Assessment of Soil and Water Conservation Practices in the Loess Hilly Region Using a Coupled Rainfall-Runoff-Erosion Model
Abstract
1. Introduction
2. Methodology
2.1. Erosion Measurement
2.2. Rainfall-Runoff-Erosion Model
2.2.1. Regional Climate Model
2.2.2. SCS-CN Model
2.2.3. MULSE Model
2.3. Calibration and Validation
3. Results and Discussion
3.1. CN and K in the Rainfall-Runoff-Erosion Model
3.2. Observed and Predicted Soil and Water Erosion
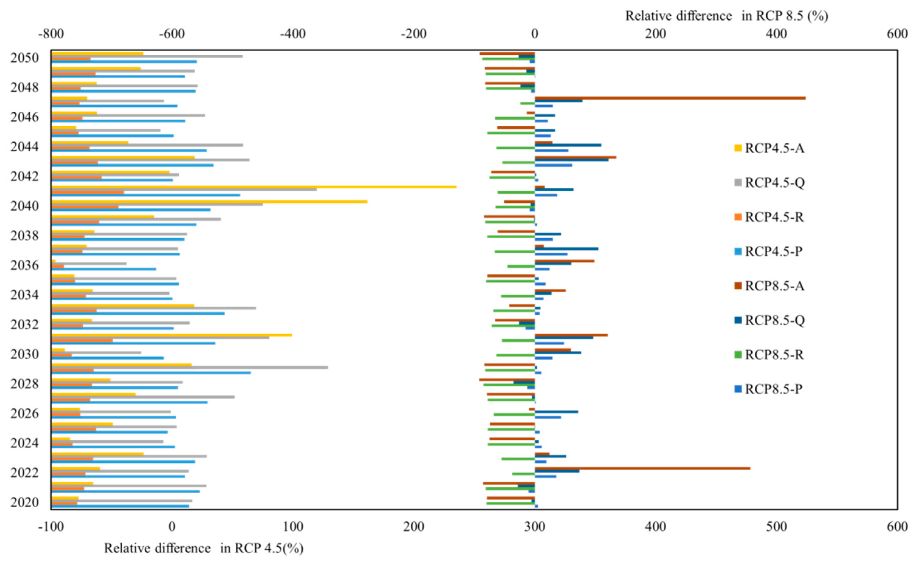
3.3. Impact of Climate Change on Soil and Water Erosion
3.4. The Effect of Different SWCPs on Soil and Water Conservaion
4. Conclusions and Recommendations
Author Contributions
Funding
Acknowledgments
Conflicts of Interest
References
- Lal, R. Soil erosion and the global carbon budget. Environ. Int. 2003, 29, 437–450. [Google Scholar] [CrossRef]
- Pennock, D.; McKenzie, N.; Montanarella, L. Status of the world’s soil resources; FAO Rome: Rome, Italy, 2015. [Google Scholar]
- Montanarella, L. Agricultural policy: govern our soils. Nat. News 2015, 528, 32. [Google Scholar] [CrossRef] [PubMed]
- Pimentel, D.; Burgess, M. Soil erosion threatens food production. Agriculture 2013, 3, 443–463. [Google Scholar] [CrossRef]
- MWR of PRC. The proclamation of soil and water loss in China; MWR: Beijing, China, 2002. [Google Scholar]
- Wang, Y.; Gao, X.; Li, T.; Yue, Y.; Fang, H.; Ni, J. Geocode-based aquatic habitats in hierarchical system of the Yellow River Basin. J. Environ. Inform. 2018, 32, 69–81. [Google Scholar] [CrossRef]
- Fu, B.; Liu, Y.; Lü, Y.; He, C.; Zeng, Y.; Wu, B. Assessing the soil erosion control service of ecosystems change in the Loess Plateau of China. Ecol. Complex. 2011, 8, 284–293. [Google Scholar] [CrossRef]
- Wang, Z.; Zhang, T.; Tan, C.; Wang, X.; Taylor, R.; Qi, Z.; Yang, J. Modeling the impacts of manure on phosphorus loss in surface runoff and subsurface drainage. J. Environ. Qual. 2019, 48, 39–46. [Google Scholar] [CrossRef]
- Sawut, R.; Kasim, N.; Maihemuti, B.; Hu, L.; Abliz, A.; Abdujappar, A.; Kurban, M. Pollution characteristics and health risk assessment of heavy metals in the vegetable bases of northwest China. Sci. Total Environ. 2018, 642, 864–878. [Google Scholar] [CrossRef]
- Zhang, P.; Huang, G.; An, C.; Fu, H.; Gao, P.; Yao, Y.; Chen, X. An integrated gravity-driven ecological bed for wastewater treatment in subtropical regions: Process design, performance analysis, and greenhouse gas emissions assessment. J. Clean. Prod. 2019, 212, 1143–1153. [Google Scholar] [CrossRef]
- Colman, C.B.; Oliveira, P.T.S.; Almagro, A.; Soares-Filho, B.S.; Rodrigues, D.B. Effects of climate and land-cover changes on soil erosion in Brazilian pantanal. Sustainability 2019, 11, 7053. [Google Scholar] [CrossRef]
