Impact of Rapid and Intensive Land Use/Land Cover Change on Soil Properties in Arid Regions: A Case Study of Lanzhou New Area, China
Abstract
1. Introduction
2. Materials and Methods
2.1. Study Area
2.2. Remote Sensing Data
2.2.1. Pre-Processing of Remote Sensing Images
2.2.2. Classification of LULC type
2.2.3. Analysis of Land Use Change
2.3. Soil Sampling and Analysis
2.4. Statistical Analysis
3. Results and Discussion
3.1. Classification Accuracy and Land Use/Land Cover Changes
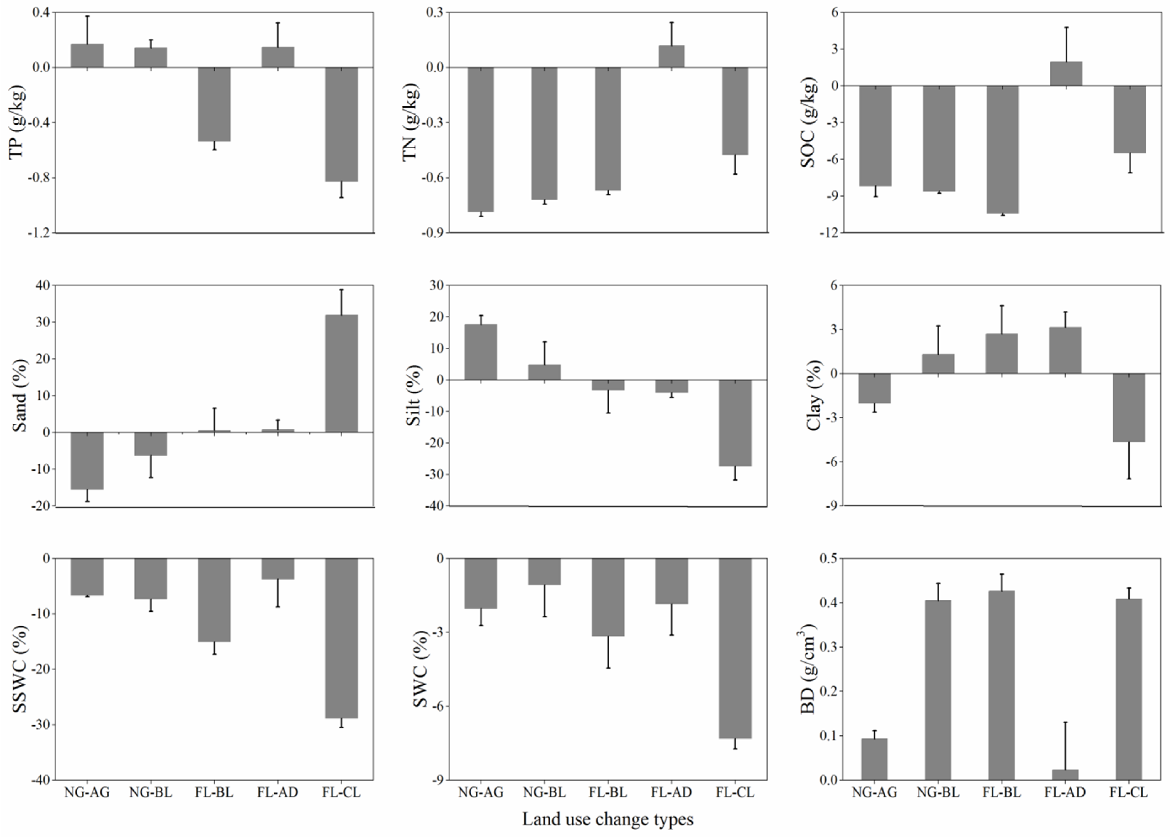
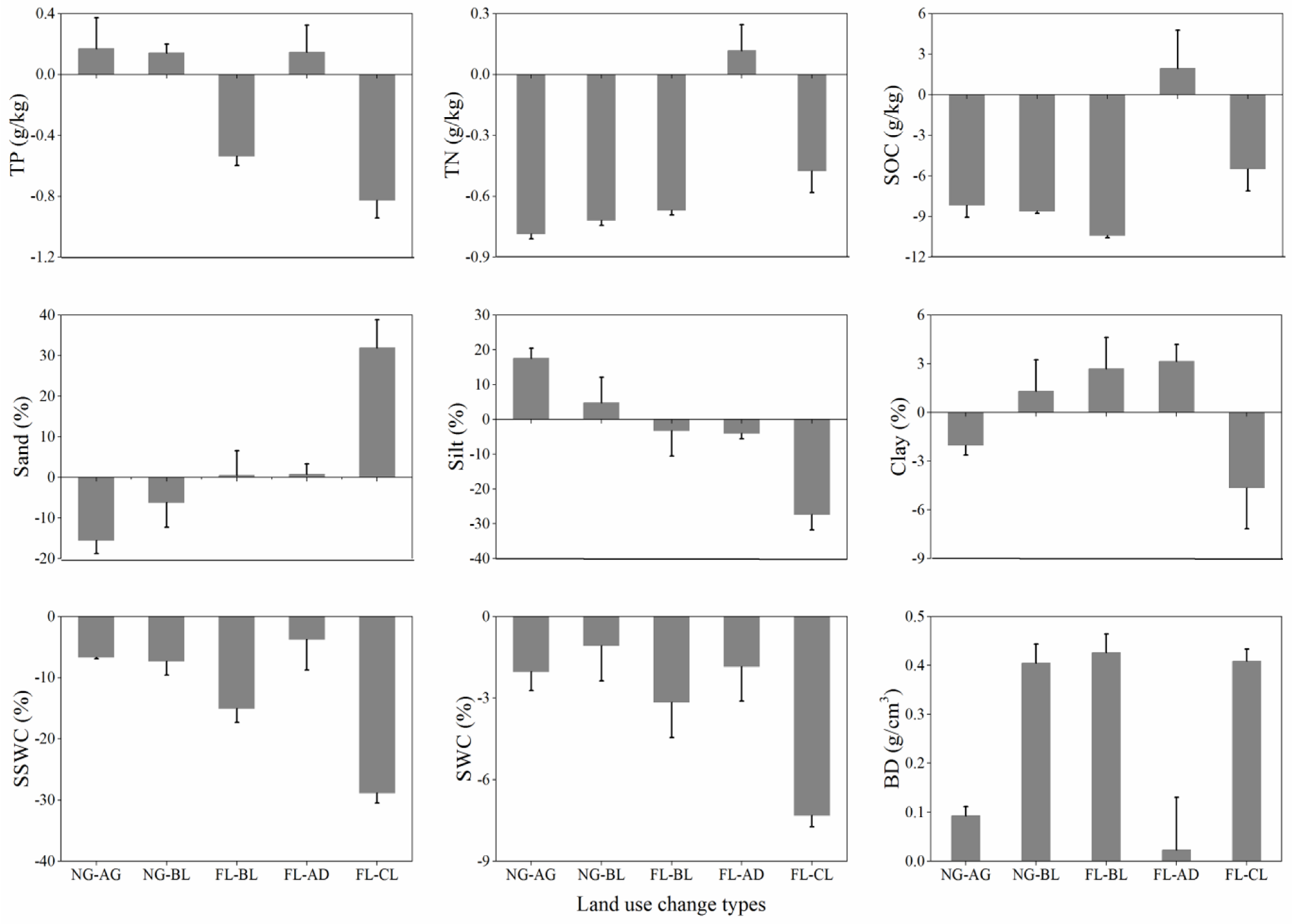
3.2. Soil Properties under Different Land Use Change Types
3.3. Relationship between LULC Changes and Soil Properties
3.4. Variations in Soil Properties Compared with Reference Areas
4. Conclusions
Author Contributions
Funding
Conflicts of Interest
References
- Biro, K.; Pradhan, B.; Buchroithner, M.; Makeschin, F. Land Use/Land Cover Change Analysis and Its Impact on Soil Properties in the Northern Part of Gadarif Region, Sudan. Land Degrad. Dev. 2013, 24, 90–102. [Google Scholar]
- Schweizer, S.A.; Fischer, H.; Häring, V.; Stahr, K. Soil structure breakdown following land use change from forest to maize in Northwest Vietnam. Soil Tillage Res. 2017, 166, 10–17. [Google Scholar]
- Ferreira, A.C.C.; Leite, L.F.C.; de Araújo, A.S.F.; Eisenhauer, N. Land-Use Type Effects on Soil Organic Carbon and Microbial Properties in a Semi-arid Region of Northeast Brazil. Land Degrad. Dev. 2016, 27, 171–178. [Google Scholar]
- Ahirwal, J.; Maiti, S.K. Assessment of soil properties of different land uses generated due to surface coal mining activities in tropical Sal (Shorea robusta) forest, India. Catena 2016, 140, 155–163. [Google Scholar]
- Zhou, W.; Yang, K.; Bai, Z.K.; Cheng, H.X.; Liu, F. The development of topsoil properties under different reclaimed land uses in the Pingshuo opencast coalmine of Loess Plateau of China. Ecol. Eng. 2017, 100, 237–245. [Google Scholar]
- Deng, J.S.; Wang, K.; Hong, Y.; Qi, J.G. Spatio-temporal dynamics and evolution of land use change and landscape pattern in response to rapid urbanization. Landscape Urban Plan. 2009, 92, 187–198. [Google Scholar]
- Liu, W.; Zhan, J.Y.; Zhao, F.; Yan, H.M.; Zhang, F.; Wei, X.Q. Impacts of urbanization-induced land-use changes on ecosystem services, A case study of the Pearl River Delta Metropolitan Region, China. Ecol. Indic. 2019, 98, 228–238. [Google Scholar]
