Mitigation of Osmotic Stress in Cotton for the Improvement in Growth and Yield through Inoculation of Rhizobacteria and Phosphate Solubilizing Bacteria Coated Diammonium Phosphate
Abstract
1. Introduction
2. Materials and Methods
2.1. Experiment Site and Soil Characteristics
2.2. Treatments
2.3. Field Preparation
2.4. Fertilizer Application
2.5. Pest Management
2.6. Harvesting and Data Collection
2.7. Chlorophyll Contents and Total Dry Matter
2.8. Crop Growth Rate
2.9. Statistical Analyses
3. Results
3.1. Plant Height, Sympodial Branches Plant−1, and Nodes Plant−1
3.2. Bolls Plant−1, Boll Weight, and Seed Cotton Yield
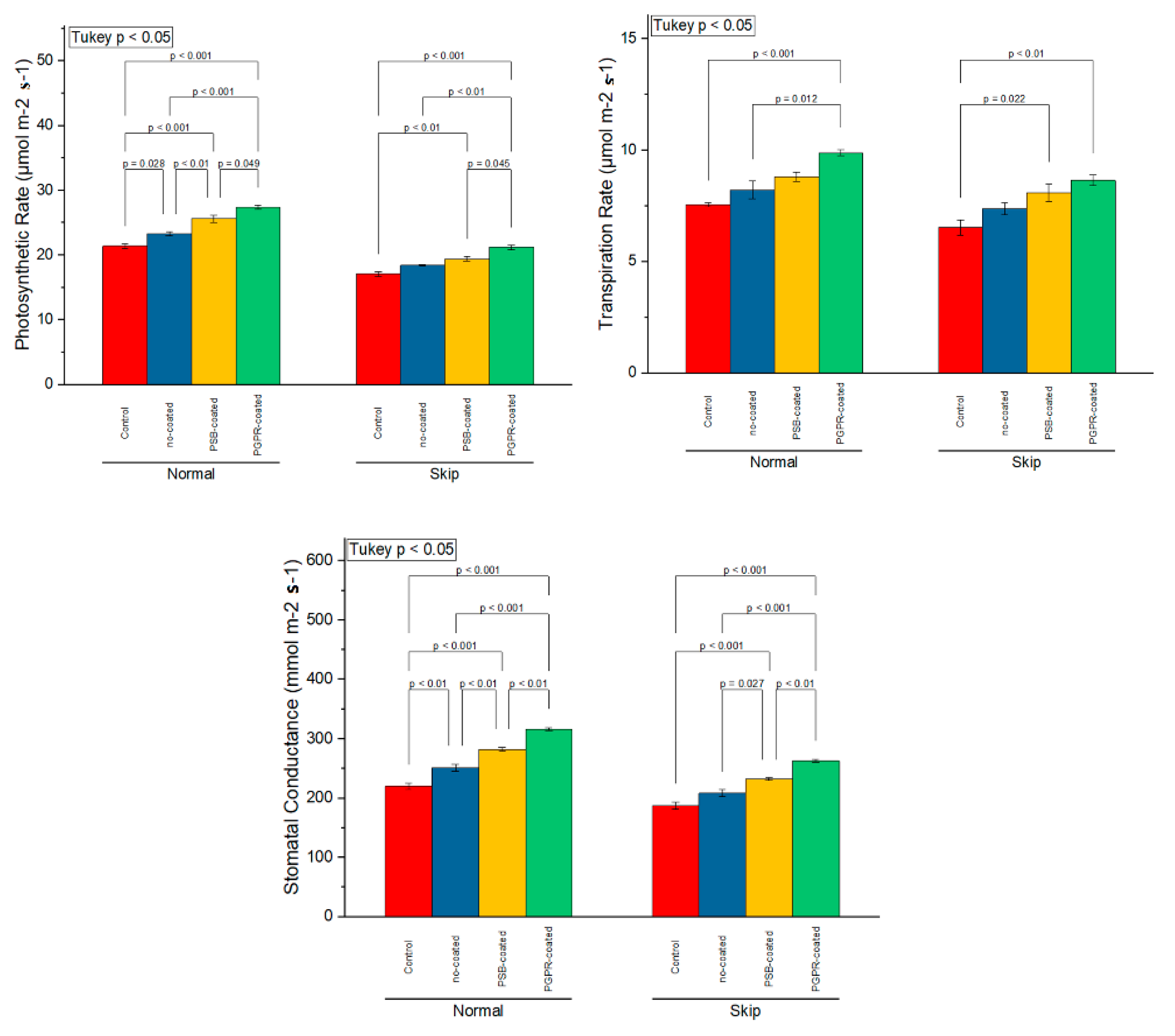
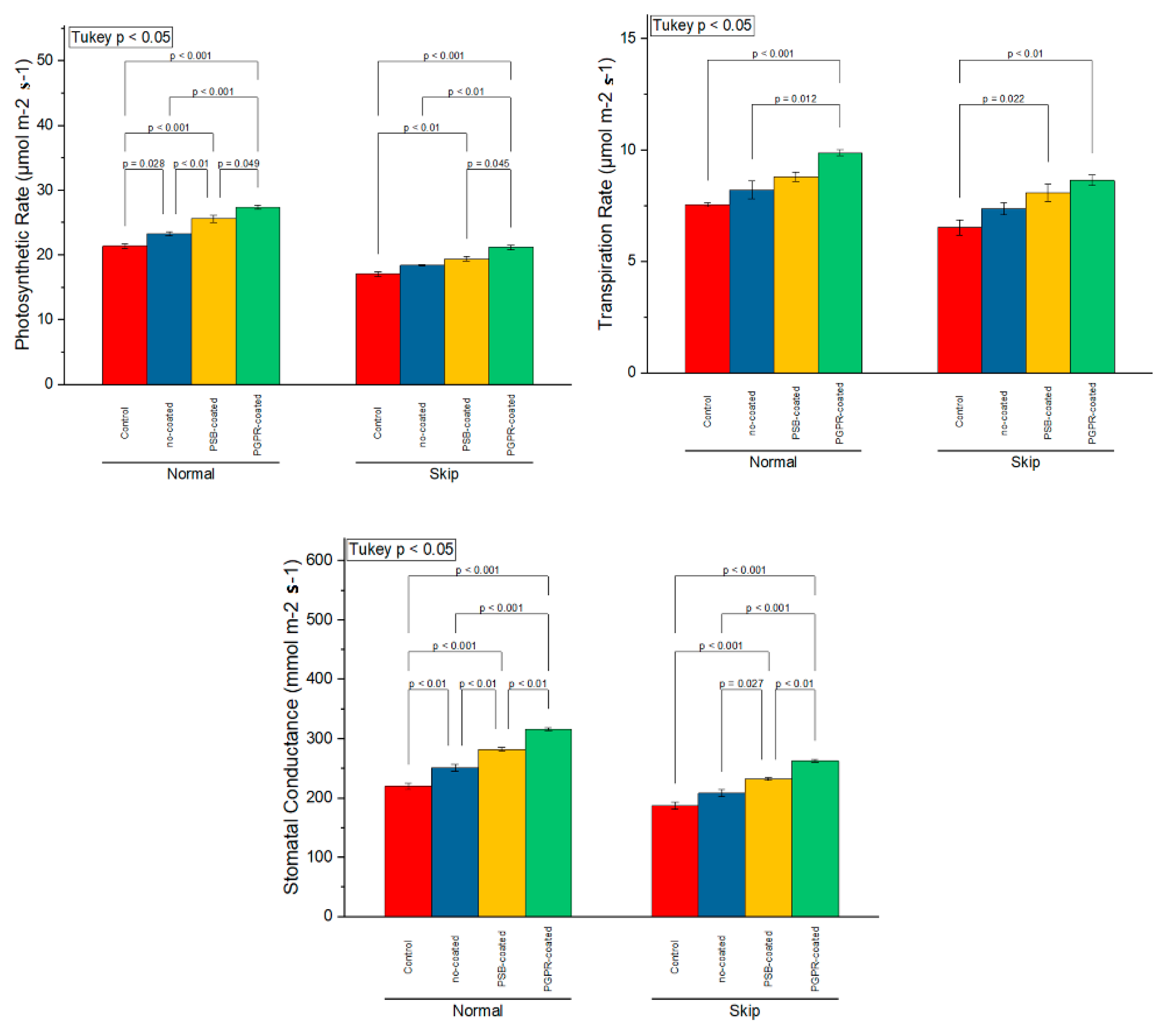
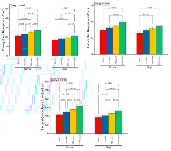
