Geotextile Tube Dewatering Performance Assessment: An Experimental Study of Sludge Dewatering Generated at a Water Treatment Plant
Abstract
1. Introduction
2. Materials and Methods
2.1. Sludge From WTP
2.2. Geotextiles
2.3. Polymer Floculant
2.4. Performance Index
2.5. Statistical Analysis
2.6. Test Programme and Procedures
3. Results and Discussion
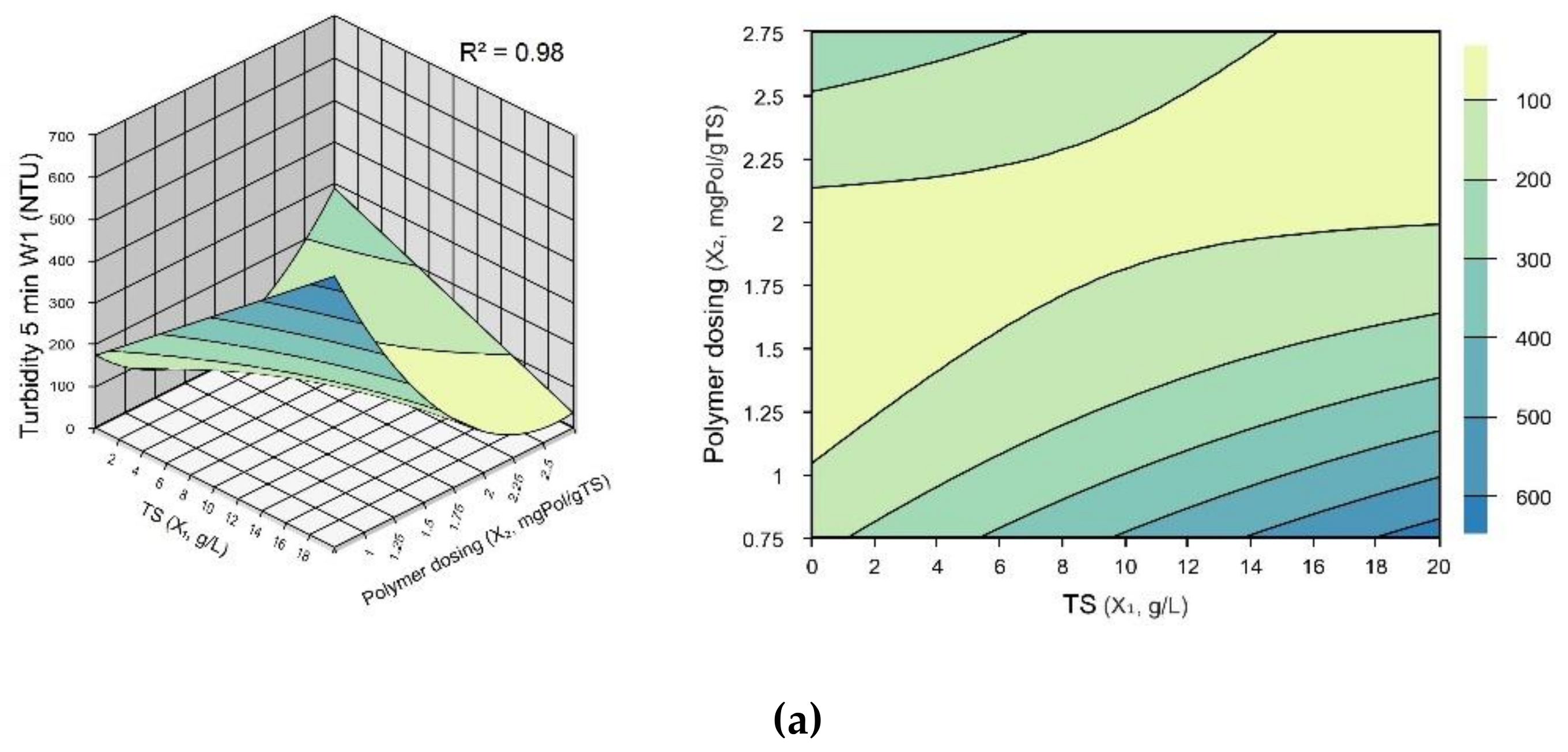
3.1. Effluent Turbidity
3.2. Dewatering Rate
3.3. Percent-Solids and PD
3.4. Geotextiles Permittivity
3.5. SEM
4. Conclusions
- The use of the Faced Centered Design of the Response Surface Methodology was presented as an efficient tool for the experimental planning of the tests, optimizing the results obtained and facilitating their interpretation. The levels adopted for the analyzed independent variables (initial sludge TS and polymer dosing) were effective, since these were statistically significant.
