Impact of Strategic Cooperation under Competition on Green Product Manufacturing
Abstract
1. Introduction
- When competing manufacturers make investment decisions in improving green quality levels, will the nature of the green product types play a decisive role? If so, how does the manufacturer’s product type selection affect the performance of GSCs and consumers?
- How does the strategic integration decision under two competing GSCs affect the green quality level? Does the integration with a horizontal competitor or integration with vertical member favor green supply chain practice? Does that effect remain indistinguishable irrespective of product type?
Literature Review
2. Problem Description
3. Model Solutions and Discussions
3.1. Optimal Decisions in Scenarios DDD and DDM
- The product green quality is directly affected by increasing market potential for DIGPs, but not MIGPs.
- The product green quality levels of DIGPs and MIGPs increase with and , and decrease with and .
3.2. Influence of Horizontal Integration
3.2.1. Optimal Decisions in Scenarios MCD and MCM
- The product green quality level is directly affected by market potential for DIGPs, but not MIGPs.
- The green quality levels for DIGPs and MIGPs increase with and , and decrease with and .
3.2.2. Optimal Decisions in Scenarios RCD and RCM
- The product green quality is directly affected by market potential and cross-quality sensitivity of consumers for the DIGPs, but not MIGPs.
- The green quality level of the DIGPs increases with and and decreases with and .
- The green quality levels of the MIGPs are independent of and , and increase with , but decrease with .
- Two manufacturers always receive less profits if the downstream retailers are integrated, because .
- For DIGPs:
- 1.
- product green quality levels satisfy the following relations:
- (i)
- if .
- (ii)
- if .
- (iii)
- if
- 2.
- retail prices are minimum in Scenario DDD, i.e., if ;
- 3.
- sales volumes are maximum in Scenario DDD i.e., .
- For MIGPs:
- 1.
- product green quality levels satisfy the following relations:
- (i)
- if .
- (ii)
- if .
- 2.
- retail prices are always minimum and sales volumes are maximum in Scenario DDM.
3.3. Influence of Vertical Integration
3.3.1. Optimal Decisions in Scenarios IID and IIM
- The product green quality levels are directly affected by market potential and cross-quality sensitivity of consumers for the DIGPs, but not MIGPs.
- The green quality levels of the DIGPs increase with and , and decrease with and .
- The green quality levels of the MIGPs do not depend on or , and are increased with and decreased with .
3.3.2. Optimal Decisions in Scenarios IDD and IDM
- The product green quality level is directly affected by market potential for the DIGPs, but not MIGPs.
- The differences between green quality levels for DIGPs and MIGPs are and , respectively.
- The green quality level of the first MIGPs is independent of or , and increases with and decreases with . The green quality level of second MIGPs increase with and and decreased with and .
- For DIGPs:
- 1.
- products green quality levels satisfy the following relations:
- (i)
- ;
- (ii)
- ;
- 2.
- retail prices are minimum in Scenario IID.
- 3.
- sales volumes satisfy the following relations:
- (i)
- ;
- (ii)
- ;
- For MIGPs:
- 1.
- green quality levels satisfy the following relations:
- (i)
- if .
- (ii)
- if .
- 2.
- retail price of the product is minimum in Scenario IIM.
- 3.
