Numerical Simulation of the Interaction between Fibre Concrete Slab and Subsoil—The Impact of Selected Determining Factors
Abstract
1. Introduction
- the increased load-bearing capacity of concrete structure
- reduction of concrete slab thickness
- increased durability
- low maintenance costs
- improved flexural properties
- reduced site work for managing steel reinforcement
- reduced project costs
- increased impact and abrasion resistance
2. Materials & Methods
2.1. Fundamental Characteristics and Results of Experimental Fibre Concrete Slab Testing
2.2. Numerical Modelling of the Fibre Slab-Subsoil Interaction
3. Results
- evaluation of the dependence of the vertical displacements of the slab on the applied constitutive model of the slab material (assuming identical input characteristics of Mohr-Coulomb and Drucker-Prager model), comparison of results
- assessment of vertical displacements and deflection of slab corresponding to the variant shear strength parameters of subsoil assuming Mohr-Coulomb model of both slab and subsoil (without interface elements), comparison with monitored results
- assessment of vertical displacements and deflection of slab corresponding to the variant Young’s modulus of subsoil assuming Mohr-Coulomb model of both slab and subsoil (without interface elements), comparison with monitored results
- evaluation of interface elements effect on the vertical displacements and deflection of the slab assuming Mohr-Coulomb model of both slab and subsoil, comparison with monitored results
3.1. Evaluation of the Dependence of the Vertical Displacements of the Slab on the Applied Constitutive Model of the Slab Material
3.2. Assessment of Vertical Displacements and Deflection of Slab Corresponding to the Variant Shear Strength Parameters of Subsoil Assuming Mohr-Coulomb Model of Both Slab and Subsoil (without Interface Elements), Comparison with Monitored Results
3.3. Assessment of Vertical Displacements and Deflection of Slab Corresponding to the Variant Young’s Modulus of Subsoil Assuming Mohr-Coulomb Model of Both Slab and Subsoil (without Interface Elements), Comparison with Monitored Results
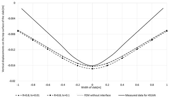
3.4. Evaluation of Interface Elements Effect on the Vertical Displacements of the Slab
4. Conclusions
- From the quantitative point of view the Mohr-Coulomb model of slab overestimated both the results of vertical displacements of slab based on the elastic or Drucker-Prager model and experimental results (the difference between the max. vertical displacements assuming Mohr-Coulomb model and experimental measurements achieved 12% in this study). Thus, Mohr-Coulomb model of slab (assuming Mohr-Coulomb model of subsoil) assessed the maximal vertical displacements of the centre of slab on the safety side. The measured maximum vertical displacement in the centre of the slab (under the compressive stressed part of slab) was not achieved with the elastic, Mohr-Coulomb and the Drucker-Prager constitutive models. Mohr-Coulomb overestimated the maximum vertical displacements in the slab centre, while Drucker-Prager underestimated this maximum value for the same input data. In the tensile stressed part of slab both elastoplastic constitutive models overestimated the measured value of vertical displacements. Elastic model underestimated the experimental results (about 37%).
- From the qualitative point of view (shape of deflection curve), the numerical simulation showed the better agreement of the Mohr-Coulomb constitutive model with the experimental measurements in comparison with both other constitutive models. Unlike the elastic and Drucker-Prager model, the curves of both measured and calculated vertical displacements using Mohr-Coulomb model were characterized by the significant differences between the centre of slab and its edge, which corresponds better with the observed real behaviour of slab. But even with the application of Mohr-Coulomb model, experimentally investigated greater deflection was not achieved. Thus, none of the considered constitutive models was able to capture the real shape of the deflection curve in this study, the model indicated smaller deflections of the slab.
- The results, assuming elastic constitutive model, confirmed the unsuitability of the application of this simple elastic constitutive model to the modelling of slab-subsoil interaction from both qualitative and quantitative point of views.