3.3. Photosynthetic Rate, Stomatal Conductance, and Transpiration Rate
3.4. Leaf Area Index, Chlorophyll Contents, and Total Dry Matter
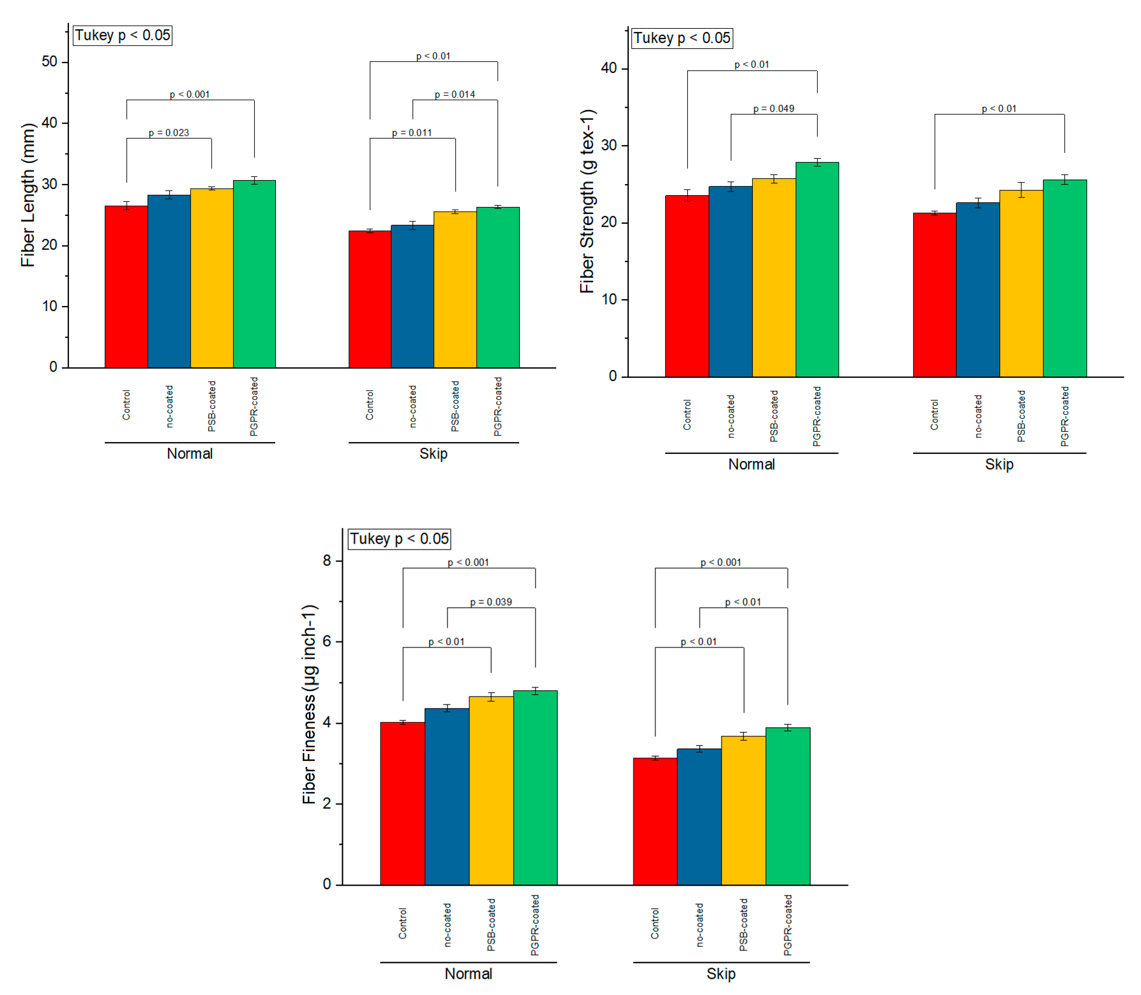
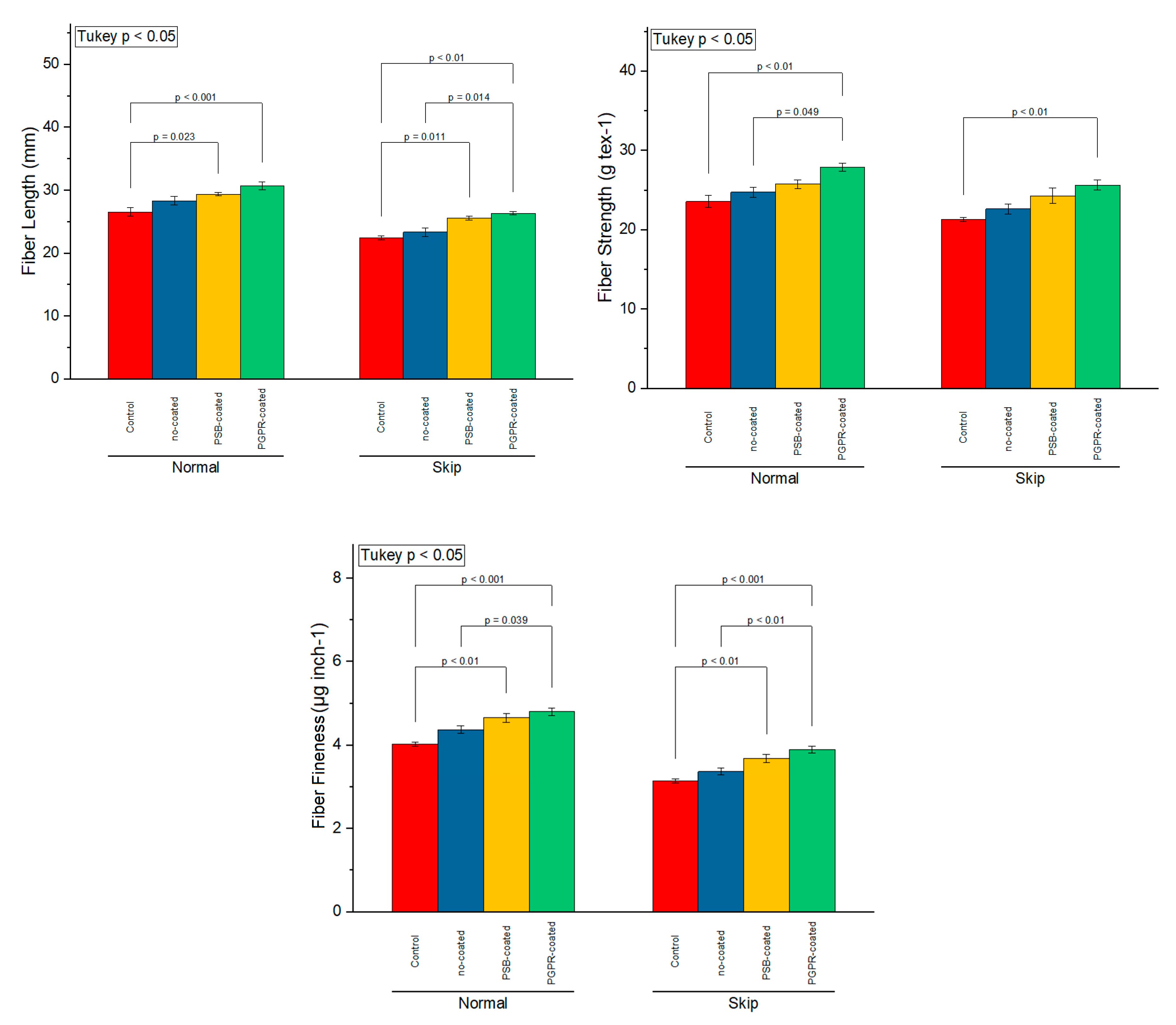
3.5. Fiber Length, Fiber Strength, and Fiber Fineness
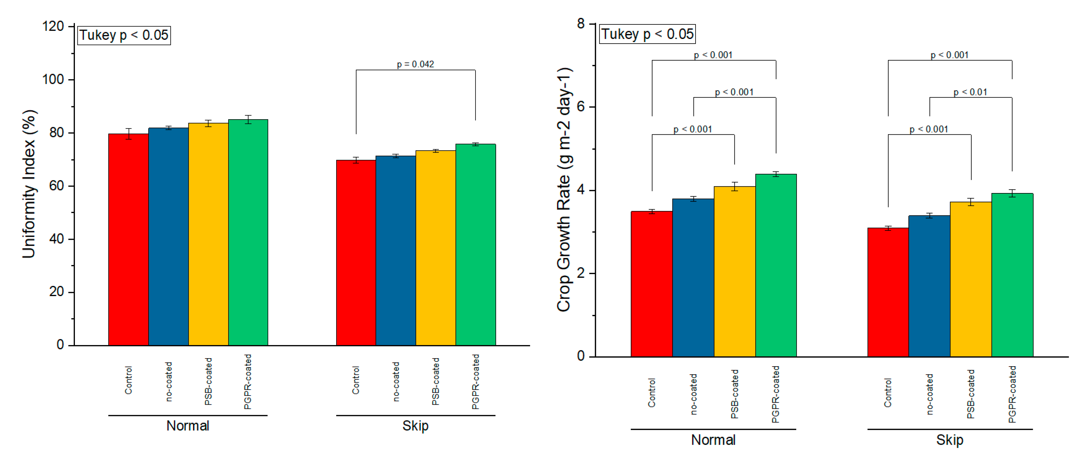
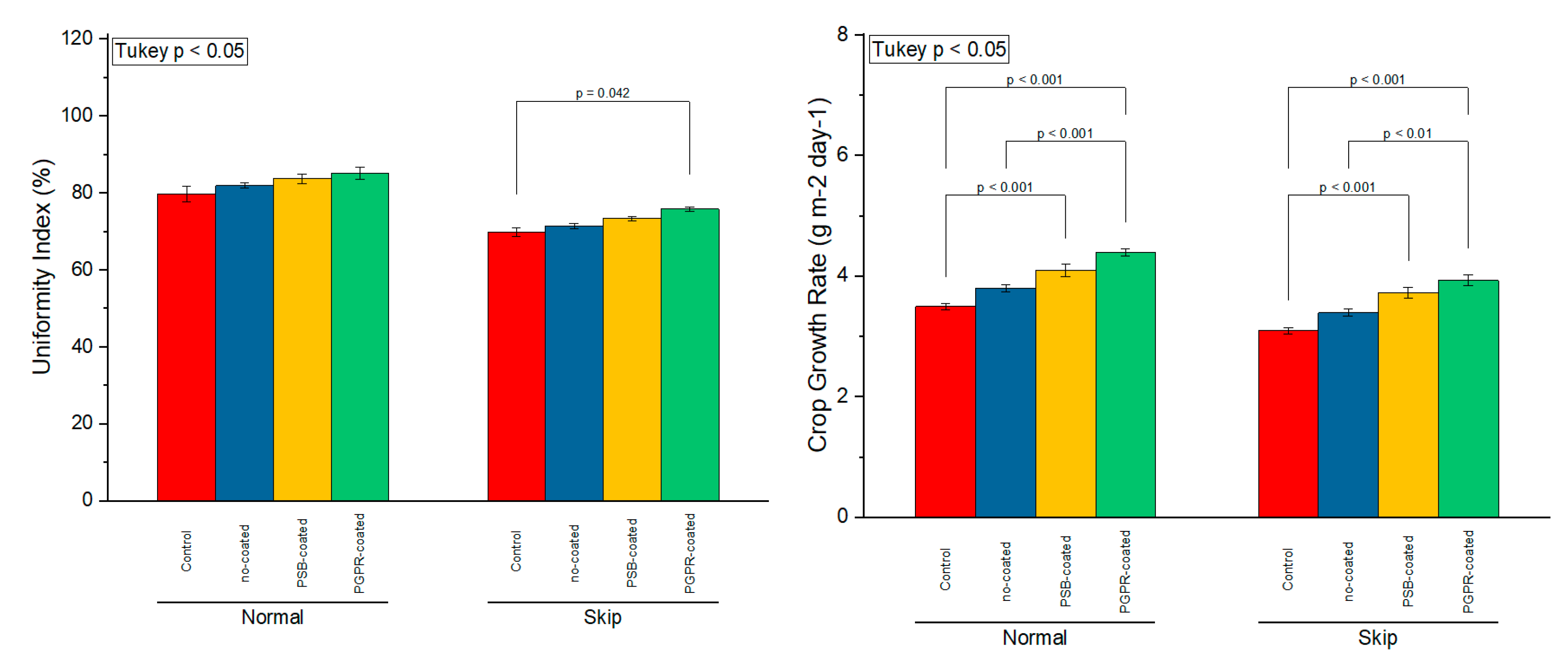
3.6. Uniformity Index and Crop Growth Rate
4. Discussion
5. Conclusions
Author Contributions
Funding
Acknowledgments
Conflicts of Interest
References
- GOP. Economic Survey of Pakistan; Finance Division, Economic Advisory Wing; Government of Pakistan: Islamabad, Pakistan, 2013. Available online: http://www.finance.gov.pk/survey_1314.html (accessed on 5 March 2017).
