Abstract
A banker plant system is a rearing and release method for biological control agents, and in recent years has gained serious attention among plant propagators for its use in regulating common greenhouse and nursery pests. In the current study, the suitability of four ornamental pepper (Capsicum annuum L.; Solanales: Solanaceae) banker plant candidates, Black Pearl (BP), Explosive Ember (EE), Masquerade (MA), Red Missile (RM), and a commercial pepper cultivar, Blitz (BL), were evaluated with three main objectives: (1) to assess host preference of three major arthropod pests of agricultural importance, Bemisia tabaci Gennadius, Polyphagotarsonemus latus Banks, and Frankliniella occidentalis Pergande among selected pepper cultivars; (2) to determine the susceptibility of plant cultivars to three different pests; and (3) to assess the effect of tuft domatia on the abundance of the predatory mite Amblyseius swirskii Athias–Henriot. In choice and no-choice assays, BL and BP were highly susceptible to P. latus with a moderately high damage rating index of >3.5/5; B. tabaci and F. occidentalis were abundant on BL and EE. A positive correlation was observed between the number of tuft domatia and the A. swirskii count. Although all ornamental pepper cultivars exhibited varying degrees of susceptibility to different arthropod pests, if used strategically, cultivars MA and RM can be used to develop a banker plant system and help reduce multiple pests in greenhouses or interiorscapes.
1. Introduction
Bemisia tabaci (Gennadius), whitefly (MEAM1), Polyphagotarsonemus latus (Banks), broad mite, and Frankliniella occidentalis (Pergande) western flower thrips are important key pests of vegetable and ornamental crops worldwide [1,2,3]. Certain characteristics of these pests, such as their reproductive and dispersal potential (direct or indirect), multivoltine nature, ability to feed on multiple hosts, and survivability in a wide range of climatic conditions make them successful invaders. Owing to their polyphagous nature and damage potential to nursery and greenhouse production, they inflict serious economic damage either by direct feeding damage or by vectoring plant viruses [1,2,3]. In the past few years, due to growing concerns over insecticide resistance issues and the negative impact of neonicotinoids on non-target organisms [4,5], the use of alternate management strategies of these pests has received considerable attention from researchers.
The banker plant system, also known as an open rearing system, offers one such alternative which combines aspects of both augmentative and conservation biological control [6,7,8,9,10]. The system involves a non-crop plant which directly or indirectly supports populations of a natural enemy by providing ecological infrastructures important for their sustenance, ensuring long-term suppression of the pest species [10,11]. Depending on the natural enemies being used, banker plants can satisfy three basic needs: (1) a continuous food supply, (2) a substrate for reproduction, and (3) a habitat that protects them from being dislodged and to hide during unfavorable conditions (natural enemies, insecticide applications, etc.) [12]. Banker plants can improve the survival of natural enemies in the absence of prey and can help in establishing constant populations in an agro-ecosystem [9,11,12,13]. Apart from aiding in the establishment and population buildup of natural enemies, one of the biggest advantages of using banker plants is their portability. Since the plants can be moved from one place to another while carrying natural enemies, they can be placed at any location in the greenhouse and nursery prone to the pest infestation. Because of these advantages and others, such as the ease of implementation, application in different cropping systems, cost-effectiveness, compatibility with non-target organisms and potential to manage multiple pest species using generalist predators, development of banker plant systems has been an important research area in past few decades.
In order to develop a banker plant system targeting a particular pest species, apart from studying their biology, ecology, and the interaction between the two antagonistic organisms (pest and natural enemy), it is critical to screen the selected host plant candidates for susceptibility to the target pest species. There are certain risks associated if the plant candidate selected attracts non-target organisms, specifically pests of the main crop [6,7,11,14]. In this case, the target pest buildup may negatively affect the banker plant’s ability to support natural enemies by impacting their phenology (flower, leaf, tuft domatia), which can ultimately affect the value of the main crop. In the past, it has been observed that plant physical characteristics such as pollen and presence of domatia with non-glandular trichomes in the vein axils (tuft domatia) can improve the survival of phytoseiid mites and support their establishment on the host [12,15,16,17,18]. Pollen produced by banker plants can support generalist predators in the absence of suitable prey, and in some cases the presence of alternative food has shown to improve control of the target pest [19,20,21,22]. In addition, tuft domatia can provide reproduction and protection sites for the phytoseiid mites [12,16,17,23,24].