- Xu, Q.; Chen, Q.; Zhao, S.; Liu, K.; Ma, J. Saving water and associated energy from distribution networks by considering landscape factors in pressure management and use of district metered areas. J. Environ. Inform. 2018, 31, 65–73. [Google Scholar] [CrossRef]
- Routschek, A.; Schmidt, J.; Kreienkamp, F. Impact of climate change on soil erosion—a high-resolution projection on catchment scale until 2100 in Saxony/Germany. Catena 2014, 121, 99–109. [Google Scholar] [CrossRef]
- Lu, C.; Huang, G.; Wang, X. Projected changes in temperature, precipitation, and their extremes over China through the RegCM. Clim. Dyn. 2019, 53, 5859–5880. [Google Scholar] [CrossRef]
- Delgado, J.A.; Nearing, M.A.; Rice, C.W. Conservation practices for climate change adaptation. In Advances in Agronomy; Elsevier: Amsterdam, The Netherlands, 2013; Volume 121, pp. 47–115. [Google Scholar]
- Fu, B.; Li, S.; Yu, X.; Yang, P.; Yu, G.; Feng, R.; Zhuang, X. Chinese ecosystem research network: progress and perspectives. Ecol. Complex. 2010, 7, 225–233. [Google Scholar] [CrossRef]
- Millington, J.D.; Wainwright, J.; Mulligan, M. Representing human decision-making in environmental modelling. Environ. Model. 2013, 291. [Google Scholar]
- Li, P.; Mu, X.; Holden, J.; Wu, Y.; Irvine, B.; Wang, F.; Gao, P.; Zhao, G.; Sun, W. Comparison of soil erosion models used to study the Chinese Loess Plateau. Earth-Sci. Rev. 2017, 170, 17–30. [Google Scholar] [CrossRef]
- Sadeghi, S.; Gholami, L.; Khaledi Darvishan, A.; Saeidi, P. A review of the application of the MUSLE model worldwide. Hydrol. Sci. J. 2014, 59, 365–375. [Google Scholar] [CrossRef]
- Abdul-Rahim, A.; Sun, C.; Noraida, A. The impact of soil and water conservation on agricultural economic growth and rural poverty reduction in China. Sustainability 2018, 10, 4444. [Google Scholar] [CrossRef]
- Zhao, G.; Mu, X.; Wen, Z.; Wang, F.; Gao, P. Soil erosion, conservation, and eco-environment changes in the Loess Plateau of China. Land Degrad. Dev. 2013, 24, 499–510. [Google Scholar] [CrossRef]
- Cai, M.; Xin, Z.; Yu, X. Spatio-temporal variations in PM leaf deposition: A meta-analysis. Environ. Pollut. 2017, 231, 207–218. [Google Scholar] [CrossRef]
- Morar, F.; Iantovics, L.; Gligor, A. Analysis of phytoremediation potential of crop plants in industrial heavy metal contaminated soil in the upper Mures River Basin. J. Environ. Inform. 2018, 31, 1–14. [Google Scholar]
- Cai, M.; Xin, Z.; Yu, X. Particulate matter transported from urban greening plants during precipitation events in Beijing, China. Environ. Pollut. 2019, 252, 1648–1658. [Google Scholar] [CrossRef]
- Santonastaso, G.; Erto, A.; Bortone, I.; Chianese, S.; Di Nardo, A.; Musmarra, D. Experimental and simulation study of the restoration of a thallium (I)-contaminated aquifer by Permeable Adsorptive Barriers (PABs). Sci. Total Environ. 2018, 630, 62–71. [Google Scholar] [CrossRef]