- Despite the fact that the independent variable polymer dosing did not have statistical significance in all the dependent variables analyzed, such as the final dewatering rate, the percent-solids, and the PD. The result is debatable as several related studies and preliminary cone tests carried out in this work have shown the importance of the chemical conditioning of the sludge as an accelerator in the dewatering. It is noteworthy that the results analyzed for percent-solids and PD were the final results obtained 168 h after the beginning of the test, and the final dewatering rate obtained 24 h after the beginning of the test, which could indicate that the polymer dosing influences the initial dewatering stage.
- The GDT carried out proved to be adequate for the achievement of the proposed objectives, showing the importance of carrying out tests to evaluate the dewatering in geotextile tubes.
- After dewatering, there was a decrease in permittivity in the three types of geotextile in all the evaluated scenarios, thus verifying the formation of the filter cake in the geotextile bags that was corroborated by the SEM analyses. It was also verified that the formation of the filter cake contributed to the improvement of the effluent quality.
- In order for the effluent, resulting from sludge dewatering, to be directly deposited in water bodies or recirculated in the same WTP, it is proposed that the effluent collected at the beginning of the dewatering (before the formation of the filter cake) should be recirculated inside the geotextile tube so that it can be filtered again, and therefore improve its quality.
- Analyzing the performance indices, the quality of the effluent, and the final percent-solids, this latter a fundamental parameter in the routine of treatment of WTP sludge. It is concluded that under the same test conditions, the dewatering performance was better in the bags fabricated in NW1 (nonwoven geotextile), followed by the bags fabricated in W1 (woven geotextile commonly used), indicating the feasibility of using nonwoven geotextile tubes for the dewatering of WTP sludge.
- It is recommended to quantify the influence of evaporation on the dewatering of geotextile tubes in future research, due to this form of water loss is the one that runs the dewatering in the post-drainage stage. It is also interesting that full performance tests (real scale) are performed to verify the scale-effect and the influence of the dependent variables evaluated in the present work (initial TS and polymer dosing) in the dewatering performance.
Author Contributions
Funding
Acknowledgments
Conflicts of Interest
References
- Cordeiro, J.S. Processamento de lodos de Estações de Tratamento de Água (ETAs). In Resíduos Sólidos do Saneamento: Processamento, Reciclagem e Diposição Final; Projeto PROSAB: Rio de Janeiro, Brazil, 2001; pp. 121–142. [Google Scholar]
- Reali, M.A.P. Principais características quantitativas e qualitativas do lodo de ETAs. In Noções Gerais de Tratamento e Disposição Final de Lodos de ETA; ABES/PROSAB: Rio de Janeiro, Brazil, 1999; pp. 21–39. [Google Scholar]
- Dantas, A.D.B.; Voltan, P.E.N. Métodos e Técnicas de Tratamento de Água, 3rd ed.; LDiBe: São Carlos, Brazil, 2017; p. 1246. [Google Scholar]
- Achon, C.L.; Barroso, M.M.; Cordeiro, J.S. Resíduos de estações de tratamento de água e a ISO 24512: Desafio do saneamento brasileiro. Eng. Sanit. e Ambient. 2013, 18, 115–122. [Google Scholar] [CrossRef]
- LAW, Brazilian Environmental Crimes; Brazilian Law 9605/1998. 1998. Available online: http://www.planalto.gov.br/ccivil_03/leis/l9605.htm#:~:text=LEI%20N%C2%BA%209.605%2C%20DE%2012%20DE%20FEVEREIRO%20DE%201998.&text=Disp%C3%B5e%20sobre%20as%20san%C3%A7%C3%B5es%20penais,ambiente%2C%20e%20d%C3%A1%20outras%20provid%C3%AAncias (accessed on 8 September 2020).
