Evaluation of Geomagnetic Induced Current on 275 kV Power Transformer for a Reliable and Sustainable Power System Operation in Malaysia
Abstract
1. Introduction
2. GIC Impacts on the Transformer
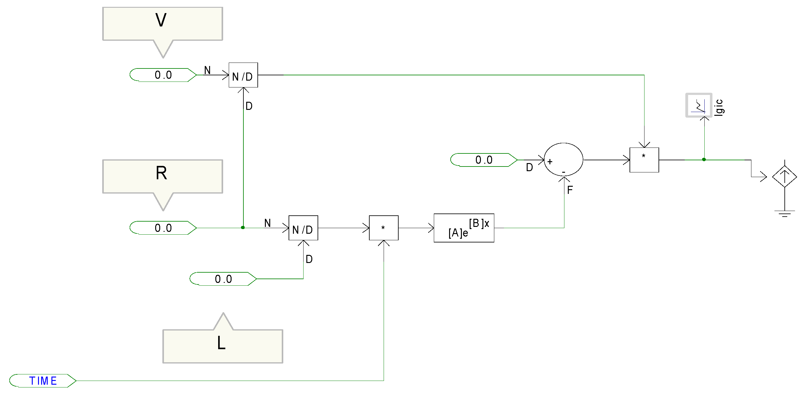
3. Modeling of GIC
- Igic = Geomagnetic induced current
- V = Voltage induced at the primary side of the transformer
- R = Resistance of power transformer
- L = Inductance of power transformer
- t = Time taken in seconds (s)
4. Description of Test System
5. Results and Discussions
5.1. Simulation Result under Base Case Condition
5.2. GIC Impact Analysis on Voltage Stability
5.3. Simulation Results and Analysis of GIC Impact on the 275 kV Power Transformer
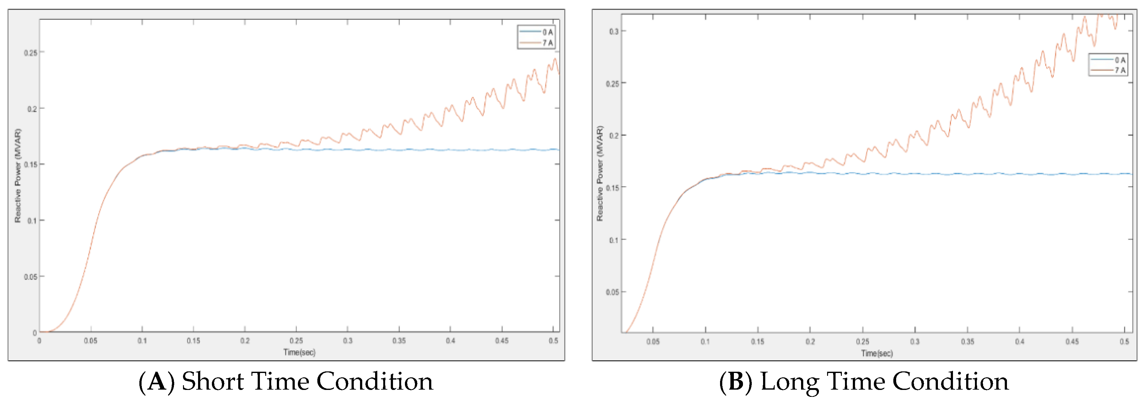
5.3.1. Case 1: Low Magnitude of GIC
5.3.2. Case 2: High Magnitude of GIC
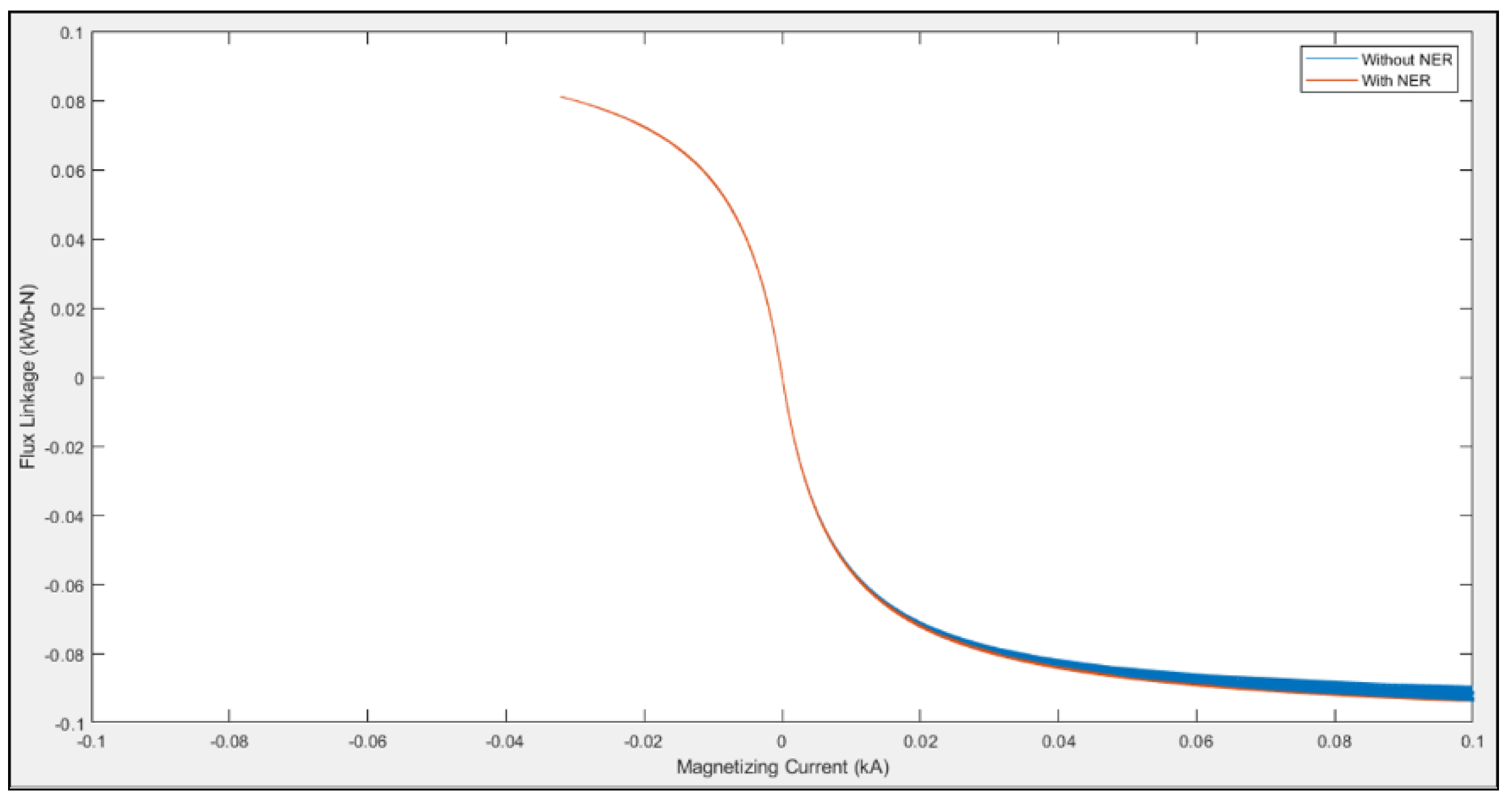
5.4. GIC Mitigation on 275 kV Power Transformer
6. Conclusions
- Studies on GIC impact on power systems for low latitude countries are few due to the conceptual understanding that at low latitude they are not affected by the GIC. In contrast, studies have shown that GIC resulting from several other GMDs took place apart from the solar storms. Taking into consideration the probability for this event to happen, especially in South East Asian (SEA) region countries, the present work has successfully provided a reference for other researchers, or power utilities, to look into their system resiliency.
- Analysis of GIC impacted on a power transformer in Malaysia was modeled based on the actual 275 kV network provided by the local power utility, as opposed to many studies that only focused on the assumed network parameters or only on the transformer. The literature has shown that detail, or a comprehensive network, is required for more accurate analyses. On the other hand, analysis of the impacts of GIC on the Malaysian power system network has not been reported in the past, particularly on the sensitivity of power transformers with respect to the duration of the GIC in order to investigate influence on the flux linkage, magnetizing current, active power, reactive power and hysteresis curves
- Simulation showed that long duration coupled with high magnitude of GIC is the most hazardous to power transformers leading to power system voltage instability. It was also shown that the magnitude of the GIC had a greater impact on the power transformer compared to GIC duration alone.
- Application of an NER as one of the mitigation factors for GIC clearly demonstrated its capability in minimizing, if not eliminating, damage to the power transformer. Results indicate that when an NER of 315.10 Ω was connected to the system, the voltage of the transformer increased to the standard allowable limit and that affected the other parameters observed in the system. Hence, this will improve power system reliability as it is an important aspect of modern technology power supplies.