- Raptis, S.; Gasparatos, D.; Economou-Eliopoulos, M.; Petridis, A. Chromium uptake by lettuce as affected by the application of organic matter and Cr (VI)-irrigation water: Implications to the land use and water management. Chemosphere 2018, 210, 597–606. [Google Scholar] [CrossRef] [PubMed]
- Liu, B.; Liu, Y.; Zhang, K.; Xie, Y. Classification for soil conservation practices in China. J. Soil Water Conserv. 2013, 27, 80–84. [Google Scholar]
- Zhao, J.; Yang, Z.; Govers, G. Soil and water conservation measures reduce soil and water losses in China but not down to background levels: evidence from erosion plot data. Geoderma 2019, 337, 729–741. [Google Scholar] [CrossRef]
- Peng, H.; Jia, Y.; Niu, C.; Gong, J.; Hao, C.; Gou, S. Eco-hydrological simulation of soil and water conservation in the Jinghe River Basin in the Loess Plateau, China. J. Hydro-Environ. Res. 2015, 9, 452–464. [Google Scholar] [CrossRef]
- Zhou, Y.; Yang, B.; Han, J.; Huang, Y. Robust linear programming and its application to water and environmental decision-making under uncertainty. Sustainability 2019, 11, 33. [Google Scholar] [CrossRef]
- Huang, J.; Huang, G.; An, C.; He, Y.; Yao, Y.; Zhang, P.; Shen, J. Performance of ceramic disk filter coated with nano ZnO for removing Escherichia coli from water in small rural and remote communities of developing regions. Environ. Pollut. 2018, 238, 52–62. [Google Scholar] [CrossRef]
- Zhou, Y.; Huang, G.; Baetz, B.W. Multilevel factorial fractional programming for sustainable water resources management. J. Water Resour. Plan. Manag. 2016, 142, 04016063. [Google Scholar] [CrossRef]
- Wang, T.; Wu, J.; Kou, X.; Oliver, C.; Mou, P.; Ge, J. Ecologically asynchronous agricultural practice erodes sustainability of the Loess Plateau of China. Ecol. Appl. 2010, 20, 1126–1135. [Google Scholar] [CrossRef]
- Li, S.; Di, X.; Wu, D.; Zhang, J. Effects of sewage sludge and nitrogen fertilizer on herbage growth and soil fertility improvement in restoration of the abandoned opencast mining areas in Shanxi, China. Environ. Earth Sci. 2013, 70, 3323–3333. [Google Scholar] [CrossRef]
- Shi, H.; Shao, M. Soil and water loss from the Loess Plateau in China. J. Arid. Environ. 2000, 45, 9–20. [Google Scholar] [CrossRef]
- Yin, Z.; Gou, J.; Li, Y. Design strategies and soil erosion reduction effect of soil and water conservation measures in hilly area of central Sichuan Basin. Syst. Sci. Compr. Stud. Agric. 2009, 25, 369–374. (In Chinese) [Google Scholar]
- Wang, F.; Li, R.; Mu, X.; Yang, X. Characteristics and regional differences of runoff cost of sediment control of conservation measures and their simulation in Weihe River Basin. Sci. Soil Water Conserv. 2004, 2, 12–17. (In Chinese) [Google Scholar]
- Change, I.C. The Physical Science Basis. In Contribution of working group i to the fifth assessment report of the Intergovernmental Panel on Climate Change; Cambridge University Press: Cambridge, UK, 2013; Volume 2013, pp. 33–118. [Google Scholar]