- Fan, X.G.; Ma, Z.G.; Yang, Q.; Han, Y.H.; Mahmood, R.; Zheng, Z.Y. Land use/land cover changes and regional climate over the Loess Plateau during 2001–2009. Part I, observational evidence. Clim. Chang. 2014, 129, 427–440. [Google Scholar]
- Moriyama, M.; Numata, H. Urban soil compaction reduces cicada diversity. Zool. Lett. 2015, 1, 19. [Google Scholar]
- Khaledian, Y.; Kiani, F.; Ebrahimi, S.; Brevik, E.C.; Aitkenhead-Peterson, J. Assessment and Monitoring of Soil Degradation during Land Use Change Using Multivariate Analysis. Land Degrad. Dev. 2017, 28, 128–141. [Google Scholar]
- Shekhovtseva, O.G.; Mal’tseva, I.A. Physical, chemical, and biological properties of soils in the city of Mariupol, Ukraine. Eurasian. Soil Sci. 2015, 48, 1393–1400. [Google Scholar]
- Khalili Moghadam, B.; Jabarifar, M.; Bagheri, M.; Shahbazi, E. Effects of land use change on soil splash erosion in the semi-arid region of Iran. Geoderma 2015, 241–242, 210–220. [Google Scholar]
- Wang, Z.; Deng, X.Z.; Wong, C. Integrated Land Governance for Eco-Urbanization. Sustainability 2016, 8, 903. [Google Scholar]
- Kosmas, C.; Gerontidis, S.; Marathianou, M. The effect of land use change on soils and vegetation over various lithological formations on Lesvos (Greece). Catena 2000, 40, 51–68. [Google Scholar]
- Zucca, C.; Canu, A.; Previtali, F. Soil degradation by land use change in an agropastoral area in Sardinia (Italy). Catena 2010, 83, 46–54. [Google Scholar]
- Zhang, Y.; Wei, L.Y.; Wei, X.R.; Liu, X.T.; Shao, M.A. Long-term afforestation significantly improves the fertility of abandoned farmland along a soil clay gradient on the Chinese Loess Plateau. Land Degrad. Dev. 2018, 29, 3521–3534. [Google Scholar]
- Braimoh, A.K.; Vlek, P.L.G. The impact of land-cover change on soil properties in northern Ghana. Land Degrad. Dev. 2004, 15, 65–74. [Google Scholar]
- Khresat, S.E.; Al-Bakri, J.; Al-Tahhan, R. Impacts of land use/cover change on soil properties in the Mediterranean region of northwestern Jordan. Land Degrad. Dev. 2008, 19, 397–407. [Google Scholar]
- Liu, X.L.; Li, T.; Zhang, S.R.; Jia, Y.X.; Li, Y.; Xu, X.X. The role of land use, construction and road on terrestrial carbon stocks in a newly urbanized area of western Chengdu, China. Landsc. Urban Plan. 2016, 147, 88–95. [Google Scholar]
- Zambon, I.; Benedetti, A.; Ferrara, C.; Salvati, L. Soil Matters? A Multivariate Analysis of Socioeconomic Constraints to Urban Expansion in Mediterranean Europe. Ecol. Econ. 2018, 146, 173–183. [Google Scholar]
