Glycinebetaine-Induced Alteration in Gaseous Exchange Capacity and Osmoprotective Phenomena in Safflower (Carthamus tinctorius L.) under Water Deficit Conditions
Abstract
1. Introduction
2. Materials and Methods
2.1. Plant Material and Growth Condition
2.2. Chlorophyll Contents
2.3. Gas Exchange Parameters
2.4. Free Proline
2.5. Glycine Betaine (GB) Contents
2.6. Hydrogen Peroxide (H2O2) Concentration
2.7. Malondialdehyde (MDA) Contents
2.8. Total Phenolics
2.9. Ascorbic Acid Content
2.10. Relative Water Contents (RWC)
2.11. Statistical Analysis
3. Results
3.1. Growth Attributes
3.2. Chlorophyll Pigments
3.3. Gas Exchange Characteristics
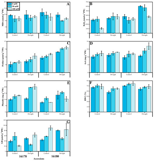
3.4. Osmoprotectants
3.5. Lipid Peroxidation
3.6. Antioxidants
3.7. Relative Water Content
3.8. Relationship
3.9. Principal Component Analysis
4. Discussion
5. Conclusions
Author Contributions
Funding
Acknowledgments
Conflicts of Interest
References
- Khan, M.N.; Zhang, J.; Luo, T.; Liu, J.; Rizwan, M.; Fahad, S.; Xu, Z.; Hu, L. Seed priming with melatonin coping drought stress in rapeseed by regulating reactive oxygen species detoxification: Antioxidant defense system, osmotic adjustment, stomatal traits and chloroplast ultrastructure perseveration. Ind. Crops Prod. 2019, 140, 111597. [Google Scholar] [CrossRef]
- Fahad, S.; Bajwa, A.A.; Nazir, U.; Anjum, S.A.; Farooq, A.; Zohaib, A.; Sadia, S.; Nasim, W.; Adkins, S.; Saud, S. Crop production under drought and heat stress: Plant responses and management options. Front. Plant Sci. 2017, 8, 1147. [Google Scholar] [CrossRef] [PubMed]
- Akram, N.A.; Iqbal, M.; Muhammad, A.; Ashraf, M.; Al-Qurainy, F.; Shafiq, S. Aminolevulinic acid and nitric oxide regulate oxidative defense and secondary metabolisms in canola (Brassica napus L.) under drought stress. Protoplasma 2018, 255, 163–174. [Google Scholar] [CrossRef] [PubMed]
- Farooq, M.; Irfan, M.; Aziz, T.; Ahmad, I.; Cheema, S. Seed priming with ascorbic acid improves drought resistance of wheat. J. Agron. Crop. Sci. 2013, 199, 12–22. [Google Scholar] [CrossRef]
- Liang, B.; Ma, C.; Zhang, Z.; Wei, Z.; Gao, T.; Zhao, Q.; Ma, F.; Li, C. Long-term exogenous application of melatonin improves nutrient uptake fluxes in apple plants under moderate drought stress. Environ. Exp. Bot. 2018, 155, 650–661. [Google Scholar] [CrossRef]
- Bashir, T.; Naz, S.; Bano, A. Plant Growth Promoting Rhizobacteria in Combination with Plant Growth Regulators Attenuate the Effect of Drought Stress. Pak. J. Bot 2020, 52, 783–792. [Google Scholar] [CrossRef]
- Alam, H.; Khattak, J.Z.K.; Ksiksi, T.S.; Saleem, M.H.; Fahad, S.; Sohail, H.; Ali, Q.; Zamin, M.; El-Esawi, M.A.; Saud, S. Negative impact of long-term exposure of salinity and drought stress on native Tetraena mandavillei L. Physiol. Plant. 2020. [Google Scholar] [CrossRef]
- Saleem, M.H.; Ali, S.; Rehman, M.; Hasanuzzaman, M.; Rizwan, M.; Irshad, S.; Shafiq, F.; Iqbal, M.; Alharbi, B.M.; Alnusaire, T.S. Jute: A Potential Candidate for Phytoremediation of Metals—A Review. Plants 2020, 9, 258. [Google Scholar] [CrossRef]