- LAW, National Policy on Solid Waste, Alters Law 9605/1998 and Makes Other Provisions; Brazilian Law 12305/2010. 2010. Available online: http://www.planalto.gov.br/ccivil_03/_ato2007-2010/2010/lei/l12305.htm (accessed on 8 September 2020).
- Grzelak, M.D.; Maurer, B.W.; Pullen, T.S.; Bhatia, S.K.; RamaRao, B. A Comparison of Test Methods Adopted for Assessing Geotextile Tube Dewatering Performance. Geo-Front. 2011 Adv. Geotech. Eng. 2011, 2141–2151. [Google Scholar] [CrossRef]
- Fowler, J.; Bagby, R.M.; Trainer, E. Dewatering sewage sludge with geotextile tubes. In Proceedings of the 49th Canadian Geotechnical Conference, St. John’s, NL, Canada, 23–25 September 1996; pp. 1–31. [Google Scholar]
- Lawson, C. Geotextile containment for hydraulic and environmental engineering. Geosynth. Int. 2008, 15, 384–427. [Google Scholar] [CrossRef]
- Guimarães, M.G.A.; Urashima, D.d.C. Dewatering sludge in geotextile closed systems: Brazilian experiences. Soils Rocks 2013, 36, 251–263. [Google Scholar]
- Muthukumaran, A.; Ilamparuthi, K. Laboratory studies on geotextile filters as used in geotextile tube dewatering. Geotext. Geomembr. 2006, 24, 210–219. [Google Scholar] [CrossRef]
- Fowler, J.; Duke, M.; Schmidt, M.L.; Crabtree, B.; Bagby, R.M.; Trainer, E. Dewatering sewage sludge and hazardous sludge with geotextile tubes. In Proceedings of the 7th International Conference on Geosynthetics, Nice, France, 22–27 September 2002; Delmas, P., Gourc, H., Girard, G.P., Eds.; Swets & Zeitlinger: Lisse, The Netherlands, 2002; pp. 1007–1012. [Google Scholar]
- Koerner, G.; Koerner, R. Geotextile tube assessment using a hanging bag test. Geotext. Geomembr. 2006, 24, 129–137. [Google Scholar] [CrossRef]
- Satyamurthy, R.; Bhatia, S.K. Effect of polymer conditioning on dewatering characteristics of fine sediment slurry using geotextiles. Geosynth. Int. 2009, 16, 83–96. [Google Scholar] [CrossRef]
- Suits, L.D.; Sheahan, T.C.; Koerner, R.M.; Koerner, G.R. Performance Tests for the Selection of Fabrics and Additives When Used as Geotextile Bags, Containers, and Tubes. Geotech. Test. J. 2010, 33, 236–242. [Google Scholar] [CrossRef]
- Weggel, J.R.; Dortch, J.; Gaffney, D. Analysis of fluid discharge from a hanging geotextile bag. Geotext. Geomembr. 2011, 29, 65–73. [Google Scholar] [CrossRef]
- Maurer, B.W.; Gustafson, A.; Bhatia, S.; Palomino, A. Geotextile dewatering of flocculated, fiber reinforced fly-ash slurry. Fuel 2012, 97, 411–417. [Google Scholar] [CrossRef]
- Khachan, M.; Bhatia, S.K.; Bader, R.A.; Cetin, D.; RamaRao, B. Cationic starch flocculants as an alternative to synthetic polymers in geotextile tube dewatering. Geosynth. Int. 2014, 21, 119–136. [Google Scholar] [CrossRef]
- Kang, J.; McLaughlin, R. Simple systems for treating pumped, turbid water with flocculants and a geotextile dewatering bag. J. Environ. Manag. 2016, 182, 208–213. [Google Scholar] [CrossRef] [PubMed]
