Abstract
Compost is considered to be superior fertilizer for soil quality and productivity, and is commonly used with chemical fertilizer. The optimal mixed ratio of compost with chemical fertilizer and the best application time is necessary to know for sustainable agriculture practices and management. Compared to the control treatment, this study comprehensively evaluated the effects of four mixed ratios of compost with chemical fertilizer, two nitrogen application times of chemical fertilizer, and their interaction on the soil properties, plant traits, yield, and quality of tomato plants. The soil properties, plant traits, and yield of tomato with all compost-mixed fertilizers performed better than the treatment without fertilizer. Furthermore, the amounts of available nitrogen, phosphorus, organic matter, plant weight, and yield in a 30% chemical fertilizer + 70% compost treatments (CF30) were even better than those with pure chemical fertilizer (CF100). No significant effect of nitrogen application time and its interaction with the mixed ratio treatment was detected, and the quality of fruit remained consistent among treatments. This study demonstrated a suitable practical application method for cow manure compost as a nutrient source in tomato crop production under silty loam soil.
1. Introduction
The intensive agricultural practices using chemical fertilizers have helped in increasing crop yields; however, more and more negative effects on soil quality and environmental pollution have been found in areas where chemical fertilizers were overused and/or used for the long-term [1,2,3,4]. Therefore, organic amendments such as crop residues, animal manures, or compost have been widely recognized as a vital agricultural fertilizer resource to improve the soil health and grain yield in an agroecosystem [5]. Furthermore, organic and bio-organic amendments replace part of the waste utilization [3,6,7]. To promote the wide application of this technology, many related subjects, such as the type and dosage of organic amendment [6,8,9,10], the appropriate ratio mixed with chemical fertilizer [9,11,12], nitrogen application time [13,14], and other factors such as mixing of organic amendments with different soil organisms (e.g., phosphate-solubilizing bacteria, native free-living nematodes, and epigeic earthworms [9,15]) have been studied for various crops and vegetables in many countries and regions. However, fewer previous studies have detected two or more factors simultaneously, and the interactions between factors have been mostly ignored [6,16,17]. Furthermore, a comprehensive evaluation from soil to plant, that is, including soil properties, plant morphological and physiological traits, yield, and quality, is insufficient at present [6,7,9,18,19]. Detecting the effects and comprehensive evaluations of multiple factors are of great significance for production practice, and more detailed work should be explored to improve the development of sustainable agriculture.
Cow manure, one of the common organic amendments, is rich in minerals and is often used in conventional agriculture [20,21]. However, organic amendments alone may not offer sufficient nutrient supply to meet the demand for agriculture production [22]. Integrated soil fertility management (ISFM), a technique that makes use of both organic and chemical fertilizer resources, is thus proposed for greater yield response and better nutrient storage [22,23]. For example, the production of tomato and other vegetables was found to be higher when the one-third chemical fertilizer was applied in combination with two-thirds vermicompost [24,25]. Because the utilization of nutrients by the plants to an adequate level largely depends upon the nitrogen quantity and time of its application, there is a need to balance the nitrogen application in terms of ratio and time of application [13]. The optimal mixed ratios of organic and chemical fertilizers based on nitrogen have been suggested for crops, vegetables, and fruits [7,9]. However, applying nitrogen (especially the chemical form), according to the requirements of plants at different growth stages, needs to be taken into more consideration [26].
Tomato (Solanum lycopersicum L.) is one of the most important vegetable crops [27], with an extensive worldwide distribution and a massive economic value [28]. Its global annual production is currently around 130 million tons [29]. The yield and quality of tomato are largely affected by the method of fertilization. Quite a number of studies have focused on the effects of the mixed ratio of organic and chemical fertilizers on the productivity of tomatoes and soil quality [7,9,20,30]. However, studies with nitrogen application time are much fewer for tomatoes. Furthermore, most fertilization studies of tomato have generally only evaluated the effects on plants [6,31] or soil quality [32], solely. Some studies have evaluated both the plants and soil quality but with few parameters [7,33]. Exploring both the effects of mixed fertilizer and application time, as well as conducting a comprehensive evaluation of both soil and plant, is necessary for the technologies of sustainable agriculture practice.
Therefore, this study aims to find an optimal ratio of cow manure compost mixed with chemical fertilizer and a better time for nitrogen application for tomato production based on a comprehensive evaluation of soil properties, plant morphological and physiological traits, photosynthetic pigment, yield, and quality attributes of tomato fruits. The findings could provide more information on the application of cow manure compost or be used as a reference for other organic fertilizers in a perspective of sustainable agriculture and agroecosystem health.
2. Materials and Methods
2.1. Study Growth Room
This experiment was conducted in a plant growth room of Northeast Normal University, located in Changchun, Jilin Province, China in 2019. From transplanting the seedlings (May 14) to plant harvest (July 29), the environmental conditions were kept in a light/dark cycle of 14/10 h, with the photosynthetic photon flux density at 550–600 μmol/m2s, and the room temperature at 32/28 °C (light/dark).
