Characterization and Prediction of Fecal Sludge Parameters and Settling Behavior in Informal Settlements in Nairobi, Kenya
Abstract
1. Introduction
2. Materials and Methods
2.1. Site Description
2.2. Sampling Procedure
2.3. Testing Procedures & Analysis Methods
3. Results
3.1. Lab Characterization
3.2. Relationships of Measured Parameters
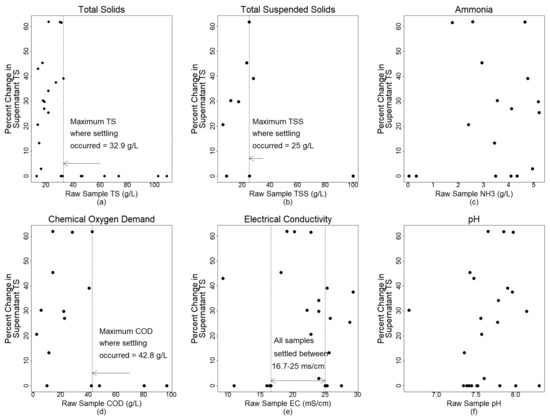
3.3. Onsite Settling
4. Discussion
4.1. Characterization
4.2. Relationships of Measured Parameters
4.3. Onsite Settling
5. Conclusions
Author Contributions
Funding
Acknowledgments
Conflicts of Interest
References
- World Health Organization, UNICEF. Progress on Drinking Water, Sanitation and Hygiene: 2017 Update and SDG Baselines; UNICEF: Geneva, Switzerland, 2017. [Google Scholar]
- Strande, L. The Global Situation. In Faecal Sludge Management-Systems Approach for Implementation and Operation; Strande, L., Ronteltap, M., Brdjanovic, D., Eds.; IWA Publishing: London, UK, 2014; pp. 1–14. ISBN 9781780404738. [Google Scholar]
- Tayler, K. Faecal Sludge and Septage Treatment, A Guide for Low and Middle Income Countries; Practical Action Publishing Ltd.: Rugby, UK, 2018; ISBN 978-1-78044-987-6. [Google Scholar]
- Republic of Kenya Ministry of Health. Kenya Environmental Sanitation and Hygiene Policy 2016–2030; Republic of Kenya Ministry of Health: Nairobi, Kenya, 2016.
- Tilley, E.; Ulrich, L.; Lüthi, C.; Reymond, P.; Zurbrügg, C. Compendium of Sanitation Systems and Technologies, 2nd ed.; Eawag: Dübendorf, Switzerland, 2014. [Google Scholar]
- Nelson, K.L.; Murray, A. Sanitation for Unserved Populations: Technologies, Implementation Challenges, and Opportunities. Annu. Rev. Environ. Resour. 2008, 33, 119–151. [Google Scholar] [CrossRef]
- Peal, A.; Evans, B.; Blackett, I.; Hawkins, P.; Heymans, C. A Review of Fecal Sludge Management in 12 Cities. J. Water Sanit. Hyg. Dev. 2014, 4, 563–575. [Google Scholar] [CrossRef]
- Dodane, P.-H.; Ronteltap, M. Unplanted Drying Beds. In Faecal Sludge Management–Systems Approach for Implementation and Operation; Strande, L., Ronteltap, M., Brdjanovic, D., Eds.; IWA Publishing: London, UK, 2014; pp. 141–153. ISBN 9781780404738. [Google Scholar]
- Niwagaba, C.B.; Mbéguéré, M.; Strande, L. Faecal Sludge Quantification, Characterisation and Treatment Objectives. In Faecal Sludge Management–Systems Approach for Implementation and Operation; Strande, L., Ronteltap, M., Brdjanovic, D., Eds.; IWA Publishing: London, UK, 2014; pp. 19–43. ISBN 9781780404738. [Google Scholar]
- Bassan, M.; Robbins, D.M. Operation, Maintenance and Monitoring of Faecal Sludge Treatment Plant. In Faecal Sludge Management: Systems Approach for Implementation and Operation; Strande, L., Ronteltap, M., Brdjanovic, D., Eds.; IWA Publishing: London, UK, 2014; pp. 231–253. ISBN 9781780404738. [Google Scholar]
- Ward, B.; Strande, L. Conditioning. In Faecal sludge management: Highlights and Exercises; Englund, M., Strande, L., Eds.; Eawag: Swiss Federal Institute of Aquatic Science and Technology: Dübendorf, Switzerland, 2019; ISBN 9783906484709. [Google Scholar]
- Ward, B.J.; Septien, S.; Ronteltap, M.; Strande, L. Experimental design for the development, transfer, scale-up, and optimization of treatment technologies: Case studies of dewatering and drying. In Methods for Faecal Sludge Analysis; Velkushanova, K., Strande, L., Ronteltap, M., Koottatep, T., Brdjanovic, D., Buckley, C., Eds.; IWA Publishing: London, UK; ISBN 9781780409115.