- Pilarczyk, K.W. BOOK REVIEW/CRITIQUE DE LIVRE Geosynthetics and geosystems in hydraulic and coastal engineering. Can. J. Civ. Eng. 2001, 28, 878. [Google Scholar] [CrossRef][Green Version]
- Moo-Young, H.K.; A Gaffney, D.; Mo, X. Testing procedures to assess the viability of dewatering with geotextile tubes. Geotext. Geomembr. 2002, 20, 289–303. [Google Scholar] [CrossRef]
- Liao, K.; Bhatia, S.K. Geotextile Tube: Filtration Performace of woven geotextiles under pressure. North American Geosynthetic Conference. Presented at NAGS 2005/GRI 19 Cooperative Conference, Las Vegas, NV, USA, 14–16 December 2005; pp. 1–15. [Google Scholar]
- Cantré, S.; Saathoff, F. Design parameters for geosynthetic dewatering tubes derived from pressure filtration tests. Geosynth. Int. 2011, 18, 90–103. [Google Scholar] [CrossRef]
- Yee, T.; Lawson, C.; Wang, Z.; Ding, L.; Liu, Y. Geotextile tube dewatering of contaminated sediments, Tianjin Eco-City, China. Geotext. Geomembr. 2012, 31, 39–50. [Google Scholar] [CrossRef]
- Bhatia, S.K.; Maurer, B.W.; Khachan, M.M.; Grzelak, M.D.; Pullen, T.S. Performance Indices for Unidirectional Flow Conditions Considering Woven Geotextiles and Sediment Slurries. Found. Eng. Face Uncertain. 2013, 318–332. [Google Scholar] [CrossRef]
- Bourgès-Gastaud, S.; Stoltz, G.; Sidjui, F.; Touze-Foltz, N. Nonwoven geotextiles to filter clayey sludge: An experimental study. Geotext. Geomembr. 2014, 42, 214–223. [Google Scholar] [CrossRef]
- Khachan, M.; Bhatia, S. The efficacy and use of small centrifuge for evaluating geotextile tube dewatering performance. Geotext. Geomembr. 2017, 45, 280–293. [Google Scholar] [CrossRef]
- Guimarães, M.; Urashima, D.D.C.; Vidal, D.D.M. Dewatering of sludge from a water treatment plant in geotextile closed systems. Geosynth. Int. 2014, 21, 310–320. [Google Scholar] [CrossRef]
- Weggel, J.R.; Ward, N.D. A model for filter cake formation on geotextiles: Theory. Geotext. Geomembr. 2012, 31, 51–61. [Google Scholar] [CrossRef]
- Weggel, J.R.; Dortch, J. A model for filter cake formation on geotextiles: Experiments. Geotext. Geomembr. 2012, 31, 62–68. [Google Scholar] [CrossRef]
- Christopher, B.; Fischer, G. Geotextile Filtration Principles, Practices and Problems. Geosynth. Filtr. Drain. Eros. Control 1992, 1–17. [Google Scholar] [CrossRef]
- Shin, E.C.; Oh, Y.I. Analysis of geotextile tube behaviour by large-scale field model tests. Geosynth. Int. 2003, 10, 134–141. [Google Scholar] [CrossRef]
- Driscoll, J.; Rupakheti, P.; Bhatia, S.K.; Khachan, M.M. Comparison of 1-D and 2-D Tests in Geotextile Dewatering Applications. Int. J. Geosynth. Ground Eng. 2016, 2, 2. [Google Scholar] [CrossRef]
- Huang, C.-C.; Luo, S.-Y. Dewatering of reservoir sediment slurry using woven geotextiles. Part I: Experimental results. Geosynth. Int. 2007, 14, 253–263. [Google Scholar] [CrossRef]
- Huang, C.-C.; Jatta, M.; Chuang, C.-C. Dewatering of reservoir sediment slurry using woven geotextiles. Part II: Analytical results. Geosynth. Int. 2012, 19, 93–105. [Google Scholar] [CrossRef]