2.2. Source of Material and Soil Properties
Seedlings of tomato (Little Bing Tomato variety) and chemical fertilizer (urea, triple superphosphate, and potassium chloride) were purchased from the local market. Cow manure compost was collected from local farmers and had been well-decomposed and was ready for application. The soil used in this experiment was collected from the field. The soil was silty loamy soil according to the U.S. soil taxonomy. Before the compost and soil were put into pots, three thoroughly mixed compost samples and three field soil samples were collected randomly. Samples of soil and compost were first air-dried and 2 mm sieved. The physicochemical properties of these samples (Table 1), including total and available N [34], total and available P [35], soil organic matter [36] K and Mn [37], and total content of heavy metals Cd, Cu, Ni, Pb, Zn, and Cr [38], were determined by standard methods. The compost soil amendments may have caused some problems with the increase of heavy metals derived from the composition of raw materials [39]. Therefore, the quality of final composts and their commercial and agronomic value depends mainly on the quantity and quality of its organic substances, namely stability. All heavy metals in our compost were below the maximum allowable limits established by standard regulators, such as the World Health Organization (WHO), the Food and Agricultural Organization (FAO), Ewers U, and Italian legal limits (D.L. 75/2010 and subsequent amendments) for soils and vegetables [7,40].
Table 1.
The characteristics of field soil and compost used in this experiment.
At the end of the experiment, the soil of each pot was collected after the plants were harvested. After air-dried and ground into powder form, the available N, P, and organic matter content of soil samples were then measured using the same methods mentioned above.
2.3. Treatments and Experimental Design
Plants of a similar size at the three-leaf stage were transplanted to their respective treatment plots (30 cm diameter × 16 cm height) filled with 4 kg soil (air-dried). The treatments consisted of CK (no compost or chemical fertilizer) and four ratios of fertilizer: CF30 (30% chemical fertilizer + 70% compost), CF50 (50% chemical fertilizer + 50% compost), CF70 (70% chemical fertilizer + 30% compost) and CF100 (100% chemical fertilizer); and two different application times for the chemical N fertilizer: N25 (25% N applied at transplantation and 75% at the flowering stage) and N50 (50% N applied at transplantation and 50% at the flowering stage). There was a total of nine treatments with five repetitions in this experiment.
According to the recommended fertilization rate for tomatoes [41], the total effective nutrients (compost and fertilizer) for each fertilizer treatment were the same: 0.12 g N per kg soil, 0.11 g/kg P2O5 per kg soil, and 0.38 K2O per kg soil. All P, K, compost, and 25% urea for the N25 treatment (or 50% for the N50 treatment) were applied as basal fertilizer, and the remaining 75% (or 50%) urea was applied at the flowering stage, 6 cm below the soil surface around the four sides of the root, about 7 to 8 cm away from the root neck to avoid the root damage. All pots were followed by a full factorial design, randomly arranged in the growth chamber, and re-randomized weekly. Plants were watered 2–3 times a week to compensate for evaporation losses. Weeds were controlled by hand every week during the experimental period.
2.4. Plant Traits Measurement
The plant height, branches numbers, fresh and dry weights of shoots, and dry weights of roots were measured for each plant. The plant heights (from the surface of the soil to the tip of the main stem) was measured four times during the experimental studies at 30, 45, 60, and 75 days after transplantation. The number of branches and plant biomasses were measured at the end of the experiment. The number of branches was determined by manual counting. The fresh weights of shoots were measured before drying and the dry weights of shoots and roots were measured after being completely oven-dried at 75 °C.
To measure the photosynthetic pigments (total chlorophyll and carotenoid), the fresh mature leaves were randomly collected 50 and 70 days after transplantation. The leaves were first immersed in water to remove dust and the water was wiped off from the leaves’ surfaces by kitchen towels. The leaves were then cut into smaller pieces, and 0.1 g of fresh samples were immersed in 95% ethanol for about 12 h to extract the photosynthetic pigments completely. The photosynthetic pigments were determined using a spectrophotometer (Type UV-754; Shanghai Accurate Scientific Instrument Co., China) by measuring the absorbance at 470, 648.6, and 664.2 nm [42].
Photosynthetic pigment concentration (mg g-1) was calculated using the following formula:
Content (mg g−1) = (concentration × volume (25 mL)/sample dry weight)/1000
2.5. Yield and Quality Measurements
The tomato fruit yield/plant (i.e., the total weight of fruit per plant), number of fruits/plant and mean fruit weight/fruit were evaluated at harvest time. The dimensions (transverse and longitudinal diameters) of each tomato fruit were measured with a caliper (Deli). The moisture contents of fruits were determined ((tomato fruit fresh weight—tomato fruit dry weight)/tomatoes fruit fresh weight × 100%) after being oven-dried at 105 °C. Selected tomato fruits were stored at 4 °C for further nutritional analysis. We selected the completely red and ripe fruits from each treatment for quality parameter analysis, including the total sugar content [43], vitamin C [44], and the pH of the tomato juice (Mettler Toledo pH meter).
2.6. Statistical Analysis
The data was presented as the arithmetic mean values with standard error. All of the data were analyzed with SPSS statistical software (version 20). To compare the differences of all parameters among the treatments, two-way ANOVAs were used to detect the effects of fertilizer type, N application time, and their interactions on dependent variables. For those parameters that were significantly different in two-way ANOVAs, the one-way ANOVAs were then used for multiple comparisons between all treatments using DMRTs (Duncan multiple range tests) at the 0.05 probability level (p ≤ 0.05).