- APHA. Standard Methods for the Examination of Water and Wastewater; APHA: Washington, DC, USA, 2017. [Google Scholar]
- Dodane, P.-H.; Bassan, M. Settling-Thickening Tanks. In Faecal Sludge Management - Systems Approach for Implementation and Operation; Strande, L., Ronteltap, M., Brdjanovic, D., Eds.; IWA Publishing: London, UK, 2014; pp. 123–139. ISBN 9781780404738. [Google Scholar]
- Tchobanoglous, G.; Stensel, D.H.; Tsuchihash, R.; Burton, F.; Abu-Orf, M.; Bowden, G.; Pfrang, W. Wastewater Engineering, Treatment and Resource Recovery, 5th ed.; Metcalf & Eddy, Ed.; McGraw-Hill Education: New York, NY, USA, 2014. [Google Scholar]
- Englund, M.; Strande, L. What is faecal sludge? In Faecal Sludge Management: Highlights and Exercises; Englund, M., Strande, L., Eds.; IWA Publishing: Dübendorf, Switzerland, 2019; ISBN 978-3-906484-70-9. [Google Scholar]
- Strande, L.; Schoebitz, L.; Bischoff, F.; Ddiba, D.; Okello, F.; Englund, M.; Ward, B.J.; Niwagaba, C.B. Methods to reliably estimate faecal sludge quantities and qualities for the design of treatment technologies and management solutions. J. Environ. Manag. 2018, 223, 898–907. [Google Scholar] [CrossRef] [PubMed]
- Strande, L.; Englund, M.; Andriessen, N.; Cabajal, J.P.; Scheidegger, A. Estimating quantities and qualities (Q&Q) of faecal sludge at community to citywide scales. In Methods for Faecal Sludge Analysis; Velkushanova, K., Strande, L., Ronteltap, M., Koottatep, T., Brdjanovic, D., Buckley, C., Eds.; IWA Publishing: London, UK, in press; ISBN 9781780409115.
- Ward, B.J.; Traber, J.; Gueye, A.; Diop, B.; Morgenroth, E.; Strande, L. Evaluation of conceptual model and predictors of faecal sludge dewatering performance in Senegal and Tanzania. Water Res. 2019, 167. [Google Scholar] [CrossRef] [PubMed]
- Ward, B.J.; Andriessen, N.; Grau, M.; Scheidegger, A.; Tembo, J.; Kabika, J.; Morgenroth, E.; Strande, L. Predictive models from cheap and easy measurements: Can they fill the gap in online monitoring at faecal sludge treatment plants? Prep. Submiss. to Water Res. in press.
- Dewhurst, R. SFD Thinking–SFD Creation Process and Impacts (Case of Nairobi, Kenya); Susana: Eschborn, Germany, 2018. [Google Scholar]
- Torfs, E.; Nopens, I.; Winkler, M.K.; Vanrolleghem, P.A.; Balemans, S.; Smets, I.Y. Settling Tests. In Experimental Methods In Wastewater Treatment; Daigger, G.T., Takács, I., Eds.; IWA Publishing: London, UK, 2016; Volume 9781780404, pp. 235–262. ISBN 9781780404752. [Google Scholar]
- ASTM International D2216-19 Standard Test Methods for Laboratory Determination of Water (Moisture) Content of Soil and Rock by Mass. 2019. Available online: https://www.astm.org/Standards/D2216 (accessed on 29 October 2020).
