of State for Mixtures of R-32, R-125, R-134a, R-143a, and R-152a. J. Phys. Chem. Ref. Data 2004, 33, 593–620. [Google Scholar] [CrossRef]
- Velasco, S.; Santos, M.J.; White, J.A. Extended corresponding states expressions for the changes in enthalpy, compressibility factor and constant-volume heat capacity at vaporization. J. Chem. Thermodyn. 2015, 85, 68–76. [Google Scholar] [CrossRef]
- Kim, M.-H.; Shin, J.-S. Evaporating heat transfer of R22 and R410A in horizontal smooth and microfin tubes. Int. J. Refrig. 2005, 28, 940–948. [Google Scholar] [CrossRef]
- Huang, X.; Ding, G.; Hu, H.; Zhu, Y.; Peng, H.; Gao, Y.; Deng, B. Influence of oil on flow condensation heat transfer of R410A inside 4.18mm and 1.6mm inner diameter horizontal smooth tubes. Int. J. Refrig. 2010, 33, 158–169. [Google Scholar] [CrossRef]
- Kong, X.Q.; Li, Y.; Lin, L.; Yang, Y.G. Modeling evaluation of a direct-expansion solar-assisted heat pump water heater using R410A. Int. J. Refrig. 2017, 76, 136–146. [Google Scholar] [CrossRef]
- Wang, X.; Hwang, Y.; Radermacher, R. Two-stage heat pump system with vapor-injected scroll compressor using R410A as a refrigerant. Int. J. Refrig. 2009, 32, 1442–1451. [Google Scholar] [CrossRef]
- Voulodimos, A.; Doulamis, N.; Doulamis, A.; Protopapadakis, E. Deep Learning for Computer Vision: A Brief Review. Comput. Intell. Neurosci. 2018. [Google Scholar] [CrossRef]
- Hwang, J.K.; Yun, G.Y.; Lee, S.; Seo, H.; Santamouris, M. Using deep learning approaches with variable selection process to predict the energy performance of a heating and cooling system. Renew. Energy 2019. [Google Scholar] [CrossRef]
- LeCun, Y.; Bengio, Y.; Hinton, G. Deep learning. Nature 2015, 521, 436–444. [Google Scholar] [CrossRef] [PubMed]
- Jia, F.; Lei, Y.; Lin, J.; Zhou, X.; Lu, N. Deep neural networks: A promising tool for fault characteristic mining and intelligent diagnosis of rotating machinery with massive data. Mech. Syst. Signal Process. 2016, 72–73, 303–315. [Google Scholar] [CrossRef]
- Larochelle, H.; Bengio, Y.; Louradour, J.; Lamblin, P. Exploring Strategies for Training Deep Neural Networks. J. Mach. Learn. Res. 2009, 1, 1–40. [Google Scholar]
- Schmidhuber, J. Deep learning in neural networks: An overview. Neural Netw. 2015, 61, 85–117. [Google Scholar] [CrossRef]
- Ramachandran, P.; Zoph, B.; Le, Q.V. Searching for Activation Functions. Available online: https://arxiv.org/pdf/1710.05941.pdf (accessed on 5 April 2020).
- Srivastava, N.; Hinton, G.; Krizhevsky, A.; Sutskever, I.; Salakhutdinov, R. Dropout: A Simple Way to Prevent Neural Networks from Overfitting. J. Mach. Learn. Res. 2014, 15, 1929–1958. [Google Scholar]
- Guo, Z.; Zhou, K.; Zhang, X.; Yang, S. A deep learning model for short-term power load and probability density forecasting. Energy 2018, 160, 1186–1200. [Google Scholar] [CrossRef]
- Suryanarayana, G.; Lago, J.; Geysen, D.; Aleksiejuk, P.; Johansson, C. Thermal load forecasting in district heating networks using deep learning and advanced feature selection methods. Energy 2018, 157, 141–149. [Google Scholar] [CrossRef]
- Ozaki, Y.; Yano, M.; Onishi, M. Effective hyperparameter optimization using Nelder-Mead method in deep learning. IPSJ Trans. Comput. Vis. Appl. 2017. Available online: https://link.springer.com/article/10.1186/s41074-017-0030-7 (accessed on 5 April 2020).
- Bergstra, J.; Bengio, Y. Random Search for Hyper-Parameter Optimization. J. Mach. Learn. Res. 2012, 13, 281–305. [Google Scholar]
- Hecht-Nielsen, R.; Drive, O.; Diego, S. Kolmogorov’s Mapping Neural Network Existence Theorem. Available online: https://cs.uwaterloo.ca/~y328yu/classics/Hecht-Nielsen.pdf (accessed on 5 April 2020).