- Gao, G.Y.; Fu, B.J.; Lü, Y.H.; Liu, Y.; Wang, S.; Zhou, J. Coupling the modified SCS-CN and RUSLE models to simulate hydrological effects of restoring vegetation in the Loess Plateau of China. Hydrol. Earth Syst. Sci. 2012, 16, 2347–2364. [Google Scholar] [CrossRef]
- Kendon, E.J.; Rowell, D.P.; Jones, R.G.; Buonomo, E. Robustness of future changes in local precipitation extremes. J. Clim. 2008, 21, 4280–4297. [Google Scholar] [CrossRef]
- Gudmundsson, L.; Bremnes, J.; Haugen, J.; Engen-Skaugen, T. Downscaling RCM precipitation to the station scale using statistical transformations–a comparison of methods. Hydrol. Earth. Syst. Sci. 2012, 16, 3383–3390. [Google Scholar] [CrossRef]
- Baltas, E.; Dervos, N.; Mimikou, M. Determination of the SCS initial abstraction ratio in an experimental watershed in Greece. Hydrol. Earth Syst. Sci. Discuss. 2007, 11, 1825–1829. [Google Scholar] [CrossRef]
- Mishra, S.K.; Singh, V.P. Validity and extension of the SCS-CN method for computing infiltration and rainfall-excess rates. Hydrol. Process. 2004, 18, 3323–3345. [Google Scholar] [CrossRef]
- Wang, H. Estimating watersheds runoff by using improved Runoff Curve Number Model (SCS-CN) on the Loess Plateau of China. Master’s Thesis, Beijing Forestry University, Bejing, China, 2016. (In Chinese). [Google Scholar]
- Wischmeier, W.H.; Smith, D.D. Predicting rainfall erosion losses: A guide to conservation planning; Science and Education Administration, US Department of Agriculture: Washington, DC, USA, 1978.
- Renard, K.G.; Foster, G.R.; Weesies, G.A.; Porter, J.P. RUSLE: Revised universal soil erosion equation. J. Soil Water Conserv. 1991, 46, 30–33. [Google Scholar]
- Liu, B.; Zhang, K.; Xie, Y. An empirical soil erosion equation. In Proceedings of the 12th International Soil Conservation Organization Conference, Beijing, China, 26–31 May 2002; Tsinghua University Press: Beijing, China, 2002; III, p. 15. [Google Scholar]
- Angulo-Martínez, M.; Beguería, S. Estimating rainfall erosivity from daily precipitation records: A comparison among methods using data from the Ebro Basin (NE Spain). J. Hydrol. 2009, 379, 111–121. [Google Scholar] [CrossRef]
- Wu, L.; Liu, X.; Ma, X. Spatiotemporal distribution of rainfall erosivity in the Yanhe River watershed of hilly and gully region, Chinese Loess Plateau. Environ. Earth Sci. 2016, 75, 315. [Google Scholar] [CrossRef]
- Qin, W.; Guo, Q.; Cao, W.; Yin, Z.; Yan, Q.; Shan, Z.; Zheng, F. A new RUSLE slope length factor and its application to soil erosion assessment in a Loess Plateau watershed. Soil Till. Res. 2018, 182, 10–24. [Google Scholar] [CrossRef]
- Zhang, K.; Yu, Y.; Dong, J.; Yang, Q.; Xu, X. Adapting & testing use of USLE K factor for agricultural soils in China. Agricul. Ecosyst. Environ. 2019, 269, 148–155. [Google Scholar]