- sales volume satisfy the following relations:
- (i)
- ;
- (ii)
- ;
4. Model Analysis
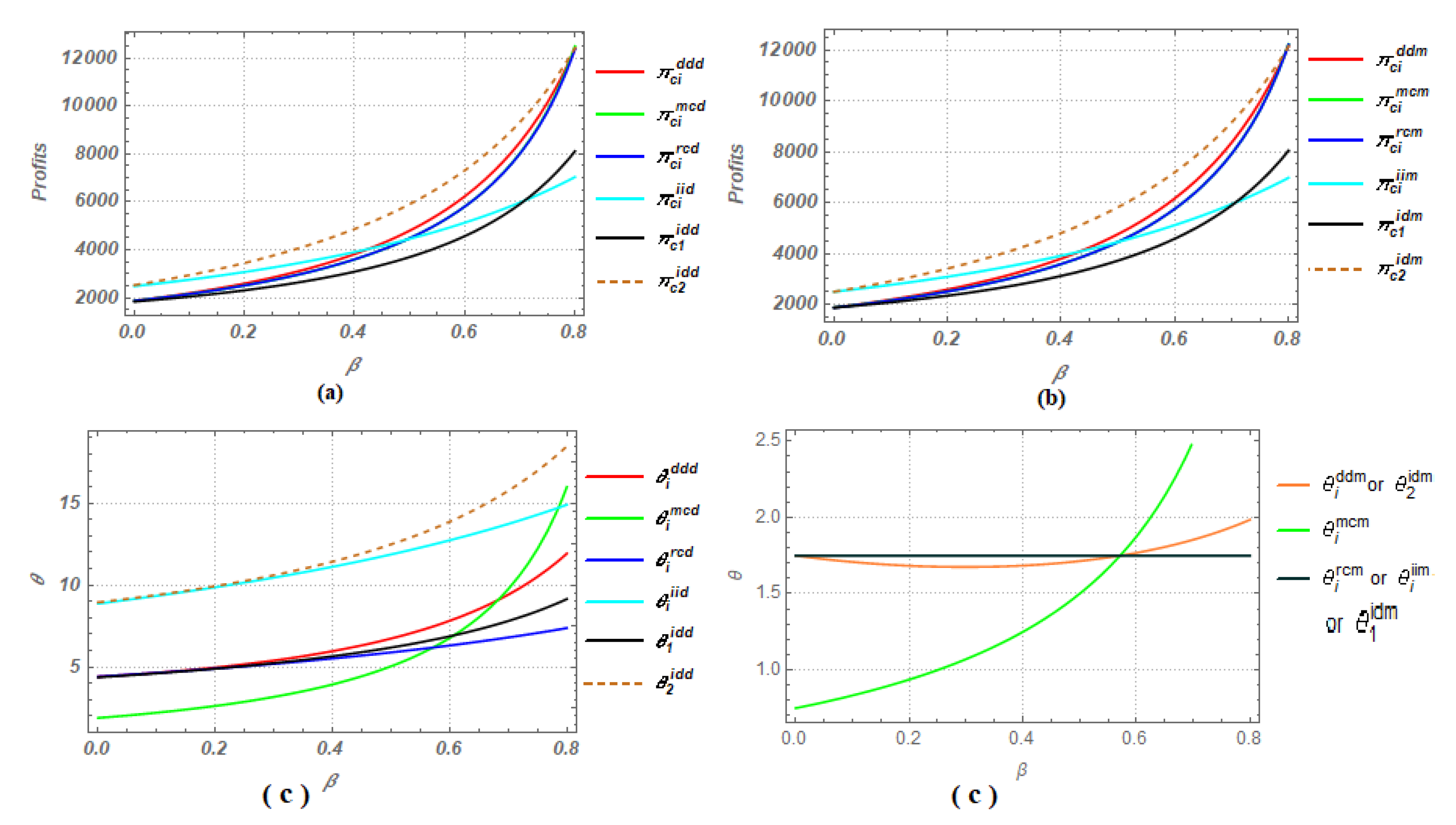
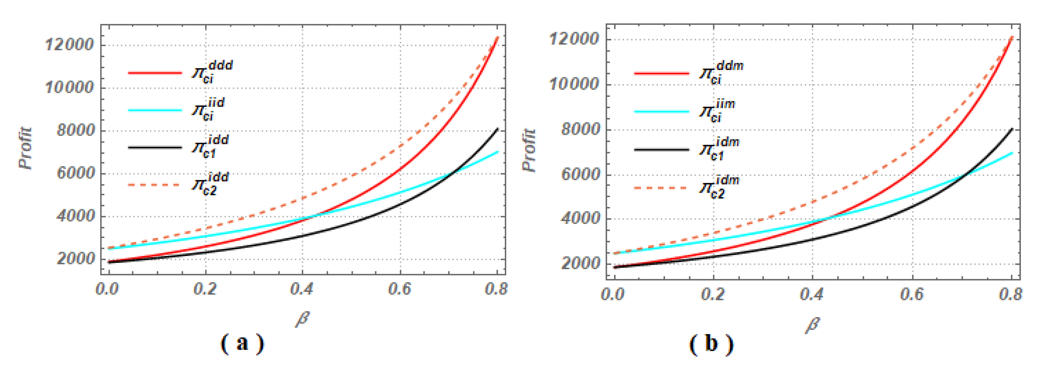
4.1. Nature of Retail Prices and Green Quality Levels under Different Scenarios
4.2. Nature of Sales Volumes and Profits for Two Competing GSCs
- Total profits for first GSC satisfy the following relation:
- if
- if
- if
- if
- Total profits for second GSC satisfy the following relation:
- if
- if
- if
4.3. Effect of Parameters on the Optimal Performance
- If the product is price sensitive only, total supply chain profits can never be maximum if two upstream manufacturers are integrated, which is not true while they are trading with green products.