- Saleem, M.H.; Ali, S.; Hussain, S.; Kamran, M.; Chattha, M.S.; Ahmad, S.; Aqeel, M.; Rizwan, M.; Aljarba, N.H.; Alkahtani, S. Flax (Linum usitatissimum L.): A Potential Candidate for Phytoremediation? Biological and Economical Points of View. Plants 2020, 9, 496. [Google Scholar] [CrossRef]
- Yaseen, R.; Aziz, O.; Saleem, M.H.; Riaz, M.; Zafar-ul-Hye, M.; Rehman, M.; Ali, S.; Rizwan, M.; Nasser Alyemeni, M.; El-Serehy, H.A. Ameliorating the Drought Stress for Wheat Growth through Application of ACC-Deaminase Containing Rhizobacteria along with Biogas Slurry. Sustainability 2020, 12, 6022. [Google Scholar] [CrossRef]
- Saleem, M.; Ali, S.; Rehman, M.; Rana, M.; Rizwan, M.; Kamran, M.; Imran, M.; Riaz, M.; Hussein, M.; Elkelish, A.; et al. Influence of phosphorus on copper phytoextraction via modulating cellular organelles in two jute (Corchorus capsularis L.) varieties grown in a copper mining soil of Hubei Province, China. Chemosphere 2020. [Google Scholar] [CrossRef] [PubMed]
- Saleem, M.H.; Kamran, M.; Zhou, Y.; Parveen, A.; Rehman, M.; Ahmar, S.; Malik, Z.; Mustafa, A.; Anjum, R.M.A.; Wang, B. Appraising growth, oxidative stress and copper phytoextraction potential of flax (Linum usitatissimum L.) grown in soil differentially spiked with copper. J. Environ. Manag. 2020, 257, 109994. [Google Scholar] [CrossRef] [PubMed]
- Kamran, M.; Parveen, A.; Ahmar, S.; Malik, Z.; Hussain, S.; Chattha, M.S.; Saleem, M.H.; Adil, M.; Heidari, P.; Chen, J.-T. An Overview of Hazardous Impacts of Soil Salinity in Crops, Tolerance Mechanisms, and Amelioration through Selenium Supplementation. Int. J. Mol. Sci. 2019, 21, 148. [Google Scholar] [CrossRef] [PubMed]
- Rana, M.; Bhantana, P.; Sun, X.-C.; Imran, M.; Shaaban, M.; Moussa, M.; Hamzah Saleem, M.; Elyamine, A.; Binyamin, R.; Alam, M.; et al. Molybdenum as an Essential Element for Crops: An Overview. Int. J. Sci. Res. Growth 2020, 24, 18535. [Google Scholar]
- Saleem, M.H.; Fahad, S.; Khan, S.U.; Ahmar, S.; Khan, M.H.U.; Rehman, M.; Maqbool, Z.; Liu, L. Morpho-physiological traits, gaseous exchange attributes, and phytoremediation potential of jute (Corchorus capsularis L.) grown in different concentrations of copper-contaminated soil. Ecotoxicol. Environ. Saf. 2020, 189, 109915. [Google Scholar] [CrossRef] [PubMed]
- Saleem, M.H.; Rehman, M.; Kamran, M.; Afzal, J.; Noushahi, H.A.; Liu, L. Investigating the potential of different jute varieties for phytoremediation of copper-contaminated soil. Environ. Sci. Pollut. Res. 2020, 27, 30367–30377. [Google Scholar] [CrossRef] [PubMed]
- Saleem, M.H.; Fahad, S.; Khan, S.U.; Din, M.; Ullah, A.; Sabagh, A.E.L.; Hossain, A.; Llanes, A.; Liu, L. Copper-induced oxidative stress, initiation of antioxidants and phytoremediation potential of flax (Linum usitatissimum L.) seedlings grown under the mixing of two different soils of China. Environ. Sci. Pollut. Res. 2020, 27, 5211–5221. [Google Scholar] [CrossRef]
- Hussain, M.I.; Lyra, D.-A.; Farooq, M.; Nikoloudakis, N.; Khalid, N. Salt and drought stresses in safflower: A review. Agron. Sust. Dev. 2016, 36, 4. [Google Scholar] [CrossRef]
