Strategic Grazing in Beef-Pastures for Improved Soil Health and Reduced Runoff-Nitrate-A Step towards Sustainability
Abstract
1. Introduction
2. Materials and Methods
2.1. Study Site
2.2. Treatments
2.3. Soil Sampling and Soil Respiration Measurement
2.4. Soil Analysis
2.5. Runoff Collection and Analysis
2.6. Cattle Locus Index
2.7. Statistical Analysis
3. Results
3.1. Weather Information during the Study Period
3.2. Active Carbon
3.3. Soil Respiration
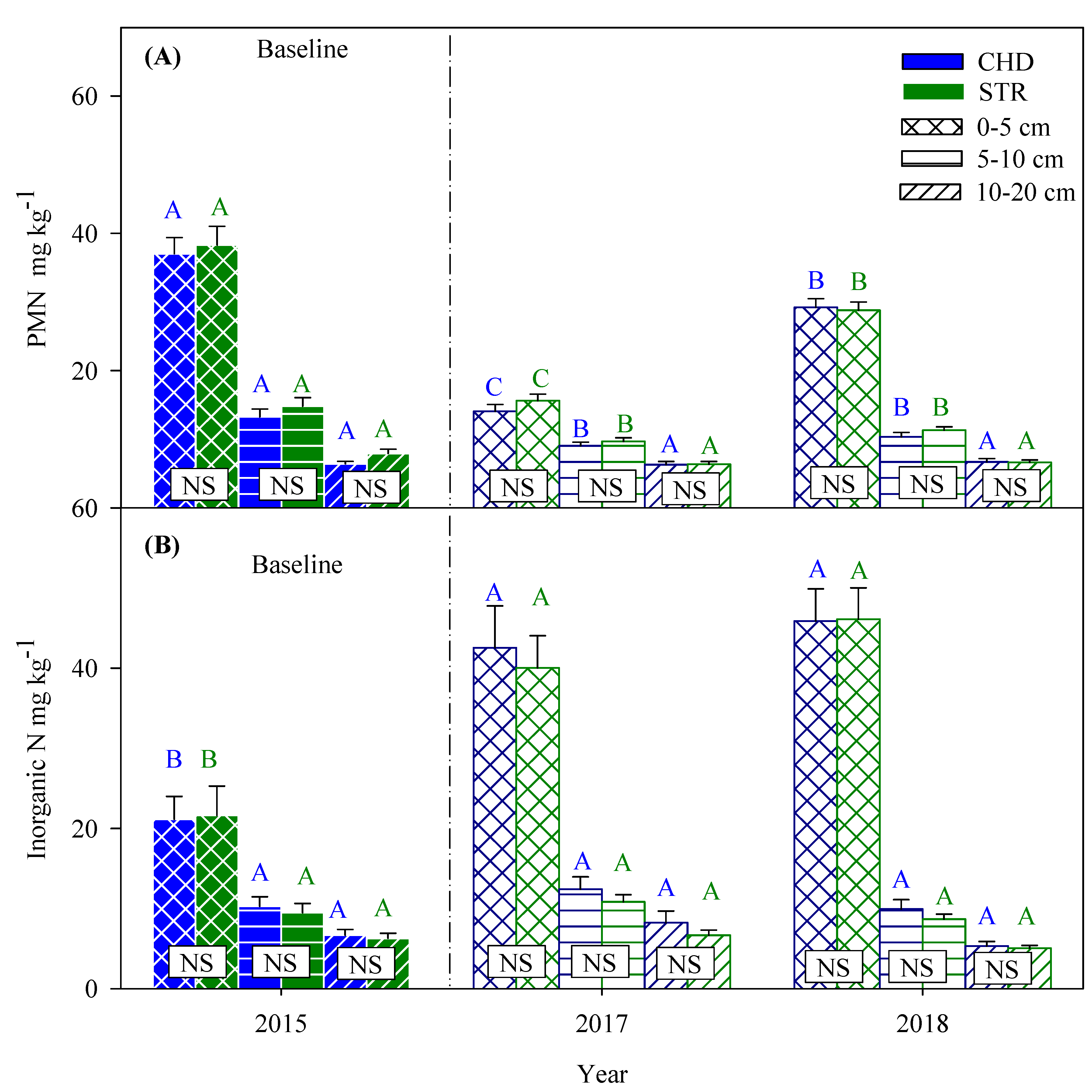
3.4. Potentially Mineralizable Nitrogen and Inorganic Nitrogen
3.5. Nitrate in Runoff
4. Discussion
5. Conclusions
Author Contributions
Funding
Acknowledgments
Conflicts of Interest
References
- Acharya, P.; Ghimire, R.; Cho, Y. Linking Soil Health to Sustainable Crop Production: Dairy Compost Effects on Soil Properties and Sorghum Biomass. Sustainability 2019, 11, 3552. [Google Scholar] [CrossRef]
- Thapa, V.R.; Ghimire, R.; Mikha, M.M.; Idowu, O.J.; Marsalis, M.A. Land Use Effects on Soil Health in Semiarid Drylands. Agric. Environ. Lett. 2018, 3. [Google Scholar] [CrossRef]
- Plastina, A.; Liu, F.; Miguez, F.; Carlson, S. Cover crops use in Midwestern US agriculture: Perceived benefits and net returns. Renew. Agric. Food Syst. 2018, 1–11. [Google Scholar] [CrossRef]
- Bretagnolle, V.; Gauffre, B.; Meiss, H.; Badenhausser, I. The role of grassland areas within arable cropping systems for conservation of biodiversity at the regional level. In Grassland Productivity and Ecosystem Services; Lemaire, G., Hodgson, J., Chabbi, A., Eds.; CAB Int.: Wallingford, UK, 2011; pp. 251–260. [Google Scholar]
- Lemaire, G.; Wilkins, R.; Hodgson, J. Challenges for grassland science: Managing research priorities. Agric. Ecosyst. Environ. 2005, 108, 99–108. [Google Scholar] [CrossRef]