- Similar to normal products, cross-price elasticity is an important factor affecting strategic integration decisions from the perspective of profits. In addition, and also affect the strategic decision. Therefore, a careful estimation of parameters and strategic integration decisions can bring higher profits for the GSC members, but not always. It is found that each member can receive a higher profit when they are non-cooperative.
- For MIGPs, green quality levels are higher in game structures MC or MC, but for DIGPs these are higher in game structures II and ID. Most interestingly, total profits for MIGPs are higher in game structures II, ID or DD. Therefore, GSC members need to sacrifice one of their goals, i.e., trading with higher quality green products to ensure environmental sustainability or profit maximization.
5. Conclusions
Author Contributions
Funding
Conflicts of Interest
Appendix A. Derivation of Optimal Decision in Scenario DDD
Appendix B. Derivation of Optimal Decision in Scenario MCD
Appendix C. Derivation of Optimal Decision in Scenario RCD
Appendix D. Proof of Theorem 1
Appendix E. Derivation of Optimal Decision in Scenario IID
Appendix F. Derivation of Optimal Decision in Scenarios IDD
Appendix G. Proof of Theorem 2
Appendix H. Proof of Remarks
- Green quality level of both types of product increase with , because; ;; ; ; ; ; .
- Green quality level of both types of product increase with , because; ; ; ; ; ; ; .
- Green quality level of both types of product decrease with , because; ; ; ; ; ; ; .
- Green quality level for DIGPs decrease with , because; ; ; .
- Green quality level for MIGPs decrease with , because; ; ; ; .
Appendix I. Proof of Theorem 3
Appendix J. List of Additional Notations
Appendix K. Sensitivity Analysis





References
- Yang, Z.; Lin, Y. The effects of supply chain collaboration on green innovation performance: An interpretive structural modeling analysis. Sustain. Prod. Consum. 2020, 23, 1–10. [Google Scholar] [CrossRef]
- Hasan, M.M.; Nekmahmud, M.; Yajuan, L.; Patwary, M.A. Green business value chain: A systematic review. Sustain. Prod. Consum. 2019, 20, 326–339. [Google Scholar] [CrossRef]
- Liu, X.; Lin, K.; Wang, L.; Ding, L. Pricing decisions for a sustainable supply chain in the presence of potential strategic customers. Sustainability 2020, 12, 1655. [Google Scholar] [CrossRef]
- Businesswire. More Than Half of Consumers would Pay More for Sustainable Products Designed to be Reused or Recycled, Accenture Survey Finds. 2019. Available online: www.businesswire.com/news/home/20190604005649/en (accessed on 6 June 2020).