- Smith, D.D.; Wischmeier, W.H. Factors affecting sheet and rill erosion. Eos Trans. Am. Geophys. Union 1957, 38, 889–896. [Google Scholar] [CrossRef]
- Malagó, A.; Vigiak, O.; Bouraoui, F.; Pagliero, L.; Franchini, M. The hillslope length impact on SWAT streamflow prediction in large basins. J. Environ. Inform. 2018, 32, 82–97. [Google Scholar] [CrossRef]
- Sun, W.; Shao, Q.; Liu, J.; Zhai, J. Assessing the effects of land use and topography on soil erosion on the Loess Plateau in China. Catena 2014, 121, 151–163. [Google Scholar] [CrossRef]
- Kinnell, P. Event soil loss, runoff and the Universal Soil Loss Equation family of models: A review. J. Hydrol. 2010, 385, 384–397. [Google Scholar] [CrossRef]
- Renard, K.G.; Foster, G.R. Soil conservation: principles of erosion by water. Dryland. Agric. 1983, 23, 155–176. [Google Scholar]
- Nash, J.; Sutcliffe, J. River forcasting using conceptual models, 1. A discussion of principles. J. Hydrol. 1970, 10, 280–290. [Google Scholar] [CrossRef]
- Remesan, R.; Bray, M.; Mathew, J. Application of PCA and clustering methods in input selection of hybrid runoff models. J. Environ. Inform. 2018, 31, 137–152. [Google Scholar] [CrossRef]
- Oğuz, I. Rainfall erosivity in north-central anatolia in turkey. Appl. Ecol. Environ. Res. 2019, 17, 2719–2731. [Google Scholar]
- Soulis, K.; Valiantzas, J.; Dercas, N.; Londra, P. Analysis of the runoff generation mechanism for the investigation of the SCS-CN method applicability to a partial area experimental watershed. Hydrol. Earth Syst. Sci. Discuss. 2009, 6, 373–400. [Google Scholar] [CrossRef]
- Soulis, K.; Valiantzas, J. SCS-CN parameter determination using rainfall-runoff data in heterogeneous watersheds–the two-CN system approach. Hydrol. Earth Syst. Sci. 2012, 16, 1001–1015. [Google Scholar] [CrossRef]
- Xiao, B.; Wang, Q.; Fan, J.; Han, F.; Dai, Q. Application of the SCS-CN model to runoff estimation in a small watershed with high spatial heterogeneity. Pedosphere 2011, 21, 738–749. [Google Scholar] [CrossRef]
- Li, C.; Qin, J.; Li, J. Application of computational curve number to precipitation-runoff simulation in a typical watershed in Chinese Loess Plateau. J. Arid. Land. Resour. Environ. 2008, 22, 67–70. (In Chinese) [Google Scholar]
- Zhang, K.; Li, S.; Peng, W.; Yu, B. Erodibility of agricultural soils on the Loess Plateau of China. Soil Till. Res. 2004, 76, 157–165. [Google Scholar] [CrossRef]
- Wang, B.; Zheng, F.; Guan, Y. Improved USLE- K factor prediction: A case study on water erosion areas in China. Int. Soil Water Conserv. Res. 2016, 4, 168–176. [Google Scholar] [CrossRef]
- Auerswald, K.; Fiener, P.; Martin, W.; Elhaus, D. Use and misuse of the K factor equation in soil erosion modeling: An alternative equation for determining USLE nomograph soil erodibility values. Catena 2014, 118, 220–225. [Google Scholar] [CrossRef]