Over the past several years, multiple studies have reported on the use of four ornamental pepper (Capsicum annuum L.; Solanales: Solanaceae) cultivars ((Black Pearl (BP), Explosive Ember (EE), Masquerade (MA), Red Missile (RM)) as potential banker plant candidates in controlled production systems against different pests [8,9,12,25,26,27,28]. In these studies, banker plant characteristics, i.e., pollen, domatia, the flowering period of one or more cultivars and their uses, have been evaluated for supporting the omnivorous predators Amblyseius swirskii Athias–Henriot or Orius insidiosus Say in greenhouse production systems. However, there has been no research demonstrating if these potential banker plants candidates are susceptible to common greenhouse/nursery pests.
Thus, to answer the issues raised above and assess the suitability of four ornamental pepper cultivars for their use as banker plants in protected production, we investigated the damage potential of three important arthropod pests, B. tabaci, P. latus, and F. occidentalis on these pepper cultivars and compared it with the resulting damage on a commercial pepper cultivar, Blitz (BL). The specific objectives of this study were to assess: (1) preference of the above pests for banker plant cultivars (BP, EE, MA, and RM) and a susceptible commercial bell pepper control (BL) under a choice test condition, (2) susceptibility of cultivars BL, BP, EE, MA, and RM when exposed to three pests in a no-choice test condition, and (3) effect of tuft domatia of selected ornamental pepper cultivars on the abundance of predatory mite A. swirskii. In addition, a survey was done to identify the arthropods attracted by the four ornamental plants.
2. Materials and Methods
2.1. Plant Cultivars
The following series of studies were conducted in the greenhouse at the United States Horticulture Research Laboratory, USDA–ARS, in Fort Pierce, FL, USA (27.43 N, 80.40 W). The four ornamental pepper cultivars BP, EE, MA, RM, and a commercial pepper cultivar, BL, were grown in Premier Pro-mix General Purpose Growing Medium from seed in seedling trays and placed into a Plexiglass screened cage (61 × 91 × 61 cm) for ~7 weeks. Plants in seedling trays were then transplanted into 10 × 10 cm plastic pots. Potted plants were irrigated as needed (~3 times a week) and fertilized with 50 mL/pot of Peters Professional® 20-10-20 (325 ppm) (Scotts Co., Marysville, OH, USA) once/week. The temperature in the greenhouse ranged from 21.1–31.1 °C and the relative humidity ranged from 52.0–99.5%.
2.2. Preference of Pest Species Among Selected Plant Cultivars
2.2.1. Foliage Pests
The assessment for preference of two foliage pests on five pepper cultivars was conducted in a greenhouse harboring natural populations of P. latus and B. tabaci. All five-pepper cultivar (~8 weeks old) treatments, BP, EE, MA, RM, and BL, were arranged in a randomized complete block design (RCBD) with five replications, where each plot consisted of three plants of an individual treatment (total of 15 plants per treatment). Developmental stages of P. latus (eggs and motile stages) and B. tabaci (eggs and nymphs) were recorded weekly by destructive sampling of five top leaves (fully developed) per replication and then placed in a plastic Ziploc bag. The number of life stages for both pests infesting each plant cultivar was assessed using a binocular microscope (40×) for five weeks because the condition of the control plants deteriorated after this duration. Damage rating (DR) index scores (0–5) for P. latus infestation was determined following a modified protocol of Coss–Romero and Peña [29] on host plants at the last sampling date of the study. DR indices were scored as follows: (0) no symptoms; (1) terminal 3–4 leaves showing tiny eruptions in interveinal area, brown spots on leaf surface; (2) terminal 3–4 leaves showing curling along leaf margins, irregular thickening of leaf surfaces; (3) severe scarring of terminal and a few basal leaves; (4) stunted plants, leaves severely curled and leaf area greatly reduced; and (5) plants with no leaves and only stem remaining.
2.2.2. Flower Pest
To assess the preference of F. occidentalis among five pepper cultivars, a choice test was conducted in the greenhouse with environmental conditions as described above. The method of plant propagation, spatial arrangement for the experiment, and method of evaluation were similar to those described in the above experiment, except that the sampling unit was three flowers per replicate. Flowers were collected weekly and placed in 50 mL Falcon™ tubes containing 75% ethanol. Thrips were extracted from the alcohol by using a USA Standard Testing sieve with a 25 µm mesh grating (W. S. Tyler, Inc., Mentor, OH, USA) following the protocol described in Seal and Baranowski [30]. The residue remaining in the sieve was washed off with 75% alcohol into a Petri dish, examined under a dissecting microscope at 12×, and the number of thrips larvae and adults were recorded.