- Guo, Y.; Tan, Z.; Chen, H.; Li, G.; Wang, J.; Huang, R.; Liu, J.; Ahmad, T. Deep learning-based fault diagnosis of variable refrigerant flow air-conditioning system for building energy saving. Appl. Energy 2018, 225, 732–745. [Google Scholar] [CrossRef]
- Ahmad, M.W.; Mourshed, M.; Rezgui, Y. Trees vs Neurons: Comparison between random forest and ANN for high-resolution prediction of building energy consumption. Energy Build. 2017, 147, 77–89. [Google Scholar] [CrossRef]
- Van Doorn, J. Analysis of Deep Convolutional Neural Network Architectures. Available online: https://www.semanticscholar.org/paper/Analysis-of-Deep-Convolutional-Neural-Network-Doorn/6831bb247c853b433d7b2b9d47780dc8d84e4762 (accessed on 5 April 2020).
- Janecke, A.; Terrill, T.J.; Rasmussen, B.P. A comparison of static and dynamic fault detection techniques for transcritical refrigeration. Int. J. Refrig. 2017, 80, 212–224. [Google Scholar] [CrossRef]
- Halm-Owoo, A.K.; Suen, K.O. Applications of fault detection and diagnostic techniques for refrigeration and air conditioning: A review of basic principles. Proc. Inst. Mech. Eng. Part E J. Process Mech. Eng. 2002, 216, 121–132. [Google Scholar] [CrossRef]
- Yun, G.Y.; Lee, J.H.; Kim, H.J. Development and application of the load responsive control of the evaporating temperature in a VRF system for cooling energy savings. Energy Build. 2016, 116, 638–645. [Google Scholar] [CrossRef]
- Yun, G.Y.; Lee, J.H.; Kim, I. Dynamic target high pressure control of a VRF system for heating energy savings. Appl. Therm. Eng. 2017, 113, 1386–1395. [Google Scholar] [CrossRef]
- Fan, B.; Du, Z.; Jin, X.; Yang, X.; Guo, Y. A hybrid FDD strategy for local system of AHU based on artificial neural network and wavelet analysis. Build. Environ. 2010, 45, 2698–2708. [Google Scholar] [CrossRef]
- Aynur, T.N.; Hwang, Y.; Radermacher, R. Integration of variable refrigerant flow and heat pump desiccant systems for the heating season. Energy Build. 2010, 42, 468–476. [Google Scholar] [CrossRef]
- Grace, I.N.; Datta, D.; Tassou, S.A. Sensitivity of refrigeration system performance to charge levels and parameters for on-line leak detection. Appl. Therm. Eng. 2005, 25, 557–566. [Google Scholar] [CrossRef]
- Pan, S.J.; Tsang, I.W.; Kwok, J.T.; Yang, Q. Domain Adaptation via Transfer Component Analysis. IEEE Trans. Neural Netw. 2011, 22, 199–210. [Google Scholar] [CrossRef]
- Mocanu, E.; Nguyen, P.H.; Kling, W.L.; Gibescu, M. Unsupervised energy prediction in a Smart Grid context using reinforcement cross-building transfer learning. Energy Build. 2016, 116, 646–655. [Google Scholar] [CrossRef]
- Zhuang, F.; Cheng, X.; Luo, P.; Pan, S.J.; He, Q. Supervised Representation Learning: Transfer Learning with Deep Autoencoders. Available online: https://www.ijcai.org/Proceedings/15/Papers/578.pdf (accessed on 5 April 2020).