- Cao, L.; Zhang, K.; Dai, H.; Liang, Y. Modeling interrill erosion on unpaved roads in the Loess Plateau of China. Land Degrad. Dev. 2015, 26, 825–832. [Google Scholar] [CrossRef]
- Guo, Q.; Han, Y.; Yang, Y.; Fu, G.; Li, J. Quantifying the impacts of climate change, coal mining and soil and water conservation on streamflow in a coal mining concentrated watershed on the Loess Plateau, China. Water 2019, 11, 1054. [Google Scholar] [CrossRef]
- Li, Z.; Liu, W.; Zhang, X.; Zheng, F. Assessing the site-specific impacts of climate change on hydrology, soil erosion and crop yields in the Loess Plateau of China. Clim. Chang. 2011, 105, 223–242. [Google Scholar] [CrossRef]
- Azari, M.; Saghafian, B.; Moradi, H.R.; Faramarzi, M. Effectiveness of soil and water conservation practices under climate change in the Gorganroud Basin, Iran. CLEAN - Soil Air Water 2017, 45, 1700288. [Google Scholar] [CrossRef]
- Barthes, B.; Roose, E. Aggregate stability as an indicator of soil susceptibility to runoff and erosion; validation at several levels. Catena 2002, 47, 133–149. [Google Scholar] [CrossRef]
- Hartanto, H.; Prabhu, R.; Widayat, A.S.; Asdak, C. Factors affecting runoff and soil erosion: plot-level soil loss monitoring for assessing sustainability of forest management. For. Ecol. Manag. 2003, 180, 361–374. [Google Scholar] [CrossRef]
- Peng, T.; Wang, S. Effects of land use, land cover and rainfall regimes on the surface runoff and soil loss on karst slopes in southwest China. Catena 2012, 90, 53–62. [Google Scholar] [CrossRef]
- Wang, X.; He, K.; Dong, Z. Effects of climate change and human activities on runoff in the Beichuan River Basin in the northeastern Tibetan Plateau, China. Catena 2019, 176, 81–93. [Google Scholar] [CrossRef]
- Li, Y.; Liu, C.; Yu, W.; Tian, D.; Bai, P. Response of streamflow to environmental changes: A Budyko-type analysis based on 144 river basins over China. Sci. Total Environ. 2019, 664, 824–833. [Google Scholar] [CrossRef]
- Zare, M.; Mohammady, M.; Pradhan, B. Modeling the effect of land use and climate change scenarios on future soil loss rate in Kasilian watershed of northern Iran. Environ. Earth Sci. 2017, 76, 305. [Google Scholar] [CrossRef]
- Zheng, F. Effect of vegetation changes on soil erosion on the Loess Plateau. Pedosphere 2006, 16, 420–427. [Google Scholar] [CrossRef]
- Zhang, X.; Liu, W.; Li, Z.; Zheng, F. Simulating site-specific impacts of climate change on soil erosion and surface hydrology in southern Loess Plateau of China. Catena 2009, 79, 237–242. [Google Scholar] [CrossRef]
- Zhang, X.; Liu, W. Simulating potential response of hydrology, soil erosion, and crop productivity to climate change in Changwu tableland region on the Loess Plateau of China. Agric. For. Meteorol. 2005, 131, 127–142. [Google Scholar] [CrossRef]
- Montenegro, A.D.A.; Abrantes, J.; De Lima, J.; Singh, V.; Santos, T. Impact of mulching on soil and water dynamics under intermittent simulated rainfall. Catena 2013, 109, 139–149. [Google Scholar] [CrossRef]