- Liu, L.; Guan, L.; Wu, W.; Wang, L. A review of fatty acids and genetic characterization of safflower (Carthamus tinctorius L.) seed oil. Org. Chem. Curr. Res. 2016, 5. [Google Scholar] [CrossRef]
- Delshad, E.; Yousefi, M.; Sasannezhad, P.; Rakhshandeh, H.; Ayati, Z. Medical uses of Carthamus tinctorius L.(safflower): A comprehensive review from traditional medicine to modern medicine. Electr. Phys. 2018, 10, 6672. [Google Scholar] [CrossRef]
- Zhang, T.; Hu, F.; Ma, L. Phosphate-solubilizing bacteria from safflower rhizosphere and their effect on seedling growth. Open Life Sci. 2019, 14, 246–254. [Google Scholar] [CrossRef]
- Khan, M.N.; Zhang, J.; Luo, T.; Liu, J.; Ni, F.; Rizwan, M.; Fahad, S.; Hu, L. Morpho-physiological and biochemical responses of tolerant and sensitive rapeseed cultivars to drought stress during early seedling growth stage. Acta Physiol. Plant. 2019, 41, 25. [Google Scholar] [CrossRef]
- Imran, M.; Sun, X.; Hussain, S.; Ali, U.; Rana, M.S.; Rasul, F.; Saleem, M.H.; Moussa, M.G.; Bhantana, P.; Afzal, J. Molybdenum-Induced Effects on Nitrogen Metabolism Enzymes and Elemental Profile of Winter Wheat (Triticum aestivum L.) Under Different Nitrogen Sources. Int. J. Mol. Sci. 2019, 20, 3009. [Google Scholar] [CrossRef] [PubMed]
- Rehman, M.; Yang, M.; Fahad, S.; Saleem, M.H.; Liu, L.; Liu, F.; Deng, G. Morpho-physiological traits, antioxidant capacity and nitrogen metabolism in Boehmeria nivea L. under nitrogen fertilizer. Agron. J. 2020. [Google Scholar] [CrossRef]
- Annunziata, M.G.; Ciarmiello, L.F.; Woodrow, P.; Dell’Aversana, E.; Carillo, P. Spatial and temporal profile of glycine betaine accumulation in plants under abiotic stresses. Front. Plant Sci. 2019, 10, 230. [Google Scholar] [CrossRef]
- Ali, S.; Chaudhary, A.; Rizwan, M.; Anwar, H.T.; Adrees, M.; Farid, M.; Irshad, M.K.; Hayat, T.; Anjum, S.A. Alleviation of chromium toxicity by glycinebetaine is related to elevated antioxidant enzymes and suppressed chromium uptake and oxidative stress in wheat (Triticum aestivum L.). Environ. Sci. Pollut. Res. 2015, 22, 10669–10678. [Google Scholar] [CrossRef]
- Ashraf, M.; Foolad, M.R. Roles of glycine betaine and proline in improving plant abiotic stress resistance. Environ. Exp. Bot. 2007, 59, 206–216. [Google Scholar] [CrossRef]
- Ashraf, M.; Foolad, M.; Ashraf, M.; Foolad, M. Improving plant abiotic-stress resistance by exogenous application of osmoprotectants glycine, betaine and proline. Environ. Exp. Bot. 2007, 59, 206–216. [Google Scholar] [CrossRef]
- You, L.; Song, Q.; Wu, Y.; Li, S.; Jiang, C.; Chang, L.; Yang, X.; Zhang, J. Accumulation of glycine betaine in transplastomic potato plants expressing choline oxidase confers improved drought tolerance. Planta 2019, 249, 1963–1975. [Google Scholar] [CrossRef]
- Wang, G.; Li, F.; Zhang, J.; Zhao, M.; Hui, Z.; Wang, W. Overaccumulation of glycine betaine enhances tolerance of the photosynthetic apparatus to drought and heat stress in wheat. Photosynthetica 2010, 48, 30–41. [Google Scholar] [CrossRef]
- Rohman, M.M.; Molla, M.; Rahman, M.M.; Ahmed, A.; Biswas, A.; Amiruzzaman, M. Proline and betaine upregulated glutathione dependent detoxification enzymes in tolerant maize seedlings under saline stress. J. Plant. Sci. 2015, 3, 294–302. [Google Scholar]