Author Contributions
Funding
Conflicts of Interest
References
- Zanetti, L.J. Review of North American Electric Reliability Corporation (NERC) Interim Report: Effects of Geomagnetic Disturbances on the Bulk Power System-February. Space Weather 2013, 11, 335–336. [Google Scholar] [CrossRef]
- Fulnecek, J.; Mach, V.; Vramba, J. Space weather effects on power grids. In Proceedings of the 2015 16th International Scientific Conference on Electric Power Engineering (EPE), Kouty nad Desnou, Czech Republic, 20–22 May 2015; pp. 499–502. [Google Scholar]
- Ngwira, C.M. Geomagnetically Induced Current Characteristics in Southern Africa. Master’s Thesis, Rhodes University, Grahamstown, South Africa, 2008. [Google Scholar]
- Matandirotya, E. Measuring Geomagnetically And Induced Modelling Of Currents (GIC) In Power Lines. Ph.D. Thesis, Cape Peninsula University of Technology, Cape Town, South Africa, 2016. [Google Scholar]
- Nishiura, R.; Yamashita, S.; Kano, S. Simulation analysis of geomagnetically-induced currents (GIC) effects on shell-form transformers. In Proceedings of the 2013 IEEE Power & Energy Society General Meeting, Vancouver, BC, Canada, 21–25 July 2013; pp. 1–5. [Google Scholar]
- Latiff, Z.I.A.; Anuar, N.M.; Jusoh, M.H.; Ab Rahim, S.A.E. Latitudinal Investigation on the Variation of Solar Wind Parameters towards Geomagnetically Induced Currents during 7–8 September 2017 Disturbed Period. In Proceedings of the 2018 IEEE 8th International Conference on System Engineering and Technology (ICSET), Bandung, Indonesia, 15–16 October 2018; pp. 123–127. [Google Scholar]
- Ramírez-Niño, J.; Haro-Hernández, C.; Rodriguez-Rodriguez, J.H.; Mijarez, R. Core saturation effects of geomagnetic induced currents in power transformers. J. Appl. Res. Technol. 2016, 14, 87–92. [Google Scholar] [CrossRef]
- Abu Hussein, A.; Ali, M.H. Suppression of geomagnetic induced current using controlled ground resistance of transformer. Electr. Power Syst. Res. 2016, 140, 9–19. [Google Scholar] [CrossRef]
- Kappenman, J. A perfect storm of planetary proportions. IEEE Spectr. 2012, 49, 26–31. [Google Scholar] [CrossRef]
- Ngwira, C.M.; Pulkkinen, A.A.; Bernabeu, E.; Eichner, J.; Viljanen, A.; Crowley, G. Characteristics of extreme geoelectric fields and their possible causes: Localized peak enhancements. Geophys. Res. Lett. 2015, 42, 6916–6921. [Google Scholar] [CrossRef]
- Kasran, F.A.M.; Jusoh, M.H.; Rahim, S.A.E.A.; Abdullah, N. Geomagnetically Induced Currents (GICs) in Equatorial Region. In Proceedings of the 2018 IEEE 8th International Conference on System Engineering and Technology (ICSET), Bandung, Indonesia, 15–16 October 2018; pp. 112–117. [Google Scholar]
- Koen, J.; Gaunt, C.T. Geomagnetically induced current at mid-latitude. Int. Union Radio Sci. Gen. Assem. Maastricht 2002. Available online: http://citeseerx.ist.psu.edu/viewdoc/download?doi=10.1.1.467.4138&rep=rep1&type=pdf (accessed on 21 June 2020).
- Gaunt, C.T.; Coetzee, G. Transformer failures in regions incorrectly considered to have low GIC-risk. In Proceedings of the 2007 IEEE Lausanne Power Tech, Lausanne, Switzerland, 1–5 July 2007; pp. 807–812. [Google Scholar]
- Ghoddousi-Fard, R.; Lahaye, F. High latitude ionospheric disturbances: Characterization and effects on GNSS precise point positioning. In Proceedings of the 2015 International Association of Institutes of Navigation World Congress (IAIN), Prague, Czech Republic, 20–23 October 2015; pp. 1–6. [Google Scholar]
- Falayi, E.; Ogunmodimu, O.; Bolaji, O.; Ayanda, J.; Ojoniyi, O. Investigation of geomagnetic induced current at high latitude during the storm-time variation. NRIAG J. Astron. Geophys. 2017, 6, 131–140. [Google Scholar] [CrossRef]
- Marusek, J. Solar Storm Threat Analysis; Impact: Bloom, IN, USA, 2007; pp. 1–29. Available online: https://www.jumpjet.info/Emergency-Preparedness/Disaster-Mitigation/NBC/EM/Solar_Storm_Threat_Analysis.pdf (accessed on 15 May 2020).