- Bhandari, K.B.; West, C.P.; Longing, S.D.; Brown, C.P.; Green, P.E.; Barkowsky, E. Pollinator Abundance in Semiarid Pastures as Affected by Forage Species. Crop Sci. 2018, 58, 2665–2671. [Google Scholar] [CrossRef]
- Joshi, D.R.; Ulrich-Schad, J.; Want, T.; Dunn, B.H.; Clay, S.A.; Bruggeman, S.A.; Clay, D.E. Grassland Retention in the North America Midwest Following Periods of High Commodity Prices and Climate Variability. Soil Sci. Soc. Am. J. 2019. [Google Scholar] [CrossRef]
- Havstad, K.M.; Peters, D.P.C.; Skaggs, R.; Brown, J.; Bestelmeyer, B.; Fredrickson, E.; Herrick, J.; Wright, J. Ecological services to and from rangelands of the United States. Ecol. Econ. 2007, 64, 261–268. [Google Scholar] [CrossRef]
- USEPA. National Management Measures to Control Nonpoint Pollution from Agriculture. Chapter 4: Management Measures.129–155. 2015. Available online: https://www.epa.gov/sites/production/files/2015-10/documents/chap4e.pdf (accessed on 2 September 2019).
- Drouillard, J.S. Current situation and future trends for beef production in the United States of America—A review. Asian Australas. J. Anim. 2018, 31, 1007–1016. [Google Scholar] [CrossRef]
- Machmuller, M.B.; Kramer, M.G.; Cyle, T.K.; Hill, N.; Hancock, D.; Thompson, A. Emerging land use practices rapidly increase soil organic matter. Nat. Commun. 2015, 6. [Google Scholar] [CrossRef]
- Adkins, T.S.; Riley, J.M. Cow-Calf Operations in the Southeastern United States: An Analysis of Farm Characteristics and Production Risks. In Proceedings of the Southern Agricultural Economics Association Annual Meeting, Birmingham, AL, USA, 5–8 February 2012; Available online: https://ageconsearch.umn.edu/bitstream/119757/3/Cow-Calf%20Operations%20in%20the%20Southeastern%20United%20States.pdf. (accessed on 2 September 2019).