- Assuming Mohr-Coulomb constitutive model of slab without the interface, the shear strength characteristics of subsoil (cohesion and friction angle) affected the maximum vertical displacements in the centre of slab, but there is no effect on the vertical displacements at the edges after the lift of a boundary parts of slab was manifested. With the reduction of the shear strength characteristics of the subsoil, a larger deflection of the slab was achieved in the model, but nevertheless the experimentally measured deflection curve (reflected in internal forces inside of slab) was achieved by the numerical model based on the Mohr-Coulomb constitutive model.
- The Mohr-Coulomb model of slab without interface showed that the calculated vertical displacement of the edges of slab remained the same regardless of the slab load after the lift of a boundary part of the slab was manifested. Of course, the maximum vertical displacements in the centre of slab increased with increasing load.
- The change of deformation characteristics in the subsoil did not lead to the achievement of the measured deflection of the slab after the lift of a boundary part of slab was manifested. Only the maximum vertical measured displacement in the centre of slab was achieved by the model changing the subsoil strength and deformational characteristics.
- The need to apply contact (interface) elements has been shown in this study. These elements can to take into account the reduction of the contact area between the slab and the subsoil resulted from the experimentally observed significant deflection and gapping occurrence between the slab and the subsoil. The effect of interface elements was not significant in case of lower load without manifestation of significant plastic deformation. But for the higher load, the application of contact elements in the model led to a more realistic view of the slab-subsoil interaction, to the redistribution of contact stress in the subsoil from the central part towards the edges and to the lift of the corners of the slab.
- Numerical model based on the finite element method (using MIDAS GTS NX software), assuming Mohr-Coulomb constitutive model for both of slab and subsoil material, can be used to the modelling of slab- subsoil interaction, but certain above mentioned limitations of the modelling results should be taken into account. Especially, assuming elastic, Mohr-Coulomb or Drucker-Prager constitutive model, modelled deflection and the resulting internal forces inside the slab could be underestimated.
- To obtain more reliable results from of the both qualitative and quantitative points of view, it would be necessary to apply more advanced constitutive models of both subsoil and fibre concrete slabs, considering the hardening and softening phenomenon of material and the partial loss of stiffness due to the cracking of concrete [44]. Attention must be also paid to further study of the properties and the behaviour of interface elements and to other numerical methods, including mesh free methods of cracks mechanics [45,46].
- The performed study confirmed that the problem of slab-subsoil interaction is associated significantly with both the geotechnical and structural engineering. Every user of specialized software, whether geotechnical or structural, should be aware of the fact that certain aspects of the previously mentioned engineering areas are emphasized at the expense of others in this software. In specialized geotechnical software (MIDAS GTS NX, PLAXIS, etc.) the structural elements are usually more simplified (often only their elastic behaviour is considered), but the subsoil can be modelled in the more details. On the other hand, the specialized structural software (ANSYS, SCIA Engineer etc.) have option to detailed modelling of structural element behaviour, but the subsoil behaviour is usually more simplified. This fact is necessary to consider when assessing the reliability of the results of numerical models. It is optimal to verify the results of modelling by monitoring, as was done in this presented contact problem.