- Yan, L. Runoff cost for sediment control of soil and water conservation practices at the plot’s scale on the Loess Plateau. Master’s Thesis, Northwest A&F University, Yangling, China, 2008. (In Chinese). [Google Scholar]
- Mo, L. Runoff cost of sediment control of soil and water conservation practices with hydrologic methods in Beiluo River Basin. Master’s Thesis, Northwest A&F University, Yangling, China, 2008; pp. 15–18. (In Chinese). [Google Scholar]



| SWCPs 1 | A | B | C | D | E | F | G | H |
|---|---|---|---|---|---|---|---|---|
| Land use | shrub | grass | forest | bare | forest | forest | forest | forest |
| Vegetation cover (%) | 71 | 61.7 | 38.5 | 10 | 28.5 | 24.6 | 16.6 | 50.5 |
| P-factor | 0.027 | 0.050 | 0.203 | 1.000 | 0.203 | 0.181 | 0.188 | 0.181 |
| Erosive events | 42 | 34 | 25 | 44 | 38 | 40 | 37 | 39 |
| Duration (min) | 977 | 1078 | 1195 | 1017 | 1054 | 1059 | 1050 | 1053 |
| Intensity (mm h−1) | 2.3 | 2.4 | 2.6 | 2.3 | 2.3 | 2.4 | 2.3 | 2.3 |
| Rainfall (P, mm) | 26.3 | 29.8 | 34.8 | 27.8 | 29.1 | 29.6 | 28.3 | 29.0 |
| Surface runoff (mm) | 1.2 | 1.0 | 1.4 | 1.7 | 1.4 | 1.2 | 1.1 | 1.1 |
| Soil erosion (t hm−2 yr−1) | 7.66 | 8.10 | 20.33 | 29.22 | 18.42 | 16.16 | 19.18 | 11.41 |
| SWCPs | A | B | C | D | E | F | G | H |
|---|---|---|---|---|---|---|---|---|
| 1 | 26.8 | 21.9 | 15.7 | 38.3 | 16.1 | 7.5 | 22.9 | 29.3 |
| 2 | 26.8 | 21.9 | 15.7 | 38.3 | 16.1 | 7.5 | 22.9 | 29.3 |
| 3 | 26.8 | 21.9 | 15.7 | 38.3 | 16.1 | 7.5 | 22.9 | 29.3 |
| 4 | 26.8 | 21.9 | 15.7 | 38.3 | 16.1 | 7.5 | 22.9 | 29.3 |
| 5 | 26.8 | 21.9 | 15.7 | 38.3 | 16.1 | 7.5 | 22.9 | 29.3 |
| 6 | 39.0 | 29.1 | 10.6 | 28.9 | 23.5 | 24.2 | 22.2 | 13.3 |
| 7 | 22.2 | 19.8 | 22.3 | 30.8 | 26.7 | 25.2 | 17.4 | 22.3 |
| 8 | 26.8 | 20.3 | 23.2 | 28.6 | 22.8 | 18.3 | 23.6 | 23.9 |
| 9 | 35.4 | 17.9 | 34.4 | 31.6 | 20.4 | 20.5 | 23.5 | 25.7 |
| 10 | 26.8 | 29.4 | 20.6 | 51.2 | 38.7 | 38.8 | 45.1 | 41.8 |
| 11 | 26.8 | 29.4 | 20.6 | 51.2 | 38.7 | 38.8 | 45.1 | 41.8 |
| 12 | 26.8 | 29.4 | 20.6 | 51.2 | 38.7 | 38.8 | 45.1 | 41.8 |
| Average | 28.9 | 23.7 | 19.2 | 38.8 | 24.2 | 20.2 | 28.0 | 29.8 |
| SWCPs | A | B | C | D | E | F | G | H |
|---|---|---|---|---|---|---|---|---|
| SAN (%) | 20.4 | 19.2 | 24.3 | 15.3 | 13.5 | 17.1 | 22.1 | 17.9 |
| SIL (%) | 53.7 | 52.7 | 52 | 58.7 | 65.7 | 59.1 | 56.1 | 58.5 |
| CLA (%) | 27.3 | 20.2 | 9.1 | 16.8 | 17.8 | 16.9 | 10.9 | 18.3 |
| SOM (%) | 0.9 | 0.8 | 0.65 | 1.2 | 1.1 | 1.16 | 0.99 | 1.24 |
| Dg (mm) | 0.9 | 1.1 | 0.7 | 0.8 | 0.7 | 0.8 | 0.9 | 0.8 |
| p | 2 | 3 | 4 | 2 | 2 | 2 | 3 | 2 |
| s | 3 | 3 | 3 | 3 | 3 | 3 | 3 | 3 |
| Knomo | 0.040 | 0.041 | 0.047 | 0.043 | 0.053 | 0.045 | 0.047 | 0.044 |
| Kepic | 0.052 | 0.054 | 0.054 | 0.054 | 0.056 | 0.053 | 0.053 | 0.052 |