- Moo-Young, H.K.; Tucker, W.R. Evaluation of vacuum filtration testing for geotextile tubes. Geotext. Geomembr. 2002, 20, 191–212. [Google Scholar] [CrossRef]
- Queiroz, S.C.B. Influência das Características da Água Bruta no Desaguamento de Resíduos Gerados no Tratamento de Água Pela Filtração em Tubo Geotêxtil. Ph.D. Thesis, Universidade de Ribeirão Preto, Ribeirão Preto, SP, Brazil, 2019. [Google Scholar]
- Ratnayesuraj, C.R.; Bhatia, S.K. Testing and analytical modeling of two-dimensional geotextile tube dewatering process. Geosynth. Int. 2018, 25, 132–149. [Google Scholar] [CrossRef]
- GRI Test Method GT14:2004. Standard Test Method for Hanging Bag Test for Field Assessment of Fabrics Used for Geotextile Tubes and Containers; Geosynthetics Research Institute: Folsom, CA, USA, 2004. [Google Scholar]
- GRI Test Method GT15:2009. Standard Test Method for the Pillow Test for Test Field Assessment of Fabrics/Additives Used for Geotextile Bags, Containers and Tubes; Geosynthetics Research Institute: Folsom, CA, USA, 2009. [Google Scholar]
- ASTM D7880:2013. Standard Test Method for Determining Flow Rate of Water and Suspended Solids Retention from a Closed Geosynthetic Bag; ASTM International: West Conshohocken, PA, USA, 2013. [Google Scholar]
- Rawal, A.; Anandjiwala, R. Comparative study between needlepunched nonwoven geotextile structures made from flax and polyester fibres. Geotext. Geomembr. 2007, 25, 61–65. [Google Scholar] [CrossRef]
- Clesceri, L.S. Standard Methods for the Examination of Water and Wastewater, 22nd ed.; Rice, E.W., Baird, R.B., Eaton, A.D., Clesceri, L.S., Eds.; American Public Health Association: Washington, DC, USA, 2012; p. 724. [Google Scholar]
- Solo-Análise Granulométrica; Associação Brasileira de Normas Técnicas: Rio de Janeiro, Brazil, 1984; ABNT NBR 7181.
- Grãos de Pedregulho Retidos na Peneira de Abertura 4,8 mm—Determinação da Massa Específica, da Massa Específica Aparente e da Absorção de Água; Associação Brasileira de Normas Técnicas: Rio de Janeiro, RJ, Brazil, 2017; ABNT NBR 6458.
- Geossintéticos: Método de Ensaio Para Determinação da Massa Por Unidade de Área de Geotêxteis e Produtos Correlatos; Associação Brasileira de Normas Técnicas: Rio de Janeiro, RJ, Brazil, 2013; ABNT NBR ISO 9864:2013.
- Geossintéticos: Determinação da Espessura a Pressões Especificadas Parte 1: Camada Única; Associação Brasileira de Normas Técnicas: Rio de Janeiro, RJ, Brazil, 2013; ABNT NBR ISO 9863-1:2013.
- Geotêxteis e Produtos Correlatos: Determinação da Abertura de Filtração Característica; Associação Brasileira de Normas Técnicas: Rio de Janeiro, RJ, Brazil, 2013; ABNT NBR ISO 12956:2013.
- Standard Test Methods for Water Permeability of Geotextiles by Permittivity; ASTM International: West Conshohocken, PA, USA, 2015; ASTM D4491:2015.
- Geossintéticos: Ensaio de Tração de Faixa Larga; Associação Brasileira de Normas Técnicas: Rio de Janeiro, RJ, Brazil, 2013; ABNT NBR ISO 10319:2013.