- Gupta, N.; Thind, S.K. Grain yield response of drought stressed wheat to foliar application of glycine betaine. Ind. J. Agric. Res. 2017, 51, 287–291. [Google Scholar]
- Arnon, D.I. Copper enzymes in isolated chloroplasts. Polyphenoloxidase in Beta vulgaris. Plant. Physiol. 1949, 24, 1. [Google Scholar] [CrossRef] [PubMed]
- Bates, L.S.; Waldren, R.P.; Teare, I. Rapid determination of free proline for water-stress studies. Plant Soil 1973, 39, 205–207. [Google Scholar] [CrossRef]
- Grieve, C.; Grattan, S. Rapid assay for determination of water soluble quaternary ammonium compounds. Plant Soil 1983, 70, 303–307. [Google Scholar] [CrossRef]
- Velikova, V.; Yordanov, I.; Edreva, A. Oxidative stress and some antioxidant systems in acid rain-treated bean plants: Protective role of exogenous polyamines. Plant Sci. 2000, 151, 59–66. [Google Scholar] [CrossRef]
- Cakmak, I.; Horst, W.J. Effect of aluminium on lipid peroxidation, superoxide dismutase, catalase, and peroxidase activities in root tips of soybean (Glycine max). Physiol. Plant. 1991, 83, 463–468. [Google Scholar] [CrossRef]
- Julkunen-Tiitto, R. Phenolic constituents in the leaves of northern willows: Methods for the analysis of certain phenolics. J. Agric. Food Chem. 1985, 33, 213–217. [Google Scholar] [CrossRef]
- Mukherjee, S.; Choudhuri, M. Implications of water stress-induced changes in the levels of endogenous ascorbic acid and hydrogen peroxide in Vigna seedlings. Physiol. Plant. 1983, 58, 166–170. [Google Scholar] [CrossRef]
- Barrs, H.; Weatherley, P. A re-examination of the relative turgidity technique for estimating water deficits in leaves. Aust. J. Biol. Sci. 1962, 15, 413–428. [Google Scholar] [CrossRef]
- Naveed, M.; Hussain, M.B.; Zahir, Z.A.; Mitter, B.; Sessitsch, A. Drought stress amelioration in wheat through inoculation with Burkholderia phytofirmans strain PsJN. Plant. Growth Regul. 2014, 73, 121–131. [Google Scholar] [CrossRef]
- Aziz, A.; Akram, N.A.; Ashraf, M. Influence of natural and synthetic vitamin C (ascorbic acid) on primary and secondary metabolites and associated metabolism in quinoa (Chenopodium quinoa Willd.) plants under water deficit regimes. Plant Physiol. Biochem. 2018, 123, 192–203. [Google Scholar] [CrossRef] [PubMed]
- Rebouças, D.M.; De Sousa, Y.M.; Bagard, M.; Costa, J.H.; Jolivet, Y.; De Melo, D.F.; Repellin, A. Combined effects of ozone and drought on the physiology and membrane lipids of two cowpea (Vigna unguiculata (L.) Walp) cultivars. Plants 2017, 6, 14. [Google Scholar] [CrossRef] [PubMed]
- Jabeen, M.; Akram, N.A.; AZIZ, M.A. ANIQA, Assessment of Biochemical Changes in Spinach (Spinacea oleracea L.) Subjected to Varying Water Regimes. Sains Malays. 2019, 48, 533–541. [Google Scholar] [CrossRef]
- Raza, M.; Saleem, M.; Shah, G.; Khan, I.; Raza, A. Exogenous application of glycinebetaine and potassium for improving water relations and grain yield of wheat under drought. J. Soil Sci. Plant Nutr. 2014, 14, 348–364. [Google Scholar] [CrossRef]
- Miri, H.R.; Armin, M. The interaction effect of drought and exogenous application of glycine betaine on corn (Zea mays L.). Eur. J. Exp. Biol. 2013, 3, 197–206. [Google Scholar]