- GOP. Agricultural Statistics of Pakistan. Available online: http://dai.agripunjab.gov.pk/system/files/OnionPlan2019-20_0.pdf (accessed on 23 September 2019).
- Danish, S.; Kiran, S.; Fahad, S.; Ahmad, N.; Ali, M.A.; Tahir, F.A.; Rasheed, M.K.; Shahzad, K.; Li, X.; Wang, D.; et al. Alleviation of chromium toxicity in maize by Fe fortification and chromium tolerant ACC deaminase producing plant growth promoting rhizobacteria. Ecotoxicol. Environ. Saf. 2019, 185, 109706. [Google Scholar] [CrossRef] [PubMed]
- Shah, A.A.; Bibi, F.; Hussain, I.; Yasin, N.A.; Akram, W.; Tahir, M.S.; Ali, H.M.; Salem, M.Z.M.; Siddiqui, M.H.; Danish, S.; et al. Synergistic effect of bacillus thuringiensis iags 199 and putrescine on alleviating cadmium-induced phytotoxicity in capsicum annum. Plants 2020, 9, 1512. [Google Scholar] [CrossRef] [PubMed]
- Adnan, M.; Fahad, S.; Zamin, M.; Shah, S.; Mian, I.A.; Danish, S.; Zafar-ul-Hye, M.; Battaglia, M.L.; Naz, R.M.M.; Saeed, B.; et al. Coupling Phosphate-Solubilizing Bacteria with Phosphorus Supplements Improve Maize Phosphorus Acquisition and Growth under Lime Induced Salinity Stress. Plants 2020, 9, 900. [Google Scholar] [CrossRef] [PubMed]
- Zafar-ul-Hye, M.; Tahzeeb-ul-Hassan, M.; Abid, M.; Fahad, S.; Brtnicky, M.; Dokulilova, T.; Datta, R.; Danish, S. Potential role of compost mixed biochar with rhizobacteria in mitigating lead toxicity in spinach. Sci. Rep. 2020, 10, 69183. [Google Scholar] [CrossRef]
- Ullah, A.; Ali, M.; Shahzad, K.; Ahmad, F.; Iqbal, S.; Habib, M.; Rahman, U.; Ahmad, S.; Iqbal, M.M. Impact of Seed Dressing and Soil Application of Potassium Humate on Cotton Plants Productivity and Fiber Quality. Plants 2020, 9, 1444. [Google Scholar] [CrossRef]
- Rafiullah, R.; Tariq, M.; Khan, F.; Shah, A.; Fahad, S.; Wahid, F.; Ali, J.; Adnan, M.; Ahmad, M.; Irfan, M.; et al. Effect of micronutrients foliar supplementation on the production and eminence of plum. Qual. Assur. Saf. Crop. Foods 2020, 12, 32–40. [Google Scholar] [CrossRef]
- Hejnák, V.; Tatar, Ö.; Atasoy, G.D.; Martinková, J.; Çelen, A.E.; Hnilička, F.; Skalický, M. Growth and photosynthesis of Upland and Pima cotton: Response to drought and heat stress. Plant Soil Environ. 2016, 61, 507–514. [Google Scholar] [CrossRef]
- Plaut, Z.; Carmi, A.; Grava, A. Cotton root and shoot responses to subsurface drip irrigation and partial wetting of the upper soil profile. Irrig. Sci. 1996, 16, 107–113. [Google Scholar] [CrossRef]
- Guinn, G.; Dunlap, J.R.; Brummett, D.L. Influence of Water Deficits on the Abscisic Acid and Indole-3-Acetic Acid Contents of Cotton Flower Buds and Flowers. Plant Physiol. 1990, 93, 1117–1120. [Google Scholar] [CrossRef]
- Makbul, S.; Güler, N.S.; Durmuş, N.; Güven, S. Changes in anatomical and physiological parameters of soybean under drought stress. Turk. J. Bot. 2011, 35, 369–377. [Google Scholar]
- Danish, S.; Zafar-Ul-Hye, M.; Hussain, S.; Riaz, M.; Qayyum, M.F. Mitigation of drought stress in maize through inoculation with drought tolerant ACC deaminase containing PGPR under axenic conditions. Pak. J. Bot. 2020, 52, 49–60. [Google Scholar] [CrossRef]
- Danish, S.; Zafar-ul-Hye, M.; Mohsin, F.; Hussain, M. ACC-deaminase producing plant growth promoting rhizobacteria and biochar mitigate adverse effects of drought stress on maize growth. PLoS ONE 2020, 15, e0230615. [Google Scholar] [CrossRef] [PubMed]
- Danish, S.; Zafar-ul-Hye, M. Combined role of ACC deaminase producing bacteria and biochar on cereals productivity under drought. Phyton 2020, 89, 217–227. [Google Scholar] [CrossRef]
- Danish, S.; Zafar-ul-Hye, M. Co-application of ACC-deaminase producing PGPR and timber-waste biochar improves pigments formation, growth and yield of wheat under drought stress. Sci. Rep. 2019, 9, 5999. [Google Scholar] [CrossRef]
- Garg, B.K.; Burman, U.; Kathju, S. The influence of phosphorus nutrition on the physiological response of moth bean genotypes to drought. J. Plant Nutr. Soil Sci. 2004, 167, 503–508. [Google Scholar] [CrossRef]