- Weissert, L.F.; Salmond, J.A.; Schwendenmann, L. Variability of soil organic carbon stocks and soil CO2 efflux across urban land use and soil cover types. Geoderma 2016, 271, 80–90. [Google Scholar] [CrossRef]
- Fiorini, A.; Boselli, R.; Maris, S.C.; Santelli, S.; Ardenti, F.; Capra, F.; Tabaglio, V. May conservation tillage enhance soil C and N accumulation without decreasing yield in intensive irrigated croplands? Results from an eight-year maize monoculture. Agric. Ecosyst. Environ. 2020, 296, 106–926. [Google Scholar] [CrossRef]
- Deng, L.; Wang, G.L.; Liu, G.B.; Shangguan, Z.P. Effects of age and land-use changes on soil carbon and nitrogen sequestrations following cropland abandonment on the Loess Plateau, China. Ecol. Eng. 2016, 90, 105–112. [Google Scholar] [CrossRef]
- Evans, R.D.; Belnap, J. Long-term consequence of disturbance on nitrogen dynamics in an arid ecosystem. Ecol. Evol. 1999, 80, 150–160. [Google Scholar] [CrossRef]
- Lal, R. Restoring soil quality to mitigate soil degradation. Sustainability 2015, 7, 5875–5895. [Google Scholar] [CrossRef]
- Nunes, J.S.; Araujo, A.S.F.; Nunes, L.A.P.L.; Lima, L.M.; Carneiro, R.F.V.; Salviano, A.A.C.; Tsai, S.M. Impact of land degradation on soil microbial biomass and activity in Northeast Brazil. Pedosphere 2012, 22, 88–95. [Google Scholar] [CrossRef]
- Dunjó, G.; Pardini, G.; Gispert, M. Land use change effects on abandoned terraced soils in a Mediterranean catchment, NE Spain. Catena 2003, 52, 23–37. [Google Scholar] [CrossRef]
- Jeong, A.; Dorn, R.I. Soil erosion from urbanization processes in the Sonoran Desert, Arizona, USA. Land Degrad. Dev. 2019, 30, 226–238. [Google Scholar] [CrossRef]
- Smith, P.; House, J.I.; Bustamante, M.; Sobocka, J.; Harper, R.; Pan, G.; West, P.C.; Clark, J.M.; Adhya, T.; Rumpel, C.; et al. Global change pressures on soils from land use and management. Glob. Chang. Biol. 2016, 22, 1008–1028. [Google Scholar] [CrossRef]
- Yang, H.; Xiong, H.G.; Chen, X.G.; Wang, Y.Q.; Zhang, F. Identifying the influence of urbanization on soil organic matter content and pH from soil magnetic characteristics. J. Arid Land 2015, 7, 820–830. [Google Scholar] [CrossRef]
- Zhu, W.X.; Hope, D.; Cries, C.; Grimm, N.B. Soil Characteristics and the Accumulation of Inorganic Nitrogen in an Arid Urban Ecosystem. Ecosystems 2006, 9, 711–724. [Google Scholar] [CrossRef]
- Chen, G.; Zhang, Y.; Zeng, R.Q.; Yang, Z.K.; Chen, X.; Zhao, F.M.; Meng, X.M. Detection of Land Subsidence Associated with Land Creation and Rapid Urbanization in the Chinese Loess Plateau Using Time Series InSAR, A Case Study of Lanzhou New District. Remote Sens. 2018, 10, 270. [Google Scholar] [CrossRef]