- Cliver, E.W.; Svalgaard, L. The 1859 Solar–Terrestrial Disturbance And the Current Limits of Extreme Space Weather Activity. Sol. Phys. 2004, 224, 407–422. [Google Scholar] [CrossRef]
- Ngwira, C.M.; Pulkkinen, A.; Mays, M.L.; Kuznetsova, M.M.; Galvin, A.B.; Simunac, K.; Baker, D.N.; Li, X.; Zheng, Y.; Glocer, A. Simulation of the 23 July 2012 extreme space weather event: What if this extremely rare CME was Earth directed? Space Weather 2013, 11, 671–679. [Google Scholar] [CrossRef]
- Evans, R.M.; Pulkkinen, A.; Zheng, Y.; Mays, M.L.; Taktakishvili, A.; Kuznetsova, M.M.; Hesse, M. The SCORE Scale: A Coronal Mass Ejection Typification System Based On Speed. Space Weather 2013, 11, 333–334. [Google Scholar] [CrossRef]
- Ray, S.; Roy, B.; Paul, K.S.; Goswami, S.; Oikonomou, C.; Haralambous, H.; Chandel, B.; Paul, A. Study of the effect of 17–18 March 2015 geomagnetic storm on the Indian longitudes using GPS and C/NOFS. J. Geophys. Res. Sp. Phys. 2017, 122, 2551–2563. [Google Scholar] [CrossRef]
- Pulkkinen, A.; Hesse, M.; Habib, S.; Van Der Zel, L.; Damsky, B.; Policelli, F.; Fugate, D.; Jacobs, W.; Creamer, E. Solar shield: Forecasting and mitigating space weather effects on high-voltage power transmission systems. Nat. Hazards 2009, 53, 333–345. [Google Scholar] [CrossRef]
- Overbye, T.J.; Hutchins, T.R.; Shetye, K.; Weber, J.; Dahman, S. Integration of geomagnetic disturbance modeling into the power flow: A methodology for large-scale system studies. In Proceedings of the 2012 North American Power Symposium (NAPS), Champaign, IL, USA, 9–11 September 2012; pp. 1–7. [Google Scholar]
- Birchfield, A.B.; Gegner, K.M.; Xu, T.; Shetye, K.S.; Overbye, T.J. Statistical Considerations in the Creation of Realistic Synthetic Power Grids for Geomagnetic Disturbance Studies. IEEE Trans. Power Syst. 2016, 32, 1. [Google Scholar] [CrossRef]
- Rodger, C.J.; Mac Manus, D.H.; Dalzell, M.; Thomson, A.W.P.; Clarke, E.; Petersen, T.; Clilverd, M.A.; Divett, T. Long-Term Geomagnetically Induced Current Observations From New Zealand: Peak Current Estimates for Extreme Geomagnetic Storms. Space Weather 2017, 15, 1447–1460. [Google Scholar] [CrossRef]
- Matandirotya, E.; Cilliers, P.J.; Van Zyl, R.; Oyedokun, D.T.; Villiers, J. Differential magnetometer method applied to measurement of geomagnetically induced currents in Southern African power networks. Space Weather 2016, 14, 221–232. [Google Scholar] [CrossRef]
- Barbosa, C.D.S.; Hartmann, G.A.; Pinheiro, K.J. Numerical modeling of geomagnetically induced currents in a Brazilian transmission line. Adv. Space Res. 2015, 55, 1168–1179. [Google Scholar] [CrossRef]
- Gope, G.; Dax, K.; Reju, S.A.; Cilliers, P. Geomagnetically induced current model for the Namibian High Voltage Network. In Proceedings of the AFRICON 2015, Addis Ababa, Ethiopia, 14–17 September 2015; pp. 1–7. [Google Scholar]
- Zois, I.P. Solar activity and transformer failures in the Greek national electric grid. J. Space Weather Space Clim. 2013, 3, A32. [Google Scholar] [CrossRef]
- Marshall, R.A.; Smith, E.A.; Francis, M.J.; Waters, C.L.; Sciffer, M.D. A preliminary risk assessment of the Australian region power network to space weather. Space Weather 2011, 9, 1–18. [Google Scholar] [CrossRef]
- Watari, S. Estimation of geomagnetically induced currents based on the measurement data of a transformer in a Japanese power network and geoelectric field observations. Earth Planets Space 2015, 67, 77. [Google Scholar] [CrossRef]