- ISO. Water Quality–Determination of the Chemical Oxygen Demand, ISO 6060:1989; ISO: Geneva, Switzerland, 2017; Available online: https://www.iso.org/standard/12260.html (accessed on 29 October 2020).
- ISO. Water Quality–Determination of Suspended Solids by Filtration through Glass-Fibre Filters, ISO 11923:1997; International Organization for Standardization: Geneva, Switzerland, 2017; Available online: https://www.iso.org/standard/20654.html (accessed on 29 October 2020).
- Schmid, H.; Huber, A. Measuring a small number of samples, and the 3v fallacy: Shedding light on confidence and error intervals. IEEE Solid State Circuits Mag. 2014, 6, 52–58. [Google Scholar] [CrossRef]
- Gold, M.; Harada, H.; Therrien, J.-D.; Nishida, T.; Cunningham, M.; Semiyaga, S.; Fujii, S.; Dorea, C.; Nguyen, V.-A.; Strande, L. Cross-country analysis of faecal sludge dewatering. Environ. Technol. 2017. [Google Scholar] [CrossRef]
- Semiyaga, S.; Okure, M.A.E.; Niwagaba, C.B.; Katukiza, A.Y.; Kansiime, F. Decentralized options for faecal sludge management in urban slum areas of Sub-Saharan Africa: A review of technologies, practices and end-uses. Resour. Conserv. Recycl. 2015, 104, 109–119. [Google Scholar] [CrossRef]
- Ronteltap, M.; Dodane, P.-H.; Bassan, M. Overview of Treatment Technologies. In Faecal Sludge Management–Systems Approach for Implementation and Operation; Strande, L., Ronteltap, M., Brdjanovic, D., Eds.; IWA Publishing: London, UK, 2014; pp. 97–120. ISBN 9781780404738. [Google Scholar]
- Hannouche, A.; Chebbo, G.; Ruban, G.; Tassin, B.; Lemaire, B.J.; Joannis, C. Relationship between turbidity and total suspended solids concentration within a combined sewer system. Water Sci. Technol. 2011, 64, 2445–2452. [Google Scholar] [CrossRef]
- Rügner, H.; Schwientek, M.; Beckingham, B.; Kuch, B.; Grathwohl, P. Turbidity as a proxy for total suspended solids (TSS) and particle facilitated pollutant transport in catchments. Environ. Earth Sci. 2013, 69, 373–380. [Google Scholar] [CrossRef]
- Ingallinella, A.M.; Sanguinetti, G.; Koottatep, T.; Montangero, A.; Strauss, M. The challenge of faecal sludge management in urban areas - Strategies, regulations and treatment options. Water Sci. Technol. 2002, 46, 285–294. [Google Scholar] [CrossRef]





| Parameter | All Samples | |||||
|---|---|---|---|---|---|---|
| Sample Size | Minimum | Maximum | Median | Mean | Standard Deviation | |
| TS (g/L) | 45 | 13.20 | 116.80 | 27.40 | 41.82 | 32.02 |
| TSS (g/L) | 15 | 4.01 | 66.70 | 13.18 | 20.27 | 19.21 |
| pH | 45 | 6.03 | 8.30 | 7.67 | 7.62 | 0.39 |
| EC (mS/cm) | 45 | 6.78 | 29.30 | 22.80 | 20.87 | 5.64 |
| Ammonia (g/L) | 25 | 0.03 | 4.65 | 2.38 | 2.40 | 1.11 |
| COD (g/L) | 22 | 1.70 | 64.58 | 15.45 | 24.05 | 19.94 |
| Turbidity (NTU) | 10 | 3800 | 123,500 | 15,200 | 27,000 | 35,194 |
| Pit Samples | ||||||
| TS (g/L) | 29 | 13.20 | 108.98 | 21.92 | 30.74 | 21.12 |
| TSS (g/L) | 10 | 4.01 | 40.33 | 9.68 | 14.05 | 11.47 |
| pH | 29 | 6.03 | 8.14 | 7.65 | 7.60 | 0.43 |