- Guanaes, E.A.; Guimarães, M.G.A.; de Carvalho Urashima, D.; Pontes, P.P. Análise laboratorial do desaguamento do lodo residual de estação de tratamento de água por meio de geossintéticos. Educ. Tecnol. 2009, 14, 33–39. [Google Scholar]
- Rodrigues, M.I.; Iemma, A.F. Experimental Design and Process Optimization; CRC Press: New York, NY, USA, 2014. [Google Scholar]
- Guimarães, G. Eficiência do Desaguamento de Resíduo de Estação de Tratamento de Água em Tubo Geotêxtil. Ph.D. Thesis, Universidade de Ribeirão Preto, Ribeirão Preto, SP, Brazil, 2019. [Google Scholar]
- Resolution, Brazilian National Council of Environment, Establishes Provisions for the Classification of Water Bodies as Well as Environmental Directives for Their Framework, Establishes Conditions and Standards for Effluent Releases and Makes Other Provisions; CONAMA Resolution 357/05. Available online: http://www2.mma.gov.br/port/conama/legiabre.cfm?codlegi=459 (accessed on 8 September 2020).
- Resolution, Brazilian National Council of Environment, Provisions the Conditions and Standards of Effluents and Complements and Changes Resolution 357/2005; CONAMA Resolution 430/2011. 2011. Available online: http://www2.mma.gov.br/port/conama/legiabre.cfm?codlegi=646 (accessed on 8 September 2020).
- UKWIR. Guidance Manual Supporting the Water Treatment Recommendations from the Badenoch Group of Experts on Cryptosporidium; Water Industry Research Limited: London, UK, 1998. [Google Scholar]
- Müller, M.; Vidal, D. Comparison between Open and Closed System for Dewatering with Geotextile: Field and Comparative Study. Int. J. Civ. Environ. Eng. 2019, 13, 634–639. [Google Scholar]
- Junqueira, F.F.; Silva, A.R.; Palmeira, E.M. Performance of drainage systems incorporating geosynthetics and their effect on leachate properties. Geotext. Geomembr. 2006, 24, 311–324. [Google Scholar] [CrossRef]
- Yaman, C.; Martin, J.P.; Korkut, N.E. Effects of wastewater filtration on geotextile permeability. Geosynth. Int. 2006, 13, 87–97. [Google Scholar] [CrossRef]
- Palmeira, E.M.; Remigio, A.F.; Ramos, M.L.; Bernardes, R.S. A study on biological clogging of nonwoven geotextiles under leachate flow. Geotext. Geomembr. 2008, 26, 205–219. [Google Scholar] [CrossRef]
- Silva, R.A.E.; Negri, R.G.; Vidal, D.D.M. A new image-based technique for measuring pore size distribution of nonwoven geotextiles. Geosynth. Int. 2019, 26, 261–272. [Google Scholar] [CrossRef]
- Mlynarek, J.; Rollin, A.L. Bacterial clogging of geotextiles: Overcoming engineering concerns. In Proceedings of the Geosynthetics ‘95 Conference, Nashville, TN, USA, 21–23 February 1995; pp. 177–188. [Google Scholar]
















| Parameter | % |
|---|---|
| Total Solids (TS) | 3.80 |
| Fixed Solids (FS) | 41.20 |
| Volatile Solids (VS) | 58.80 |
| Properties | Test Method | NW1 | NW2 | W1 |
|---|---|---|---|---|
| Structure, polymer type 1 | - | NW, PET | NW, PET | W, PP |
| Mass per unit area (g/m2) | ABNT NBR ISO 9864 [46] | 612 | 895 | 414 |
| Thickness (mm) | ABNT NBR ISO 9863-1 [47] | 3.96 | 4.87 | 2.81 |