- Lemmon, E.W.; Jacobsen, R.T. A New Functional Form and New Fitting Techniques for Equations of State with Application to Pentafluoroethane (HFC-125). J. Phys. Chem. Ref. Data 2005, 34, 69–108. [Google Scholar] [CrossRef]






| Capacity (kW) | Power (kW) | Current (A) | ||||
|---|---|---|---|---|---|---|
| Cooling | Heating | Cooling | Heating | Cooling | Heating | |
| Minimum | 4.3 | 4 | 0.8 | 0.69 | 2 | 1.5 |
| Standard | 14.5 | 16.7 | 4.8 | 4.8 | 7.8 | 7.7 |
| Maximum | 17.4 | 19.5 | 6.5 | 7.5 | 10.3 | 12 |
| Apparatus | Uncertainties | Calibration Range | Resistance Value at 25 °C |
|---|---|---|---|
| T-type thermocouple | ±0.5 [°C] | −10–125 [°C] | |
| 204-type NTC thermistor | ±T [%] | −40–150 [°C] | 200 [kOhms] |
| 103-type NTC thermistor | ±TC [%] | −55–155 [°C] | 10 [kOhms] |
| Capacity (kW) | Power (kW) | Current (A) | ||||
|---|---|---|---|---|---|---|
| Cooling | Heating | Cooling | Heating | Cooling | Heating | |
| Minimum | 3.7 | 4.1 | 0.95 | 0.71 | 2 | 1.5 |
| Standard | 14.5 | 16.7 | 4.5 | 4.55 | 7.3 | 7.4 |
| Maximum | 16.7 | 19.5 | 6.4 | 7 | 10.1 | 11.5 |
| Outdoor Dry-Bulb Temperature (°C) | Indoor Dry-Bulb Temperature (°C) | Indoor Wet-Bulb Temperature (°C) | Refrigerant Charge Amount (%) | |
|---|---|---|---|---|
| Condition A | 5 | 20 | 15 | 60–120 (with a 12% interval) |
| Condition B | 5 | 32 | 27.5 | |
| Condition C | 15 | 20 | 15 | |
| Condition D | 27 | 27 | 19 | |
| Condition E | 35 | 27 | 25.7 | |
| Condition F | 43 | 20 | 15 | |
| Condition G | 43 | 32 | 27.5 |
| No. | Abbreviation | Name of Variable | Unit | Acquisition Method |
|---|---|---|---|---|
| 1 | hcomp,in | Refrigerant enthalpy at compressor inlet | kJ/kg | Thermodynamic model |
| 2 | hcomp,out | Refrigerant enthalpy at compressor outlet | kJ/kg | Thermodynamic model |
| 3 | hcond,out | Refrigerant enthalpy at condenser outlet | kJ/kg | Thermodynamic model |
| 4 | Pcomp,in | Refrigerant pressure at compressor inlet | kPa | Thermodynamic model |
| 5 | Pcomp,out | Refrigerant pressure at compressor outlet | kPa | Thermodynamic model |
| 6 | Pcond,out | Refrigerant pressure at condenser outlet | kPa | Thermodynamic model |
| 7 | Pevap,in | Refrigerant pressure at evaporator inlet | kPa | Thermodynamic model |
| 8 | Scomp,in | Refrigerant entropy at compressor inlet | kJ/kgK | Thermodynamic model |
| 9 | Scomp,out | Refrigerant entropy at compressor outlet | kJ/kgK | Thermodynamic model |
| 10 | Tcomp,in | Refrigerant temperature at compressor inlet | °C | Thermodynamic model |
| 11 | Tcomp,out | Refrigerant temperature at compressor outlet | °C | Measurement |
| 12 | Tcond,out | Refrigerant temperature at condenser outlet | °C | Measurement |
| 13 | TdB,evap,in | Dry-bulb temperature at evaporator inlet | °C | Thermodynamic model |
| 14 | Tevap,in | Refrigerant temperature at evaporator inlet | °C | Measurement |
| 15 | TIdB | Indoor dry-bulb temperature | °C | Measurement |
| 16 | TOdB | Outdoor dry-bulb temperature | °C | Measurement |
| 17 | Tsc | Refrigerant subcooling at condenser outlet | °C | Thermodynamic model |
| 18 | Tsh | Refrigerant superheat at compressor outlet | °C | Thermodynamic model |
| 19 | Δh | kJ/kg | hcond,out–hcomp,out | |
| 20 | ΔP | kPa | Pcomp,out–Pcomp,in | |
| 21 | ΔTcomp | °C | Tcomp,out–TOdB | |
| 22 | ΔTcond | °C | Tcond,out–TOdB |
| Evaporator Inlet Temperature (°C) | Compressor Outlet Temperature (°C) | Condenser Outlet Temperature (°C) | |
|---|---|---|---|
| Refrigerant charge amount (RCA) at condition A | 0.917 * | −0.477 * | −0.894 * |