- Jasiulewicz-Kaczmarek, M.; Legutko, S.; Kluk, P. Maintenance 4.0 technologies—New opportunities for sustainability driven maintenance. Manag. Prod. Eng. Rev. 2020, 11, 74–87. [Google Scholar]
- Tumpa, T.J.; Ali, S.M.; Rahman, M.H.; Paul, S.K.; Chowdhury, P.; Khan, S.A.R. Barriers to green supply chain management: An emerging economy context. J. Clean. Prod. 2019, 236, 117617. [Google Scholar] [CrossRef]
- Wang, J.; Chang, J.; Wu, Y. The optimal production decision of competing supply chains when considering green degree: A game-theoretic approach. Sustainability 2020, 12, 7413. [Google Scholar] [CrossRef]
- Wang, S.; Cheng, Y.; Zhang, X.; Zhu, C. The implications of vertical strategic interaction on green technology investment in a supply chain. Sustainability 2020, 12, 7441. [Google Scholar] [CrossRef]
- Wei, J.; Zhao, J.; Hou, X. Integration strategies of two supply chains with complementary products. Int. J. Prod. Res. 2019, 57, 1972–1989. [Google Scholar] [CrossRef]
- Bian, J.; Zhao, X.; Liu, Y. Single vs. cross distribution channels with manufacturers’ dynamic tacit collusion. Int. J. Prod. Econ. 2020, 220, 107456. [Google Scholar] [CrossRef]
- Garrett, B. Why Collaborating with Your Competition Can Be A Great Idea. 2019. Available online: www.forbes.com/sites/briannegarrett/2019/09/19/why-collaborating-with-your-competition-can-be-a-great-idea/#3cd85f8ddf86 (accessed on 2 October 2020).
- Colombo, S. Mixed oligopolies and collusion. J. Econ. 2016, 118, 167–184. [Google Scholar] [CrossRef]
- Zhou, Y.W.; Cao, Z.H. Equilibrium structures of two supply chains with price and displayed-quantity competition. J. Oper. Res. Soc. 2014, 65, 1544–1554. [Google Scholar] [CrossRef]
- Lambertini, L.; Orsini, R.; Palestini, A. On the instability of the R&D portfolio in a dynamic monopoly. Or, one cannot get two eggs in one basket. Int. J. Prod. Econ. 2017, 193, 703–712. [Google Scholar]
- Li, Q.; Guan, X.; Shi, T.; Jiao, W. Green product design with competition and fairness concerns in the circular economy era. Int. J. Prod. Res. 2020, 58, 165–179. [Google Scholar] [CrossRef]
- Wang, Y.; Wang, X.; Chang, S.; Kang, Y. Product innovation and process innovation in a dynamic Stackelberg game. Comput. Ind. Eng. 2019, 130, 395–403. [Google Scholar] [CrossRef]
- Dey, K.; Roy, S.; Saha, S. The impact of strategic inventory and procurement strategies on green product design in a two-period supply chain. Int. J. Prod. Res. 2019, 57, 1915–1948. [Google Scholar] [CrossRef]
- Zhu, W.; He, Y. Green product design in supply chains under competition. Eur. J. Oper. Res. 2017, 258, 165–180. [Google Scholar] [CrossRef]
- Qian, L. Product price and performance level in one market or two separated markets under various cost structures and functions. Int. J. Prod. Econ. 2011, 131, 505–518. [Google Scholar] [CrossRef]
- Chang, S.; Hu, B.; He, X. Supply chain coordination in the context of green marketing efforts and capacity expansion. Sustainability 2019, 11, 5734. [Google Scholar] [CrossRef]
- Choi, S.C. Price competition in a duopoly common retailer channel. J. Retail. 1996, 72, 117–134. [Google Scholar] [CrossRef]
- Ha, A.Y.; Tong, S. Contracting and Information Sharing Under Supply Chain Competition. Manag. Sci. 2008, 54, 701–715. [Google Scholar] [CrossRef]
- Moorthy, K.S. Strategic decentralization in channels. Mark. Sci. 1988, 7, 335–355. [Google Scholar] [CrossRef]
- Anderson, E.J.; Bao, Y. Price competition with integrated and decentralized supply chains. Eur. J. Oper. Res. 2010, 200, 227–234. [Google Scholar] [CrossRef]
