Empirical Modeling of Direct Expansion (DX) Cooling System for Multiple Research Use Cases
Abstract
1. Introduction
1.1. Background
1.2. Literature Review
1.3. Objectives
2. Modeling and Evaluation
2.1. Test-Bed Description
2.2. RTU Modeling
2.2.1. General RTU Model Structure
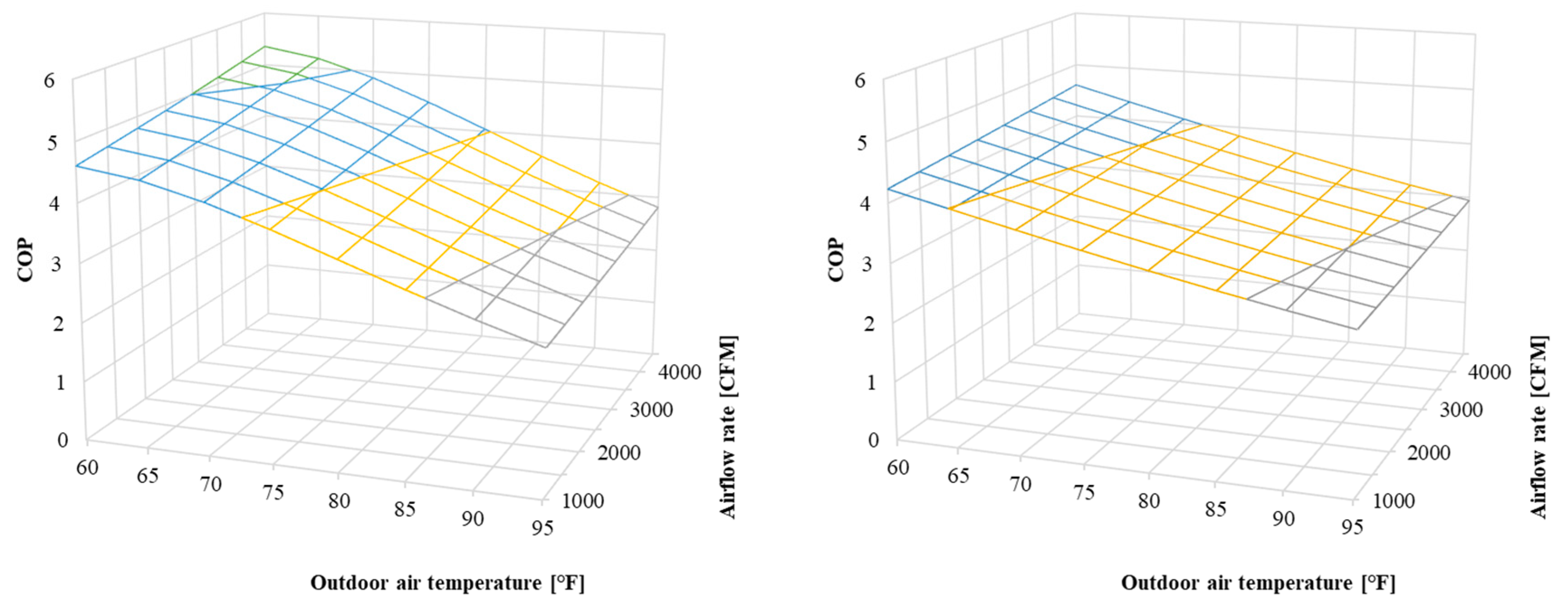
2.2.2. Modeling Results
2.2.3. Model Analysis
3. Case Study
3.1. Case 1: Building Energy Modeling Study
3.2. Case 2: Model-Based Predictive Control (MPC)
3.3. Case3: Fault Diagnostics and Detection (FDD)
4. Conclusions and Discussion
- The estimated DX cooling model for RTU system matched well with the measurement for the two stages. Their RMSE and correlation coefficient were 0.96kW and 0.98 in the cooling capacity and 0.14kW and 0.99 in power consumption.
- A BES program validation with EnergyPlus was conducted with a 2-story unoccupied commercial building. The power consumption of the model matched well with the experiment compared to the naive adoption of the nominal curve. The NMBE and cv(RMSE) improved from −21.7~−37.1% and 25.5~41.4% to −0.2% and 6.1%, respectively.