- Danish, S.; Ameer, A.; Qureshi, T.I.; Younis, U.; Manzoor, H.; Shakeel, A.; Ehsanullah, M. Influence of biochar on growth and photosynthetic attributes of Triticum aestivum L. under half and full irrigation. Int. J. Biosci. 2014, 5, 101–108. [Google Scholar]
- Danish, S.; Zafar-ul-Hye, M.; Fahad, S.; Saud, S.; Brtnicky, M.; Hammerschmiedt, T.; Datta, R. Drought Stress Alleviation by ACC Deaminase Producing Achromobacter xylosoxidans and Enterobacter cloacae, with and without Timber Waste Biochar in Maize. Sustainability 2020, 12, 6286. [Google Scholar] [CrossRef]
- Cortina, J.; Vilagrosa, A.; Trubat, R. The role of nutrients for improving seedling quality in drylands. New For. 2013, 44, 719–732. [Google Scholar] [CrossRef]
- Rafiullah, R.; Khan, M.J.; Muhammad, D.; Fahad, S.; Adnan, M.; Wahid, F.; Alamri, S.; Khan, F.; Dawar, K.M.; Irshad, I.; et al. Phosphorus Nutrient Management through Synchronization of Application Methods and Rates in Wheat and Maize Crops. Plants 2020, 9, 1389. [Google Scholar] [CrossRef]
- Wahid, F.; Fahad, S.; Danish, S.; Adnan, M.; Yue, Z.; Saud, S.; Siddiqui, M.H.; Brtnicky, M.; Hammerschmiedt, T.; Datta, R. Sustainable management with mycorrhizae and phosphate solubilizing bacteria for enhanced phosphorus uptake in calcareous soils. Agriculture 2020, 10, 334. [Google Scholar] [CrossRef]
- Danish, S.; Younis, U.; Akhtar, N.; Ameer, A.; Ijaz, M.; Nasreen, S.; Huma, F.; Sharif, S.; Ehsanullah, M. Phosphorus solubilizing bacteria and rice straw biochar consequence on maize pigments synthesis. Int. J. Biosci. 2015, 5, 31–39. [Google Scholar]
- Ahmed, N.; Ahsen, S.; Ali, M.A.; Hussain, M.B.; Hussain, S.B.; Rasheed, M.K.; Butt, B.; Irshad, I.; Danish, S. Rhizobacteria and silicon synergy modulates the growth, nutrition and yield of mungbean under saline soil. Pak. J. Bot. 2020, 52, 9–15. [Google Scholar] [CrossRef]
- Zafar-ul-Hye, M.; Danish, S.; Abbas, M.; Ahmad, M.; Munir, T.M. ACC deaminase producing PGPR Bacillus amyloliquefaciens and Agrobacterium fabrum along with biochar improve wheat productivity under drought stress. Agronomy 2019, 9, 343. [Google Scholar] [CrossRef]
- Zafar-ul-Hye, M.; Zahra, M.B.; Danish, S.; Abbas, M.; Rehim, A.; Akbar, M.N.; Iftikhar, A.; Gul, M.; Nazir, I.; Abid, M.; et al. Multi-strain inoculation with pgpr producing acc deaminase is more effective than single-strain inoculation to improve wheat (Triticum aestivum) growth and yield. Phyton 2020, 89, 405–413. [Google Scholar] [CrossRef]
- Mandal, S.; Dutta, P.; Umdar, S.M.A.J. Plant growth promoting and antagonistic activity of bacillus strains isolated from rice rhizosphere. Int. J. Pharma Bio. Sci. 2017, 8, 408–415. [Google Scholar] [CrossRef]
- Tara, N.; Ali, M.A.; Ahmad, N.; Danish, S.; Hassan, W.; Saba, T.; Hussain, M.B. Evaluation of Phosphate Solubilizing Bacteria Role with Biochar on the Growth of Wheat. Int. J. Biosci. 2019, 14, 349–356. [Google Scholar]
- Sharma, S.; Kumar, V.; Tripathi, R.B. Isolation of Phosphate Solubilizing Microorganism (PSMs) from Soil. J. Microbiol. Biotechnol. Res. Sch. Res. Libr. J. Microbiol. Biotech. Res. 2011, 1, 90–95. [Google Scholar]
- Ahmad, F.; Ahmad, I.; Khan, M.S. Screening of free-living rhizospheric bacteria for their multiple plant growth promoting activities. Microbiol. Res. 2008, 163, 173–181. [Google Scholar] [CrossRef]
- Gholami, A.; Shahsavani, S.; Nezarat, S. The Effect of Plant Growth Promoting Rhizobacteria (PGPR) on Germination, Seedling Growth and Yield of Maize. Int. J. Biol. Life Sci. 2009, 5, 19–24. [Google Scholar]
- Nadeem, S.M.; Zahir, Z.A.; Naveed, M.; Arshad, M. Rhizobacteria containing ACC-deaminase confer salt tolerance in maize grown on salt-affected fields. Can. J. Microbiol. 2009, 55, 1302–1309. [Google Scholar] [CrossRef]
- Wu, Q.S.; Srivastava, A.K.; Zou, Y.N. AMF-induced tolerance to drought stress in citrus: A review. Sci. Hortic. (Amst.) 2013, 164, 77–87. [Google Scholar] [CrossRef]