- Sanderson, M.A.; Feldmann, C.; Schmidt, J.; Herrmann, A.; Taube, F. Spatial distribution of livestock concentration areas and soil nutrients in pastures. J. Soil Water Conserv. 2010, 65, 180–189. [Google Scholar] [CrossRef]
- Franklin, D.H.; Cabrera, M.L.; Byers, H.L.; Matthews, M.K.; Andrae, J.G.; Radcliffe, D.E.; McCann, M.A.; Kuykendall, H.A.; Hoveland, C.S.; Calvert, V.H. Impact of water troughs on cattle use of riparian zones in the Georgia Piedmont in the United States. J. Anim. Sci. 2009, 87, 2151–2159. [Google Scholar] [CrossRef] [PubMed]
- Dahal, S.; Franklin, D.H.; Cabrera, M.L.; Hancock, D.W.; Stewart, L.; Ney, L.C.; Subedi, A.; Mahmud, K. Spatial Distribution of Inorganic Nitrogen in Pastures as Affected by Management, Landscape, and Cattle Locus. J. Environ. Qual. 2018, 47, 1468–1477. [Google Scholar] [CrossRef] [PubMed]
- da Costa, M.J.R.P.; Pascoa, A.G.; Sant’Anna, A.C.; Silva, L.C.M.; Jung, J. Indicators of land use by cattle: Associations among methods and role of environmental factors. Acta Sci. Anim. Sci. 2017, 39, 409–418. [Google Scholar] [CrossRef][Green Version]
- Hendricks, T.; Franklin, D.; Dahal, S.; Hancock, D.; Stewart, L.; Cabrera, M.; Hawkins, G. Soil carbon and bulk density distribution within 10 Southern Piedmont grazing systems. J. Soil Water Conserv. 2019, 74, 323–333. [Google Scholar] [CrossRef]
- Franzluebbers, A.J.; Stuedemann, J.A.; Schomberg, H.H. Spatial distribution of soil carbon and nitrogen pools under grazed tall fescue. Soil Sci. Soc. Am. J. 2000, 64, 635–639. [Google Scholar] [CrossRef]
- USDA-ERS. Livestock, Dairy, and Poultry Outlook. Economic Research Service. Situation and Outlook. 2018. Available online: https://www.ers.usda.gov/webdocs/publications/87428/ldp-m284.pdf?v=0 (accessed on 9 September 2019).
- IPCC. Summary for Policymakers. In Managing the Risks of Extreme Events and Disasters to Advance Climate Change Adaptation; A Special Report of Working Groups I and II of the Intergovernmental Panel on Climate Change; Field, C.B., Barros, V., Stocker, T.F., Qin, D., Dokken, D.J., Ebi, K.L., Mastrandrea, M.D., Mach, K.J., Plattner, G.K., Allen, S.K., et al., Eds.; Cambridge University Press: Cambridge, UK; New York, NY, USA, 2012; pp. 1–19. [Google Scholar]
- Derner, J.D.; Smart, A.J.; Toombs, T.P.; Larsen, D.; McCulley, R.L.; Goodwin, J.; Sims, S.; Roche, L.M. Soil Health as a Transformational Change Agent for US Grazing Lands Management. Rangel. Ecol. Manag. 2018, 71, 403–408. [Google Scholar] [CrossRef]
- Bhandari, K.B.; West, C.P.; Acosta-Martinez, V.; Cotton, J.; Cano, A. Soil health indicators as affected by diverse forage species and mixtures in semi-arid pastures. Appl. Soil Ecol. 2018, 132, 179–186. [Google Scholar] [CrossRef]
- Bhandari, K.B.; West, C.P.; Acosta-Martinez, V. Assessing the role of interseeding alfalfa into grass on improving pasture soil health in semi-arid Texas High Plains. Appl. Soil Ecol. 2019, 147, 103399. [Google Scholar] [CrossRef]
- Weil, R.R.; Islam, R.K.; Stine, M.A.; Gruver, J.B.; Samson-Liebig, S.E. Estimating active carbon for soil quality assessment: A simplified method for laboratory and field use. Am. J. Altern. Agric. 2003, 18, 3–17. [Google Scholar] [CrossRef]
- Moebius-Clune, B.N.; Moebius-Clune, D.J.; Gugino, B.K.; Idowu, O.J.; Schindelbeck, R.R.; Ristow, A.J.; van Es, H.M.; Thies, J.E.; Shayler, H.A.; McBride, M.B.; et al. Comprehensive Assessment of Soil Health—The Cornell Framework, 3.2th ed.; Cornell University: Ithaca, NY, USA, 2016; Available online: http://www.css.cornell.edu/extension/soil-health/manual.pdf (accessed on 10 January 2020).