- Jiang, F.C.; Li, Y.L.; Yang, S.; Yang, G.D. Source analysis, distribution and pollution assessment of the soil heavy metals in the Qinwangchuan Basin. China Environ. Sci. 2018, 38, 2243–2252. (In Chinese) [Google Scholar]
- Jiang, P.H.; Cheng, L.; Li, M.C.; Zhao, R.F.; Duan, Y.W. Impacts of LUCC on soil properties in the riparian zones of desert oasis with remote sensing data, a case study of the middle Heihe River basin, China. Sci. Total Environ. 2015, 506–507, 259–271. [Google Scholar] [CrossRef]
- Liu, Y.Q.; Long, H.L. Land use transitions and their dynamic mechanism, The case of the Huang-Huai-Hai Plain. J. Geogr. Sci. 2016, 26, 515–530. [Google Scholar] [CrossRef]
- Fu, X.L.; Shao, M.A.; Wei, X.R.; Horton, R. Soil organic carbon and total nitrogen as affected by vegetation types in Northern Loess Plateau of China. Geoderma 2010, 155, 31–35. [Google Scholar] [CrossRef]
- Ryan, J.; Stroehlein, J.L. Use of Sulfuric Acid on Phorphorus Deficient Arizona Soils. Prog. Agric. Ariz. 1973, 25, 11–13. [Google Scholar]
- Gardner, W.H. Water content. In Methods of Soil Analysis: Part 1. Physical and Mineralogical Properties, 2nd ed.; Klute, A., Ed.; ASA; SSSA: Madison, WI, USA, 1986; pp. 493–544. [Google Scholar]
- Blake, G.R. Bulk density. In Methods of Soil Analysis, Part 1. Physical and Mineralogical Properties, including Statistics of Measurement and Sampling; Black, C.A., Ed.; American Society of Agronomy, Inc.: Madison, WI, USA, 1965. [Google Scholar]
- Anderson, J.R.; Hardy, E.E.; Roach, J.T.; Witmer, R.E. A Land Use and Land Cover Classification System for Use with Remote Sensor Data; United States Government Printing Office: Washington, DC, USA, 1976.
- Li, S.F.; Li, X.B. Global understanding of farmland abandonment, A review and prospects. J. Geogr. Sci. 2017, 27, 1123–1150. [Google Scholar] [CrossRef]
- Estel, S.; Kuemmerle, T.; Alcántara, C.; Levers, C.; Prishchepov, A.; Hostert, P. Mapping farmland abandonment and recultivation across Europe using MODIS NDVI time series. Remote Sens. Environ. 2015, 163, 312–325. [Google Scholar] [CrossRef]
- Romero-Díaz, A.; Ruiz-Sinoga, J.D.; Robledano-Aymerich, F.; Brevik, E.C.; Cerdà, A. Ecosystem responses to land abandonment in Western Mediterranean Mountains. Catena 2017, 149, 824–835. [Google Scholar] [CrossRef]