- Xu, H.; Lu, Y.; Tong, S. Effects of arbuscular mycorrhizal fungi on photosynthesis and chlorophyll fluorescence of maize seedlings under salt stress. Emir. J. Food Agric. 2018, 30, 199–204. [Google Scholar]
- Mondal, M.; Skalicky, M.; Garai, S.; Hossain, A. Supplementing nitrogen in combination with rhizobium inoculation and soil mulch in Peanut (Arachis hypogaea L.) production system: Part II. Effect on phenology, growth, yield attributes, pod quality, profitability and nitrogen use efficiency. Agron. J. 2020, 10, 513. [Google Scholar] [CrossRef]
- Whitaker, J.R.; Ritchie, G.L.; Bednarz, C.W.; Mills, C.I. Cotton subsurface drip and overhead irrigation efficiency, maturity, yield, and quality. Agron. J. 2008, 100, 1763–1768. [Google Scholar] [CrossRef]
- Gerik, T.J.; Faver, K.L.; Thaxton, P.M.; El-Zik, K.M. Late Season Water Stress in Cotton: I. Plant Growth, Water Use, and Yield. Crop Sci. 1996, 36, 914–921. [Google Scholar] [CrossRef]
- Tank, N.; Saraf, M. Phosphate solubilization, exopolysaccharide production and indole acetic acid secretion by rhizobacteria isolated from Trigonella foenum-graecum. Indian J. Microbiol. 2003, 43, 37–40. [Google Scholar]
- Zahid, M.; Abbasi, M.K.; Hameed, S.; Rahim, N. Isolation and identification of indigenous plant growth promoting rhizobacteria from Himalayan region of Kashmir and their effect on improving growth and nutrient contents of maize (Zea mays L.). Front. Microbiol. 2015, 6, 207. [Google Scholar] [CrossRef]
- Majeed, A.; Abbasi, M.K.; Hameed, S.; Imran, A.; Rahim, N. Isolation and characterization of plant growth-promoting rhizobacteria from wheat rhizosphere and their effect on plant growth promotion. Front. Microbiol. 2015, 6, 198. [Google Scholar] [CrossRef]
- Watson, D.J. The Physiological Basis of Variation in Yield. Adv. Agron. 1952, 4, 101–145. [Google Scholar]
- R_Core_Team. R: A Language and Environment for Statistical Computing; R Foundation for Statistical Computing: Vienna, Austria, 2020. [Google Scholar]
- Lenth, R. V Least-Squares Means: The R Package Lsmeans. J. Stat. Softw. 2016, 69. [Google Scholar] [CrossRef]
- Gwathmey, C.O.; Leib, B.G.; Main, C.L. Lint yield and crop maturity responses to irrigation in a short-season environment. J. Cotton Sci. 2011, 15, 1–10. [Google Scholar]
- Pettigrew, W.T.; Meredith, W.R. Molecular biology and physiology genotypic variation in physiological strategies for attaining cotton lint yield production. J. Cotton Sci. 2012, 16, 179–189. [Google Scholar]
- Jaleel, C.A.; Llorente, B.E. Drought stress in plants: A review on water relations. Biosci. Res. 2009, 6, 20–27. [Google Scholar]
- Lawlor, D.W.; Cornic, G. Photosynthetic carbon assimilation and associated metabolism in relation to water deficits in higher plants. Plant Cell Environ. 2002, 25, 275–294. [Google Scholar] [CrossRef] [PubMed]
- Chutipaijit, S.; Cha-Um, S.; Sompornpailin, K. An evaluation of water deficit tolerance screening in pigmented indica rice genotypes. Pak. J. Bot. 2012, 44, 65–72. [Google Scholar]
- Gulnaz, Y.; Fathima, P.S.; Denesh, G.R.; Kulmitra, A.K.; Shivrajkumar, H.S. Effect of plant growth promoting rhizobacteria (PGPR) and PSB on root parameters, nutrient uptake and nutrient use efficiency of irrigated maize under varying levels of phosphorus. J. Entomol. Zool. Stud. 2017, 5, 166–169. [Google Scholar]
- Shao, Y.; Zhang, D.; Hu, X.; Wu, Q.; Jiang, C.; Xia, T.; Gao, X.; Kuča, K. Mycorrhiza-induced changes in root growth and nutrient absorption of tea plants. Plant Soil Environ. 2018, 64, 283–289. [Google Scholar]
- Gomare, K.S.G.K.S.; Biotechnology, C.D.O.; Mese, M.M.M.; Shetkar, Y.S.Y. Isolation of Azotobacter and Cost Effective Production of Biofertilizer. Indian J. Appl. Res. 2011, 3, 54–56. [Google Scholar] [CrossRef]




| Phosphorus Application | Plant Height (cm) | Sympodial Branches Plant−1 | Number of Nodes Plant−1 | |||
|---|---|---|---|---|---|---|
| Normal Irrigation | Skip Irrigation | Normal Irrigation | Skip Irrigation | Normal Irrigation | Skip Irrigation | |