Author Contributions
Funding
Acknowledgments
Conflicts of Interest
References
- Vandewalle, L.; Nemegeer, D.; Balazs, G.L.; Barr, B.; Bartos, P.; Banthia, N.; Brandt, A.M.; Criswell, M.; Denarie, F.; di Prisco, M.; et al. Recommendations of RILEM TC 162-TDF: Test and design methods for steel fibre reinforced concrete Uni-axial tension test for steel fibre reinforced concrete. Mater. Struct. 2005, 34, 3–6. [Google Scholar] [CrossRef]
- Sucharda, O.; Bilek, V. Aspects of Testing and Material Properties of Fiber Concrete. Solid State Phenom. 2019, 292, 9–14. [Google Scholar] [CrossRef]
- Marar, K.; Eren, O.; Roughani, H. The influence of amount and aspect ratio of fibers on shear behaviour of steel fiber reinforced concrete. KSCE J. Civ. Eng. 2016, 21, 1393–1399. [Google Scholar] [CrossRef]
- Song, P.S.; Hwang, S. Mechanical properties of high-strength steel fiber-reinforced concrete. Constr. Build. Mater. 2004, 18, 669–673. [Google Scholar] [CrossRef]
- Swamy, R.; Lankard, D.R. Some practical applications of steel fibre reinforced concrete. Proc. Inst. Civ. Eng. 1974, 56, 235–256. [Google Scholar] [CrossRef]
- Brandt, A.M. Fibre reinforced cement-based (FRC) composites after over 40 years of development in building and civil engineering. Compos. Struct. 2008, 86, 3–9. [Google Scholar] [CrossRef]
- Elsaigh, W.A. A Comparative Evaluation of Plain and Steel Fiber Reinforced Concrete Ground Slabs. Master’s Thesis, University of Pretoria, Pretoria, South Africa, 2001. [Google Scholar]
- Falkner, H.; Huang, Z.; Teutsch, M. Comparative study of plain and steel fiber reinforced concrete ground slabs. Concr. Int. 1995, 17, 45–51. [Google Scholar]
- Meier, A. Typical damage to industrial floors built in concrete and steel-fiber reinforced concrete. Betonw. Und. Fert. Tech. Concr. Plant Precast Technol. 2011, 77, 174–175. [Google Scholar]
- Pollak, P.; Zlatinska, L. Influence of subsoil quality on design of slab foundation. In Roczniki Inzynierii Budowlanej; Zeszyt: Katowice, Poland, 2013; Volume 13, ISSN 1505-8425. [Google Scholar]
- Tomasovicova, D.; Jendzelovsky, N. Stiffness Analysis of the Subsoil under Industrial Floor. Procedia Eng. 2017, 190, 365–370. [Google Scholar] [CrossRef]
- Hegger, J.; Ricker, M.; Ulke, B.; Ziegler, M. Investigations on the punching behaviour of reinforced concrete footings. Eng. Struct. 2007, 29, 2233–2241. [Google Scholar] [CrossRef]
- Shentu, L.; Jiang, D.; Hsu, C.-T.T. Load-Carrying Capacity for Concrete Slabs on Grade. J. Struct. Eng. 1997, 123, 95–103. [Google Scholar] [CrossRef]
- Sucharda, O.; Smirakova, M.; Vašková, J.; Matečkov, Á.P.; Kubosek, J.; Čajka, R. Punching Shear Failure of Concrete Ground Supported Slab. Int. J. Concr. Struct. Mater. 2018, 12, 36. [Google Scholar] [CrossRef]
- Čajka, R.; Burkovič, K.; Buchta, V. Foundation Slab in Interaction with Subsoil. Adv. Mater. Res. 2013, 838, 375–380. [Google Scholar] [CrossRef]
- Čajka, R.; Vašková, J.; Labudková, J. Fibre Concrete Foundation Slab Experiment and FEM Analysis. Key Eng. Mater. 2014, 627, 441–444. [Google Scholar] [CrossRef]
- Čajka, R. Experimetal measurement of soil-prestressed foundation interaction. Int. J. GEOMATE 2016, 10, 2101–2108. [Google Scholar] [CrossRef]
- Barros, J.A.; Figueiras, J.A. Experimental behaviour of fibre concrete slabs on soil. Mech. Cohesive-Frict. Mater. 1998, 3, 277–290. [Google Scholar] [CrossRef]
- Sorelli, L.G.; Meda, A.; Plizzari, G. Steel Fiber Concrete Slabs on Ground: A Structural Matter. ACI Struct. J. 2006, 103, 551–558. [Google Scholar] [CrossRef]