- Li, B.X.; Zhou, Y.; Li, J.; Zhou, S. Contract choice game of supply chain competition at both manufacturer and retailer levels. Int. J. Prod. Econ. 2013, 143, 188–197. [Google Scholar] [CrossRef]
- Fang, Y.; Shoub, B. Managing supply uncertainty under supply chain Cournot competition. Eur. J. Oper. Res. 2015, 243, 156–176. [Google Scholar] [CrossRef]
- Xie, G. Modeling decision processes of a green supply chain with regulation on energy saving level. Comput. Oper. Res. 2015, 54, 266–273. [Google Scholar] [CrossRef]
- Bian, W.; Shang, J.; Zhang, J. Two-way information sharing under supply chain competition. Int. J. Prod. Econ. 2016, 178, 82–94. [Google Scholar] [CrossRef]
- Li, X.; Li, Y. Chain-to-chain competition on product sustainability. J. Clean. Prod. 2016, 112, 2058–2065. [Google Scholar] [CrossRef]
- Wang, Y.Y.; Sun, J.; Wang, J.C. Equilibrium markup pricing strategies for the dominant retailers under supply chain to chain competition. Int. J. Prod. Res. 2016, 54, 2075–2092. [Google Scholar] [CrossRef]
- Hafezalkotob, A. Competition, cooperation, and coopetition of green supply chains under regulations on energy saving levels. Transp. Res Part E 2017, 97, 228–250. [Google Scholar] [CrossRef]
- Hafezalkotob, A. Modelling intervention policies of government in price-energy saving competition of green supply chains. Comput. Ind. Eng. 2018, 119, 247–261. [Google Scholar] [CrossRef]
- Xiao, T.; Yang, D. Price and service competition of supply chains with risk-averse retailers under demand uncertainty. Int. J. Prod. Econ. 2008, 114, 187–200. [Google Scholar] [CrossRef]
- Li, G.; Shi, X.; Yang, Y.; Lee, P.K. Green Co-Creation Strategies among Supply Chain Partners: A Value Co-Creation Perspective. Sustainability. 2020, 12, 4305. [Google Scholar] [CrossRef]
- Lin, Y.H.; Kulangara, N.; Foster, K.; Shang, J. Improving green market orientation, green supply chain relationship quality, and green absorptive capacity to enhance green competitive advantage in the green supply chain. Sustainability 2020, 12, 7251. [Google Scholar] [CrossRef]
- Saha, S.; Majumder, S.; Nielsen, I.E. Is it a strategic move to subsidized consumers instead of the manufacturer? IEEE Access 2019, 7, 169807–169824. [Google Scholar] [CrossRef]
- Basiri, Z.; Heydari, J. A mathematical model for green supply chain coordination with substitutable products. J. Clean. Prod. 2017, 145, 232–249. [Google Scholar] [CrossRef]
- Dey, K.; Saha, S. Influence of procurement decisions in two-period green supply chain. J. Clean. Prod. 2018, 190, 388–402. [Google Scholar] [CrossRef]
- Ghosh, D.; Shah, J. Supply chain analysis under green sensitive consumer demand and cost sharing contract. Int. J. Prod. Econ. 2015, 164, 319–329. [Google Scholar] [CrossRef]
- Li, Q.; Kang, Y.; Tan, L.; Chen, B. Modeling formation and operation of collaborative green innovation between manufacturer and supplier: A game theory approach. Sustainability 2020, 12, 2209. [Google Scholar] [CrossRef]
- Liu, P.; Yi, S.P. Pricing policies of green supply chain considering targeted advertising and product green degree in the big data environment. J. Clean. Prod. 2017, 164, 1614–1622. [Google Scholar] [CrossRef]
- Nielsen, I.E.; Majumder, S.; Sana, S.S.; Saha, S. Comparative analysis of government incentives and game structures on single and two-period green supply chain. J. Clean. Prod. 2019, 235, 1371–1398. [Google Scholar] [CrossRef]