- An MPC simulation study was carried out with an estimated grey-box building and RTU models. Simplified linear COP prediction was incorporated in the MPC formulation, and 14.3% power savings was achieved compared to the feedback control.
- Three fault tests (duct leakage, limited refrigerant, and condenser fouling) were performed with the regressed RTU model. In all cases, the delivered cooling decreased distinctively. The cv(RMSE) of faulty experimental data against the model was 7~52% while the normal experimental data against the model were 9% (baseline). However, the power consumption of the faulty condition increased slightly compared to the prediction from the model.
Author Contributions
Funding
Acknowledgments
Conflicts of Interest
References
- Department of Energy (DOE)—Commercial Building Energy Alliances (CBEA). 2012. Available online: https://www1.eere.energy.gov/buildings/alliances/rooftop_specification.html (accessed on 15 January 2020).
- Feng, K.; Lu, W.; Wang, Y. Assessing environmental performance in early building design stage: An integrated parametric design and machine learning method. Sustain. Cities Soc. 2019, 50, 101596. [Google Scholar] [CrossRef]
- Wang, R.; Lu, S.; Li, Q. Multi-criteria comprehensive study on predictive algorithm of hourly heating energy consumption for residential buildings. Sustain. Cities Soc. 2019, 49, 101623. [Google Scholar] [CrossRef]
- Seyedzadeh, S.; Pour Rahimian, F.; Rastogi, P.; Glesk, I. Tuning machine learning models for prediction of building energy loads. Sustain. Cities Soc. 2019, 47, 101484. [Google Scholar] [CrossRef]
- Moreci, E.; Ciulla, G.; Brano, V.L. Annual heating energy requirements of office buildings in a European climate. Sustain. Cities Soc. 2016, 20, 81–95. [Google Scholar] [CrossRef]
- Ascione, F.; Bianco, N.; De Stasio, C.; Mauro, G.M.; Vanoli, G.P. A New Comprehensive Approach for Cost-Optimal Building Design Integrated with the Multi-Objective Model Predictive Control of HVAC Systems. Sustain. Cities Soc. 2017, 31, 136–150. [Google Scholar] [CrossRef]
- Péan, T.; Costa-Castelló, R.; Salom, J. Price and Carbon-Based Energy Flexibility of Residential Heating and Cooling Loads Using Model Predictive Control. Sustain. Cities Soc. 2019, 50, 101579. [Google Scholar] [CrossRef]
- Fang, J.; Ma, R.; Deng, Y. Identification of the Optimal Control Strategies for the Energy-Efficient Ventilation under the Model Predictive Control. Sustain. Cities Soc. 2020, 53, 101908. [Google Scholar] [CrossRef]
- Du, Z.; Fan, B.; Jin, X.; Chi, J. Fault detection and diagnosis for buildings and HVAC systems using combined neural networks and subtractive clustering analysis. Build. Environ. 2014, 73, 1–11. [Google Scholar] [CrossRef]
- Li, S.; Wen, J. A model-based fault detection and diagnostic methodology based on PCA method and wavelet transform. Energy Build. 2014, 68, 63–71. [Google Scholar] [CrossRef]
- Gorthala, R. Bringing Fault Detection and Diagnosis (FDD) Tools into the Mainstream: Retro Commissioning & Continuous Commissioning of HVAC and Refrigeration Systems. BTO peer review 2017. Available online: https://www.energy.gov/sites/prod/files/2019/05/f62/bto-peer%E2%80%932019-univ-new-haven.pdf (accessed on 21 October 2020).
- Consortium for Building Energy Innovation (CBEI), 2016, OpenStudio Measure Development for Integrated HVAC Retrofit. Available online: http://www.cbei.psu.edu/wp-content/uploads/2016/07/OpenStudio-Measure-Development-for-Integrated-HVAC-Retrofit.pdf (accessed on 21 October 2020).