- Saleem, M.H.; Ali, S.; Rehman, M.; Rizwan, M.; Kamran, M.; Mohamed, I.A.; Bamagoos, A.A.; Alharby, H.F.; Hakeem, K.R.; Liu, L. Individual and combined application of EDTA and citric acid assisted phytoextraction of copper using jute (Corchorus capsularis L.) seedlings. Environ. Technol. Innov. 2020, 19, 100895. [Google Scholar] [CrossRef]
- Saleem, M.H.; Ali, S.; Irshad, S.; Hussaan, M.; Rizwan, M.; Rana, M.S.; Hashem, A.; Abd_Allah, E.F.; Ahmad, P. Copper Uptake and Accumulation, Ultra-Structural Alteration, and Bast Fibre Yield and Quality of Fibrous Jute (Corchorus capsularis L.) Plants Grown Under Two Different Soils of China. Plants 2020, 9, 404. [Google Scholar] [CrossRef]
- Parveen, A.; Saleem, M.H.; Kamran, M.; Haider, M.Z.; Chen, J.-T.; Malik, Z.; Rana, M.S.; Hassan, A.; Hur, G.; Javed, M.T. Effect of Citric Acid on Growth, Ecophysiology, Chloroplast Ultrastructure, and Phytoremediation Potential of Jute (Corchorus capsularis L.) Seedlings Exposed to Copper Stress. Biomolecules 2020, 10, 592. [Google Scholar] [CrossRef]
- Saleem, M.H.; Ali, S.; Kamran, M.; Iqbal, N.; Azeem, M.; Tariq Javed, M.; Ali, Q.; Zulqurnain Haider, M.; Irshad, S.; Rizwan, M. Ethylenediaminetetraacetic Acid (EDTA) Mitigates the Toxic Effect of Excessive Copper Concentrations on Growth, Gaseous Exchange and Chloroplast Ultrastructure of Corchorus capsularis L. and Improves Copper Accumulation Capabilities. Plants 2020, 9, 756. [Google Scholar] [CrossRef]
- Saleem, M.H.; Ali, S.; Seleiman, M.F.; Rizwan, M.; Rehman, M.; Akram, N.A.; Liu, L.; Alotaibi, M.; Al-Ashkar, I.; Mubushar, M. Assessing the Correlations between Different Traits in Copper-Sensitive and Copper-Resistant Varieties of Jute (Corchorus capsularis L.). Plants 2019, 8, 545. [Google Scholar] [CrossRef]
- Saleem, M.H.; Rehman, M.; Zahid, M.; Imran, M.; Xiang, W.; Liu, L. Morphological changes and antioxidative capacity of jute (Corchorus capsularis, Malvaceae) under different color light-emitting diodes. Braz. J. Bot. 2019, 42, 581–590. [Google Scholar] [CrossRef]
- Ahmad, Z.; Waraich, E.A.; Ahmad, R.; Shahbaz, M. Modulation in water relations, chlorophyll contents and antioxidants activity of maize by foliar phosphorus application under drought stress. Pak. J. Bot. 2017, 49, 11–19. [Google Scholar]
- Hussain, M.; Farooq, S.; Hasan, W.; Ul-Allah, S.; Tanveer, M.; Farooq, M.; Nawaz, A. Drought stress in sunflower: Physiological effects and its management through breeding and agronomic alternatives. Agric. Water Manag. 2018, 201, 152–166. [Google Scholar] [CrossRef]
- Dehghani, I.; Mostajeran, A. Does compatibility of wheat cultivars with Azospirillum brasilense strains affect drought tolerance? Cereal Res. Commun. 2020, 48, 121–129. [Google Scholar] [CrossRef]
- Saleem, M.H.; Rehman, M.; Fahad, S.; Tung, S.A.; Iqbal, N.; Hassan, A.; Ayub, A.; Wahid, M.A.; Shaukat, S.; Liu, L.; et al. Leaf gas exchange, oxidative stress, and physiological attributes of rapeseed (Brassica napus L.) grown under different light-emitting diodes. Photosynthetica 2020, 58, 836–845. [Google Scholar] [CrossRef]