3. Result and Discussion
3.1. Soil Properties
After harvest, the contents of available N, P, and organic matter of the mixed fertilizer treatments were all significantly higher than those of the pure chemical (CF100) and control treatments, regardless of the N application time (Figure 1). Compared to the CF100 treatment, the contents of available N, P, and organic matter in the mixed fertilizer treatments increased by 21–46%, 124.73–312%, and 21–46% (under N25), and 23–46%, 55–219%, and 23–46% (under N50) conditions on average. It was interesting to find out that the soil quality increased with the increasing ratio of the compost. Especially, the present results revealed that the CF30 treatment was more appropriate than other treatments to improve the soil properties with cow manure compost. The CF30 treatment had the highest ratio of cow manure compost that included inactive nutrients. With the decomposition of microorganisms, the inactive nutrients were thus gradually decomposed and released to maintain the available nutrient level of the soil [45,46]. At the end of the experiment, the available nitrogen content of the CF30 soil was 126 ± 8.5 mg/kg and 125 ± 9.1 mg/kg under the N50 and N25 applications, respectively, which were similar to the values at the seedling transplantation stage (123 ± 3 mg/kg). Meanwhile, the available nitrogen content of the soil with pure chemical fertilizer (CF100) decreased to 86 ± 6 mg/kg and 85.8 ± 1.23 mg/kg, the same levels as the content values of the control treatment. This result clearly indicated that the CF30 treatments could maintain soil fertility and provide nutrients for the next growing season [47].
Figure 1.
The contents of available N (a), organic matter (b) and available P (c) of soil at the end of the experiment in the control (without fertilizer), and CF30, CF50, CF70, CF100 fertilizer treatments (70:30, 50:50, 30:70, 0:100 ratios of compost and chemical fertilizer) under N25 and N50 application time conditions (25% or 50% chemical N fertilizer applied at the transplantation and 75% or 50% at the flowering stage). Values are means ± SE. Values with the same letter were not significantly different from each other at the p < 0.05 level.
It has been widely accepted that organic fertilizers improve soil fertility and quality better than chemical fertilizers [9,48] and that different types of compost and vermicomposting are essential for environmental sustainability and soil quality restoration [49]. Nutrients supplied by organic fertilizer release slowly compared with chemical fertilizer, resulting in less loss of fertilizer and better preservation of the soil nutrients. The compost amendment also promotes biological N-transformation frequency in soil, which further enhances the soil’s organic and inorganic nutrients [50,51].
Furthermore, animal manure amendment may not only act as a substitute for chemical fertilizers but also as a conditioner for soil quality [52]. For example, one of the most beneficial effects of compost application in soils is the increase of organic matter content and carbon accumulation [53,54]. Therefore, modern agricultural experts recommend the use of animal excreta to improve the soil quality of field land which has been damaged by chemical fertilizers [53,55].
3.2. Plant Height, Weight, and Branch Number
Plant height is an important growth parameter. In general, the growth rate of our plants at an earlier stage was higher but it became relatively lower at the later stage of development, as shown in Figure 2. The plant height was significantly affected by fertilizer treatments except for those measured at 60 DAT, in which no significant difference in plant height was found among all the treatments under both conditions of N application time. When plants were harvested, there was no significant difference in plant height between the mixed fertilizer treatments (CF30, CF50, CF70) and the pure chemical fertilizer treatment (CF100), regardless of N application time. However, all the plants in the mixed fertilizer treatments (except CF100) were significantly higher than the plants of CK for the N25 application, while only the plants of CF50 were significantly higher than the plants of CK for the N50 application (Figure 2).
Figure 2.
The plant height under different fertilizer treatments in N25 and N50 application time conditions. See Figure 1 for treatment abbreviations. Values are means ± SE. *, **, and *** represents significant difference of plant height among fertilizer treatments at p < 0.05, 0.01 and 0.001 levels, respectively.
Though previous research showed that plants grew higher with cow manure and compost compared with other different organic mulches [56], our results indicated that plant height did not improve with the cow manure compost compared with those with the chemical fertilizer. This is consistent with the results of many other studies that found that insignificant differences were recorded for the plant heights among the organic fertilizer treatments and/or between the organic and chemical fertilizer treatments [18,24,54]. However, the highest plants were consistently found in the mixed fertilizer treatments under both two N application time conditions and significantly differed from the heights of the plants in the control. Similar conclusions were obtained from other studies with various plant species [7,18]. The positive response of plant heights in the mixed fertilizer treatments might partly be because of the increased nutrient level and partly because of the better quality of organic matter by the addition of compost, which perhaps increased the absorbing ability of the root systems for nutrients [7].
The fresh shoot weight, dry weight of shoots and roots, and branch numbers were all significantly affected by the fertilizer treatments, but not affected by the N application times and their interaction. All the parameters of plants in each fertilizer treatment were significantly higher than those of plants in the control under both N application time conditions (Figure 3). For the total number of branches (Figure 3d), no significant differences were detected between the pure chemical fertilizer treatment (CF100) and mixed fertilizer treatments (CF30, CF50, CF70). However, the fresh and dry shoot weights and the dry root weights of plants in CF50 were significantly higher than plants in CF100 under two N application time conditions (Figure 3a–c), though the difference of fresh shoot weights was not significant for the N25 (Figure 3a). The rate of improvement in fresh weights of shoots, dry weights of shoots, and root dry weights in mixed fertilizer treatments compared with the CF100 treatment were 17–22%, 22–31%, and 27–37% (under N25 conditions), and 13–31%, 15–38%, and 17–36% (under N50 conditions), respectively.
Figure 3.
The shoot fresh weights (a), shoot dry weights (b), root dry weights (c), and the number of branches (d) in the fertilizer treatments under two N application time conditions. See Figure 1 for treatment abbreviations. Values are means ± SE. Values with the same letter were not significantly different from each other at the p < 0.05 level.