| Control (No DAP) | 87.97 ± 1.68 a | 61.43 ± 2.47 a | 22 ± 1.00 a | 18.00 ± 1.00 a | 30.00 ± 1.00 a | 19.67 ± 0.58 a |
| DAP | 96.27 ± 0.50 b | 68.20 ± 2.04 b | 26 ± 1.00 b | 21.33 ± 0.58 b | 31.33 ± 0.58 b | 21.00 ± 0.01 b |
| PGPR Coated DAP | 115.13 ± 4.75 d | 85.43 ± 1.52 d | 31 ± 1.73 d | 27.00 ± 1.00 d | 34.00 ± 1.00 d | 23.33 ± 0.58 c |
| PSB Coated DAP | 105.43 ± 2.47 c | 76.10 ± 2.14 c | 28.67 ± 1.53 c | 24.33 ± 0.58 c | 32.33 ± 0.58 c | 22.00 ± 0.01 b |
| Phosphorus Application | No. of Bolls Plant−1 | Boll Weight (g) | Seed Cotton Yield (kg ha−1) | |||
|---|---|---|---|---|---|---|
| Normal Irrigation | Skip Irrigation | Normal Irrigation | Skip Irrigation | Normal Irrigation | Skip Irrigation | |
| Control (No DAP) | 20.67 ± 1.53 a | 11.33 ± 0.58 a | 2.36 ± 0.16 a | 2.03 ± 0.06 a | 2153 ± 47.29 a | 1555.67 ± 46.2 a |
| DAP | 23.00 ± 1.00 b | 13.00 ± 1.00 a | 2.53 ± 0.13 b | 2.15 ± 0.04 b | 2346 ± 33.56 b | 1691.33 ± 45.39 b |
| PGPR Coated DAP | 31.33 ± 1.15 d | 20.33 ± 1.15 c | 2.80 ± 0.06 c | 2.28 ± 0.06 c | 2694 ± 49.49 d | 1950.67 ± 49.66 d |
| PSB Coated DAP | 26.33 ± 0.58 c | 16.00 ± 1.00 b | 2.66 ± 0.11 bc | 2.20 ± 0.03 b | 2511 ± 41.49 c | 1849.33 ± 52.2 c |
| Phosphorus Application | Leaf Area Index | Chlorophyll Contents (SPAD Value) | Total Dry Matter (g Plant−1) | |||
|---|---|---|---|---|---|---|
| Normal Irrigation | Skip Irrigation | Normal Irrigation | Skip Irrigation | Normal Irrigation | Skip Irrigation | |
| Control (No DAP) | 4.00 ± 0.10 a | 3.40 ± 0.10 a | 49.70 ± 0.8 a | 45.91 ± 1.56 a | 320.5 ± 10.27 a | 255.8 ± 13.22 a |
| DAP | 4.50 ± 0.10 b | 3.73 ± 0.06 b | 53.47 ± 2.78 ab | 54.04 ± 4.91 a | 371.26 ± 10.25 b | 281.48 ± 10.99 a |
| PGPR Coated DAP | 5.20 ± 0.10 d | 4.50 ± 0.10 d | 53.57 ± 3.18 ab | 57.64 ± 11.34 a | 442.31 ± 20.08 d | 358.32 ± 8.43 c |
| PSB Coated DAP | 4.87 ± 0.06 c | 3.40 ± 0.10 a | 55.34 ± 2.12 b | 57.67 ± 4.31 a | 406.42 ± 14.2 c | 326.6 ± 14.39 b |
Publisher’s Note: MDPI stays neutral with regard to jurisdictional claims in published maps and institutional affiliations. |
© 2020 by the authors. Licensee MDPI, Basel, Switzerland. This article is an open access article distributed under the terms and conditions of the Creative Commons Attribution (CC BY) license (http://creativecommons.org/licenses/by/4.0/).
Share and Cite
Majid, M.; Ali, M.; Shahzad, K.; Ahmad, F.; Ikram, R.M.; Ishtiaq, M.; Alaraidh, I.A.; Al-hashimi, A.; Ali, H.M.; Zarei, T.; et al. Mitigation of Osmotic Stress in Cotton for the Improvement in Growth and Yield through Inoculation of Rhizobacteria and Phosphate Solubilizing Bacteria Coated Diammonium Phosphate. Sustainability 2020, 12, 10456. https://doi.org/10.3390/su122410456
Majid M, Ali M, Shahzad K, Ahmad F, Ikram RM, Ishtiaq M, Alaraidh IA, Al-hashimi A, Ali HM, Zarei T, et al. Mitigation of Osmotic Stress in Cotton for the Improvement in Growth and Yield through Inoculation of Rhizobacteria and Phosphate Solubilizing Bacteria Coated Diammonium Phosphate. Sustainability. 2020; 12(24):10456. https://doi.org/10.3390/su122410456
Chicago/Turabian StyleMajid, Muhammad, Muqarrab Ali, Khurram Shahzad, Fiaz Ahmad, Rao Muhammad Ikram, Muhammad Ishtiaq, Ibrahim A. Alaraidh, Abdulrahman Al-hashimi, Hayssam M. Ali, Tayebeh Zarei, and et al. 2020. "Mitigation of Osmotic Stress in Cotton for the Improvement in Growth and Yield through Inoculation of Rhizobacteria and Phosphate Solubilizing Bacteria Coated Diammonium Phosphate" Sustainability 12, no. 24: 10456. https://doi.org/10.3390/su122410456
APA StyleMajid, M., Ali, M., Shahzad, K., Ahmad, F., Ikram, R. M., Ishtiaq, M., Alaraidh, I. A., Al-hashimi, A., Ali, H. M., Zarei, T., Datta, R., Fahad, S., El Sabagh, A., Hussain, G. S., Salem, M. Z. M., Habib-ur-Rahman, M., & Danish, S. (2020). Mitigation of Osmotic Stress in Cotton for the Improvement in Growth and Yield through Inoculation of Rhizobacteria and Phosphate Solubilizing Bacteria Coated Diammonium Phosphate. Sustainability, 12(24), 10456. https://doi.org/10.3390/su122410456