- Myllys, M.; Viljanen, A.; Rui, Ø.A.; Ohnstad, T.M. Geomagnetically induced currents in Norway: The northernmost high-voltage power grid in the world. J. Space Weather Space Clim. 2014, 4. [Google Scholar] [CrossRef]
- Caraballo, R.; Bettucci, L.S.; Tancredi, G. Geomagnetically induced currents in the Uruguayan high-voltage power grid. Geophys. J. Int. 2013, 195, 844–853. [Google Scholar] [CrossRef]
- Zhang, J.J.; Wang, C.; Sun, T.; Liu, C.M.; Wang, K.R. GIC due to storm sudden commencement in low-latitude high-voltage power network in China: Observation and simulation. Space Weather 2015, 13, 643–655. [Google Scholar] [CrossRef]
- Ngwira, C.M.; Pulkkinen, A.; Wilder, F.D.; Crowley, G. Extended study of extreme geoelectric field event scenarios for geomagnetically induced current applications. Space Weather 2013, 11, 121–131. [Google Scholar] [CrossRef]
- Carter, B.A.; Yizengaw, E.; Pradipta, R.; Weygand, J.M.; Piersanti, M.; Pulkkinen, A.; Moldwin, M.B.; Norman, R.; Zhang, K. Geomagnetically induced currents around the world during the 17 March 2015 storm. J. Geophys. Res. Space Phys. 2016, 121, 10–496. [Google Scholar] [CrossRef]
- Ngwira, C.M.; Pulkkinen, A.; McKinnell, L.-A.; Cilliers, P.J. Improved modeling of geomagnetically induced currents in the South African power network. Space Weather 2008, 6, 1–8. [Google Scholar] [CrossRef]
- Carter, B.A.; Yizengaw, E.; Pradipta, R.; Halford, A.J.; Norman, R.; Zhang, K. Interplanetary shocks and the resulting geomagnetically induced currents at the equator. Geophys. Res. Lett. 2015, 42, 6554–6559. [Google Scholar] [CrossRef]
- Adebesin, B.O.; Pulkkinen, A.; Ngwira, C.M. The interplanetary and magnetospheric causes of extreme dB/dt at equatorial locations. Geophys. Res. Lett. 2016, 43, 11–501. [Google Scholar] [CrossRef]
- Thomson, A.W.; Gaunt, C.; Cilliers, P.; Wild, J.A.; Opperman, B.; McKinnell, L.-A.; Kotzé, P.; Ngwira, C.; Lotz, S. Present day challenges in understanding the geomagnetic hazard to national power grids. Adv. Space Res. 2010, 45, 1182–1190. [Google Scholar] [CrossRef]
- Alias, M.Z.M.; Homam, M.J.; Noh, F.H.M. Review on solar disturbance studies and electric power transmission line fault in Malaysia. Indones. J. Electr. Eng. Comput. Sci. 2020, 17, 118–125. [Google Scholar] [CrossRef]
- Barbosa, C.; Alves, L.R.; Caraballo, R.; Hartmann, G.; Papa, A.R.; Pirjola, R.J. Analysis of geomagnetically induced currents at a low-latitude region over the solar cycles 23 and 24: Comparison between measurements and calculations. J. Space Weather Space Clim. 2015, 5, A35. [Google Scholar] [CrossRef]
- Ibrahim, S.N.; Jusoh, M.H.; Sulaiman, A.A.; Ahmad, S.N.; Makmud, M.Z.; Musta, B.; Abdullah, M.; Asillam, M.F.; Bhoo, N.; Pathy, M.H.; et al. First geomagnetic observation at sabah, Malaysia by using MAGDAS array. Int. J. Simul. Syst. Sci. Technol. 2017, 17, 30.1–30.8. [Google Scholar]
- Umar, R.; Natasha, S.F.; Aminah, S.S.N.; Juhari, K.N.; Jusoh, M.H.; Hamid, N.S.A.; Hashim, M.H.; Radzi, Z.M.; Ishak, A.N.; Hazmin, S.N.; et al. Magnetic Data Acquisition System (MAGDAS) Malaysia: Installation and preliminary data analysis at ESERI, UNISZA. Indian J. Phys. 2018, 93, 553–564. [Google Scholar] [CrossRef]
- Chulliat, A.; Macmillan, S.; Alken, P.; Beggan, C.; Nair, M.; Hamilton, B.; Woods, A.; Ridley, V.; Maus, S.; Thomson, A. The US/UK World Magnetic for 2015–2020. 2015. Available online: http://www.geomag.bgs.ac.uk/documents/WMM2015_Report.pdf (accessed on 2 May 2019).