- Im, P.; Joe, J.; New, R.J.; Bae, Y. Empirical Validation of Building Energy Modeling for Multi-zones Commercial Buildings in Cooling Season. Appl. Energy 2020, 261, 114374. [Google Scholar] [CrossRef]
- Im, P.; New, R.J.; Joe, J. Empirical Validation of Building Energy Modeling using Flexible Research Platform. In Proceedings of the 16th IBPSA International Conference, Rome, Italy, 2–4 September 2019. [Google Scholar]
- Oldewurtel, F.; Parisio, A.; Jones, C.N.; Gyalistras, D.; Gwerder, M.; Stauch, V.; Lehmann, B.; Morari, M. Use of Model Predictive Control and Weather Forecasts for Energy Efficient Building Climate Control. Energy Build. 2012, 45, 15–27. [Google Scholar] [CrossRef]
- Joe, J.; Karava, P. A Model Predictive Control Strategy to Optimize the Performance of Radiant Floor Heating and Cooling Systems in Office Buildings. Appl. Energy 2019, 245, 65–77. [Google Scholar] [CrossRef]
- Kim, D.; Braun, J.E. Development, implementation and performance of a model predictive controller for packaged air conditioners in small and medium-sized commercial building applications. Energy Build. 2018, 178, 49–60. [Google Scholar] [CrossRef]
- Cai, J.; Braun, J.E. Assessments of demand response potential in small commercial buildings across the United States Assessments of demand response potential in small commercial buildings across the United States. Sci. Technol. Built Environ. 2019, 25, 1437–1455. [Google Scholar] [CrossRef]
- Joe, J.; Dong, J.; Munk, J.; Kuruganti, T.; Cui, B. Virtual Storage Capability of Residential Buildings for Sustainable Smart City via Model-based Predictive Control. Sustain. Cities Soc. 2021, 64, 102491. [Google Scholar] [CrossRef]
- Cui, B.; Joe, J.; Munk, J.; Sun, J.; Kuruganti, T. Load Flexibility Analysis of Residential HVAC and Water Heating and Commercial Refrigeration, Oak Ridge National Lab. (ORNL), ORNL/SPR-2019/1210. 2019. Available online: https://info.ornl.gov/sites/publications/Files/Pub127717.pdf (accessed on 21 October 2020).
- Dagdougui, Y.; Ouammi, A.; Benchrifa, R. Energy Management-Based Predictive Controller for a Smart Building Powered by Renewable Energy. Sustainability 2020, 12, 4264. [Google Scholar] [CrossRef]
- Frank, S.; Kim, J.; Cai, J.; Braun, J.E. Common Faults and Their Prioritization in Small Commercial Buildings. 2017. Available online: https://www.nrel.gov/docs/fy18osti/70136.pdf (accessed on 21 October 2020).
- Hjortland, A.L.; Braun, J.E. Virtual sensors for rooftop unit air-side diagnostics. Sci. Technol. Built Environ. 2016, 22, 189–200. [Google Scholar] [CrossRef]
- Katipamula, S.; Im, W.; Lutes, R.; Underhil, R.M. Rooftop Unit Embedded Diagnostics: Automated Fault Detection and Diagnostics (AFDD) Development, Field Testing and Validation, Pacific Northwest National Laboratory (PNNL-23790). 2015. Available online: https://www.pnnl.gov/main/publications/external/technical_reports/PNNL-23790.pdf (accessed on 21 October 2020).
- Kim, J.; Frank, S.; Braun, J.E.; Goldwasser, D. Representing Small Commercial Building Faults in EnergyPlus, Part I: Model development. Buildings 2019, 9, 233. [Google Scholar] [CrossRef]
- Kim, J.; Frank, S.; Im, P.; Braun, J.E.; Goldwasser, D.; Leach, M. Representing Small Commercial Building Faults in EnergyPlus, Part II: Model Validation. Buildings 2019, 9, 233. [Google Scholar] [CrossRef]
- EnergyPlus. Engineering Reference—The Reference to EnergyPlus Calculations. 2015. Available online: https://energyplus.net/sites/default/files/pdfs_v8.3.0/EngineeringReference.pdf (accessed on 21 October 2020).
- ASHRAE 2017. ASHRAE Handbook—Fundamentals; Refrigerating American: Atlanta, GA, USA.