Overall, plants accumulated more biomass in mixed fertilizer treatments than plants with chemical fertilizer in this study and others [6,57], suggesting that the organic fertilizers could improve the productivity and total biomass of tomato plants. The organic matter in fertilizers has been reported to improve soil fertility by increasing the soil’s water-holding capacity, porosity, aeration, and reducing nutrient leaching, which in turn resulted in better plant physiological parameters [58]. Furthermore, the plant growth parameter might be influenced by the beneficial bacteria from the cow dung compost [59]. Organic fertilizers, such as vermicompost and cow manure, not only act as a direct source of nutrients for plants but also indirectly affect the morphological and physical parameters of the plants by influencing the soil organism community structure and nutrient turnover [20].
However, the improvement of plant growth by the mixed fertilizer depended on the ratio of the compost and chemical fertilizers. In our study, plants in the CF50 treatment grew better than plants in other treatments under both N application time conditions. It has been widely reported that plants would maintain strong growth under appropriate levels of nitrogen fertilizer application, normally with medium ratios of the organic and chemical fertilizers [10,57,60]. One of the reasons for the unsatisfying plant growth with a lower ratio of organic mixed fertilizer might be the inhibition of root and shoot growth in response to a higher level of available nutrients that were directly provided by chemical fertilizer [61,62]. Furthermore, the smaller number of micronutrients (compared with the high ratio of compost), that could not be provided by the chemical fertilizer, was also inhibiting the growth of plants [57]. Therefore, a well-balanced macro- and micronutrient solution is essential to ensure favorable plant growth and health [60]. On the other hand, plant growth was also inhibited by the high ratio of organic fertilizer [60], probably due to the presence of the phytotoxic substance and negative changes in chemical and physical properties of growth media [2].
During the experiment period, no chlorosis symptoms were noticeable in compost treatments but chlorosis symptoms were observed in the CF100 and CK treatments two to three days before the harvest. Similar phenomena have been observed in other earlier reports [18], and an explanation has also been given that the longer growth period in organic fertilizer treatments might be due to the slow release and smaller loss of the nutrients [50].
3.3. Photosynthetic Pigments of Leaves
Chlorophylls and carotenoids are ubiquitous and essential components of the photosynthetic membranes in plants [63]. Compared with the control, plants growing with fertilizer, whether mixed or pure chemical, consistently had significantly higher contents of the photosynthetic pigments regardless of the two conditions of N application time [6]. The formation of these photosynthetic pigments largely depends on the concentration of available nitrogen in plants [64]. The higher amounts of chlorophyll and carotenoid could be correlated with the greater availability of nitrogen provided by the fertilizer, which stimulates the chlorophyll biosynthesis process [65].
Our results did not show a significant difference between mixed and chemical fertilizer treatments for the chlorophyll and carotenoid under two N application time conditions (Figure 4). This result might be because the total available nutrients (both compost and chemical fertilizer) applied to each fertilizer treatment were the same (see details in the Materials and Methods). These results were the same as the conclusions from other research [54].
Figure 4.
The contents of total chlorophyll (a) and total carotenoid (b) in the fertilizer treatments under two N application time conditions at 70 days after transplantation. See Figure 1 for treatment abbreviations. Values are means ± SE. Values with the same letter were not significantly different from each other at the p < 0.05 level.
3.4. Yield Properties
The plant yield properties of tomato plants, such as fruit yield and fruit numbers, were significantly affected by the fertilizer treatment but not by the main and interaction effects of N application time conditions. Plants in mixed fertilizer treatments showed a significantly higher yield than those in the control, and the yield of tomato increased with the increasing ratio of compost (Figure 5a,b). The tomato yield and fruit numbers in the CF30 treatment were significantly higher than those of CF100. Compared with the yield of the CF100 treatment, the treatments of CF30, CF50, and CF70 increased the yield and fruit numbers by 17–69% and 21–100% under N25 conditions, and 21–85% and 75–108% under N50 conditions. For an individual tomato fruit, the length, diameter, and weight per fruit were similar among each treatment (Figure 5c–e).
Figure 5.
The fruit yield (a), numbers of fruit (b), fruit length (c), fruit diameter (d), and fruit weight per fruit (e) in the fertilizer treatments under two N application time conditions. See Figure 1 for treatment abbreviations. Values are means ± SE. ns represents insignificant differences among all fertilizer and application time treatments. Values with the same letter were not significantly different from each other at the p < 0.05 level.
It has been reported that the organic amendments, organic amendments with chemical fertilizer, and bio-fertilizer significantly increased the yield of many crops compared with the chemical fertilizer [19,66]. Many previous studies proved that this improvement of yield might benefit from the enhancement of soil nutrients, microbial abundance, and enzyme activities [19,66] because the higher content of organic materials in organic treatments could provide more carbon sources and other nutrients to soil organisms, which in turn supply more nutrients to plants through the mineralization of organic nutrients in the soil.
3.5. Fruit Biochemical Properties
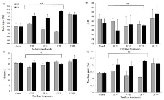
The fruits’ biochemical properties, including contents of total sugar, vitamin C, moisture, and pH of tomato paste, were not significantly affected by the fertilizer treatment or N application time, or their interaction (Figure 6). Though some studies showed that the organic fertilizer could change the taste and nutritional value of tomato or other fruits [16,67], our result supported the idea that there was no strong evidence of nutritional superiority of organically grown fruits [7,68]. However, it was worth noting that slightly negative relations showed between the biochemical properties and the mixed ratio of organic fertilizer; that is, there were lower contents of sugar, vitamin C, and pH values in a higher ratio of cow manure compost treatment (Figure 6a–c). Because the quality of fruit is closely related to many parameters, such as levels of nitrogen [67], potassium [69], and growth period [7], more refined experiments need to be further explored.