- Kasztenny, B.; Taylor, D.; Fischer, N. Impact of Geomagnetically Induced Currents on Protection Current Transformers. In Proceedings of the 13th International Conference on Developments in Power System Protection, Edinburgh, UK, 7 March 2016; pp. 218–222. [Google Scholar]
- Zheng, K.; Pirjola, R.J.; Boteler, D.H.; Liu, L.-G. Geoelectric Fields Due to Small-Scale and Large-Scale Source Currents. IEEE Trans. Power Deliv. 2012, 28, 442–449. [Google Scholar] [CrossRef]
- Fan, R.; Liu, Y.; Umana, A.; Tan, Z.; Sun, L.; An, Y. The impact of solar storms on protective relays for saturable-core transformers. IEEE Power Energy Soc. Gen. Meet. 2017, 1–5. [Google Scholar] [CrossRef]
- IEEE. IEEE Guide for Establishing Power Transformer Capability while under Geomagnetic Disturbances. IEEE Stand. 2015, C57. [Google Scholar] [CrossRef]
- Berge, J.; Varma, R.K.; Marti, L. Laboratory validation of the relationship between Geomagnetically Induced Current (GIC) and transformer absorbed reactive power. In Proceedings of the 2009 IEEE Electrical Power & Energy Conference (EPEC), Winnipeg, MB, Canada, 3–5 October 2011; Volume 9, pp. 491–495. [Google Scholar]
- Boteler, D.H.; Bradley, E. On the Interaction of Power Transformers and Geomagnetically Induced Currents. IEEE Trans. Power Deliv. 2016, 31, 1. [Google Scholar] [CrossRef]
- Zheng, T.; Chen, P.; Lü, T.; Jin, Y.; Liu, L. Effects of Geomagnetically Induced Currents on current transformer and differential protection. In Proceedings of the 2013 IEEE Power & Energy Society General Meeting, Vancouver, BC, Canada, 21–25 July 2013; pp. 1–5. [Google Scholar]
- Girgis, R.; Vedante, K.; Gramm, K. Effects of Geomagnetically Induced Currents on Power Transformers and Power Systems. In Proceedings of the Cigre PES T&D 2012, Orlando, FL, USA, 7–10 May 2012; pp. A2–A304. [Google Scholar]
- Rajapakse, A.; Perera, N.; Faxvog, F.R.; Jensen, W.; Nordling, G.; Fuchs, G.; Jackson, D.B.; Volkmann, T.L.; Ruehl, N.; Groh, B. Power grid stability protection against GIC using a capacitive grounding circuit. In Proceedings of the PES T&D, Orlando, FL, USA, 7–10 May 2012; pp. 1–6. [Google Scholar]
- Ma, X.L.; Wen, J.; Liu, L.G.; Wang, J.; Wang, C. Simulation study on converter transformer saturation characteristics due to GIC. In Proceedings of the 2010 China International Conference on Electricity Distribution, Nanjing, China, 13–16 September 2010; pp. 1–6. [Google Scholar]
- Yagoub, M.A.; Tao, Z. Modeling & Mitigation of Geomagnetically Induced Currents (GICs) for Single-Phase Power Transformer. In Proceedings of the 2018 International Conference on Computer, Control, Electrical, and Electronics Engineering (ICCCEEE), Khartoum, Sudan, 12–14 August 2018; pp. 1–6. [Google Scholar]
- Gérin-Lajoie, L.; Mahseredjan, J.; Guillon, S.; Saad, O. Simulation of voltage collapse caused by GMDs—Problems and solutions. In Proceedings of the CIGRE Session 45—45th International Conference on Large High Voltage Electric Systems, Paris, France, 24–29 August 2014; pp. 1–10. [Google Scholar]
- Zirka, S.; Moroz, Y.; Elovaara, J.; Lahtinen, M.; Walling, R.; Høidalen, H.; Bonmann, D.; Arturi, C.; Chiesa, N. Simplified models of three-phase, five-limb transformer for studying GIC effects. Int. J. Electr. Power Energy Syst. 2018, 103, 168–175. [Google Scholar] [CrossRef]
- Oyedokun, D.T. Geomagnetically Induced Currents (GIC) In Large Power Systems Including Transformer Time Response. Ph.D. Thesis, Cape Town University, Cape Town, South Africa, 2015. [Google Scholar]
- Muller, C. Applications of PSCAD/EMTDC; Manitoba HVDC Research Centre: Winnipeg, MB, Canada, 2008; pp. 41–49. [Google Scholar]
- Energy Commission. Grid Code For. Peninsular Malaysia; Energy Commission: Putrajaya, Malaysia, 2016.