- Chen, Y.L.; Zhang, Z.S.; Zhao, Y.; Hu, Y.G.; Zhang, D.H. Soil carbon storage along a 46-year revegetation chronosequence in a desert area of northern China. Geoderma 2018, 325, 28–36. [Google Scholar] [CrossRef]
- Strey, S.; Boy, J.; Strey, R.; Weber, O.; Guggenberger, G. Response of soil organic carbon to land-use change in central Brazil, a large-scale comparison of Ferralsols and Acrisols. Plant Soil 2016, 408, 327–342. [Google Scholar] [CrossRef]
- Gao, X.D.; Meng, T.T.; Zhao, X.N. Variations of Soil Organic Carbon Following Land Use Change on Deep–Loess Hillsopes in China. Land Degrad. Dev. 2017, 28, 1902–1912. [Google Scholar] [CrossRef]
- Yang, J.L.; Zhang, G.L. Formation, characteristics and eco-environmental implications of urban soils—A review. Soil Sci. Plant Nutr. 2015, 61, 30–46. [Google Scholar] [CrossRef]
- Trabaquini, K.; Formaggio, A.R.; Galvão, L.S. Changes in Physical Properties of Soils with Land Use Time in the Brazilian Savanna Environment. Land Degrad. Dev. 2015, 26, 397–408. [Google Scholar] [CrossRef]
- Morel, J.L.; Chenu, C.; Lorenz, K. Ecosystem services provided by soils of urban, industrial, traffic, mining, and military areas (SUITMAs). J. Soils Sediments 2014, 15, 1659–1666. [Google Scholar] [CrossRef]
- Feng, Q.; Zhao, W.W.; Wang, J.; Zhang, X.; Zhao, M.Y.; Zhong, L.N.; Liu, Y.X.; Fang, X.N. Effects of Different Land-Use Types on Soil Erosion Under Natural Rainfall in the Loess Plateau, China. Pedosphere 2016, 26, 243–256. [Google Scholar] [CrossRef]
- Li, B.J.; Chen, D.X.; Wu, S.H.; Zhou, S.L.; Wang, T.; Chen, H. Spatio-temporal assessment of urbanization impacts on ecosystem services, Case study of Nanjing City, China. Ecol. Indic. 2016, 71, 416–427. [Google Scholar] [CrossRef]
- Willy, D.K.; Muyanga, M.; Mbuvi, J.; Jayne, T. The effect of land use change on soil fertility parameters in densely populated areas of Kenya. Geoderma 2019, 343, 254–262. [Google Scholar] [CrossRef]
- Huang, Z.H.; Du, X.J.; Castillo, C.S.Z. How does urbanization affect farmland protection? Evidence from China. Resour. Conserv. Recycl. 2019, 145, 139–147. [Google Scholar] [CrossRef]
- Li, W.B.; Wang, D.Y.; Li, H.; Liu, S.H. Urbanization-induced site condition changes of peri-urban cultivated land in the black soil region of northeast China. Ecol. Indic. 2017, 80, 215–223. [Google Scholar] [CrossRef]
- Sun, J.M.; Huang, C.H.; Han, G.N.; Wang, Y.F. Effects of cover on soil particle and associated soil nutrient redistribution on slopes under rainfall simulation. J. Soils Sediments 2018, 19, 729–740. [Google Scholar] [CrossRef]
