Deformation Failure Mechanism of Deep Vertical Shaft in Jinchuan Mining Area
Abstract
1. Introduction
2. Geological Background
2.1. The Engineering Status
2.2. Geological Structure and In-Situ Stress
- The in-situ stress is the compressive stress, and the maximum principal stress is the horizontal stress.
- The value of in-situ stress increases with depth, reaching a maximum of about 50 MPa at 850 m.
- The direction of the maximum principal stress is NE-NNE, which is almost perpendicular to the orebody.
- The minimum principal stress is much smaller than the maximum one with the increase of depth. The relationship between the three principal stresses and depth is approximately linear.
2.3. Rock Mass Properties
3. Deformation Failure Characteristics of Vertical Shaft
3.1. Long-Term Monitoring
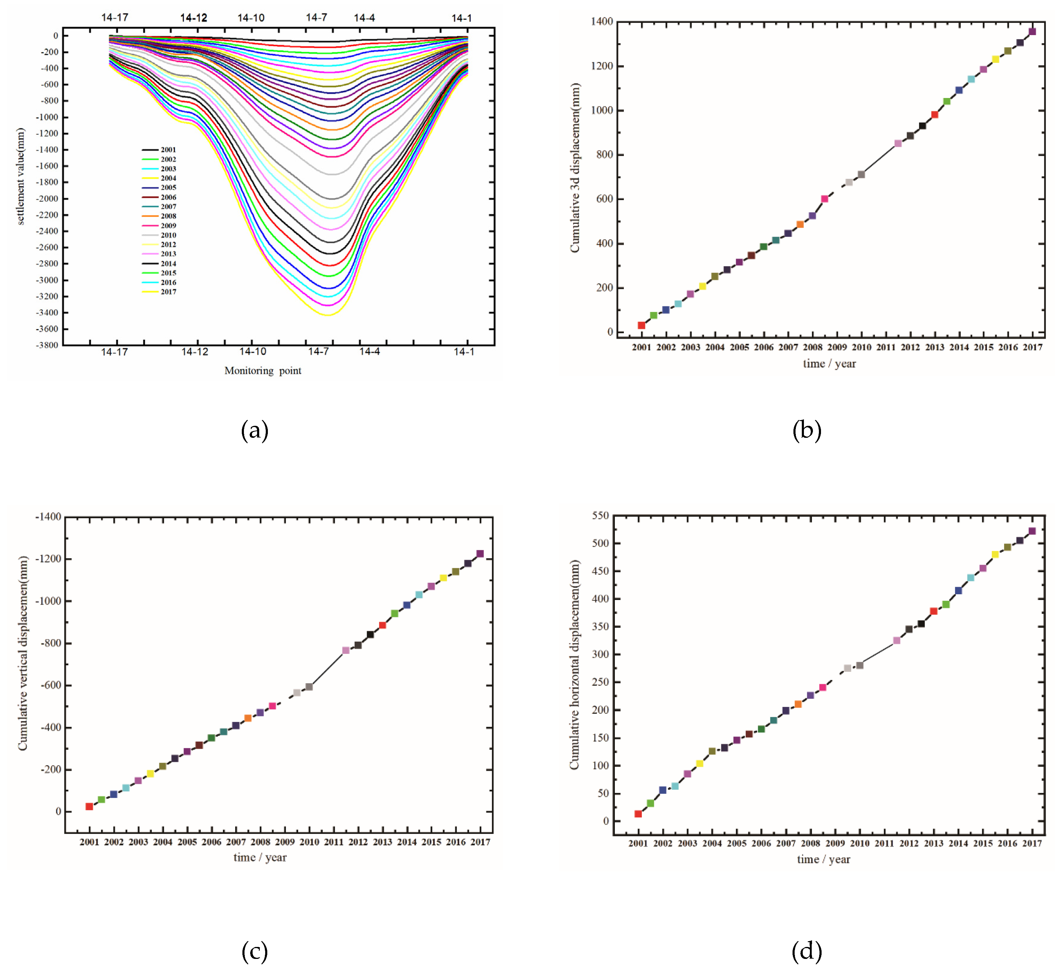
3.1.1. Direct Monitoring
3.1.2. Indirect Monitoring
3.2. Field Investigation
3.3. Deformation Failure Modes
3.3.1. Dislocation Cracking
3.3.2. Rib Spalling
3.3.3. Falling Objects Hit the Shaft Lining
3.4. Influencing Factors of the Deformation Failure
3.4.1. In-Situ Stress
3.4.2. Rock Mass Structure
3.4.3. Mining-Induced Stress
4. Deformation Failure Mechanism of Vertical Shaft
4.1. Mining-Induced Deformation and Failure
4.2. Numerical Modeling with DEM
4.2.1. UDEC Trigon Approach
4.2.2. Rock Property Calibration
4.2.3. Model Configuration
4.3. Analysis of Mining-Induced Deformation and Failure
4.3.1. Displacement Analysis
4.3.2. Stress Analysis
4.3.3. Crack and Damage Analysis
4.4. The Mechanism of Mining-Induced Deformation and Failure
4.5. Suggestions for the Engineering of Deep Vertical Shaft
4.5.1. Reasonable Location
4.5.2. Timely Monitoring
4.5.3. Targeted Support
5. Conclusions
Author Contributions
Funding
Conflicts of Interest
References
- Ma, F.; Deng, Q.; Cunningham, D.; Yuan, R.; Zhao, H. Vertical shaft collapse at the Jinchuan Nickel Mine, Gansu Province, China: Analysis of contributing factors and causal mechanisms. Environ. Earth Sci. 2013, 69, 21–28. [Google Scholar] [CrossRef]
- Diering, D.H. Ultra-deep level mining—Future requirements. J. S. Afr. Inst. Min. Metall. 1997, 97, 249–255. [Google Scholar]
- Hebblewhite, B. Regional horizontal movements associated with longwall mining. In Proceedings of the 19th International Ground Control in Mining Conference, Morgantown, VA, USA, 1 August 2000. [Google Scholar]
