Eco-Physiological Properties of Open-Field Cucumbers Responded to Organic Liquid Fertilizers
Abstract
1. Introduction
2. Materials and Methods
2.1. Field Condition
2.2. Treatments
2.3. Soil Chemical Analysis
2.4. Bio-Physical Analysis
2.5. Plant Nutrient Analysis
2.6. Plant Growth Measurement
2.7. Statistical Analysis
3. Results and Discussion
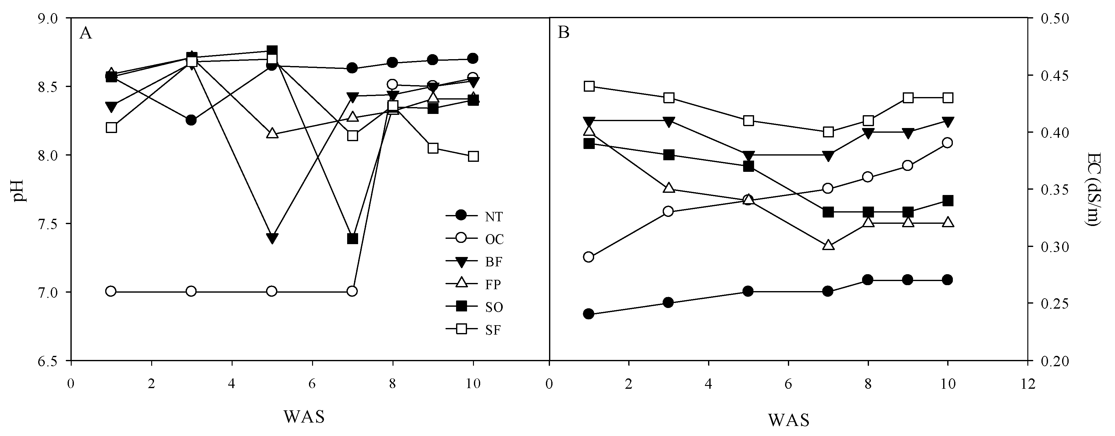
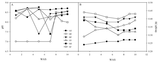
3.1. Soil Chemical Parameters
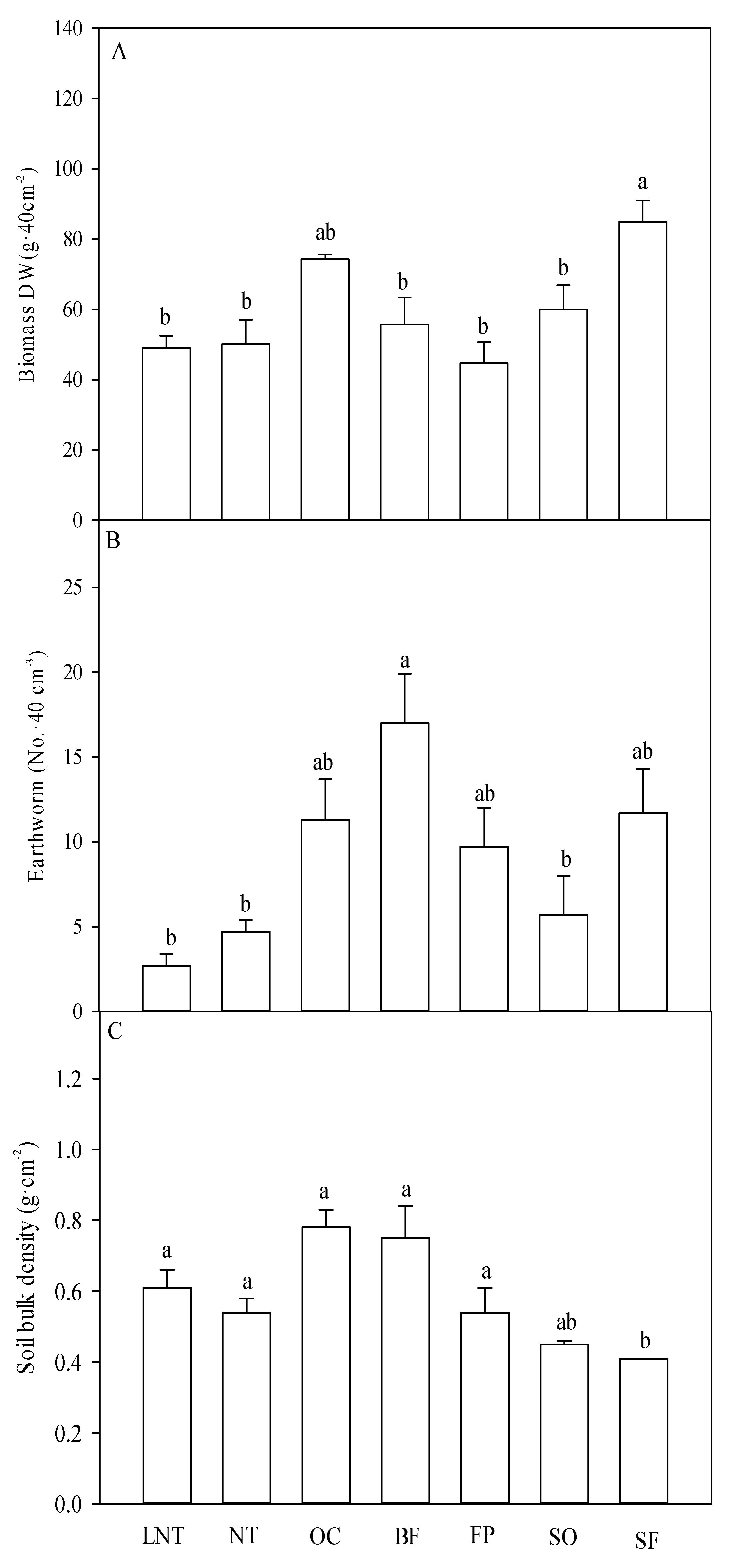
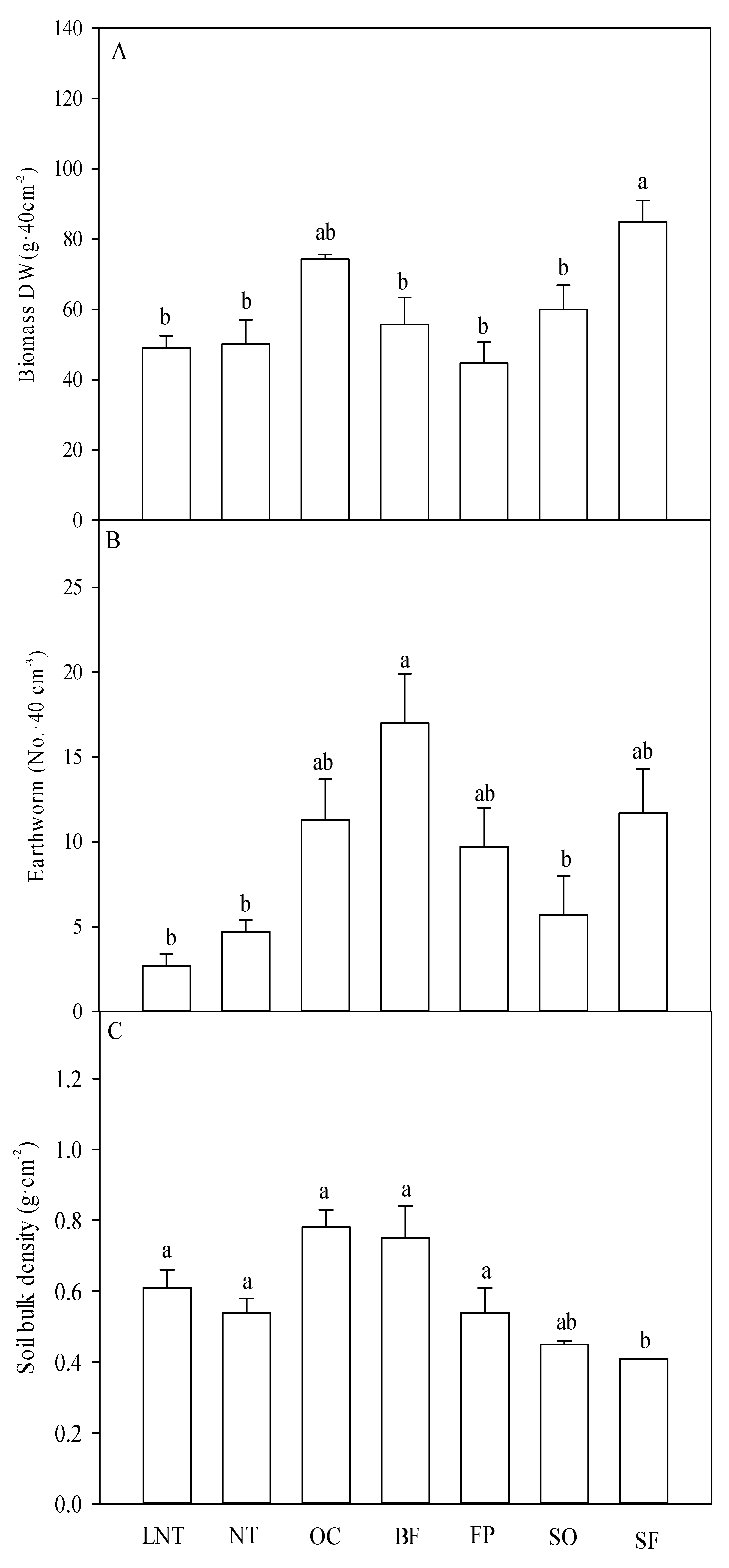
3.2. Soil Bio-Physical Parameters
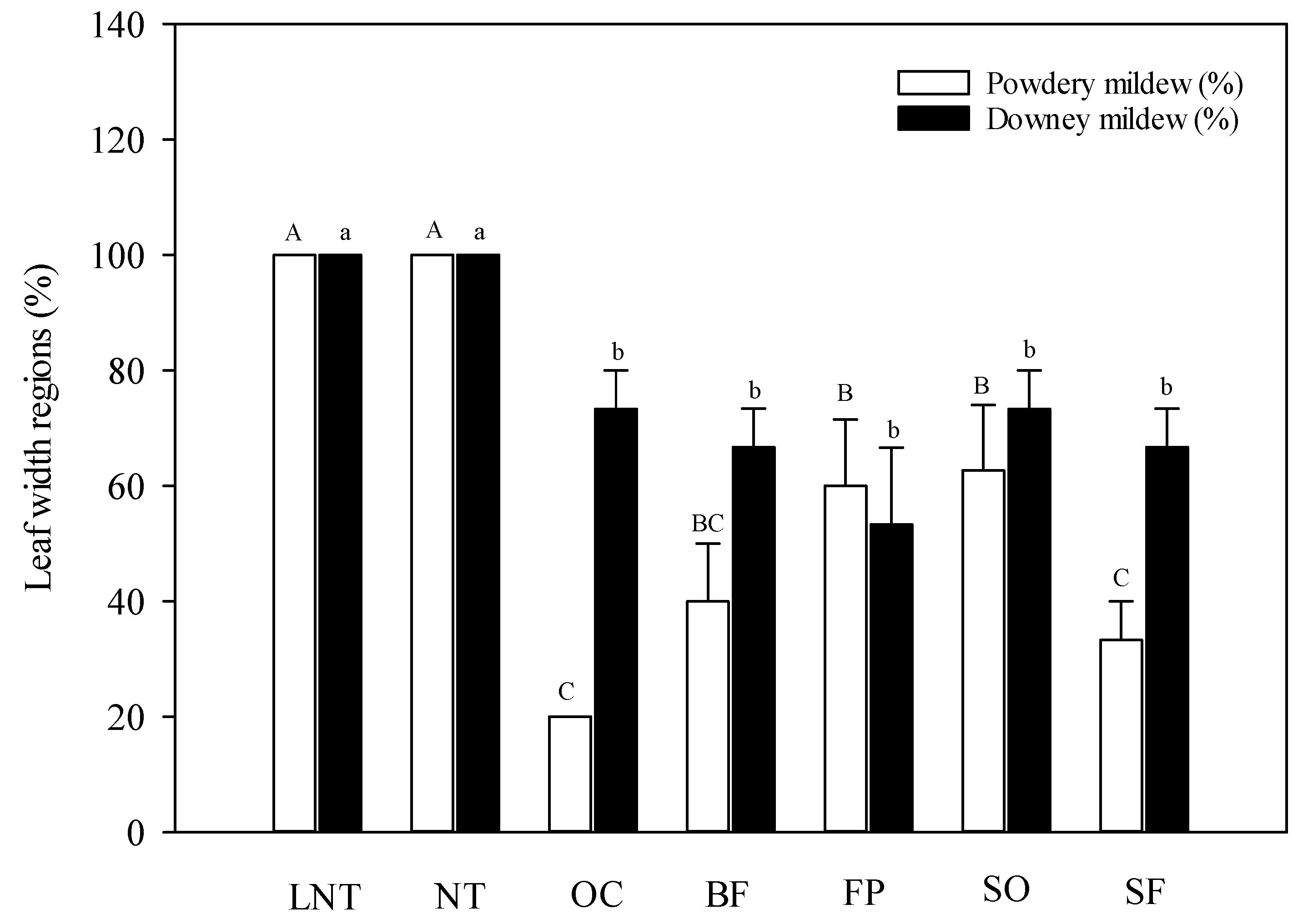
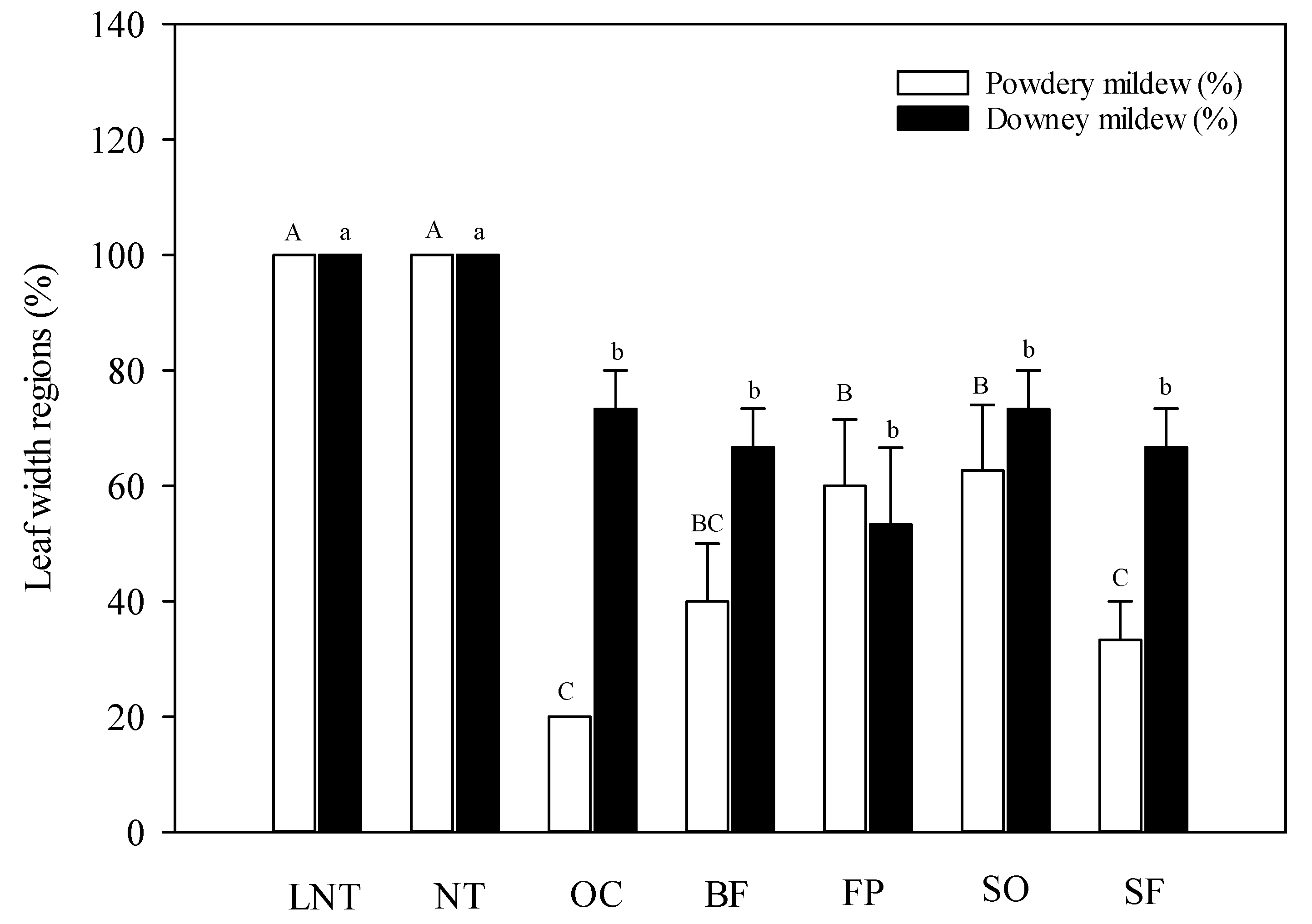
3.3. Plant Nutrition and Growth
3.4. Fruit Productivity
4. Conclusions
Author Contributions
Funding
Acknowledgments
Conflicts of Interest
References
- RDA. Cucumber; Rural Development Administration: Wanju, Korea, 2017. [Google Scholar]
- Mukherjee, P.K.; Nema, N.K.; Maity, N.; Sarkar, B.K. Phytochemical and therapeutic potential of cucumber. Fitoterapia 2013, 75, 227–236. [Google Scholar]
- Kim, S.A.; Chun, S.S.; Lee, J.H. Physicochemical analyses and Korean consumers’ acceptability of environment-friendly and conventionally grown cucumber. Korean J. Food Nutr. 2015, 28, 1071–1081. [Google Scholar]
- Bommarco, R.; Kleijn, D.; Potts, S.G. Ecological intensification: Harnessing ecosystem services for food security. Trends Ecol. Evol. 2013, 28, 230–238. [Google Scholar]
- An, N.H.; Cho, Y.S.; Cho, J.R.; Kim, Y.K.; Lee, Y.; Jee, H.J.; Lee, S.M.; Park, K.L.; Lee, B.M. The survey of actual using conditions of farm-made liquid fertilizers for cultivating environment-friendly agricultural products. Korean J. Org. Agric. 2012, 20, 345–356. [Google Scholar]