| EC (mS/cm) | 29 | 6.78 | 29.30 | 24.00 | 22.18 | 5.59 |
| Ammonia (g/L) | 20 | 0.00 | 4.65 | 1.71 | 1.57 | 1.43 |
| COD (g/L) | 17 | 1.70 | 64.58 | 14.83 | 21.42 | 19.42 |
| Turbidity (NTU) | 6 | 3800 | 32,900 | 13,300 | 14,600 | 10,995 |
| Composite Samples | ||||||
| TS (g/L) | 8 | 20.27 | 51.50 | 25.26 | 29.50 | 10.42 |
| TSS (g/L) | 2 | 10.60 | 13.18 | 11.89 | 11.89 | 1.82 |
| pH | 8 | 7.22 | 8.13 | 7.80 | 7.73 | 0.28 |
| EC (mS/cm) | 8 | 16.15 | 26.90 | 23.65 | 21.84 | 4.30 |
| Ammonia (g/L) | 2 | 2.27 | 3.29 | 2.78 | 2.78 | 0.72 |
| COD (g/L) | 2 | 12.71 | 15.69 | 14.20 | 14.20 | 2.11 |
| Turbidity (NTU) | 2 | 14,300 | 15,100 | 14,700 | 14,700 | 579 |
| Tank Samples | ||||||
| TS (g/L) | 8 | 32.33 | 116.80 | 99.96 | 94.28 | 26.89 |
| TSS (g/L) | 3 | 16.86 | 66.70 | 56.13 | 46.56 | 26.26 |
| pH | 8 | 7.09 | 8.30 | 7.56 | 7.58 | 0.38 |
| EC (mS/cm) | 8 | 8.90 | 20.60 | 15.65 | 15.15 | 3.30 |
| Ammonia (g/L) | 3 | 2.32 | 4.17 | 2.38 | 2.96 | 1.05 |
| COD (g/L) | 3 | 28.15 | 63.33 | 45.00 | 45.49 | 17.60 |
| Turbidity (NTU) | 2 | 29,300 | 123,500 | 76,400 | 76,400 | 66,589 |
| Parameter | Lined and Unlined Pit Latrines | Household Pit Latrines | Pit Latrines |
|---|---|---|---|
| Uganda [27] | Uganda [17] | Zambia [20] | |
| TS (g/L) | 17–148 * | 25 | 148 * |
| TSS (g/L) | N/A | 20 | N/A |
| pH | 7.8 | 8.35 | 7.73 |
| EC (mS/cm) | 12–13.6 | N/A | 14.5 |
| COD (g/L) | 20.8–127.2 | 28 | 121.1 |
Publisher’s Note: MDPI stays neutral with regard to jurisdictional claims in published maps and institutional affiliations. |
© 2020 by the authors. Licensee MDPI, Basel, Switzerland. This article is an open access article distributed under the terms and conditions of the Creative Commons Attribution (CC BY) license (http://creativecommons.org/licenses/by/4.0/).
Share and Cite
Junglen, K.; Rhodes-Dicker, L.; Ward, B.J.; Gitau, E.; Mwalugongo, W.; Stradley, L.; Thomas, E. Characterization and Prediction of Fecal Sludge Parameters and Settling Behavior in Informal Settlements in Nairobi, Kenya. Sustainability 2020, 12, 9040. https://doi.org/10.3390/su12219040
Junglen K, Rhodes-Dicker L, Ward BJ, Gitau E, Mwalugongo W, Stradley L, Thomas E. Characterization and Prediction of Fecal Sludge Parameters and Settling Behavior in Informal Settlements in Nairobi, Kenya. Sustainability. 2020; 12(21):9040. https://doi.org/10.3390/su12219040
Chicago/Turabian StyleJunglen, Katherine, Leandra Rhodes-Dicker, Barbara J. Ward, Emily Gitau, Wali Mwalugongo, Lindsay Stradley, and Evan Thomas. 2020. "Characterization and Prediction of Fecal Sludge Parameters and Settling Behavior in Informal Settlements in Nairobi, Kenya" Sustainability 12, no. 21: 9040. https://doi.org/10.3390/su12219040
APA StyleJunglen, K., Rhodes-Dicker, L., Ward, B. J., Gitau, E., Mwalugongo, W., Stradley, L., & Thomas, E. (2020). Characterization and Prediction of Fecal Sludge Parameters and Settling Behavior in Informal Settlements in Nairobi, Kenya. Sustainability, 12(21), 9040. https://doi.org/10.3390/su12219040