- Li, W.X.; Zhao, S.T.; Liang, X.L.; Dai, L.F. Influence of underground mining on shaft towers in Luzhong mining areas. Yanshilixue Yu Gongcheng Xuebao/Chin. J. Rock Mech. Eng. 2006, 25, 74–78. [Google Scholar]
- Bruneau, G.; Tyler, D.B.; Hadjigeorgiou, J.; Potvin, Y. Influence of faulting on a mine shaft-a case study: Part I-Background and instrumentation. Int. J. Rock Mech. Min. Sci. 2003, 40, 95–111. [Google Scholar] [CrossRef]
- Kontogianni, V.A.; Stiros, S.C. Induced deformation during tunnel excavation: Evidence from geodetic monitoring. Eng. Geol. 2005, 79, 115–126. [Google Scholar] [CrossRef]
- Xia, K.; Chen, C.; Zheng, Y.; Zhang, H.; Liu, X.; Deng, Y.; Yang, K. Engineering geology and ground collapse mechanism in the Chengchao Iron-ore Mine in China. Eng. Geol. 2019, 249, 129–147. [Google Scholar] [CrossRef]
- Lekhnitskii, S.G.; Fern, P.; Brandstatter, J.J.; Dill, E.H. Theory of Elasticity of an Anisotropic Elastic Body. Phys. Today 1964, 84, 17–18. [Google Scholar] [CrossRef]
- Dias, T.G.S.; Farias, M.M.; Assis, A.P. Large diameter shafts for underground infrastructure. Tunn. Undergr. Space Technol. 2015, 45, 181–189. [Google Scholar] [CrossRef]
- Mitelman, A.; Elmo, D.; Stead, D. Development of a spring analogue approach for the study of pillars and shafts. Int. J. Min. Sci. Technol. 2018, 28, 267–274. [Google Scholar] [CrossRef]
- Walton, G.; Kim, E.; Sinha, S.; Sturgis, G.; Berberick, D. Investigation of shaft stability and anisotropic deformation in a deep shaft in Idaho, United States. Int. J. Rock Mech. Min. Sci. 2018, 105, 160–171. [Google Scholar] [CrossRef]
- Xu, J.; Li, X.; Han, C. A study of fault step from open excavation and its size. J. Eng. Geol. 2007, 15, 38–44. [Google Scholar]
- Zhao, H.; Ma, F.; Xu, J.; Guo, J.; Yuan, G. Experimental investigations of fault reactivation induced by slope excavations in China. Bull. Eng. Geol. Environ. 2014, 73, 891–901. [Google Scholar] [CrossRef]
- Cho, J.; Lim, H.; Jeong, S.; Kim, K. Analysis of lateral earth pressure on a vertical circular shaft considering the 3D arching effect. Tunn. Undergr. Space Technol. 2015, 48, 11–19. [Google Scholar] [CrossRef]
- Liu, Z.H.; Gao, Q.; Yang, Z.Q. Application of FBG sensor in shaft structural deformation monitoring of JINCHUAN Mine No.3. Adv. Mater. Res. 2011, 243–249, 5420–5426. [Google Scholar] [CrossRef]
- Liao, L.; de la Fuente, A.; Cavalaro, S.; Aguado, A. Design procedure and experimental study on fibre reinforced concrete segmental rings for vertical shafts. Mater. Des. 2016, 92, 590–601. [Google Scholar] [CrossRef]