- Hernández-Herrera, R.M.; Santacruz-Ruvalcaba, F.; Ruiz-López, M.A.; Norrie, J.; Hernández-Carmona, G. Effect of liquid seaweed extracts on growth of tomato seedlings (Solanum lycopersicum L.). J. Appl. Phycol. 2014, 26, 619–628. [Google Scholar]
- Martínez-Alcántara, B.; Martínez-Cuenca, M.R.; Bermejo, A.; Legaz, F.; Quinones, A. Liquid organic fertilizers for sustainable agriculture: Nutrient uptake of organic versus mineral fertilizers in citrus trees. PLoS ONE 2016, 11, 1–20. [Google Scholar]
- Alvarenga, P.; Palma, P.; Mourinha, C.; Farto, M.; Dôres, J.; Patanita, M.; Cunha-Queda, C.; Natal-da-Luz, T.; Renaud, M.; Sousa, J.P. Recycling organic wastes to agricultural land as a way to improve its quality: A field study to evaluate benefits and risks. Waste Manag. 2017, 61, 582–592. [Google Scholar]
- Rosen, C.J.; Allan, D.L. Exploring the benefits of organic nutrient sources for crop production and soil quality. HortTechnology 2006, 17, 422–430. [Google Scholar]
- Choi, H.S. Effects of organic liquid fertilizers on biological activities and fruit productivity in open-field tomato. Braganitia 2020, 79, 447–457. [Google Scholar]
- Hartz, T.K.; Bottoms, T.G. Nitrogen requirements of drip irrigated processing tomatoes. HortScience 2014, 44, 1988–1993. [Google Scholar]
- KMA. Statistical Analysis of Climate; Korea Meteorological Administration: Seoul, Korea, 2020. [Google Scholar]
- RDA. Criteria of Fertilizer Application in Crops; Rural Development Administration, Sammi Press: Wanju, Korea, 2011. [Google Scholar]
- RDA. Analysis Methods of Soil and Plant; Rural Development Administration: Wanju, Korea, 2010. [Google Scholar]
