Assessing the Effectiveness of Natural Coating Application in Prolonging Shelf-Life in Plumcot Fruits
Abstract
1. Introduction
2. Materials and Methods
2.1. Fruit Collection
2.2. Coating Treatment
2.3. Fruit Quality Parameters
2.4. Total Flavonoid and Anthocyanins
2.5. Statistical Analysis
3. Results and Discussion
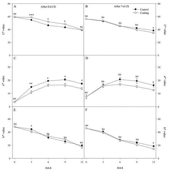
3.1. Fruit Morphological Characteristics and Respiration
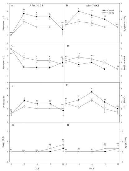
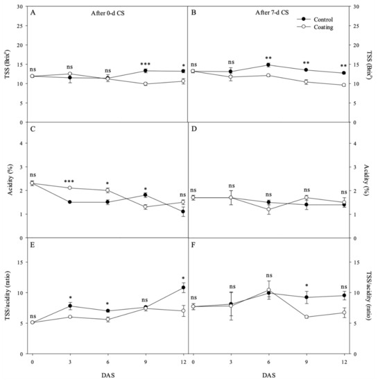
3.2. Fruit Quality
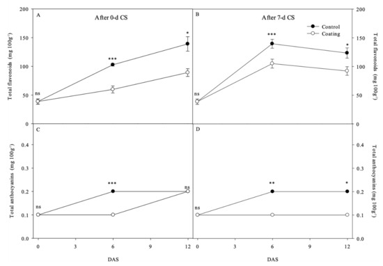
3.3. Total Flavonoid and Anthocyanins
4. Conclusions
Author Contributions
Funding
Institutional Review Board Statement
Informed Consent Statement
Data Availability Statement
Acknowledgments
Conflicts of Interest
References
- Jun, J.H.; Kwon, J.H.; Chung, K.H. ‘Harmony’ plumcot. J. Am. Pomol. Soc. 2011, 65, 47–51. [Google Scholar]
- Kwon, J.H.; Nam, E.Y.; Jun, J.H.; Chung, K.H.; Yun, S.K.; Kim, S.J.; Do, Y.S. Asian plum diversity based on phenotypic traits in republic of Korea. Korean J. Plant Res. 2018, 31, 254–267. [Google Scholar]
- Kwon, J.H.; Choi, H.J.; Nam, E.Y.; Yun, S.K.; Kim, S.J.; Lee, J.S. Postharvest characteristics of plumcot cultivars bred in Republic of Korea. Acta Hortic. 2020, 1290, 191–195. [Google Scholar] [CrossRef]
- Ledbetter, C.A.; Peterson, S.J.; Burgos, L. Variability of horticultural characteristics among plumcot [hybrid of Prunus armeniaca and P. salicina] progenies. J. Genet. Breed. 1994, 48, 117–124. [Google Scholar]
- Nam, E.Y.; Jun, J.H.; Chung, K.H.; Kwon, J.H.; Yun, S.K.; Yun, I.K.; Cho, K.H. ‘Tiffany’ red-fleshed plumcot. HortScience 2016, 51, 1304–1307. [Google Scholar] [CrossRef]
- Okie, W.R. Spring Satin plumcot. J. Am. Pomol. Soc. 2005, 59, 119–124. [Google Scholar]
- Gómez, E.; Ledbetter, C.A. Development of volatile compounds during fruit maturation: Characterization of apricot and plum × apricot hybrids. J. Sci. Food Agric. 1997, 74, 541–546. [Google Scholar] [CrossRef]
- Lim, B.S.; Yun, S.K.; Nam, E.Y.; Chun, J.P.; Cho, M.A.; Chung, D.S. Effects of storage temperature and 1-MCP treatment on postharvest quality in plumcot hybrid cv. Harmony. Hortic. Sci. Technol. 2013, 31, 203–210. [Google Scholar] [CrossRef][Green Version]
- Martínez-Romero, D.; Bailén, G.; Serrano, M.; Guillén, F.; Valverde, J.M.; Zapata, P.; Castillo, S.; Valero, D. Tools to maintain postharvest fruit and vegetable quality through the inhibition of ethylene action: A Review. Crit. Rev. Food Sci. Nutr. 2007, 47, 543–560. [Google Scholar] [CrossRef]
- Bai, E. Physicochemical changes in ‘Santa Rosa’ plum fruit treated with melatonin during cold storage. J. Food Meas. Charact. 2019, 13, 1713–1720. [Google Scholar]
- Eum, H.L.; Hwang, D.K.; Linke, M.; Lee, S.K.; Zude, M. Influence of edible coating on quality of plum (Prunus salicina Lindl. cv. ‘Sapphire’). Eur. Food Res. Technol. 2009, 229, 427–434. [Google Scholar] [CrossRef]
- Riva, S.C.; Opara, U.O.; Fawole, O.A. Recent developments on postharvest application of edible coatings on stone fruit: A review. Sci. Hortic. 2020, 262, 1–10. [Google Scholar] [CrossRef]
- Thakur, R.; Pristijono, P.; Golding, J.B.; Stathopoulos, C.E.; Scarlett, C.J.; Bowyer, M.; Singh, S.P.; Vuong, Q.V. Development and application of rice starch based edible coating to improve the postharvest storage potential and quality of plum fruit (Prunus salicina). Sci. Hortic. 2018, 237, 59–66. [Google Scholar] [CrossRef]