- Radasky, W.A. Overview of the impact of intense geomagnetic storms on the U.S. high voltage power grid. In Proceedings of the 2011 IEEE International Symposium on Electromagnetic Compatibility, Long Beach, CA, USA, 14–19 August 2011; pp. 300–305. [Google Scholar] [CrossRef]
- Kappenman, J. Geomagnetic Storms and Their Impacts on the U.S. Power Grid; Metatech: Goleta, CA, USA, 2010; pp. 1–196. [Google Scholar]
- Vijapurapu, S.K. Contingency Analysis of Power Systems in Presence of Geomagnetically Induced Currents. Master’s Thesis, UKnowledge University, Lexington, KY, USA, 2013. [Google Scholar]
- Berge, J.E. Impact of Geomagnetically Induced Currents on Power Transformers. Ph.D. Thesis, Faculty of Engineering, Western University, London, ON, Canada, 2011. [Google Scholar]
- CIGRE WG C4.32. Understanding of geomagnetic storm environment for high voltage power grids. CIGRE Tech. Broch. 2019, 780, 1–147. [Google Scholar]
- Mousavi, S.A. Electromagnetic Modelling of Power Transformers for Study and Mitigation of Effects of GICs. Ph.D. Thesis, KTH Royal Institute of Technology, Stockholm, Sweden, 2015. [Google Scholar]
- IEEE Power & Energy Society. Geomagnetic disturbances (GMD) impacts on protection systems, PES TR72. In Proceedings of the IEEE Power & Energy Society General Meeting 2019, Atlanta, GA, USA, 4–8 August 2019; pp. 1–47. [Google Scholar]

























| Past Events | Year | Effects on the Power Grid |
|---|---|---|
| The Carrington Event [11,12,13,14] | 1859 | Largest reported geomagnetic disturbance. Telegraph operations in North America were disrupted. |
| The Halloween Solar Storm [15,16] | 2003 | Geomagnetic Induced Current (GIC) with high magnitude of 330 A led to a large-scale blackout Harmonics caused 130 kV line to disconnect. |
| IP Shock [17,18] | 2012 | Very high solar wind speeds up to 2000 km/s were very rare. Power systems could have been exposed to large scale GIC. |
| St. Patrick’s Day storm [19,20] | 2015 | Largest storm in more than 15 years. Planetary Index (Kp) reached 8 out of 9. Efficiency of the GPS receivers was impaired and gave inaccurate measurements. |
| No | Authors | Country | GIC Research Area |
|---|---|---|---|
| 1. | Rodger et al. | New Zealand [24] | Analyzed the impact of severe storms as a threat to the New Zealand power system. |
| 2. | Matandirotya et al. | South Africa [25] | Using differential magnetometer method (DMM) to predict GIC in a transmission line. |
| 3. | Hartmann et al. | Brazil [26] | Use the theory of plane wave and a one-dimensional electrical resistivity model of the area. |
| 4. | Gope et al. | Namibia [27] | The model was tested using EPRI OpenDSS (Open Distribution Simulation Software). |
| 5. | Zois et al. | Greece [28] | Test performed on a large transformer which was 150 kV and 400 kV for the impacts of solar activity. |
| 6. | Marshall et.al | Australia [29] | Australian magnetometer data indicated that a moderate risk was identified only in the southern Australian region. |
| 7. | Watari et al. | Japan [30] | The probabilities of extremely large GIC values seemed to be low. |
| 8. | Myllys et al. | Norway [31]. | The model was for an expected future grid in 2030. The main results obtained will still be valid in the future. |
| 9. | Caraballo et al. | Uruguay [32] | A plane wave approach combined with a ground conductivity model was used to measure GIC. |
| Locations | Area | Geographic Coordinate | Geomagnetic Coordinate |
|---|---|---|---|
| Langkawi National Observatory, Langkawi | North Malaysia | (6.30°, 99.78°) | (−3.30°, 172.44°) |
| Universiti Malaysia Sabah, Sabah | Borneo Island | (6.02°, 116.07°) | (−3.56°, 188.66°) |
| Universiti Penguruan Sultan Idris, Perak | North Malaysia | (3.72°, 101.53°) | (−5.92°, 174.14°) |
| Agensi Angkasa Negara ANGKASA, Banting | South Malaysia | (2.78°, 101.53°) | (−6.86°, 174.10°) |
| Universiti Teknologi MARA, Johor | South Malaysia | (1.53°, 103.87°) | (−7.99°, 176.79°) |
| Universiti Sultan Zainal Abidin (UnisZa), Terengganu | East Coast Malaysia | (5.23°, 103.04°) | (−4.21°, 175.91°) |
| Author (s) | Methods | Advantages | Disadvantages | Findings |
|---|---|---|---|---|
| David Boteler et al. [50] | Step-by-step method | Versatile and fast method for modeling the effect of transformer inductance on GIC. | Not suitable to apply at other parts of transformer. | Step by step method provides a fast method to model the transformer interaction with GIC. |
| Tao Zheng et al. [51] | Power System Computer Aided Design (PSCAD /EMTDC) | Easy to find literature example | Limited model to design | It indicates the different effects of GIC on current transformer transfer characteristic and transformer differential protection. |