- Schloss, P.D.; Westcott, S.L.; Ryabin, T.; Hall, J.R.; Hartmann, M.; Hollister, E.B.; Lesniewski, R.A.; Oakley, B.B.; Parks, D.H.; Robinson, C.J.; et al. Introducing mothur: Open-source, platform-independent, community supported software for describing and comparing microbial communities. Appl. Environ. Microb. 2009, 75, 7537–7541. [Google Scholar]
- Marschner, P. Mineral Nutrition of Higher Plants, 3rd ed.; Elsvier Ltd.: Oxford, UK, 2012. [Google Scholar]
- Havlin, J.L.; Beaton, J.D.; Tisdale, S.L.; Nelson, W.L. Soil Fertility and Fertilizers; Pearson Education, Inc.: Upper Saddle River, NJ, USA, 2004. [Google Scholar]
- Chaparro, J.M.; Badri, D.V.; Vivanco, J.M. Rhizosphere microbiome assemblage is affected by plant development. ISME J. 2014, 8, 790–803. [Google Scholar]
- Oh, Y.J.; Sohn, S.I.; Song, Y.I.; Kang, S.B.; Choi, J.H. Effects of cover plants on soil microbial community in a organic pear orchard. Korean J. Soil Sci. Fertil. 2014, 47, 28–35. [Google Scholar]
- Hou, J.; Li, M.; Mao, X.; Hao, Y.; Ding, J.; Liu, D.; Xi, B.; Liu, H. Response of microbial community of organic-matter-impoverished arable soil to long-term application of soil conditioner derived from dynamic rapid fermentation of food waste. PLoS ONE 2017, 12, e0175715. [Google Scholar] [CrossRef]
- Li, R.; Khaflpour, E.; Krause, D.O.; Entz, M.H.; de Kievit, T.R.; Fernando, W.G.D. Pyrosequencing reveals the influence of organic and conventional farming systems on bacterial communities. PLoS ONE 2012, 7, e051897. [Google Scholar] [CrossRef]
- Ahn, C.H.; Oh, Y.J.; Ock, S.M.; Lee, W.J.; Sohn, S.I.; Kim, M.H.; Na, Y.E.; Kim, C.S. The comparison of community characteristics of ground-dwelling invertebrates according agroecosystem types in the Eastern region of the Korean peninsula. Korean J. Appl. Entomol. 2017, 56, 29–39. [Google Scholar]