| KDg | 0.038 | 0.031 | 0.048 | 0.042 | 0.048 | 0.042 | 0.038 | 0.042 |
| Kopt | 0.002 | 0.001 | 0.009 | 0.005 | 0.012 | 0.006 | 0.006 | 0.005 |
| SWCPs | MULSE | Calibration | Validation | |||||||||||||||
|---|---|---|---|---|---|---|---|---|---|---|---|---|---|---|---|---|---|---|
| Q | A | Q | A | |||||||||||||||
| a | b | Observed | Predicted | RMSE | NSE | Observed | Predicted | RMSE | NSE | Observed | Predicted | RMSE | NSE | Observed | Predicted | RMSE | NSE | |
| A | 3.109 | 1.621 | 1.38 | 1.35 | 0.65 | 0.72 | 4.28 | 3.52 | 5.04 | 0.54 | 1.01 | 1.21 | 0.66 | 0.65 | 9.97 | 10.75 | 8.31 | 0.65 |
| B | 3.409 | 1.631 | 0.82 | 0.84 | 0.28 | 0.81 | 2.04 | 1.55 | 1.59 | 0.93 | 1.14 | 1.44 | 0.82 | 0.58 | 11.86 | 12.24 | 8.39 | 0.46 |
| C | 2.849 | 1.231 | 1.33 | 1.21 | 0.66 | 0.58 | 11.5 | 8.66 | 6.6 | 0.75 | 1.38 | 1.94 | 0.87 | 0.58 | 28.48 | 27.42 | 8.05 | 0.88 |
| D | 1.681 | 1.15 | 1.6 | 1.76 | 0.47 | 0.92 | 15.9 | 15.86 | 19.51 | 0.53 | 1.72 | 2.15 | 1.11 | 0.74 | 38.44 | 46.43 | 14.53 | 0.89 |
| E | 1.609 | 1.233 | 1.19 | 1.26 | 0.65 | 0.82 | 6.67 | 6.83 | 6.71 | 0.73 | 1.54 | 1.74 | 0.88 | 0.76 | 25.28 | 24.3 | 15.44 | 0.57 |
| F | 3.023 | 1.288 | 1 | 1.18 | 0.49 | 0.83 | 7.44 | 7.54 | 7.22 | 0.65 | 1.34 | 1.54 | 0.97 | 0.67 | 21.4 | 26.98 | 14.56 | 0.7 |
| G | 2.509 | 1.319 | 0.96 | 1.15 | 0.4 | 0.74 | 11.7 | 7.54 | 10.73 | 0.54 | 1.16 | 1.42 | 1.11 | 0.43 | 22.34 | 28.5 | 19.51 | 0.43 |
| H | 2.559 | 1.258 | 1.01 | 1.15 | 0.48 | 0.83 | 4.68 | 4.27 | 4.6 | 0.72 | 1.18 | 1.64 | 1.12 | 0.41 | 15.61 | 15.15 | 12.8 | 0.48 |
| Average | 1.18 | 1.26 | 0.53 | 0.81 | 8.06 | 7.18 | 9.71 | 0.59 | 1.31 | 1.62 | 1.00 | 0.63 | 21.55 | 24.19 | 14.3 | 0.72 | ||
© 2020 by the authors. Licensee MDPI, Basel, Switzerland. This article is an open access article distributed under the terms and conditions of the Creative Commons Attribution (CC BY) license (http://creativecommons.org/licenses/by/4.0/).
Share and Cite
Cai, M.; An, C.; Guy, C.; Lu, C. Assessment of Soil and Water Conservation Practices in the Loess Hilly Region Using a Coupled Rainfall-Runoff-Erosion Model. Sustainability 2020, 12, 934. https://doi.org/10.3390/su12030934
Cai M, An C, Guy C, Lu C. Assessment of Soil and Water Conservation Practices in the Loess Hilly Region Using a Coupled Rainfall-Runoff-Erosion Model. Sustainability. 2020; 12(3):934. https://doi.org/10.3390/su12030934
Chicago/Turabian StyleCai, Mengfan, Chunjiang An, Christophe Guy, and Chen Lu. 2020. "Assessment of Soil and Water Conservation Practices in the Loess Hilly Region Using a Coupled Rainfall-Runoff-Erosion Model" Sustainability 12, no. 3: 934. https://doi.org/10.3390/su12030934
APA StyleCai, M., An, C., Guy, C., & Lu, C. (2020). Assessment of Soil and Water Conservation Practices in the Loess Hilly Region Using a Coupled Rainfall-Runoff-Erosion Model. Sustainability, 12(3), 934. https://doi.org/10.3390/su12030934