- Rana, M.S.; Hu, C.X.; Shaaban, M.; Imran, M.; Afzal, J.; Moussa, M.G.; Elyamine, A.M.; Bhantana, P.; Saleem, M.H.; Syaifudin, M. Soil phosphorus transformation characteristics in response to molybdenum supply in leguminous crops. J. Environ. Manag. 2020, 268, 110610. [Google Scholar] [CrossRef] [PubMed]
- Rehman, M.; Liu, L.; Wang, Q.; Saleem, M.H.; Bashir, S.; Ullah, S.; Peng, D. Copper environmental toxicology, recent advances, and future outlook: A review. Environ. Sci. Pollut. Res. 2019, 26, 1–14. [Google Scholar] [CrossRef]
- Chandra, D.; Srivastava, R.; Glick, B.R.; Sharma, A.K. Drought-tolerant Pseudomonas spp. improve the growth performance of finger millet (Eleusine coracana (L.) Gaertn.) under non-stressed and drought-stressed conditions. Pedosphere 2018, 28, 227–240. [Google Scholar] [CrossRef]
- Adrees, M.; Khan, Z.S.; Ali, S.; Hafeez, M.; Khalid, S.; ur Rehman, M.Z.; Hussain, A.; Hussain, K.; Chatha, S.A.S.; Rizwan, M. Simultaneous mitigation of cadmium and drought stress in wheat by soil application of iron nanoparticles. Chemosphere 2020, 238, 124681. [Google Scholar] [CrossRef]
- Schmidthoffer, I.; Szilák, L.; Molnár, P.; Csontos, P.; Skribanek, A. Drought tolerance of European barley (Hordeum vulgare L.) varieties. Agriculture (Pol’nohospodárstvo) 2018, 64, 137–142. [Google Scholar] [CrossRef]
- Rivas, R.; Falcão, H.; Ribeiro, R.; Machado, E.; Pimentel, C.; Santos, M. Drought tolerance in cowpea species is driven by less sensitivity of leaf gas exchange to water deficit and rapid recovery of photosynthesis after rehydration. S. Afr. J. Bot. 2016, 103, 101–107. [Google Scholar] [CrossRef]
- Maqsood, A.; Shahbaz, M.; Akram, N.A. Influence of Exogenously Applied Glycinebetaine on Growth and Gas Exchange Characteristics of Maize (Zea mays L.). Pak. J. Agric. Sci 2006, 43, 1–2. [Google Scholar]
- Anjum, S.A.; Ashraf, U.; Tanveer, M.; Khan, I.; Hussain, S.; Zohaib, A.; Abbas, F.; Saleem, M.F.; Wang, L. Drought tolerance in three maize cultivars is related to differential osmolyte accumulation, antioxidant defense system, and oxidative damage. Front. Plant. Sci. 2017, 8, 69. [Google Scholar]
- Iqbal, N.; Ashraf, M.; Ashraf, M. Influence of exogenous glycine betaine on gas exchange and biomass production in sunflower (Helianthus annuus L.) under water limited conditions. J. Agron. Crop. Sci. 2009, 195, 420–426. [Google Scholar] [CrossRef]
- Rehman, M.; Liu, L.; Bashir, S.; Saleem, M.H.; Chen, C.; Peng, D.; Siddique, K.H. Influence of rice straw biochar on growth, antioxidant capacity and copper uptake in ramie (Boehmeria nivea L.) grown as forage in aged copper-contaminated soil. Plant. Physiol. Biochem. 2019, 138, 121–129. [Google Scholar] [CrossRef]
- Saleem, M.H.; Fahad, S.; Rehman, M.; Saud, S.; Jamal, Y.; Khan, S.; Liu, L. Morpho-physiological traits, biochemical response and phytoextraction potential of short-term copper stress on kenaf (Hibiscus cannabinus L.) seedlings. PeerJ 2020, 8, e8321. [Google Scholar] [CrossRef]
- Nath, A.K.; Kumari, S.; Sharma, D. In vitro selection and characterization of water stress tolerant cultures of bell pepper. Ind. J. Plant Physiol. 2005, 10, 14. [Google Scholar]