- Lee, S.Y.; Kim, S.T.; Im, J.S.; Jung, J.K.; Lee, J.H. Comparison of community structure and biodiversity of arthropos between conventional and organic red pepper fields. Korean J. Org. Agric. 2013, 21, 601–615. [Google Scholar]
- Eaten, R.J.; Barbercheck, M.; Buford, M.; Smith, W. Effects of organic matter removal, soil compaction, and vegetation control on Collembolan populations. Pedobiologia 2004, 48, 121–128. [Google Scholar]
- Feber, R.E.; Johnson, P.J.; Bell, J.R.; Chamberlain, D.E.; Firbank, L.G.; Fuller, R.J.; Manley, W.; Mathew, F.; Norton, L.R.; Townsend, M.; et al. Organic farming: Biodiversity impacts can depend on dispersal characteristics and landscape context. PLoS ONE 2015, 10, e0135921. [Google Scholar] [CrossRef]
- Yardim, E.N.; Edwards, C.A. Effects of organic and synthetic fertilizer sources on pest and predatory insects associated with tomatoes. Entomology 2003, 31, 324–329. [Google Scholar]
- Paoletti, M.G.; Sommaggio, D.; Favretto, M.R.; Petruzzelli, G.; Pezzarossa, B.; Barbafieri, M. Earthworms as useful bioindicators of agroecosystem sustainability in orchards and vineyards with different inputs. Appl. Soil Ecol. 1998, 10, 137–150. [Google Scholar]
- Paoletti, M.G. The role of earthworms for assessment of sustainability and as bioindicators. Agric. Ecosyst. Environ. 1999, 74, 137–155. [Google Scholar]
- Zhao, H.T.; Li, T.P.; Zhang, Y.; Hu, J.; Bai, Y.C.; Shan, Y.H.; Ke, F. Effects of vermicompost amendment as a basal fertilizer on soil properties and cucumber yield and quality under continuous cropping conditions in a greenhouse. J. Soils Sediments 2017, 17, 2718–2730. [Google Scholar]