- Qi, F.; Zhang, R.H.; Liu, X.; Niu, Y.; Zhang, H.D.; Li, H.; Li, J.Z.; Wang, B.Y.; Zhang, G.K. Soil particle size distribution characteristics of different land-use types in the Funiu mountainous region. Soil Till. Res. 2018, 184, 45–51. [Google Scholar] [CrossRef]
- Wang, Y.F.; Shao, M.A.; Gao, L. Spatial Variability of Soil Particle Size Distribution and Fractal Features in Water-Wind Erosion Crisscross Region on the Loess Plateau of China. Soil Sci. 2010, 175, 579–585. [Google Scholar] [CrossRef]
- Zhao, P.P.; Shao, M.A.; Zhuang, J. Fractal Features of Particle Size Redistributions of Deposited Soils on the Dam Farmlands. Soil Sci. 2009, 174, 403–407. [Google Scholar] [CrossRef]
- Sokolowski, A.C.; Prack McCormick, B.; De Grazia, J.; Wolski, J.E.; Rodríguez, H.A.; Rodríguez-Frers, E.P.; Gagey, M.C.; Debelis, S.P.; Paladino, I.R.; Barrios, M.B. Tillage and no-tillage effects on physical and chemical properties of an Argiaquoll soil under long-term crop rotation in Buenos Aires, Argentina. Int. Soil Water Conserv. Res. 2020, 8, 185–194. [Google Scholar] [CrossRef]
- Mitchell, J.P.; Shrestha, A.; Mathesius, K.; Scow, K.M.; Southard, R.J.; Haney, R.L.; Schmidt, R.; Munk, D.S.; Horwath, W.R. Cover cropping and no-tillage improve soil health in an arid irrigated cropping system in California’s San Joaquin Valley, USA. Soil Till. Res. 2017, 165, 325–335. [Google Scholar] [CrossRef]
- Ren, Z.P.; Zhu, L.J.; Wang, B.; Cheng, S.D. Soil hydraulic conductivity as affected by vegetation restoration age on the Loess Plateau, China. J. Arid Land 2016, 8, 546–555. [Google Scholar] [CrossRef]








| Code | LULC Types | Description |
|---|---|---|
| 1 | Farmland (FL) | Lands for growing crops (mainly maize and wheat) and vegetables |
| 2 | Forest (FT) | Lands for growing trees and shrubs |
| 3 | Grassland (GL) | Lands growing grasses, including artificial grassland (with land management practices such as irrigation), native grassland, and abandoned land (previous farmland) |
| 4 | Water area (WA) | Natural lands and water conservancy facilities |
| 5 | Bare land (BL) | Lands with no or little vegetation through removal vegetation by intensive human activities, including open spaces, hilly clear-cut areas |
| 6 | Construction land (CL) | Includes urban and residential areas (emerging rural towns, villages) occupied by living houses including backyard, public building area, industry area, commercial area, transportation area and corresponding ancillary facilities etc. |