Figure 6.
The contents of total sugar (a), pH (b), vitamin C (c), and moisture (d) in the fertilizer treatments under two N application time conditions. See Figure 1 for treatment abbreviations. Values are the mean ± SE. ns represents insignificant differences among all fertilizer and application time treatments at the p < 0.05 level.
4. Conclusions
We found that the soil properties, plant traits, and yield of tomato were significantly affected by the fertilizer treatment but not by the N application time or their interactions. No significant changes in fruit qualities were detected in this experiment. The soil properties, plant traits, and yield of tomato with compost-mixed fertilizers performed better than the CK treatment, and some parameters in the CF30 treatment were even better than those with pure chemical fertilizer. Our results clearly showed that the cow manure compost could be applied as a potential source of nutrients to promote plant growth, increase tomato production, and improve soil fertility in silty loam texture soil. Establishing an optimal mixed ratio of compost and chemical fertilizer is a critical issue for commercial tomato production, and the chemical nitrogen application time is less important, according to our experimental design. The implication of organic fertilizers in improving soil quality might be greater than its impact on plant yield for sustainable agriculture practices. Further research should be conducted to verify the effects of cow manure compost in fields and how various crops and soils react over time.
Author Contributions
Conceptualization, M.H.; methodology, M.H. and Y.W.; software, M.H.; validation, P.W.; resources, N.A. and L.W.; data curation, S.M. and J.C.; writing—original draft preparation, M.H.; writing—review and editing, M.H. and P.W.; supervision, P.W. All authors have read and agreed to the published version of the manuscript.
Funding
This research was funded by the National Natural Science Foundation of China (31770475); the Science & Technology Development Program of Jilin Province, China (20180101087JC); and the Program for Introducing Talents to Universities, China (B16011).
Acknowledgments
We thank Yinli Hu and Zhuang Zhang for help with the greenhouse and sample collection work.
Conflicts of Interest
The authors declare that they have no known competing financial interests or personal relationships that could have appeared to influence the work reported in this paper.
References
- Ju, X.T.; Xing, G.X.; Chen, X.P.; Zhang, S.L.; Zhang, L.J.; Liu, X.J.; Cui, Z.L.; Yin, B.; Christie, P.; Zhu, Z.L.; et al. Reducing environmental risk by improving N management in intensive Chinese agricultural systems. Proc. Natl. Acad. Sci. USA 2009, 106, 3041–3046. [Google Scholar] [CrossRef] [PubMed]
- Zhang, L.; Sun, X.; Tian, Y.; Gong, X. Composted green waste as a substitute for peat in growth media: Effects on growth and nutrition of calathea insignis. PLoS ONE 2013, 8, e78121. [Google Scholar] [CrossRef] [PubMed]
- Mupambwa, H.A.; Mnkeni, P.N.S. Optimizing the vermicomposting of organic wastes amended with inorganic materials for production of nutrient-rich organic fertilizers: A review. Environ. Sci. Pollut. Res. 2018, 25, 10577–10595. [Google Scholar] [CrossRef] [PubMed]
- Ayilara, M.S.; Olanrewaju, O.S.; Babalola, O.O.; Odeyemi, O. Waste management through composting: Challenges and potentials. Sustainability 2020, 12, 4456. [Google Scholar] [CrossRef]
- Yang, W.; Yang, Z.; Guan, Y.; Zhai, C.; Shi, D.; Chen, J.; Wang, T.; Gu, S. Dose-dependent effect of compost amendment on soil bacterial community composition and co-occurrence network patterns in soybean agroecosystem. Arch. Agron. Soil Sci. 2019, 66, 1027–1041. [Google Scholar] [CrossRef]
- Ravindran, B.; Nguyen, D.D.; Chaudhary, D.K.; Chang, S.; Kim, J.; Lee, S.R.; Shin, J.; Jeon, B.-H.; Chung, S.; Lee, S.R. Influence of biochar on physico-chemical and microbial community during swine manure composting process. J. Environ. Manag. 2019, 232, 592–599. [Google Scholar] [CrossRef]
- Brunetti, G.; Traversa, A.; De Mastro, F.; Cocozza, C. Short term effects of synergistic inorganic and organic fertilization on soil properties and yield and quality of plum tomato. Sci. Hortic. 2019, 252, 342–347. [Google Scholar] [CrossRef]
- Favoino, E.; Hogg, D. The potential role of compost in reducing greenhouse gases. Waste Manag. Res. 2008, 26, 61–69. [Google Scholar] [CrossRef]
- Li, X.; Liu, C.; Zhao, H.; Gao, F.; Ji, G.; Hu, F.; Li, H. Similar positive effects of beneficial bacteria, nematodes and earthworms on soil quality and productivity. Appl. Soil Ecol. 2018, 130, 202–208. [Google Scholar] [CrossRef]
- Wang, Y.; Villamil, M.B.; Davidson, P.C.; Akdeniz, N. A quantitative understand ing of the role of co composted biochar in plant growth using meta-analysis. Sci. Total. Environ. 2019, 685, 741–752. [Google Scholar] [CrossRef]
- Hernández, T.; Chocano, C.; Moreno, J.L.; García, C. Towards a more sustainable fertilization: Combined use of compost and inorganic fertilization for tomato cultivation. Agric. Ecosyst. Environ. 2014, 196, 178–184. [Google Scholar] [CrossRef]