- Ferrari, S.; Galletti, R.; Pontiggia, D.; Manfredini, C.; Lionetti, V.; Bellincampi, D.; Cervone, F.; de Lorenzo, G. Transgenic expression of a fungan endo-polygalacturonase pathogens and reduces auxin sensitivity. Plant Physiol. 2008, 146, 669–681. [Google Scholar]
- Bettiol, W.; Silva, H.S.A.; Reis, R.C. Effectiveness of whey against zucchini squash and cucumber powdery mildew. Sci. Hortic. 2008, 12, 82–84. [Google Scholar]
- Trivedi, P.; Delgado-Baquerizo, M.; Trivedi, C.; Hamonts, K.; Anderson, I.C.; Singh, B.K. Keystone microbial taxa regulate the invasion of a fungal pathogen in agro-ecosystems. Soil Biol. Biochem. 2017, 111, 10–14. [Google Scholar]
- Eifediyi, E.K.; Remison, S.U. Growth and yield of cucumber (Cucumis sativus L.) as influenced by farmyard manure and inorganic fertilizer. J. Plant Breed. Crop Sci. 2010, 2, 216–220. [Google Scholar]
- Britz, S.J.; Adamse, P. UV-B-induced increase in specific leaf weight of cucumber as a consequence of increased starch content. Photochem. Photobiol. 1994, 60, 116–119. [Google Scholar]
- Phibunwatthanawong, T.; Riddech, N. Liquid organic fertilizer production for growing vegetables under hydroponic condition. Int. J. Recycl. Org. Waste Agric. 2019, 8, 369–380. [Google Scholar]






| LF | T-C | T-N | P | K | Ca | Mg | Fe | Mn | Zn | Cu | B |
|---|---|---|---|---|---|---|---|---|---|---|---|
| (%) | (mg·L−1) | ||||||||||
| NT | 0.00 | 0.000 | 0.00 | 0.0 | 25.9 | 10.0 | 0.00 | 0.00 | 0.01 | 0.01 | 0.00 |
| OC | 1.77 | 0.200 | 3.28 | 6.4 | 33.9 | 16.0 | 0.07 | 0.00 | 0.04 | 0.06 | 0.19 |
| BF | 0.62 | 0.200 | 1.01 | 25.8 | 34.5 | 12.3 | 0.03 | 0.00 | 0.02 | 0.03 | 0.00 |
| FP | 0.40 | 0.200 | 0.62 | 7.0 | 30.8 | 12.6 | 0.02 | 0.00 | 0.01 | 0.07 | 0.00 |
| SO | 0.36 | 0.200 | 6.71 | 15.2 | 30.3 | 12.8 | 0.01 | 0.00 | 0.05 | 0.04 | 0.23 |