- Alani, A.M.; Aboutalebi, M. Analysis of the subgrade stiffness effect on the behaviour of ground-supported concrete slabs. Struct. Concr. 2012, 13, 102–108. [Google Scholar] [CrossRef]
- Alani, A.M.; Rizzuto, J.; Beckett, D.; Aboutalebi, M. Structural behaviour and deformation patterns in loaded plain concrete ground-supported slabs. Struct. Concr. 2014, 15, 81–93. [Google Scholar] [CrossRef]
- Siburg, C.; Hegger, J. Experimental investigations on the punching behaviour of reinforced concrete footings with structural dimensions. Struct. Concr. 2014, 15, 331–339. [Google Scholar] [CrossRef]
- Alani, A.; Beckett, D.; Khosrowshahi, F. Mechanical behaviour of a steel fibre reinforced concrete ground slab. Mag. Concr. Res. 2012, 64, 593–604. [Google Scholar] [CrossRef]
- Huang, X.; Liang, X.; Liang, M.; Deng, M.; Zhu, A.; Xu, Y.; Wang, X.; Li, Y. Experimental and theoretical studies on interaction of beam and slab for cast-in-situ reinforced concrete floor structure. J. Build. Struct. Jianzhu Jiegou Xuebao 2013, 34, 63–71. [Google Scholar]
- Le, T.D.; Nguyen, Q.T.; Cajka, R. Numerical Analysis of Subsoil-Reinforced Concrete Slab Interaction. Sect. Build. Struct. Struct. Mech. 2018, 18. [Google Scholar] [CrossRef]
- Breeveld, B.J.S. Modelling the Interaction between Structure and Soil for Shallow Foundations-A Computational Modelling Approach. Ph.D. Thesis, Delft University of Technology, Delft, The Netherlands, 2013. [Google Scholar]
- Dutta, S.C.; Roy, R. A critical review on idealization and modeling for interaction among soil–foundation–structure system. Comput. Struct. 2002, 80, 1579–1594. [Google Scholar] [CrossRef]
- Boswell, L.F.; Scott, C.R. A flexible circular plate on a heterogeneous elastic half-space: Influence coefficients for contact stress and settlement. Géotechnique 1975, 25, 604–610. [Google Scholar] [CrossRef]
- Brown, P.T. Numerical analysis of uniformly loaded circular rafts on elastic layers of finite depth. Geotechnique 1969, 19, 301–306. [Google Scholar] [CrossRef]
- Labudkova, J.; Cajka, R. Comparison of Analysis of Linear Inhomogeneous and Nonlinear Half-Space in Foundation-Subsoil Interaction. Internat. J. Mech. 2016, 10, 90–98. [Google Scholar]
- Cajka, R.; Labudkova, J. Dependence of deformation of a plate on the subsoil in relation to the parameters of the 3D model. Int. J. Mech. 2014, 8, 208–215. [Google Scholar]
- Labudkova, J.; Čajka, R. Numerical analyses of interaction of steel-fibre reinforced concrete slab model with subsoil. Frat. Integrità Strutt. 2016, 11, 47–55. [Google Scholar] [CrossRef]
- Genikomsou, A.; Polak, M.A. Finite Element Simulation of Concrete Slabs with various Placement and Amount of Shear Bolts. Procedia Eng. 2017, 193, 313–320. [Google Scholar] [CrossRef]
- K.G.S. Modelling of soil-structure interaction. Comput. Geotech. 1990, 9, 236–237. [Google Scholar] [CrossRef]
- Shekarbeigi, M.; Sharafi, H. Constitutive Model for Concrete: An Overview. Curr. World Environ. 2015, 10, 782–788. [Google Scholar] [CrossRef]
- Kralik, J.; Jendzelovsky, N. Contact problem of the reinforced concrete girder and non-linear Winkler foundations. In Geomechanics 93; Routledge: London, UK, 1994; pp. 233–236. [Google Scholar]
- Fwa, T.F.; Shi, X.P.; Tan, S.A. Use of Pasternak Foundation Model in Concrete Pavement Analysis. J. Transp. Eng. 1996, 122, 323–328. [Google Scholar] [CrossRef]
- MIDAS GTS Manual; MIDAS information Technology Co., Ltd.: Gyeonggi-do, Korea, 2017.
- Brinkgreve, R.B.J.; Broere, W.; Waterman, D. Plaxis 2D 2008; Plaxis B.V.: Delft, The Netherlands; ISBN 90-808079-4-X.