- Pujades, E.; Vázquez-Suñé, E.; Carrera, J.; Vilarrasa, V.; De Simone, S.; Jurado, A.; Ledesma, A.; Ramos, G.; Lloret, A. Deep enclosures versus pumping to reduce settlements during shaft excavations. Eng. Geol. 2014, 169, 100–111. [Google Scholar] [CrossRef]
- Zhao, X.; Zhou, G.; Zhao, G.; Kuang, L.; Hu, X. Fracture controlling of vertical shaft lining using grouting into neighboring soil deposits: A case study. Soils Found. 2017, 57, 882–891. [Google Scholar] [CrossRef]
- Hui, X.; Ma, F.; Zhao, H.; Xu, J. Monitoring and statistical analysis of mine subsidence at three metal mines in China. Bull. Eng. Geol. Environ. 2018, 78, 3983–4001. [Google Scholar] [CrossRef]
- Li, G.; Ma, F.; Guo, J.; Zhao, H.; Liu, G. Study on deformation failure mechanism and support technology of deep soft rock roadway. Eng. Geol. 2019, 264, 105–262. [Google Scholar] [CrossRef]
- Wu, M.L.; Ma, Y.; Liao, C.T. Study of recent state of stress in depth 1000 m of Jinchuan mine. Chin. J. Rock Mech. Eng. 2008, 27 (Suppl. 2), 3785–3790. [Google Scholar]
- Zhao, H.; Ma, F.; Xu, J.; Guo, J. In situ stress field inversion and its application in mining-induced rock mass movement. Int. J. Rock Mech. Min. Sci. 2012, 53, 120–128. [Google Scholar] [CrossRef]
- Zhang, L.; Einstein, H.H. Using RQD to estimate the deformation modulus of rock masses. Int. J. Rock Mech. Min. Sci. 2004, 41, 337–341. [Google Scholar] [CrossRef]
- Singh, M.; Rao, K.S. Empirical methods to estimate the strength of jointed rock masses. Eng. Geol. 2005, 77, 127–137. [Google Scholar] [CrossRef]
- Xia, K.; Chen, C.; Fu, H.; Pan, Y.; Deng, Y. Mining-induced ground deformation in tectonic stress metal mines: A case study. Eng. Geol. 2016, 210, 212–230. [Google Scholar] [CrossRef]
- Ma, F.; Zhao, H.; Yuan, R.; Guo, J. Ground movement resulting from underground backfill mining in a nickel mine (Gansu Province, China). Nat. Hazards 2015, 77, 1475–1490. [Google Scholar] [CrossRef]
- Zhang, Z.; Chen, F.; Li, N.; Swoboda, G.; Liu, N. Influence of fault on the surrounding rock stability of a tunnel: Location and thickness. Tunn. Undergr. Space Technol. 2017, 61, 1–11. [Google Scholar] [CrossRef]
- Zhao, H.; Ma, F.; Li, G.; Ding, D.; Wen, Y. Deformation and destruction of mine workings caused by excavation-induced fault activation. Met. Mine 2008, 384, 9–12. [Google Scholar]
- UDEC User Manual; Itasca Consulting Group, Inc.: Minneapolis, MN, USA, 2008.