| Classified Data | Reference Data | |||||
|---|---|---|---|---|---|---|
| FT | GL | FL | WA | BL | CL | |
| 2010 | ||||||
| FT | 25 | 0 | 0 | 0 | 0 | 0 |
| GL | 1 | 30 | 1 | 0 | 2 | 0 |
| FL | 0 | 5 | 31 | 0 | 1 | 0 |
| WA | 0 | 0 | 0 | 7 | 0 | 0 |
| BL | 0 | 1 | 0 | 0 | 24 | 2 |
| CL | 0 | 0 | 0 | 0 | 0 | 40 |
| 2017 | ||||||
| FT | 9 | 0 | 0 | 0 | 0 | 0 |
| GL | 0 | 19 | 1 | 0 | 2 | 0 |
| FL | 1 | 3 | 88 | 0 | 0 | 0 |
| WA | 0 | 0 | 0 | 5 | 0 | 0 |
| BL | 1 | 4 | 0 | 0 | 23 | 0 |
| CL | 0 | 0 | 0 | 0 | 0 | 14 |
| Area (km2) | 2010 | |||||||
|---|---|---|---|---|---|---|---|---|
| FT | GL | FL | WA | BL | CL | Total | ||
| 2017 | FT | 11.51 | 4.85 | 12.71 | 0.27 | 0 | 0.39 | 29.73 |
| GL | 0.79 | 285.85 | 83.54 | 0.03 | 0 | 0.82 | 371.02 | |
| FL | 0.93 | 1.47 | 173.06 | 0.05 | 0.01 | 0.59 | 176.10 | |
| WA | 0.02 | 0.87 | 2.23 | 2.15 | 0 | 0.03 | 5.30 | |
| BL | 0.27 | 22.36 | 23.15 | 0.16 | 0.21 | 2.24 | 48.58 | |
| CL | 2.42 | 21.00 | 86.00 | 0.35 | 0.04 | 65.64 | 175.45 | |
| Total | 15.93 | 336.40 | 380.69 | 3.01 | 0.26 | 69.70 | 806 | |
Publisher’s Note: MDPI stays neutral with regard to jurisdictional claims in published maps and institutional affiliations. |
© 2020 by the authors. Licensee MDPI, Basel, Switzerland. This article is an open access article distributed under the terms and conditions of the Creative Commons Attribution (CC BY) license (http://creativecommons.org/licenses/by/4.0/).
Share and Cite
Zhang, R.; Zhao, X.; Zhang, C.; Li, J. Impact of Rapid and Intensive Land Use/Land Cover Change on Soil Properties in Arid Regions: A Case Study of Lanzhou New Area, China. Sustainability 2020, 12, 9226. https://doi.org/10.3390/su12219226
Zhang R, Zhao X, Zhang C, Li J. Impact of Rapid and Intensive Land Use/Land Cover Change on Soil Properties in Arid Regions: A Case Study of Lanzhou New Area, China. Sustainability. 2020; 12(21):9226. https://doi.org/10.3390/su12219226
Chicago/Turabian StyleZhang, Runxia, Xueyong Zhao, Chencheng Zhang, and Jing Li. 2020. "Impact of Rapid and Intensive Land Use/Land Cover Change on Soil Properties in Arid Regions: A Case Study of Lanzhou New Area, China" Sustainability 12, no. 21: 9226. https://doi.org/10.3390/su12219226
APA StyleZhang, R., Zhao, X., Zhang, C., & Li, J. (2020). Impact of Rapid and Intensive Land Use/Land Cover Change on Soil Properties in Arid Regions: A Case Study of Lanzhou New Area, China. Sustainability, 12(21), 9226. https://doi.org/10.3390/su12219226