- Song, H.; Gao, X. Green supply chain game model and analysis under revenue-sharing contract. J. Clean. Prod. 2018, 170, 183–192. [Google Scholar] [CrossRef]
- Yang, D.; Xiao, T. Pricing and green level decisions of a green supply chain with governmental interventions under fuzzy uncertainties. J. Clean. Prod. 2017, 149, 1174–1187. [Google Scholar] [CrossRef]
- Chakrabortya, T.; Chauhana, S.S.; Ouhimmou, M. Cost-sharing mechanism for product quality improvement in a supply chain under competition. Int. J. Prod. Econ. 2019, 208, 566–587. [Google Scholar] [CrossRef]
- Nielsen, I.E.; Majumder, S.; Saha, S. Exploring the intervention of intermediary in a green supply chain. J. Clean. Prod. 2019, 233, 1525–1544. [Google Scholar] [CrossRef]
- Li, T.; Zhang, R.; Zhao, S.; Liu, B. Low carbon strategy analysis under revenue-sharing and cost-sharing contracts. J. Clean. Prod. 2019, 212, 1462–1477. [Google Scholar] [CrossRef]
- Zhou, Y. The role of green customers under competition: A mixed blessing? J. Clean. Prod. 2018, 170, 857–866. [Google Scholar] [CrossRef]
- Gao, J.; Xiao, Z.; Wei, H.; Zhou, G. Dual-channel Green Supply Chain Management with Eco-label Policy: A Perspective of Two Types of Green Products. Comput. Ind. Eng. 2020, 146, 106613. [Google Scholar] [CrossRef]
- Pakseresht, M.; Shirazi, B.; Mahdavi, I.; Mahdavi-Amiri, N. Toward sustainable optimization with Stackelberg game between green product family and downstream supply chain. Sustain. Prod. Consum. 2020, 23, 198–211. [Google Scholar] [CrossRef]
- Reinartz, W.; Wieg, N.; Imschloss, M. The impact of digital transformation on the retailing value chain. Int. J. Res. Mark. 2019, 36, 350–366. [Google Scholar] [CrossRef]
- Yang, S.; Ding, P.; Wang, G.; Wu, X. Green investment in a supply chain based on price and quality competition. Soft Comput. 2020, 24, 2589–2608. [Google Scholar] [CrossRef]
- Wei, J.; Lu, J.; Zhao, J. Interactions of competing manufacturers’ leader-follower relationship and sales format on online platforms. Eur. J. Oper. Res. 2020, 280, 508–522. [Google Scholar] [CrossRef]
- Cachon, G.P. Supply chain coordination with contracts. Handb. Oper. Res. Manag. Sci. 2003, 11, 227–339. [Google Scholar]
- Li, X.; Wang, Q. Coordination mechanisms of supply chain systems. Eur. J. Oper. Res. 2007, 179, 1–16. [Google Scholar] [CrossRef]
- Qiongqiong, G.; Xiaodong, Y.; Bin, L. Pricing Decisions on Online Channel Entry for Complementary Products in a Dominant Retailer Supply Chain. Sustainability 2020, 12, 5007. [Google Scholar] [CrossRef]
- Saha, S.; Sarmah, S.P.; Moon, I. Dual channel closed-loop supply chain coordination with a reward-driven remanufacturing policy. Int. J. Prod. Res. 2016, 54, 1503–1517. [Google Scholar] [CrossRef]






| Study | Game Structure | Distribution | Demand Function | Information |
|---|---|---|---|---|
| Ha and Tong (2008) [22] | DD, II | Inverse Price-dependent | Symmetric & asymmetric | |
| Anderson and Bao (2010) [24] | DD, II | Direct | Price-dependent | Symmetric |
| Li et al. (2013) [25] | DD | Direct, Cross | Price, and service level | Symmetric |
| Zhou and Cao (2014) [13] | DD, II, ID | Direct | Price, and service level | Symmetric |
| Fang and Shoub (2015) [26] | DD, II, ID | Direct | Price-dependent | Symmetric |
| Xei (2015) [27] | DD, II | Direct | Price and energy saving levelwithout cross elasticity | Symmetric |
| Bian et al.(2016) [28] | DD | Direct | Price-dependent | Symmetric & asymmetric |
| Li and Li (2016) [29] | DD, II, ID | Direct | Service level | Symmetric |