- Melero, S.; Lopez-Garrido, R.; Murillo, J.M.; Moreno, F. Conservation tillage: Short- and long-term effects on soil carbon fractions and enzymatic activities under Mediterranean conditions. Soil Tillage Res. 2009, 104, 292–298. [Google Scholar] [CrossRef]
- Culman, S.W.; Snapp, S.S.; Freeman, M.A.; Schipanski, M.E.; Beniston, J.; Lal, R.; Drinkwater, L.E.; Franzluebbers, A.J.; Glover, J.D.; Grandy, A.S.; et al. Permanganate Oxidizable Carbon Reflects a Processed Soil Fraction that is Sensitive to Management. Soil Sci. Soc. Am. J. 2012, 76, 494–504. [Google Scholar] [CrossRef]
- Bhowmik, A.; Fortuna, A.M.; Cihacek, L.J.; Bary, A.I.; Carr, P.M.; Cogger, C.G. Potential carbon sequestration and nitrogen cycling in long-term organic management systems. Renew. Agric. Food Syst. 2017, 32, 498–510. [Google Scholar] [CrossRef]
- Sun, Y.; Schleuss, P.M.; Pausch, J.; Xu, X.L.; Kuzyakov, Y. Nitrogen pools and cycles in Tibetan Kobresia pastures depending on grazing. Biol. Fertil. Soils 2018, 54, 569–581. [Google Scholar] [CrossRef]
- Pilon, C.; Moore, P.A.; Pote, D.H.; Martin, J.W.; Owens, P.R.; Ashworth, A.J.; Miller, D.M.; DeLaune, P.B. Grazing Management and Buffer Strip Impact on Nitrogen Runoff from Pastures Fertilized with Poultry Litter. J. Environ. Qual. 2019, 48, 297–304. [Google Scholar] [CrossRef]
- Anderson, J.P.E. Soil respiration. In Methods of Soil Analysis Part 2. Chemical and Microbiological Properties, Agronomy Monograph 9.2; ASA; SSSA: Madison, WI, USA, 1982; pp. 831–871. [Google Scholar] [CrossRef]
- Maynard, D.G.; Kalra, Y.P. Nitrate and exchangeable ammonium nitrogen. In Soil Sampling and Methods of Analysis; Carter, M.R., Ed.; CRC Press: Boca Raton, FL, USA, 1993; pp. 25–38. Available online: http://www.cfs.nrcan.gc.ca/bookstore_pdfs/19121.pdf (accessed on 10 October 2018).
- Kempers, A.J.; Zweers, A. Ammonium Determination in Soil Extracts by the Salicylate Method. Commun. Soil Sci. Plan. 1986, 17, 715–723. [Google Scholar] [CrossRef]
- Doane, T.A.; Horwath, W.R. Spectrophotometric determination of nitrate with a single reagent. Anal. Lett. 2003, 36, 2713–2722. [Google Scholar] [CrossRef]
- Picone, L.I.; Cabrera, M.L.; Franzluebbers, A.J. A rapid method to estimate potentially mineralizable nitrogen in soil. Soil Sci. Soc. Am. J. 2002, 66, 1843–1847. [Google Scholar] [CrossRef]
- USDA. Urban Hydrology for Small Watersheds. Technical Release-55. 2018. Available online: https://www.nrcs.usda.gov/Internet/FSE_DOCUMENTS/stelprdb1044171.pdf (accessed on 9 September 2018).
- Lotek Engineering. N4 Differential Post Processing Software. User’s Manual; Lotek Eng.: New Market, ON, USA, 2000. [Google Scholar]
- R Core Team. R: A Language and Environment for Statistical Computing; R Found. Stat. Comput.: Vienna, Austria, 2013. [Google Scholar]
- Borken, W.; Matzner, E. Reappraisal of drying and wetting effects on C and N mineralization and fluxes in soils. Glob. Chang. Biol. 2009, 15, 808–824. [Google Scholar] [CrossRef]
- Orchard, V.A.; Cook, F.J. Relationship between Soil Respiration and Soil-Moisture. Soil Biol. Biochem. 1983, 15, 447–453. [Google Scholar] [CrossRef]
- Dahal, S.; Franklin, D.H.; Subedi, A.; Cabrera, M.L.; Hancock, D.H.; Mahmud, K.; Ney, L.C.; Park, C.; Mishra, D.R. Strategic grazing for improving spatial distribution off active carbon and inorganic nitrogen. Unpublished data.