- Qayyum, A.; Razzaq, A.; Ahmad, M.; Jenks, M.A. Water stress causes differential effects on germination indices, total soluble sugar and proline content in wheat (Triticum aestivum L.) genotypes. Afr. J. Biotechnol. 2011, 10, 14038–14045. [Google Scholar]
- Zafar, S.; Ashraf, M.Y.; Niaz, M.; Kausar, A.; Hussain, J. Evaluation of wheat genotypes for salinity tolerance using physiological indices as screening tool. Pak. J. Bot. 2015, 47, 397–405. [Google Scholar]
- Hossain, B.; Akhtar, M. Growth and yield of barley (Hordeum vulgare L.) as affected by irrigation, sowing method and phosphorus level. Acad. J. Agric. Res. 2014, 2, 30–35. [Google Scholar]
- Akram, N.A.; Shafiq, F.; Ashraf, M. Ascorbic acid-a potential oxidant scavenger and its role in plant development and abiotic stress tolerance. Front. Plant Sci. 2017, 8, 613. [Google Scholar] [CrossRef] [PubMed]
- Sečenji, M.; Hideg, E.; Bebes, A.; Györgyey, J. Transcriptional differences in gene families of the ascorbate–glutathione cycle in wheat during mild water deficit. Plant. Cell Rep. 2010, 29, 37–50. [Google Scholar] [CrossRef] [PubMed]
- Ma, X.; Wang, Y.; Xie, S.; Wang, C.; Wang, W. Glycinebetaine application ameliorates negative effects of drought stress in tobacco. Russ. J. Plant. Physiol. 2007, 54, 472. [Google Scholar] [CrossRef]





| Source of Variations | df | Shoot FW | Shoot DW | Root FW | Root DW | Shoot Length | Root Length |
|---|---|---|---|---|---|---|---|
| Cultivars (Cv) | 1 | 0.0020 ns | 2.5 ns | 1.111 ns | 1.361 ns | 1.777 ns | 2.054 ns |
| Drought stress (D) | 1 | 0.2256 *** | 0.0090 *** | 0.026 *** | 0.003 *** | 19.067 ** | 24.337 *** |
| Treatment (T) | 2 | 0.1035 *** | 0.0043 *** | 0.011 *** | 0.001 *** | 10.350 ** | 7.621 *** |
| Cv × D | 1 | 0.0600 ** | 2.5 ns | 1.777 ns | 6.944 ns | 1.867 ns | 6.933 ns |
| Cv × T | 2 | 0.0050 ns | 1.583 ns | 2.194 ns | 2.777 ns | 0.166 ns | 0.217 ns |
| D × T | 2 | 0.0009 ns | 1.583 ns | 0.003 * | 3.694 ns | 0.371 ns | 0.174 ns |
| Cv × D × T | 2 | 0.0181 ns | 1.083 ns | 9.361 ns | 3.611 ns | 0.923 ns | 0.37 ns |
| Error | 24 | 0.0069 | 3.916 | 8.5 | 1.138 | 1.377 | 0.652 |
| Chlorophyll a | Chlorophyll b | Total Chlorophyll | Chlorophyll a/b Ratio | Photosynthetic Rate (A) | Transpiration Rates (E) | ||
| Cultivars (Cv) | 1 | 0.062 ** | 0.0207 ** | 0.007 ns | 0.095 ns | 0.232 ns | 0.011 * |
| Drought stress (D) | 1 | 0.072 ** | 0.0239 ** | 0.322 *** | 0.069 ns | 14.83 *** | 0.0096 ns |
| Treatment (T) | 2 | 0.039 ** | 0.010 * | 0.018 ns | 0.181 ns | 0.817 ns | 0.0073 ns |
| Cv × D | 1 | 3.508 ns | 0.004 ns | 0.219 *** | 0.861 ns | 1.899 * | 0.0084 ns |
| Cv × T | 2 | 0.004 ns | 7.303 ns | 0.001 ns | 0.039 ns | 0.033 ns | 0.0019 ns |
| D × T | 2 | 0.001 ns | 4.515 ns | 9.113 ns | 0.016 ns | 0.15 ns | 0.027 ns |
| Cv × D × T | 2 | 0.001 ns | 0.002 ns | 0.001 ns | 0.004 ns | 0.094 ns | 0.001 ns |
| Error | 24 | 0.0069 | 0.002 | 0.008 | 0.326 ns | 0.329 | 0.0023 |
| Stomatal Conductance (gs) | Sub-stomatal CO2 Concentration (Ci) | Ci/Ca ratio | Water-Use Efficiency(A/E) | Proline | GB | ||