- Valero, D.; Díaz-Mula, H.M.; Zapata, P.J.; Guilléna, F.; Martínez-Romero, D.; Castillo, S.; Serrano, M. Effects of alginate edible coating on preserving fruit quality in four plum cultivars during postharvest storage. Postharvest Biol. Technol. 2013, 77, 1–6. [Google Scholar] [CrossRef]
- Zhang, L.; Chen, F.; Lai, S.; Wang, H.; Yang, H. Impact of soybean protein isolatechitosan edible coating on the softening of apricot fruit during storage. LWT Food Sci. Technol. 2018, 96, 604–611. [Google Scholar] [CrossRef]
- Lee, E.J. Chilling injury and phytochemical composition of peach fruits as affected by high carbon dioxide treatment before cold storage. Hortic. Environ. Biotechnol. 2014, 55, 190–195. [Google Scholar] [CrossRef]
- Ali, A.; Muhammad, M.T.M.; Sijam, K.; Siddiqui, Y. Effect of chitosan coatings on the physicochemical characteristics of Eksotika II papaya (Carica papaya L.) fruit during cold storage. Food Chem. 2011, 124, 620–626. [Google Scholar] [CrossRef]
- Bai, J.; Baldwin, E.A.; Hagenmaier, R.D. Coating selection for apples other than ‘Delicious’. Postharvest Biol. Technol. 2003, 28, 381–390. [Google Scholar] [CrossRef]
- Bhardwaj, C.L.; Jones, H.F.; Smith, L.H. A study of the migration of externally applied sucrose esters of fatty acids through the skin of banana, apple and pear fruits. J. Sci. Food Agric. 1984, 35, 322–331. [Google Scholar] [CrossRef]
- Dhall, R.K. Advances in edible coatings for fresh fruits and vegetables: A review. Crit. Rev. Food Sci. Nutr. 2013, 53, 435–450. [Google Scholar] [CrossRef] [PubMed]
- Drake, S.R.; Fellman, J.K.; Nelson, J.W. Postharvest use of sucrose polyesters for extending the shelf-life of stored ‘Golden Delicious’ apples. J. Food Sci. 1987, 52, 1283–1285. [Google Scholar] [CrossRef]
- Flores-López, M.L.; Cerqueira, M.A.; de Rodríguez, D.J.; Vicente, A.A. Perspectives on utilization of edible coatings and nano-laminate coatings for extension of postharvest storage of fruits and vegetables. Food Eng. Rev. 2016, 8, 292–305. [Google Scholar] [CrossRef]
- Hasan, S.M.K.; Nicolai, B. Quality of pears with permeability of bio-freshTM edible coatings. Afr. J. Food Sci. 2014, 8, 410–418. [Google Scholar]
- Hwang, Y.S.; Lee, J.C.; Chun, J.P. Effect of fruit coatings on the marketable quality in ‘Tsugaru’ apples during storage and simulated marketing. J. Agric. Sci. 1992, 19, 136–144. [Google Scholar]
- Jung, S.K.; Choi, H.S. Fruit quality and antioxidant activities of yellow-skinned apple cultivars coated with natural sucrose monoesters. Sustainability 2021, 13, 2423. [Google Scholar] [CrossRef]
- Lee, J.H.; Min, S.C.; Song, K.B. Effects of edible coating on the quality change in ‘Hongro’ apples during storage. J. Appl. Biol. Chem. 2015, 58, 61–64. [Google Scholar] [CrossRef][Green Version]
- Momen, M.N.; Tatsumi, Y.; Shimokawa, K. Effects of coating treatment with sucrose fatty acid esters on the ripening of Cavendish banana. Food Preserv. Sci. 1997, 6, 315–320. [Google Scholar] [CrossRef][Green Version]
- Nimitkeatkai, H.; Srilaong, V.; Kanlayanarat, S. Effect of edible coating on pineapple fruit quality during cold storage. Acta Hortic. 2006, 712, 643–648. [Google Scholar] [CrossRef]