| SF | 0.44 | 0.200 | 0.24 | 12.2 | 31.1 | 14.2 | 0.03 | 0.00 | 0.02 | 0.04 | 0.02 |
| LF | pH (1:5) | EC (dS·m−1) | OM (g·kg−1) | Total T-N (%) | P2O5 (mg·kg−1) | ExCation (cmolc·kg−1) | ||
|---|---|---|---|---|---|---|---|---|
| K2O | CaO | MgO | ||||||
| Pre application | ||||||||
| All plots | 7.0 | 0.21 | 12.9 | 0.06 | 243 | 0.33 | 12.9 | 3.8 |
| After application | ||||||||
| LNT | 7.4 b | 0.16 b | 36.3 c | 0.06 b | 232 c | 0.30 a | 12.3 b | 3.1 a |
| NT | 7.7 a | 0.37 a | 51.9 abc | 0.16 a | 661 ab | 0.24 a | 17.3 a | 2.6 ab |
| OC | 7.8 a | 0.40 a | 47.2 bc | 0.15 a | 626 b | 0.33 a | 18.1 a | 2.4 b |
| BF | 7.8 a | 0.39 a | 52.8 a | 0.16 a | 701 ab | 0.34 a | 17.2 a | 2.5 b |
| FP | 7.8 a | 0.39 a | 46.7 bc | 0.15 a | 740 a | 0.31 a | 18.3 a | 2.6 ab |
| SO | 7.8 a | 0.38 a | 48.6 abc | 0.15 a | 681 ab | 0.25 a | 17.9 a | 2.4 b |
| SF | 7.8 a | 0.36 a | 45.4 bc | 0.14 a | 669 ab | 0.22 a | 17.7 a | 2.7 ab |
| Desired level | 6.0–7.0 | 0.00–0.20 | 25–35 | – | 400–500 | 0.70–0.80 | 5.0–6.0 | 1.5–2.5 |
| LF | Number of OTUs | Good’s Coverage | Richness Estimator (Chao1) | Diversity Index | |
|---|---|---|---|---|---|
| Shannon | Inverse Simpson | ||||
| LNT | 886 b | 0.99 a | 1047 a | 7.74 a | 0.98 a |
| NT | 1140 a | 0.99 a | 1371 a | 7.91 a | 0.98 a |
| OC | 1193 a | 0.99a | 1445 a | 8.10 a | 0.99 a |
| BF | 1180 a | 0.99 a | 1394 a | 8.00 a | 0.98 a |
| FP | 1153 a | 0.99 a | 1354 a | 8.04 a | 0.99 a |
| SO | 1131 a | 0.99 a | 1375 a | 7.54 a | 0.97 a |
| SF | 1164 a | 0.99 a | 1365 a | 8.04 a | 0.99 a |
| LF | Nutrient Concentration (%) | ||||
|---|---|---|---|---|---|
| Total N | P | K | Ca | Mg | |
| LNT | 1.6 c | 0.05 c | 1.12 a | 3.4 c | 0.65 a |
| NT | 2.3 ab | 0.13 bc | 0.90 a | 4.4 bc | 0.65 a |
| OC | 2.7 a | 0.21 b | 1.06 a | 6.1 a | 0.72 a |