| Apparent opening size (µm) | ABNT NBR ISO 12956 [48] | 52 | 44 | 200 |
| Permittivity (s−1) | ASTM D4491 [49] | 1.36 | 0.80 | 0.84 |
| Tensile strength per unit width MD × CD 2 (kN/m) | ABNT NBR ISO 10319 [50] | 35 × 28 | 53 × 40 | 109 × 106 |
| Variable | Code | Level | ||
|---|---|---|---|---|
| −1 | 0 | 1 | ||
| Initial TS of the sludge (g/L) | x₁ | 0.25 | 10.13 | 20.00 |
| Polymer dosing (mgPol/gTS) | x₂ | 0.80 | 1.70 | 2.60 |
| Test | Independent Variables | ||
|---|---|---|---|
| No. | Name | Initial TS (g/L) | Polymer Dosing (mgPol/gTS) |
| 1 | −1A | −1 (0.25) | −1 (0.8) |
| 2 | 1A | 1 (20.00) | −1 (0.8) |
| 3 | −1C | −1 (0.25) | 1 (2.6) |
| 4 | 1C | 1 (20.00) | 1 (2.6) |
| 5 | −1B | −1 (0.25) | 0 (1.7) |
| 6 | 1B | 1 (20.00) | 0 (1.7) |
| 7 | 0A | 0 (10.13) | −1 (0.8) |
| 8 | 0C | 0 (10.13) | 1 (2.6) |
| 9 | 0B1 | 0 (10.13) | 0 (1.7) |
| 10 | 0B2 | 0 (10.13) | 0 (1.7) |
| 11 | 0B3 | 0 (10.13) | 0 (1.7) |
| Scenario | Permittivity (s−1) | ||
|---|---|---|---|
| NW1 | NW2 | W1 | |
| Reference | 1.36 (±0.25) | 0.80 (±0.12) | 0.84 (±0.07) |
| −1A | 0.93 (±0.23) | 0.60 (±0.07) | 0.48 (±0.05) |
| 0A | 1.02 (±0.13) | 0.52 (±0.08) | 0.51 (±0.05) |
| 1A | 0.77 (±0.16) | 0.55 (±0.13) | 0.46 (±0.02) |
| −1B | 0.92 (±0.13) | 0.57 (±0.05) | 0.44 (±0.02) |
| 0B* | 0.87 (±0.19) | 0.46 (±0.03) | 0.50 (±0.01) |
| 1B | 1.02 (±0.09) | 0.62 (±0.13) | 0.50 (±0.04) |
| −1C | 0.89 (±0.10) | 0.40 (±0.07) | 0.50 (± 0.04) |
| 0C | 0.98 (±0.16) | 0.61 (±0.12) | 0.56 (±0.02) |
| 1C | 0.88 (±0.18) | 0.65 (±0.13) | 0.46 (±0.03) |
© 2020 by the authors. Licensee MDPI, Basel, Switzerland. This article is an open access article distributed under the terms and conditions of the Creative Commons Attribution (CC BY) license (http://creativecommons.org/licenses/by/4.0/).
Share and Cite
Aparicio Ardila, M.A.; Souza, S.T.d.; Silva, J.L.d.; Valentin, C.A.; Dantas, A.D.B. Geotextile Tube Dewatering Performance Assessment: An Experimental Study of Sludge Dewatering Generated at a Water Treatment Plant. Sustainability 2020, 12, 8129. https://doi.org/10.3390/su12198129
Aparicio Ardila MA, Souza STd, Silva JLd, Valentin CA, Dantas ADB. Geotextile Tube Dewatering Performance Assessment: An Experimental Study of Sludge Dewatering Generated at a Water Treatment Plant. Sustainability. 2020; 12(19):8129. https://doi.org/10.3390/su12198129
Chicago/Turabian StyleAparicio Ardila, Maria Alejandra, Samira Tessarolli de Souza, Jefferson Lins da Silva, Clever Aparecido Valentin, and Angela Di Bernardo Dantas. 2020. "Geotextile Tube Dewatering Performance Assessment: An Experimental Study of Sludge Dewatering Generated at a Water Treatment Plant" Sustainability 12, no. 19: 8129. https://doi.org/10.3390/su12198129
APA StyleAparicio Ardila, M. A., Souza, S. T. d., Silva, J. L. d., Valentin, C. A., & Dantas, A. D. B. (2020). Geotextile Tube Dewatering Performance Assessment: An Experimental Study of Sludge Dewatering Generated at a Water Treatment Plant. Sustainability, 12(19), 8129. https://doi.org/10.3390/su12198129