- Čajka, R.; Křivý,, V.; Sekanina, D. Design and Development of a Testing Device for Experimental Measurements of Foundation Slabs on the Subsoil. Trans. VŠB Tech. Univ. Ostrav. Civil. Eng. Ser. 2011, XI, 1–5. [Google Scholar] [CrossRef]
- Hrubešová, E.; Mohyla, M.; Lahuta, H.; Bui, T.Q.; Nguyen, P.D. Experimental Analysis of Stresses in Subsoil below a Rectangular Fiber Concrete Slab &dagger. Sustainability 2018, 10, 2216. [Google Scholar] [CrossRef]
- Lahuta, H.; Hrubešová, E.; Mohyla, M.; Duris, L.; Pinka, M. Assessment of Fiber Reinforced Concrete Slab and Subsoil Interaction—Experiment. Key Eng. Mater. 2018, 761, 169–172. [Google Scholar] [CrossRef]
- Čajka, R.; Marcalikova, Z.; Kozielova, M.; Mateckova, P.; Sucharda, O. Experiments on Fiber Concrete Foundation Slabs in Interaction with the Subsoil. Sustainability 2020, 12, 3939. [Google Scholar] [CrossRef]
- Babu, R.R.; Benipal, G.; Singh, A.K. Constitutive modelling of concrete: An overview. Asian J. Civ. Eng. 2005, 6. [Google Scholar]
- Rabczuk, T.; Zi, G.; Bordas, S.P.A.; Nguyen-Xuan, H. A geometrically non-linear three-dimensional cohesive crack method for reinforced concrete structures. Eng. Fract. Mech. 2008, 75, 4740–4758. [Google Scholar] [CrossRef]
- Rabczuk, T.; Belytschko, T. Cracking particles: A simplified meshfree method for arbitrary evolving cracks. Int. J. Numer. Methods Eng. 2004, 61, 2316–2343. [Google Scholar] [CrossRef]












| Slab No. | Concrete | Dosage of Fibers kg/m3 | Compressive Strength [MPa] (Cylindrical Samples—An Average of 3 Tests) | Compressive Strength [MPa] (Cubic Samples—An Average of 6 Tests) | Young’s Module of Elasticity [GPa] (Cylindrical Samples—An Average of 3 Tests) |
|---|---|---|---|---|---|
| G05 | C 20/25 | 25 | 24.86 | 30.9 | 19.7 |
| Unit Weight kN/m3 | Elastic Modulus MPa | Poisson’s Ration | Cohesion kPa | Friction Angle deg- | |
|---|---|---|---|---|---|
| Subsoil | 19 | 12 | 0.35 | 9 | 19 |
Publisher’s Note: MDPI stays neutral with regard to jurisdictional claims in published maps and institutional affiliations. |
© 2020 by the authors. Licensee MDPI, Basel, Switzerland. This article is an open access article distributed under the terms and conditions of the Creative Commons Attribution (CC BY) license (http://creativecommons.org/licenses/by/4.0/).
Share and Cite
Duris, L.; Hrubesova, E. Numerical Simulation of the Interaction between Fibre Concrete Slab and Subsoil—The Impact of Selected Determining Factors. Sustainability 2020, 12, 10036. https://doi.org/10.3390/su122310036
Duris L, Hrubesova E. Numerical Simulation of the Interaction between Fibre Concrete Slab and Subsoil—The Impact of Selected Determining Factors. Sustainability. 2020; 12(23):10036. https://doi.org/10.3390/su122310036
Chicago/Turabian StyleDuris, Lukas, and Eva Hrubesova. 2020. "Numerical Simulation of the Interaction between Fibre Concrete Slab and Subsoil—The Impact of Selected Determining Factors" Sustainability 12, no. 23: 10036. https://doi.org/10.3390/su122310036
APA StyleDuris, L., & Hrubesova, E. (2020). Numerical Simulation of the Interaction between Fibre Concrete Slab and Subsoil—The Impact of Selected Determining Factors. Sustainability, 12(23), 10036. https://doi.org/10.3390/su122310036