| BF | 2.1 b | 0.21 b | 0.95 a | 5.1 ab | 0.62 a |
| FP | 2.2 b | 0.13 bc | 1.06 a | 5.7 a | 0.65 a |
| SO | 2.3 ab | 0.21 b | 0.94 a | 5.7 a | 0.71 a |
| SF | 2.1 b | 0.44 a | 1.02 a | 5.1 ab | 0.61 a |
| Desired level | 1.8–2.3 | 0.1–0.4 | 0.4–0.6 | 0.4–0.8 | 0.1–0.3 |
| LF | Leaf | Plant Height (cm) | SCSA (cm2) | Plant DW (g) | SPW (g·cm−2) | ||||||
|---|---|---|---|---|---|---|---|---|---|---|---|
| 1st SPAD | 2nd SPAD | No. | Area (cm2) | DW (g) | Under | Above | Total | ||||
| LNT | 33.5 b | 30.7 b | 21.7 b | 313.2 c | 8.0 b | 16.0 b | 173.7 c | 189.7 c | 41.8 c | 28.2 c | 0.67 c |
| NT | 54.4 a | 43.3 a | 36.7 a | 602.4 ab | 16.1 a | 21.3 ab | 269.7 b | 291.0 b | 102.0 ab | 109.9 b | 1.08 b |
| OC | 53.2 a | 39.2 a | 38.7 a | 561.0 b | 15.6 a | 25.0 a | 322.3 a | 347.3 a | 95.0 ab | 106.7 b | 1.12 b |
| BF | 49.8 a | 39.5 a | 38.0 a | 616.9 ab | 18.9 a | 28.0 a | 317.7 a | 345.7 a | 102.0 ab | 132.9 ab | 1.30 ab |
| FP | 50.9 a | 42.8 a | 38.0 a | 677.2 a | 19.3 a | 25.0 a | 312.3 a | 337.3 a | 113.0 a | 116.9 b | 1.03 b |
| SO | 53.0 a | 42.0 a | 38.7 a | 621.1 ab | 18.8 a | 26.7 a | 319.0 a | 345.7 a | 83.3 b | 125.1 ab | 1.50 a |
| SF | 51.3 a | 44.8 a | 40.0 a | 642.7 ab | 19.2 a | 27.7 a | 338.0 a | 365.7 a | 116.8 a | 145.7 a | 1.25 ab |
| LF | Total Fruit Yield (kg·plant−1) | Fruit Yield Efficiency (%) | Length (mm) | Diameter (mm) | Avg. FW (g) | SSC (°Brix) | Firmness (N) | Hunter | Top Grade (%) | ||
|---|---|---|---|---|---|---|---|---|---|---|---|
| L* | a* | b* | |||||||||
| LNT | 0.6 d | 76.5 ab | 161.7 b | 25.2 c | 102.1 c | 2.1 c | 11.3 d | 53.0 a | −8.0 a | 32.4 c | 0.0 c |
| NT | 2.5 c | 81.4 ab | 230.3 a | 33.5 b | 182.9 b | 2.8 b | 12.7 c | 54.7 a | −9.8 bc | 34.1 bc | 6.7 c |