- de Vries, M.; van Middelaar, C.E.; de Boer, I.J.M. Comparing environmental impacts of beef production systems: A review of life cycle assessments. Livest. Sci. 2015, 178, 279–288. [Google Scholar] [CrossRef]
- Paine, L.K.; Undersander, D.; Casler, M.D. Pasture growth, production, and quality under rotational and continuous grazing management. J. Prod. Agric. 1999, 12, 569–577. [Google Scholar] [CrossRef]
- McIlvain, E.H.; Savage, D.A. Eight-year Comparisons of Continuous and Rotational Grazing on the Southern Plains Experimental Range. J. Rangel. Ecol. Manag. 1951, 4, 42–48. [Google Scholar] [CrossRef]
- Zhou, Y.T.; Gowda, P.H.; Wagle, P.; Ma, S.F.; Neel, J.P.S.; Kakani, V.G.; Steiner, J.L. Climate Effects on Tallgrass Prairie Responses to Continuous and Rotational Grazing. Agronomy 2019, 9, 219. [Google Scholar] [CrossRef]
- Stanley, P.L.; Rowntree, J.E.; Beede, D.K.; DeLonge, M.S.; Hamm, M.W. Impacts of soil carbon sequestration on life cycle greenhouse gas emissions in Midwestern USA beef finishing systems. Agric. Syst. 2018, 162, 249–258. [Google Scholar] [CrossRef]
- Oates, L.G.; Undersander, D.J.; Gratton, C.; Bell, M.M.; Jackson, R.D. Management-Intensive Rotational Grazing Enhances Forage Production and Quality of Subhumid Cool-Season Pastures. Crop Sci. 2011, 51, 892–901. [Google Scholar] [CrossRef]
- Walton, P.D.; Martinez, R.; Bailey, A.W. A Comparison of Continuous and Rotational Grazing. J. Range Manag. 1981, 34, 19–21. [Google Scholar] [CrossRef]
- Malan, J.A.C.; Flint, N.; Jackson, E.L.; Irving, A.D.; Swain, D.L. Offstream watering points for cattle: Protecting riparian ecosystems and improving water quality? Agric. Ecosyst. Environ. 2018, 256, 144–152. [Google Scholar] [CrossRef]
- Olson, B.M.; Kalischuk, A.R.; Casson, J.P.; Phelan, C.A. Evaluation of cattle bedding and grazing BMPs in an agricultural watershed in Alberta. Water Sci. Technol. 2011, 64, 326–333. [Google Scholar] [CrossRef]
- Chiavegato, M.B.; Powers, W.J.; Carmichael, D.; Rowntree, J.E. Pasture-derived greenhouse gas emissions in cow-calf production systems. J. Anim. Sci. 2015, 93, 1350–1364. [Google Scholar] [CrossRef]
- Borken, W.; Savage, K.; Davidson, E.A.; Trumbore, S.E. Effects of experimental drought on soil respiration and radiocarbon efflux from a temperate forest soil. Glob. Chang. Biol. 2006, 12, 177–193. [Google Scholar] [CrossRef]
- Subedi, A.; Franklin, D.; Dahal, S.; Cabrera, M.; Mahmud, K. Strategic grazing management effects on loss-on-ignition carbon and bulk density in soil and total suspended sediments, carbon in sediments and dissolved organic carbon in runoff water. Unpublished data.
- Green, D.M.; Kauffman, J.B. Nutrient Cycling at the Land-Water Interface: The Importance of the Riparian Zone; Trechnical Paper No. 8724; Oregon Agricultural Experiment Station: Corvallis, OR, USA, 1989; Available online: https://www.fs.fed.us/rm/boise/AWAE/labs/awae_flagstaff/Hot_Topics/ripthreatbib/green_kauffman_nutriencycling.pdf (accessed on 1 September 2019).