- Paramesh, V.; Dhar, S.; Dass, A.; Kumar, B.; Kumar, A.; El-Ansary, D.O.; Elansary, H.O. Role of integrated nutrient management and agronomic fortification of zinc on yield, nutrient uptake and quality of wheat. Sustainability 2020, 12, 3513. [Google Scholar] [CrossRef]
- Choudhari, S.; More, T. Fertigation, fertilizer and spacing requirement of tropical gynoecious cucumber hybrids. Acta Hortic. 2007, 88, 233–240. [Google Scholar] [CrossRef]
- Shen, Y.; Sui, P.; Huang, J.; Wang, N.; Whalen, J.K.; Chen, Y. Global warming potential from maize and maize-soybean as affected by nitrogen fertilizer and cropping practices in the North China Plain. Field Crop. Res. 2018, 225, 117–127. [Google Scholar] [CrossRef]
- Malusá, E.; Sas-Paszt, L.; Ciesielska, J. Technologies for beneficial microorganisms inocula used as biofertilizers. Sci. World J. 2012, 2012, 1–12. [Google Scholar] [CrossRef]
- Bilalis, D.; Krokida, M.; Roussis, I.; Papastylianou, P.; Travlos, I.; Cheimona, N.; DeDe, A. Effects of organic and inorganic fertilization on yield and quality of processing tomato (Lycopersicon esculentum Mill.). Folia Hortic. 2018, 30, 321–332. [Google Scholar] [CrossRef]
- Zandvakili, O.R.; Barker, A.V.; Hashemi, M.; Etemadi, F.; Autio, W.R. Comparisons of commercial organic and chemical fertilizer solutions on growth and composition of lettuce. J. Plant. Nutr. 2019, 42, 990–1000. [Google Scholar] [CrossRef]
- Hariadi, Y.C.; Nurhayati, A.Y.; Hariyani, P. Biophysical monitoring on the effect on different composition of goat and cow manure on the growth response of maize to support sustainability. Agric. Ecosyst. 2016, 9, 118–127. [Google Scholar] [CrossRef]
- Wang, X.X.; Zhao, F.; Zhang, G.; Zhang, Y.; Yang, L. Vermicompost improves tomato yield and quality and the biochemical properties of soils with different tomato planting history in a greenhouse study. Front. Plant. Sci. 2017, 8, 1978. [Google Scholar] [CrossRef]
- Lallawmsanga, D.J.; Mukesh, K.M.D.; Balakumaran, M.D.; Kumar, M.R.; Jeyarathi, J. Ameliorating effects of vermicompost and cow dung compost on growth and biochemical characteristics of Solanum melongena L. treated with paint industrial effluent. Ann. Biol. Res. 2012, 3, 2268–2274. [Google Scholar]
- Gupta, K.K.; Aneja, K.R.; Rana, D. Current status of cow dung as a bioresource for sustainable development. Bioresour. Bioprocess. 2016, 3, 28. [Google Scholar] [CrossRef]
- Bedada, W.; Karltun, E.; Lemenih, M.; Tolera, M. Long-term addition of compost and NP fertilizer increases crop yield and improves soil quality in experiments on smallholder farms. Agric. Ecosyst. Environ. 2014, 195, 193–201. [Google Scholar] [CrossRef]
- Ewusi-Mensah, N.; Logah, V.; Akrasi, E.J. Impact of different systems of manure management on the quality of cow dung. Commun. Soil Sci. Plant. Anal. 2015, 46, 137–147. [Google Scholar] [CrossRef]
- Akhter, S.; Islam, M.A.; Karim, M.R. Effects of nutrient management and netting on growth and yield of okra. Fundam. Appl. Agric. 2019, 4, 627–631. [Google Scholar] [CrossRef]
- Farzana, S.; Islam, M.A.; Haque, T. Effects of organic and inorganic fertilizers, and mulching on growth and yield of cabbage (Brassica oleracea var. capitata L.). JHPR 2019, 2, 1–10. [Google Scholar]
- Elfstrand, S.; Lans, H. Yield responses to different plant nutrition management for buttercup squash, Cucurbita maxima. Swedish J. Agric. Sci. 2002, 26, 29–31. [Google Scholar]
- Savić, S.; Stikić, R.; Radović, B.V.; Bogičević, B.; Jovanović, Z.; Šukalović, V.H.T. Comparative effects of regulated deficit irrigation (RDI) and partial root-zone drying (PRD) on growth and cell wall peroxidase activity in tomato fruits. Sci. Hortic. 2008, 117, 15–20. [Google Scholar] [CrossRef]
- FAOSTAT. FAOSTAT Food and Agriculture Organization of the United Nations. 2015. Available online: http://www.fao.org/faostat/ (accessed on 28 August 2020).
- Eurofresh. Around the World: Tomatoes. 2016. Available online: https://www.eurofresh–distribution.com/news/around–world–tomatoes (accessed on 29 August 2020).
- Nurhayati, A.Y.; Hariadi, Y.C. Assessing deep sea model on growing chili and rose tomatoes to promote harmonious human sphere on the locals and sustainability. In Proceedings of the 4th ISSH LSP-Conference, Reykjavík, Iceland, 15–17 October 2015. [Google Scholar]
- Truong, H.D.; Wang, C.H.; Kien, T.T. Effect of vermicompost in media on growth, yield and fruit quality of cherry tomato (lycopersicon esculentun mill.) under net house conditions. Compos. Sci. Util. 2018, 26, 52–58. [Google Scholar] [CrossRef]
- He, S.; Li, A.; Wang, L. Effect of sewage sludge and its biomass composting product on the soil characteristics and N2O emission from the tomato planting soil. Int. J. Agric. Biol. 2016, 18, 501–508. [Google Scholar] [CrossRef]
- Muchanga, R.; Hirata, T.; Araki, H. Effects of hairy vetch and livestock compost on soil properties and quality of fresh-market tomato fruit. Acta Hortic. 2020, 1286, 91–98. [Google Scholar] [CrossRef]
- Forestry Industry Standards of China. Nitrogen Determination Methods of Forest Soils (LY/T 1228–2015); Chinese Academy of Forestry Sciences: Beijing, China, 2015.