| OC | 3.0 bc | 71.5 b | 244.0 a | 35.6 ab | 216.8 a | 3.4 a | 14.2 a | 54.8 a | −10.6 c | 37.8 a | 20.0 ab |
| BF | 4.8 a | 86.8 a | 234.0 a | 36.8 a | 201.6 ab | 3.2 ab | 13.7 ab | 55.8 a | −10.0 bc | 35.6 ab | 10.0 bc |
| FP | 4.5 a | 88.7 a | 243.7 a | 35.0 ab | 224.8 a | 3.5 a | 12.9 c | 56.3 a | −9.6 bc | 34.6 bc | 30.0 a |
| SO | 4.6 a | 86.8 a | 242.0 a | 36.1 ab | 225.8 a | 3.3 a | 13.4 bc | 55.7 a | −9.8 bc | 36.4 ab | 30.0 a |
| SF | 3.9 ab | 84.6 a | 239.7 a | 36.0 ab | 215.0 a | 3.3 a | 13.3 bc | 56.9 a | −9.4 b | 35.2 abc | 10.0 bc |
Publisher’s Note: MDPI stays neutral with regard to jurisdictional claims in published maps and institutional affiliations. |
© 2020 by the authors. Licensee MDPI, Basel, Switzerland. This article is an open access article distributed under the terms and conditions of the Creative Commons Attribution (CC BY) license (http://creativecommons.org/licenses/by/4.0/).
Share and Cite
Jung, J.-S.; Choi, H.-S. Eco-Physiological Properties of Open-Field Cucumbers Responded to Organic Liquid Fertilizers. Sustainability 2020, 12, 9830. https://doi.org/10.3390/su12239830
Jung J-S, Choi H-S. Eco-Physiological Properties of Open-Field Cucumbers Responded to Organic Liquid Fertilizers. Sustainability. 2020; 12(23):9830. https://doi.org/10.3390/su12239830
Chicago/Turabian StyleJung, Ji-Sik, and Hyun-Sug Choi. 2020. "Eco-Physiological Properties of Open-Field Cucumbers Responded to Organic Liquid Fertilizers" Sustainability 12, no. 23: 9830. https://doi.org/10.3390/su12239830
APA StyleJung, J.-S., & Choi, H.-S. (2020). Eco-Physiological Properties of Open-Field Cucumbers Responded to Organic Liquid Fertilizers. Sustainability, 12(23), 9830. https://doi.org/10.3390/su12239830