| Wang et al. (2016) [30] | DD | Direct | Price-dependentisoelastic demand | Symmetric |
| Hafezalkotob (2017) [31] | DD, II, CC | Direct | Price and energy saving level | Symmetric |
| Hafezalkotob (2018) [32] | DD, II | Direct | Price and energy saving level | Symmetric |
| Wei et al. (2019) [9] | DD, II, CCMC, RC | Direct | Price-dependent | Symmetric |
| Bian et al. (2020) [10] | DD, MC, RC, TS | Direct, Cross | Inverse Price-dependent | Symmetric |
| Present Study | MC, RC, II, DD, ID | Direct | Price, and green quality level | Symmetric |
| Notations | Descriptions |
|---|---|
| Indices | |
| i | index for ith GSC, |
| x | index for game structures, |
| y | index for product types, |
| z | index for decision scenarios, , where representsscenarios for DIGPs and represents scenarios for MIGPs |
| Parameters | |
| a | market potential of each GSC () |
| the cross-price sensitivity of consumers between two products, | |
| green quality level sensitivity of consumers of own GSC, | |
| green quality level sensitivity of consumers with that of rival GSC, () | |
| coefficient investment efficiency for two manufacturers for DIGPs, | |
| coefficient investment efficiency for two manufacturers for MIGPs, | |
| Variables | |
| wholesale price of per unit product for ith GSC | |
| retail price of per unit product for ith GSC | |
| the green quality level of ith product | |
| profit of the ith retailer | |
| profit of the ith manufacturer | |
| total profit of the ith GSC | |
| sales volume of ith GSC |
| Parameters | GSC | Green Quality Level for DIGPs | Total GSC Profits |
|---|---|---|---|
| I | |||
| I | if | if | |
| if | if | ||
| if | if | ||
| if | if | ||
| if | if | ||
| if | |||
| if | if | ||
| if | if | ||
| if | if | ||
| if | if | ||
| I | if | ||
| if | if | ||
| if | if | ||
| if | |||
| if | |||
| if | if | ||
| if | if | ||
| I | if | ||
| if | if | ||
| if | if | ||
| if | |||
| if | |||
| if | |||
| if | if | ||
| if | if | ||
| if | |||
| if | |||
| I | |||
| Parameter | GSC | Green Quality Level for MIGPs | Total GSC Profits |
|---|---|---|---|
| I | |||
| I | if | ||
| if | if | ||
| if | if | ||
| if | |||
| if | if | ||
| if | if | ||
| if | |||
| I | if | ||
| if | |||
| if | |||
| if | |||
| I | if | ||
| if | |||
| if | |||
| if | |||
| I | |||
Publisher’s Note: MDPI stays neutral with regard to jurisdictional claims in published maps and institutional affiliations. |
© 2020 by the authors. Licensee MDPI, Basel, Switzerland. This article is an open access article distributed under the terms and conditions of the Creative Commons Attribution (CC BY) license (http://creativecommons.org/licenses/by/4.0/).
Share and Cite
Nielsen, I.; Majumder, S.; Szwarc, E.; Saha, S. Impact of Strategic Cooperation under Competition on Green Product Manufacturing. Sustainability 2020, 12, 10248. https://doi.org/10.3390/su122410248
Nielsen I, Majumder S, Szwarc E, Saha S. Impact of Strategic Cooperation under Competition on Green Product Manufacturing. Sustainability. 2020; 12(24):10248. https://doi.org/10.3390/su122410248
Chicago/Turabian StyleNielsen, Izabela, Sani Majumder, Eryk Szwarc, and Subrata Saha. 2020. "Impact of Strategic Cooperation under Competition on Green Product Manufacturing" Sustainability 12, no. 24: 10248. https://doi.org/10.3390/su122410248
APA StyleNielsen, I., Majumder, S., Szwarc, E., & Saha, S. (2020). Impact of Strategic Cooperation under Competition on Green Product Manufacturing. Sustainability, 12(24), 10248. https://doi.org/10.3390/su122410248