- Forestry Industry Standards of China. Phosphorus Determination Methods of Forest Soils (LY/T 1232–2015); Chinese Academy of Forestry Sciences: Beijing, China, 2015.
- Forestry Industry Standards of China. Determination of Organic Matter in Forest Soil and Calculation Carbon-nitrogen Ratio (LY/T 1237-1999); Chinese Academy of Forestry Sciences: Beijing, China, 1999.
- Forestry Industry Standards of China. Determination of Strong Acid Digestion Elements in Forest Soil (LY–T 1256–1999); Chinese Academy of Forestry Sciences: Beijing, China, 1999.
- Environmental Protection Industry Standard of China. Determination of Aqua Regia Soil and Sediment Extract 12 Kinds of Metal Elements (HJ. 803–2016); Ministry of Environmental Protection: Beijing, China, 2016.
- Hargreaves, J.; Adl, M.; Warman, P. A review of the use of composted municipal solid waste in agriculture. Agric. Ecosyst. Environ. 2008, 123, 1–14. [Google Scholar] [CrossRef]
- Smith, S.R. A critical review of the bioavailability and impacts of heavy metals in municipal solid waste composts compared to sewage sludge. Environ. Int. 2009, 35, 142–156. [Google Scholar] [CrossRef]
- Zhao, B.; Lang, J.; Han, X.; Yang, J.; Zheng, G. Study on the optimum fertilizer rate and proportion of tomato. Liaoning Agri. Sci. 2002, 5, 16–18. [Google Scholar]
- Lichtenthaler, H. Chlorophylls and carotenoids: Pigments of photosynthetic biomembranes. Methods Enzymol. 1987, 148, 350–382. [Google Scholar] [CrossRef]
- Determination of Soluble Sugar in Vegetable and Fruit (GB-T6194-86); Standardization Administration of the Peoples Republic of China: Beijing, China, 1986.
- Determination of Vitamin C Content in Fruits and Vegetables (2, 6-Dichloroindophenol Titration); GB/T6195-1986; Standardization Administration of the People’s Republic of China: Beijing, China, 1986.
- Matson, P.A.; Parton, W.J.; Power, A.G.; Swift, M.J. Agricultural intensification and ecosystem properties. Science 1997, 277, 504–509. [Google Scholar] [CrossRef]
- Adegunloye, D.; Adetuyi, F.; Akinyosoye, F.; Doyeni, M. Microbial analysis of compost using cowdung as booster. Pak. J. Nutr. 2007, 6, 506–510. [Google Scholar] [CrossRef]
- Diacono, M.; Montemurro, F. Long-term effects of organic amendments on soil fertility. A review. Agron. Sustain. Dev. 2010, 30, 401–422. [Google Scholar] [CrossRef]
- Zhen, Z.; Liu, H.; Wang, N.; Guo, L.; Meng, J.; Ding, N.; Wu, G.; Jiang, G. Effects of manure compost application on soil microbial community diversity and soil microenvironments in a temperate cropland in China. PLoS ONE 2014, 9, e108555. [Google Scholar] [CrossRef]
- Goswami, L.; Nath, A.; Sutradhar, S.; Bhattacharya, S.S.; Kalamdhad, A.S.; Vellingiri, K.; Kim, K.H. Application of drum compost and vermicompost to improve soil health, growth, and yield parameters for tomato and cabbage plants. J. Environ. Manag. 2017, 200, 243–252. [Google Scholar] [CrossRef] [PubMed]
- Bhattacharyya, R.; Kundu, S.; Prakash, V.; Gupta, H. Sustainability under combined application of mineral and organic fertilizers in a rainfed soybean–wheat system of the Indian Himalayas. Eur. J. Agron. 2008, 28, 33–46. [Google Scholar] [CrossRef]
- Liu, E.; Yan, C.; Mei, X.; He, W.; Bing, S.H.; Ding, L.; Liu, Q.; Liu, S.; Fan, T. Long-term effect of chemical fertilizer, straw, and manure on soil chemical and biological properties in northwest China. Geoderma 2010, 158, 173–180. [Google Scholar] [CrossRef]
- Yadav, A.; Gupta, R.; Garg, V. Organic manure production from cow dung and biogas plant slurry by vermicomposting under field conditions. Int. J. Recycl. Org. Waste Agric. 2013, 2, 21. [Google Scholar] [CrossRef]
- Li, Z.; Wang, M.; Yang, Y.; Zhao, S.; Zhang, Y.; Wang, X. Effect of composted manure plus chemical fertilizer application on aridity response and productivity of apple trees on the loess plateau, China. Arid. Land Res. Manag. 2017, 31, 388–403. [Google Scholar] [CrossRef]
- Chatzistathis, T.; Papadakis, I.E.; Papaioannou, A.; Chatzissavvidis, C.; Giannakoula, A. Comparative study effects between manure application and a controlled-release fertilizer on the growth, nutrient uptake, photosystem II activity and photosynthetic rate of Olea europaea L. (cv. ‘Koroneiki’). Sci. Hortic. 2020, 264, 109176. [Google Scholar] [CrossRef]