| Cultivars (Cv) | 1 | 498.77 ** | 3664.2 * | 0.0295 * | 29.71 ns | 90.342 *** | 5460.05 *** |
| Drought stress (D) | 1 | 484 ** | 3098.7 ns | 0.0250 ns | 130.06 * | 37.394 *** | 415.1 ns |
| Treatment (T) | 2 | 206.58 * | 4054.8 * | 0.0327 * | 7.203 ns | 7.086 ** | 897.8 * |
| Cv × D | 1 | 113.7 ns | 536.6 ns | 0.0043 ns | 1.5059 ns | 2.393 ns | 0.458 ns |
| Cv × T | 2 | 35.19 ns | 16.603 ns | 1.34 ns | 23.3928 ns | 0.034 ns | 930.7 * |
| D × T | 2 | 8.5833 ns | 46.92 ns | 3.7875 ns | 5.4902 ns | 0.344 ns | 1733.8 ** |
| Cv × D × T | 2 | 16.861 ns | 408.3 ns | 0.0032 ns | 1.1206 ns | 0.476 ns | 1331.3 ** |
| Error | 24 | 41.75 | 807.6 | 0.0065 | 18.796 | 1.031 | 234.9 |
| MDA | AsA | H2O2 | Total Phenolics | RWC | |||
| Cultivars (Cv) | df | 1.078 ns | 3.187 ns | 13337 *** | 199.28 *** | 344.0 * | |
| Drought stress (D) | 1 | 3.914 ns | 17.490 ns | 211408.3 *** | 390.72 *** | 757.4 *** | |
| Treatment (T) | 1 | 21.825 ns | 19.689 * | 44144.0 ** | 102.68 ** | 182.5 * | |
| Cv × D | 2 | 17.647 ns | 4.765 ns | 10378.5 ns | 1.52 ns | 1.028 ns | |
| Cv × T | 1 | 0.756 ns | 2.573 ns | 6929.9 ns | 94.39 ** | 6.005 ns | |
| D × T | 2 | 2.337 ns | 1.891 ns | 1049.7 ns | 10.0 ns | 14.29 ns | |
| Cv × D × T | 2 | 1.040 ns | 2.233 ns | 44941.7 ** | 37.02 ns | 10.39 ns | |
| Error | 2 | 8.276 | 4.190 | 6175.0 | 11.032 | 51.24 ns |
Publisher’s Note: MDPI stays neutral with regard to jurisdictional claims in published maps and institutional affiliations. |
© 2020 by the authors. Licensee MDPI, Basel, Switzerland. This article is an open access article distributed under the terms and conditions of the Creative Commons Attribution (CC BY) license (http://creativecommons.org/licenses/by/4.0/).
Share and Cite
Nazar, Z.; Akram, N.A.; Saleem, M.H.; Ashraf, M.; Ahmed, S.; Ali, S.; Abdullah Alsahli, A.; Alyemeni, M.N. Glycinebetaine-Induced Alteration in Gaseous Exchange Capacity and Osmoprotective Phenomena in Safflower (Carthamus tinctorius L.) under Water Deficit Conditions. Sustainability 2020, 12, 10649. https://doi.org/10.3390/su122410649
Nazar Z, Akram NA, Saleem MH, Ashraf M, Ahmed S, Ali S, Abdullah Alsahli A, Alyemeni MN. Glycinebetaine-Induced Alteration in Gaseous Exchange Capacity and Osmoprotective Phenomena in Safflower (Carthamus tinctorius L.) under Water Deficit Conditions. Sustainability. 2020; 12(24):10649. https://doi.org/10.3390/su122410649
Chicago/Turabian StyleNazar, Zanib, Nudrat Aisha Akram, Muhammad Hamzah Saleem, Muhammad Ashraf, Shakeel Ahmed, Shafaqat Ali, Abdulaziz Abdullah Alsahli, and Mohammed Nasser Alyemeni. 2020. "Glycinebetaine-Induced Alteration in Gaseous Exchange Capacity and Osmoprotective Phenomena in Safflower (Carthamus tinctorius L.) under Water Deficit Conditions" Sustainability 12, no. 24: 10649. https://doi.org/10.3390/su122410649
APA StyleNazar, Z., Akram, N. A., Saleem, M. H., Ashraf, M., Ahmed, S., Ali, S., Abdullah Alsahli, A., & Alyemeni, M. N. (2020). Glycinebetaine-Induced Alteration in Gaseous Exchange Capacity and Osmoprotective Phenomena in Safflower (Carthamus tinctorius L.) under Water Deficit Conditions. Sustainability, 12(24), 10649. https://doi.org/10.3390/su122410649