| Refrigerant charge amount (RCA) at condition B | 0.453 * | 0.103 | −0.591 * |
| Refrigerant charge amount (RCA) at condition C | 0.319 * | −0.308 * | −0.513 * |
| Refrigerant charge amount (RCA) at condition D | 0.804 * | −0.758 * | −0.945 * |
| Refrigerant charge amount (RCA) at condition E | 0.668 * | −0.483 * | −0.801 * |
| Refrigerant charge amount (RCA) at condition F | 0.866 * | −0.853 * | −0.473 * |
| Refrigerant charge amount (RCA) at condition G | 0.801 * | −0.741 * | −0.882 * |
| No. | Activation | Hidden Layer | L1 | L2 | R2 | RMSE | |
|---|---|---|---|---|---|---|---|
| Basic DNN model | 1 | Rectifier | (75, 75) | 1.5E-5 | 4.5E-5 | 0.7217 | 0.0787 |
| 2 | Maxout | (65, 130, 65) | 0.0 | 7.7E-5 | 0.6932 | 0.08 | |
| 3 | Maxout | (25, 50, 50, 25) | 9.3E-5 | 5.1E-5 | 0.6873 | 0.0808 | |
| 4 | Tanh | (65, 65) | 2.5E-5 | 5 8.6E-5 | 0.6799 | 0.0817 | |
| 5 | Maxout | (65, 130, 130, 65) | 3.6E-5 | 0.0 | 0.6754 | 0.0823 | |
| Hybrid DNN model | 1 | Rectifier | (75, 150, 75) | 3.6E-5 | 7.8E-5 | 0.9312 | 0.0395 |
| 2 | Rectifier | (45, 45) | 8.6E-5 | 9.8E-5 | 0.9211 | 0.0406 | |
| 3 | Rectifier | (75, 75) | 2.1E-5 | 9.9E-5 | 0.9175 | 0.0415 | |
| 4 | Tanh | (85, 170, 85) | 1.3E-5 | 4.9E-5 | 0.9172 | 0.0415 | |
| 5 | Maxout | (75, 150, 150, 75) | 3.1E-5 | 8.1E-5 | 0.9068 | 0.0441 |
| Experimental Condition | Refrigerant Charge Amount (%) | ||||
|---|---|---|---|---|---|
| Outdoor Dry-Bulb Temperature (°C) | Indoor Dry-Bulb Temperature (°C) | Indoor Wet-Bulb Temperature (°C) | Experimental Values | Predicted Values of Basic DNN Model | Predicted Values of Hybrid DNN Model |
| 44.2 | 31.7 | 27.5 | 100 | 92 | 99 |
| 35.7 | 26 | 19 | 100 | 96 | 106 |
| 26.6 | 26.8 | 25.7 | 100 | 112 | 99 |
| 14.6 | 19 | 15 | 100 | 93 | 102 |
| 4.7 | 19.5 | 15 | 100 | 95 | 108 |
| 44.2 | 31 | 26 | 70 | 64 | 66 |
| 44 | 32.1 | 27.5 | 70 | 71 | 68 |
| 36.1 | 26.2 | 24.4 | 70 | 66 | 68 |
| 35 | 26.4 | 19 | 70 | 66 | 72 |
| 27.3 | 26.2 | 24.4 | 70 | 69 | 67 |
| 27.3 | 23.1 | 21.5 | 70 | 64 | 66 |
| 26.8 | 26.8 | 25.7 | 70 | 93 | 77 |
| 15.7 | 19.6 | 18.6 | 70 | 77 | 82 |
| 15.6 | 23 | 21.5 | 70 | 79 | 69 |
| 14.7 | 19.4 | 15 | 70 | 66 | 70 |
| 4.6 | 19.7 | 15 | 70 | 66 | 69 |
| 15.7 | 23.2 | 21.5 | 60 | 68 | 61 |
| 15.6 | 20.1 | 18.6 | 60 | 64 | 58 |
© 2020 by the authors. Licensee MDPI, Basel, Switzerland. This article is an open access article distributed under the terms and conditions of the Creative Commons Attribution (CC BY) license (http://creativecommons.org/licenses/by/4.0/).
Share and Cite
Hwang, J.K.; Duhirwe, P.N.; Yun, G.Y.; Lee, S.; Seo, H.; Kim, I.; Santamouris, M. A Novel Hybrid Deep Neural Network Model to Predict the Refrigerant Charge Amount of Heat Pumps. Sustainability 2020, 12, 2914. https://doi.org/10.3390/su12072914
Hwang JK, Duhirwe PN, Yun GY, Lee S, Seo H, Kim I, Santamouris M. A Novel Hybrid Deep Neural Network Model to Predict the Refrigerant Charge Amount of Heat Pumps. Sustainability. 2020; 12(7):2914. https://doi.org/10.3390/su12072914
Chicago/Turabian StyleHwang, Jun Kwon, Patrick Nzivugira Duhirwe, Geun Young Yun, Sukho Lee, Hyeongjoon Seo, Inhan Kim, and Mat Santamouris. 2020. "A Novel Hybrid Deep Neural Network Model to Predict the Refrigerant Charge Amount of Heat Pumps" Sustainability 12, no. 7: 2914. https://doi.org/10.3390/su12072914
APA StyleHwang, J. K., Duhirwe, P. N., Yun, G. Y., Lee, S., Seo, H., Kim, I., & Santamouris, M. (2020). A Novel Hybrid Deep Neural Network Model to Predict the Refrigerant Charge Amount of Heat Pumps. Sustainability, 12(7), 2914. https://doi.org/10.3390/su12072914