- Gao, F.Q.; Stead, D. The application of a modified Voronoi logic to brittle fracture modelling at the laboratory and field scale. Int. J. Rock Mech. Min. Sci. 2014, 68, 1–14. [Google Scholar] [CrossRef]
- Yang, S.; Chen, M.; Jing, H.; Chen, K.; Meng, B. A case study on large deformation failure mechanism of deep soft rock roadway in Xin’An coal mine, China. Eng. Geol. 2017, 217, 89–101. [Google Scholar] [CrossRef]
- Zhang, S.; Zhang, D.; Wang, H.; Liang, S. Discrete element simulation of the control technology of large section roadway along a fault to drivage under strong mining. J. Geophys. Eng. 2018, 15, 2642–2657. [Google Scholar] [CrossRef]
- Jiang, Q.; Feng, X.; Chen, G. Study on constitutive model of hard rock considering surrounding rock deterioration under high geostresses. Chin. J. Rock Mech. Eng. 2008, 27, 144–152. [Google Scholar]
- Gao, F.; Stead, D.; Kang, H. Simulation of roof shear failure in coal mine roadways using an innovative UDEC Trigon approach. Comput. Geotech. 2014, 61, 33–41. [Google Scholar] [CrossRef]























| Elevation Range (m) | Lithology | Fracture Density (strip/m) | Moisture Content | Geologic Description |
|---|---|---|---|---|
| 1717~1510 | Peridotite | 4~6 | 1717~1655: no water 1655~1510: from water seepage, dripping to gushing water | Lithological contact zone (below 1567 m), poor engineering geological conditions |
| 1510~1489.2 | Ultrabasic rock and granite contact zone | 3~5 | Gushing water, gushing mud | A small fault at 1510 m containing massive fault gouge and breccia |
| 1489.2~1043 | Granite | 4~13 | No water | Several small faults, lithological contact fracture zone |
| 1043~1039.5 | Diabase | 4~12 | No water | Well-developed fissures and fragmented rock mass |
| 1039.5~1001 | Breccia, mylonite | 1~2 | Water seepage | F16 fault zone, extremely poor engineering geological conditions |
| Lithology | Intact Rock | Rock Mass | ||||
|---|---|---|---|---|---|---|
| RQD | ||||||
| Migmatite | 95.20 | 70.90 | 56.20 | 27.43 | 9.68 | 2.74 |
| Marble | 79.30 | 75.10 | 50.60 | 19.67 | 8.07 | 1.97 |
| Orebody | 107.80 | 79.30 | 42.10 | 21.30 | 5.92 | 2.13 |
| Fault | 35.50 | 25.00 | 22.00 | 4.09 | 0.79 | 0.41 |
| Properties | Migmatite | Marble | Orebody | Fault |
|---|---|---|---|---|
| Blocks density (kg/m3) | 2740 | 2800 | 2970 | 2400 |
| Poisson’s ratio of blocks | 0.22 | 0.30 | 0.34 | 0.25 |
| Normal stiffness of contacts (GPa/m) | 4656 | 6562 | 6121 | 860 |
| Shear stiffness of contacts (GPa/m) | 1862 | 2625 | 2448 | 344 |
| Contact cohesion (MPa) | 5.6 | 2.8 | 1.2 | 0.5 |
| Contact friction angle (°) | 30 | 34 | 34 | 30 |
| Contact tensile strength (MPa) | 1.0 | 0.6 | 0.4 | 0.05 |
| Lithology | Young’s Modulus (GPa) | Compressive Strength (MPa) | ||||
|---|---|---|---|---|---|---|
| Target | Calibrated | Error (%) | Target | Calibrated | Error (%) | |
| Migmatite | 9.68 | 10.12 | 4.5 | 27.43 | 27.60 | 0.62 |
| Marble | 8.07 | 7.75 | 3.9 | 19.67 | 19.46 | 1.1 |
| Orebody | 5.92 | 5.6 | 5.4 | 21.3 | 21.23 | 0.33 |
| Fault | 0.79 | 0.76 | 3.7 | 4.09 | 4.12 | 0.73 |
| No. | Level of Mine | Mining Sequence |
|---|---|---|
| I | 1300 level | Stage 1: mining I |
| II | 1250 level | Stage 2: mining II and backfill I |
| III | 1200 level | Stage 3: mining III and backfill II |
| IV | 1150 level | Stage 4: mining IV and backfill III |
| V | 1100 level | Stage 5: mining V and VII, backfill IV keep pillar |
| VI | 1000 pillar | |
| VII | 950 level |
© 2020 by the authors. Licensee MDPI, Basel, Switzerland. This article is an open access article distributed under the terms and conditions of the Creative Commons Attribution (CC BY) license (http://creativecommons.org/licenses/by/4.0/).
Share and Cite
Sun, Q.; Ma, F.; Guo, J.; Li, G.; Feng, X. Deformation Failure Mechanism of Deep Vertical Shaft in Jinchuan Mining Area. Sustainability 2020, 12, 2226. https://doi.org/10.3390/su12062226
Sun Q, Ma F, Guo J, Li G, Feng X. Deformation Failure Mechanism of Deep Vertical Shaft in Jinchuan Mining Area. Sustainability. 2020; 12(6):2226. https://doi.org/10.3390/su12062226
Chicago/Turabian StyleSun, Qihao, Fengshan Ma, Jie Guo, Guang Li, and Xuelei Feng. 2020. "Deformation Failure Mechanism of Deep Vertical Shaft in Jinchuan Mining Area" Sustainability 12, no. 6: 2226. https://doi.org/10.3390/su12062226
APA StyleSun, Q., Ma, F., Guo, J., Li, G., & Feng, X. (2020). Deformation Failure Mechanism of Deep Vertical Shaft in Jinchuan Mining Area. Sustainability, 12(6), 2226. https://doi.org/10.3390/su12062226