| Vedante et al. [52] | PSCAD /EMTDC | Used actual measurements | Should have added more results as they used actual measurement | System instability is the main impact of GIC because of high levels of reactive power. |
| A. D. Rajapakse [53] | Electromagnetic Transients Program (EMTP-RV) | Simple and easy to implement. | Does not compared the results with previous researchers. | Results show that the use of the capacitor in the grounding circuit can prevent GIC flowing into the system. |
| X. Ma et al. [54] | PSCAD/ EMTDC | Easy to find literature example | Limited model to design | DC bias due to GIC affecting the safe operations of the converter transformer. |
| J. Ramirez et al. [7] | MATLAB Simulink | Easy to understand and find suitable model | Limited to generate more results | By simulating GIC using a reduced scale transformer, it is possible to provide insight into the impact of parameters including magnetic flux, voltage, and power. |
| M. Yaqoub et al. [55] | MATLAB Simulink | Easy to understand and find suitable model | Limited to generate more results | It indicates that the capacitor can eliminate and reduce GIC in the power system especially in the transformer. |
| L. Gerin et al. [56] | EMTP-RV | Capable of handling complex design | Fewer literature examples | It concludes that the installation of shunt capacitors can avoid voltage collapse and perform better compared to series compensation. |
| Zirka et al. [57] | EMTP-RV | Simple and easy to implement. | Did not compared the results with previous researchers. | It shows the importance of incorporating network representation and eliminate those assumptions about the influence of the hysteresis properties. |
| Substation A | ||||||||
|---|---|---|---|---|---|---|---|---|
| L1 | T1 | T2 | T3 | T4 | T5 | T6 | T7 | |
| P (MW) | 4.233 | 3.103 | 0.779 | 0.779 | 0.779 | 0.779 | 2.122 | 2.122 |
| Q (MVAR) | 0.000 | 0.743 | 0.160 | 0.160 | 0.160 | 0.160 | 0.551 | 0.555 |
| V (kV) | 31.340 | 100.000 | 273.100 | 273.100 | 273.100 | 273.100 | 130.200 | 130.200 |
| STEADY STATE | L1 | T1 | T2 | T3 | T4 | T5 | T6 | T7 | |
|---|---|---|---|---|---|---|---|---|---|
| Substation A | P (MW) | 4.233 | 3.103 | 0.779 | 0.779 | 0.779 | 0.779 | 2.122 | 2.122 |
| Q (Mvar) | 0.000 | 0.743 | 0.160 | 0.160 | 0.160 | 0.160 | 0.551 | 0.555 | |
| V (kV) | 31.340 | 100.00 | 273.100 | 273.100 | 273.100 | 273.100 | 130.200 | 130.200 | |
| WITHOUT NER | L1 | T1 | T2 | T3 | T4 | T5 | T6 | T7 | |
| Substation A | P (MW) | 3.890 | 2.701 | 0.440 | 0.440 | 0.440 | 0.440 | 1.967 | 1.967 |
| Q (Mvar) | 0.000 | 8.980 | 0.190 | 0.190 | 0.190 | 0.190 | 0.811 | 0.811 | |
| V (kV) | 30.220 | 100.000 | 250.000 | 250.000 | 250.000 | 250.000 | 122.100 | 122.100 | |
| WITH NER | L1 | T1 | T2 | T3 | T4 | T5 | T6 | T7 | |
| Substation A | P (MW) | 3.971 | 2.786 | 0.759 | 0.759 | 0.759 | 0.759 | 1.986 | 1.986 |
| Q (Mvar) | 0.000 | 7.578 | 0.180 | 0.180 | 0.180 | 0.180 | 0.517 | 0.517 | |
| V (kV) | 30.360 | 100.000 | 265.100 | 265.100 | 265.100 | 265.100 | 125.700 | 125.700 |
Publisher’s Note: MDPI stays neutral with regard to jurisdictional claims in published maps and institutional affiliations. |
© 2020 by the authors. Licensee MDPI, Basel, Switzerland. This article is an open access article distributed under the terms and conditions of the Creative Commons Attribution (CC BY) license (http://creativecommons.org/licenses/by/4.0/).
Share and Cite
Zawawi, A.A.; Ab Aziz, N.F.; Ab Kadir, M.Z.A.; Hashim, H.; Mohammed, Z. Evaluation of Geomagnetic Induced Current on 275 kV Power Transformer for a Reliable and Sustainable Power System Operation in Malaysia. Sustainability 2020, 12, 9225. https://doi.org/10.3390/su12219225
Zawawi AA, Ab Aziz NF, Ab Kadir MZA, Hashim H, Mohammed Z. Evaluation of Geomagnetic Induced Current on 275 kV Power Transformer for a Reliable and Sustainable Power System Operation in Malaysia. Sustainability. 2020; 12(21):9225. https://doi.org/10.3390/su12219225
Chicago/Turabian StyleZawawi, Anis Adiba, Nur Fadilah Ab Aziz, Mohd Zainal Abidin Ab Kadir, Halimatun Hashim, and Zmnako Mohammed. 2020. "Evaluation of Geomagnetic Induced Current on 275 kV Power Transformer for a Reliable and Sustainable Power System Operation in Malaysia" Sustainability 12, no. 21: 9225. https://doi.org/10.3390/su12219225
APA StyleZawawi, A. A., Ab Aziz, N. F., Ab Kadir, M. Z. A., Hashim, H., & Mohammed, Z. (2020). Evaluation of Geomagnetic Induced Current on 275 kV Power Transformer for a Reliable and Sustainable Power System Operation in Malaysia. Sustainability, 12(21), 9225. https://doi.org/10.3390/su12219225