- Novianti, C.; Dwivany, F.M. Chitosan-based edible coating prolongs Musa troglodytarum L. (‘Pisang Tongkat Langit’) fruit shelf-life and changes the ACS1 and ACO1 gene expression profile. Pertanika J. Trop. Agric. Sci. 2020, 43, 563–581. [Google Scholar]
- Tharanathan, R.N. Biodegradable films and composite coatings: Past, present and future. Trends Food Sci. Technol. 2003, 14, 71–78. [Google Scholar] [CrossRef]
- Wang, S.Y.; Gao, H. Effect of chitosan-based edible coating on antioxidants, antioxidant enzyme system, and postharvest fruit quality of strawberries (Fragaria x aranassa Duch.). LWT Food Sci. Technol. 2013, 52, 71–79. [Google Scholar] [CrossRef]
- Xuan, H.; Streif, J. Effect of pre- and postharvest application of ‘Biofresh’ coating on the keepability of apple fruits. Acta Hortic. 1987, 513, 483–492. [Google Scholar]
- Zhang, S.; Li, Y.; Pei, F. Carbon monoxide fumigation improved the quality, nutrients, and antioxidant activities of postharvest peach. Int. J. Food Sci. 2014, 2014, 834150. [Google Scholar] [CrossRef] [PubMed]
- Chang, C.C.; Yang, M.H.; Wen, H.M.; Chern, J.C. Estimation of total flavonoid content in propolis by two complementary colorimetric methods. J. Food Drug Anal. 2002, 10, 178–182. [Google Scholar]
- Lee, J.M.; Durst, R.W.; Wrolstad, R.E. Determination of total monomeric anthocyanin pigment content of fruit juices, beverages, natural colorants, and wines by the pH differential method: Collaborative study. J. AOAC Int. 2005, 88, 1269–1278. [Google Scholar] [CrossRef] [PubMed]
- Crisosto, C.H.; Crisosto, G.; Neri, F. Understanding Tree fruit quality based on consumer acceptance. Acta Hortic. 2006, 712, 183–189. [Google Scholar] [CrossRef]
- Lopez, G.; Behboudian, M.H.; Echeverria, G.; Girona, J.; Marsal, J. Instrumental and sensory evaluation of fruit quality for ‘Ryan’s Sun’ peach grown under deficit irrigation. HortTechnology 2011, 21, 712–719. [Google Scholar] [CrossRef]
- Chen, H.Y.; Jiang, L.F.; Zeng, J.H.; Huo, Y.R.; Li, Y.X. Combination of carnauba wax-based coating and 1-methylcyclopropene (1-MCP) maintains better ‘‘Fuji’’ apple qualities during storage at low temperature. J. Food Process. Preserv. 2020, 44, 921–925. [Google Scholar] [CrossRef]









Publisher’s Note: MDPI stays neutral with regard to jurisdictional claims in published maps and institutional affiliations. |
© 2021 by the authors. Licensee MDPI, Basel, Switzerland. This article is an open access article distributed under the terms and conditions of the Creative Commons Attribution (CC BY) license (https://creativecommons.org/licenses/by/4.0/).
Share and Cite
Jung, S.-K.; Choi, H.-S. Assessing the Effectiveness of Natural Coating Application in Prolonging Shelf-Life in Plumcot Fruits. Sustainability 2021, 13, 10737. https://doi.org/10.3390/su131910737
Jung S-K, Choi H-S. Assessing the Effectiveness of Natural Coating Application in Prolonging Shelf-Life in Plumcot Fruits. Sustainability. 2021; 13(19):10737. https://doi.org/10.3390/su131910737
Chicago/Turabian StyleJung, Seok-Kyu, and Hyun-Sug Choi. 2021. "Assessing the Effectiveness of Natural Coating Application in Prolonging Shelf-Life in Plumcot Fruits" Sustainability 13, no. 19: 10737. https://doi.org/10.3390/su131910737
APA StyleJung, S.-K., & Choi, H.-S. (2021). Assessing the Effectiveness of Natural Coating Application in Prolonging Shelf-Life in Plumcot Fruits. Sustainability, 13(19), 10737. https://doi.org/10.3390/su131910737