- Lin, Y.; Ye, G.; Kuzyakov, Y.; Liu, D.; Fan, J.; Ding, W. Long-term manure application increases soil organic matter and aggregation, and alters microbial community structure and keystone taxa. Soil Biol. Biochem. 2019, 134, 187–196. [Google Scholar] [CrossRef]
- Kiczorowski, P.; Kopacki, M.; Kiczorowska, B. The response of Sampion trees growing on different root stocks to applied organic mulches and mycorrhizal substrate in the orchard. Sci. Hortic. 2018, 241, 267–274. [Google Scholar] [CrossRef]
- Zia-Ur-Rehman, M.; Rizwan, M.; Ali, S.; Fatima, N.; Yousaf, B.; Naeem, A.; Sabir, M.; Ahmad, H.R.; Ok, Y.S. Contrasting effects of biochar, compost and farm manure on alleviation of nickel toxicity in maize (Zea mays L.) in relation to plant growth, photosynthesis and metal uptake. Ecotoxicol. Environ. Saf. 2016, 133, 218–225. [Google Scholar] [CrossRef]
- Hussain, F.; Hussain, I.; Khan, A.H.A.; Muhammad, Y.S.; Iqbal, M.; Soja, G.; Reichenauer, T.G.; Zeshan; Yousaf, S. Combined application of biochar, compost, and bacterial consortia with Italian ryegrass enhanced phytoremediation of petroleum hydrocarbon contaminated soil. Environ. Exp. Bot. 2018, 153, 80–88. [Google Scholar] [CrossRef]
- Zhang, W.; Yu, C.; Wang, X.; Hai, L.; Hu, J. Retraction notice to “Increased abundance of nitrogen fixing bacteria by higher C/N ratio reduces the total losses of N and C in cattle manure and corn stover mix composting”. Waste Manag. 2020, 103, R1. [Google Scholar] [CrossRef]
- Chekli, L.; Kim, J.E.; El Saliby, I.; Kim, Y.; Phuntsho, S.; Li, S.; Ghaffour, N.; Leiknes, T.; Shon, H.K. Fertilizer drawn forward osmosis process for sustainable water reuse to grow hydroponic lettuce using commercial nutrient solution. Sep. Purif. Technol. 2017, 181, 18–28. [Google Scholar] [CrossRef]
- Wang, X.; Fan, J.; Xing, Y.; Xu, G.; Wang, H.; Deng, J.; Wang, Y.; Zhang, F.; Li, P.; Li, Z. The effects of mulch and nitrogen fertilizer on the soil environment of crop plants. Adv. Agron. 2019, 153, 121–173. [Google Scholar] [CrossRef]
- Guo, J.; Jia, Y.; Chen, H.; Zhang, L.; Yang, J.; Hu, X.; Ye, X.; Li, Y.; Zhou, Y. Growth, photosynthesis, and nutrient uptake in wheat are affected by differences in nitrogen levels and forms and potassium supply. Sci. Rep. 2019, 9, 1–12. [Google Scholar] [CrossRef] [PubMed]
- Mittler, R. Oxidative stress, antioxidants and stress tolerance. Trends Plant. Sci. 2002, 7, 405–410. [Google Scholar] [CrossRef]
- Tekaya, M.; El-Gharbi, S.; Mechri, B.; Chehab, H.; Bchir, A.; Chraief, I.; Ayachi, M.; Boujnah, D.; Attia, F.; Hammami, M. Improving performance of olive trees by the enhancement of key physiological parameters of olive leaves in response to foliar fertilization. Acta Physiol. Plant. 2016, 38, 101–109. [Google Scholar] [CrossRef]
- Akram, M.S.; Ashraf, M. Alleviation of adverse effects of salt stress on sunflower (Helianthus annuus L.) by exogenous application of potassium nitrate. J. Appl. Bot. Food Qual. 2009, 83, 19–27. [Google Scholar]
- Lopes, A.A.D.C.; De Sousa, D.M.G.; Chaer, G.M.; Junior, F.B.D.R.; Goedert, W.J.; Mendes, I.D.C. Interpretation of microbial soil indicators as a function of crop yield and organic carbon. Soil Sci. Soc. Am. J. 2013, 77, 461–472. [Google Scholar] [CrossRef]
- Vinha, A.F.; Barreira, S.V.; Costa, A.S.; Alves, R.C.; Oliveira, M.B.P. Organic versus conventional tomatoes: Influence on physicochemical parameters, bioactive compounds and sensorial attributes. Food Chem. Toxicol. 2014, 67, 139–144. [Google Scholar] [CrossRef]
- Reganold, J.P.; Andrews, P.K.; Reeve, J.R.; Carpenter-Boggs, L.; Schadt, C.W.; Alldredge, J.R.; Ross, C.F.; Davies, N.M.; Zhou, J. Fruit and soil quality of organic and conventional strawberry agroecosystems. PLoS ONE 2010, 5, e12346. [Google Scholar] [CrossRef]
- Çolpan, E.; Zengin, M.; Ozbahce, A. The effects of potassium on the yield and fruit quality components of stick tomato. Hortic. Environ. Biotechnol. 2013, 54, 20–28. [Google Scholar] [CrossRef]
Publisher’s Note: MDPI stays neutral with regard to jurisdictional claims in published maps and institutional affiliations. |
© 2020 by the authors. Licensee MDPI, Basel, Switzerland. This article is an open access article distributed under the terms and conditions of the Creative Commons Attribution (CC BY) license (http://creativecommons.org/licenses/by/4.0/).