- Jeon, B.-K.; Kim, E.-J.; Shin, Y.; Lee, H.K. Learning-Based Predictive Building Energy Model Using Weather Forecasts for Optimal Control of Domestic Energy Systems. Sustainability 2018, 11, 147. [Google Scholar] [CrossRef]
- Joe, J.; Karava, P. Agent-Based System Identification for Control-Oriented Building Models. J. Build. Perform. Simul. 2017, 10, 183–204. [Google Scholar] [CrossRef]
- McLaren, J. A Survey of U.S. Demand Charges, Clean Energy Group Webinar. Available online: https://www.nrel.gov/solar/assets/pdfs/2017-us-demand-charges-webinar.pdf (accessed on 21 October 2020).
















| Stage 1 | Stage 2 | Stage 1 | Stage 2 | ||
|---|---|---|---|---|---|
| Ccap,1 | 1.57742940 × 10−1 | 1.67520969 × 100 | CEIR,1 | 1.54543818 × 100 | −6.39859076 × 10−1 |
| Ccap,2 | 4.37237407 × 10−2 | −6.92156475 × 10−3 | CEIR,2 | −2.70157221 × 10−2 | 1.34507138e0−2 |
| Ccap,3 | 7.29207705 × 10−4 | 5.48380617 × 10−5 | CEIR,3 | −3.46088947 × 10−4 | 2.34046419 × 10−3 |
| Ccap,4 | 3.18835887 × 10−2 | −5.86719003 × 10−2 | CEIR,4 | −4.03434888 × 10−2 | 1.01593333 × 10−1 |
| e | −5.41107627 × 10−4 | 2.08504063 × 10−4 | CEIR,5 | 1.31449523 × 10−3 | 2.82545174 × 10−4 |
| Ccap,6 | −1.18166008 × 10−3 | 1.93809110 × 10−3 | CEIR,6 | 1.69638404 × 10−4 | −4.99337303 × 10−3 |
| Ccap,7 | 8.09989450 × 10−1 | 7.93045348 × 10−1 | CEIR,7 | 1.27320835 × 100 | 1.20706248 × 100 |
| Ccap,8 | 2.43276315 × 10−1 | 2.34209810 × 10−1 | CEIR,8 | −2.20756876 × 10−1 | −1.24473476 × 10−1 |
| Ccap,9 | −5.40767115 × 10−1 | −5.20610958 × 10−5 | CEIR,9 | 4.90756905 × 10−5 | 2.76826460 × 10−5 |
| Feedback Control | MPC | Savings [%] | |
|---|---|---|---|
| Cooling rate [kWh] | 129.7 | 136.5 | −5.3 |
| Power consumption [kWh] | 51.9 | 44.4 | 14.3 |
| Cost [$] | 5.6 | 4.8 | 13.2 |
Publisher’s Note: MDPI stays neutral with regard to jurisdictional claims in published maps and institutional affiliations. |
© 2020 by the authors. Licensee MDPI, Basel, Switzerland. This article is an open access article distributed under the terms and conditions of the Creative Commons Attribution (CC BY) license (http://creativecommons.org/licenses/by/4.0/).
Share and Cite
Joe, J.; Im, P.; Dong, J. Empirical Modeling of Direct Expansion (DX) Cooling System for Multiple Research Use Cases. Sustainability 2020, 12, 8738. https://doi.org/10.3390/su12208738
Joe J, Im P, Dong J. Empirical Modeling of Direct Expansion (DX) Cooling System for Multiple Research Use Cases. Sustainability. 2020; 12(20):8738. https://doi.org/10.3390/su12208738
Chicago/Turabian StyleJoe, Jaewan, Piljae Im, and Jin Dong. 2020. "Empirical Modeling of Direct Expansion (DX) Cooling System for Multiple Research Use Cases" Sustainability 12, no. 20: 8738. https://doi.org/10.3390/su12208738
APA StyleJoe, J., Im, P., & Dong, J. (2020). Empirical Modeling of Direct Expansion (DX) Cooling System for Multiple Research Use Cases. Sustainability, 12(20), 8738. https://doi.org/10.3390/su12208738