- Dahal, S.; Franklin, D.H.; Subedi, A.; Cabrera, M.L.; Hancock, D.W.; Stewart, L.; Mahmud, K.; Ney, L. Strategic Grazing for Resistance to Extreme Weather Events. In Proceedings of the 2019 Georgia Water Resources Conference, Athens, GA, USA, 16–17 April 2019. [Google Scholar]
- Paerl, H.W. Controlling Eutrophication along the Freshwater-Marine Continuum: Dual Nutrient (N and P) Reductions are Essential. Estuaries Coasts 2009, 32, 593–601. [Google Scholar] [CrossRef]
- Wilcock, R.J.; Muller, K.; van Assema, G.B.; Bellingham, M.A.; Ovenden, R. Attenuation of Nitrogen, Phosphorus and E. coli Inputs from Pasture Runoff to Surface Waters by a Farm Wetland: The Importance of Wetland Shape and Residence Time. Water Air Soil Pollut. 2012, 223, 499–509. [Google Scholar] [CrossRef]
- Hill, A.R.; Devito, K.J.; Vidon, P.G. Long-term nitrate removal in a stream riparian zone. Biogeochemistry 2014, 121, 425–439. [Google Scholar] [CrossRef]
- Hill, A.R. Nitrate removal in stream riparian zones. J. Environ. Qual. 1996, 25, 743–755. [Google Scholar] [CrossRef]
- Groffman, P.M.; Boulware, N.J.; Zipperer, W.C.; Pouyat, R.V.; Band, L.E.; Colosimo, M.F. Soil nitrogen cycle processes in urban Riparian zones. Environ. Sci. Technol. 2002, 36, 4547–4552. [Google Scholar] [CrossRef]









| Better Grazing Practices | Description of the Grazing Practice |
|---|---|
| Manure distribution by lure management of cattle | Portable hay rings, waterers, and shade structures were strategically rotated in various locations of pasture. The placement of these pasture equipages was driven by the nutrient distribution and pasture health. |
| Exclusion of vulnerable areas of pasture | Compacted and/or nutrient-rich areas (areas of interest: AOIs) in pastures caused by high cattle activity/preference were excluded using an electric fence. AOIs were either uphill depositional areas and erosional landscape positions or downhill depositional and erosional landscape positions. |
| Over-seeding the exclusions | The excluded areas were over-seeded with productive forage mix (grass-legume) during summer and spring every year. The exclusions were over-seeded as follows: (i) May 2016: pearl millet, crabgrass, and cowpea, November 2016: oat (Avena sativa L.), ryegrass (Lolium multiflorum L.), crimson clover (Trifolium incarnatum L.), forage rape (Brassica napus L.); May 2017: crabgrass (Digitaria sanguinalis L.), pearl millet (Pennisetum glaucum L.), and cowpea (Vigna unguiculate L). |
| Flash/Mob grazing of the exclusions | After full growth, the exclusions were flash grazed (4 hours in the morning) and cattle were taken out from exclusion, every day until all forage was consumed. |
| Moderate rotational grazing | Each STR pasture divided into 8 smaller sub-paddocks and moderate rotational grazing (7–10 days) was followed to allow forage regrowth. |
| Treatments | Runoff NO3- vs. Cattle locus | Runoff NO3- vs. soil NO3- |
|---|---|---|
| Baseline CHD | Runoff NO3 = −0.03 + 0.21* × Cattle locus | Runoff NO3 = −0.039 + 0.015* × Soil NO3 |
| After CHD | Runoff NO3 = −0.03 + 0.24* × Cattle locus | Runoff NO3 = −0.077 + 0.005* × Soil NO3 |
| Baseline STR | Runoff NO3 = −0.09 + 0.27* × Cattle locus | Runoff NO3 = 0.05 + 0.007* × Soil NO3 |
| After STR | Runoff NO3 = 0.05 – 0.00 × Cattle locus | Runoff NO3 = 0.021 + 0.00 × Soil NO3 |
© 2020 by the authors. Licensee MDPI, Basel, Switzerland. This article is an open access article distributed under the terms and conditions of the Creative Commons Attribution (CC BY) license (http://creativecommons.org/licenses/by/4.0/).
Share and Cite
Dahal, S.; Franklin, D.; Subedi, A.; Cabrera, M.; Hancock, D.; Mahmud, K.; Ney, L.; Park, C.; Mishra, D. Strategic Grazing in Beef-Pastures for Improved Soil Health and Reduced Runoff-Nitrate-A Step towards Sustainability. Sustainability 2020, 12, 558. https://doi.org/10.3390/su12020558
Dahal S, Franklin D, Subedi A, Cabrera M, Hancock D, Mahmud K, Ney L, Park C, Mishra D. Strategic Grazing in Beef-Pastures for Improved Soil Health and Reduced Runoff-Nitrate-A Step towards Sustainability. Sustainability. 2020; 12(2):558. https://doi.org/10.3390/su12020558
Chicago/Turabian StyleDahal, Subash, Dorcas Franklin, Anish Subedi, Miguel Cabrera, Dennis Hancock, Kishan Mahmud, Laura Ney, Cheolwoo Park, and Deepak Mishra. 2020. "Strategic Grazing in Beef-Pastures for Improved Soil Health and Reduced Runoff-Nitrate-A Step towards Sustainability" Sustainability 12, no. 2: 558. https://doi.org/10.3390/su12020558
APA StyleDahal, S., Franklin, D., Subedi, A., Cabrera, M., Hancock, D., Mahmud, K., Ney, L., Park, C., & Mishra, D. (2020). Strategic Grazing in Beef-Pastures for Improved Soil Health and Reduced Runoff-Nitrate-A Step towards Sustainability. Sustainability, 12(2), 558. https://doi.org/10.3390/su12020558