2.3. Susceptibility of Selected Plant Cultivars to Pest Species
2.3.1. Foliage Pests
To determine the susceptibility of five pepper cultivars to the two pests, a no-choice test was conducted inside screened Plexiglass cages (61 × 91 × 61 cm) to assess the population densities of the pests for 5 weeks. In the no-choice test, 18 plants of each pepper cultivar (~8 weeks old) were placed in two Plexiglass screened cages and infested with ~30 B. tabaci (adults) and ~30 P. latus (mixed population in each cage) twice at 10-day intervals. Treatment sampling and assessment were conducted as described above on a weekly basis for five weeks post-infestation. A similar setup was prepared for all cultivars and caged experiments were run simultaneously for comparison. A DR index due to P. latus infestation was recorded on host plants at the last sampling date of the study as described above.
2.3.2. Flower Pest
This experiment served to evaluate the susceptibility of five pepper cultivars after exposure to F. occidentalis under a no-choice test condition and was conducted in the above greenhouse inside screened Plexiglass cages (61 × 91 × 61 cm). The method of plant propagation and the spatial arrangement of the experiment were similar to those in the no-choice test experiment described above for foliage pests. Four healthy, pest-free pepper plants in 10 cm plastic pots (~7 weeks old) were placed inside cages and once flowering were observed; ~20 adult F. occidentalis were released into each cage twice weekly. The method of evaluation followed the same protocol used in the above choice experiment for the foliage pest.
2.4. Effect of Tuft Domatia on A. swirskii Abundance
This experiment assessed the effect of tuft domatia presence on ornamental pepper cultivars on the abundance of A. swirskii. Each plant cultivar (BP, EE, MA, RM, and BL) grown from seed in a seedling tray was transplanted at the 5–7 leaf stage into a plastic pot (10 × 10 cm), and then placed back into the screened Plexiglass cages. After an additional 7 days, each pot was placed in a square plastic weigh boat (14 × 14 cm) to hold water or liquid fertilizer and the weigh boat was placed on top of an inverted plastic pot (10 × 10 cm) which was placed inside another dish (28 × 5 cm) filled with soapy water to serve as a moat to prevent mite escapees. Ten gravid female mites per plant cultivar were released using a small camel-hair brush. Because plants were pest free at the beginning of the study, a small amount (~10–12 mg) of cattail pollen was transferred to each plant to serve as a nutritional supplement. The experimental layout was an RCBD with 10 replications where each replicate consisted of three plants of the same cultivar. Sampling was conducted weekly for a period of five weeks post-release of the mites. Plants were destructively sampled (10 top leaves/replicate), placed in plastic Falcon™ Petri dishes (150 × 25 mm; Thermo Fisher Scientific, Hampton, NH, USA), sealed with Parafilm® M (Bemis Co., Inc., Oshkosh, WI, USA), and temporarily stored at 4 ℃ in the refrigerator until assessed. The number of A. swirskii eggs, motile stages (nymphs + adults), and the number of domatia per leaf were recorded.
In order to determine what other arthropod pests or predators can affect the candidate banker plants in the greenhouse setting and potentially influence the density of A. swirskii in the absence of preferred food, a preliminary survey was conducted using the same sets of plants as those assessed during the test for effect of tuft domatia. On a weekly basis after destructive sampling for each cohort/cultivar was concluded, each dish moat (described above) was examined. Arthropods found present floating or trapped in the moat were collected by using a plastic pipette and then placed into a 1.5 mL Eppendorf tube with a snap cap. Samples were brought back to the laboratory at the Indian River Research and Education Center, University of Florida in Fort Pierce, Florida, identified using a dissecting binocular microscope (40×) and recorded.
2.5. Data Analysis
Preference of arthropods among treatments (plant cultivars) using choice tests, and susceptibility of pepper cultivars in no-choice tests were determined based on comparing the mean number of arthropod life stages per pest (B. tabaci, P. latus, and F. occidentalis) observed per cultivar. Data collected on arthropod counts in choice and no-choice tests of foliage pests were analyzed independently using a linear mixed model with the SAS GLIMMIX program with an autoregressive correlation structure [31]. This model was also used to determine the effect of plant cultivar, sampling week, and their interaction on P. latus (eggs and motile stages) and B. tabaci (eggs and nymphs) numbers. The autoregressive correlation structure was applied to observations that were repeatedly measured each week to account for the correlation in data generated by re-sampling in time. When the interaction between treatment and time was found to be significant, mean separations were run only for differences in treatments in the same time period using Fisher’s LSD at p < 0.05. Data of arthropod counts from other experiments, i.e., choice and no-choice test used for assessing the preference of F. occidentalis in flowers, and arthropods surveyed in the moats among five pepper cultivars, were analyzed independently. Data from weekly sampling were pooled together prior to being subjected to an ANOVA and the ad hoc mean separation was conducted using Fisher’s LSD test (p < 0.05). Data were transformed using square root transformation to stabilize heterogeneous variance before analysis. The data presented in the tables or figures are the untransformed means (± SEM). A correlation analysis was conducted using SAS PROC CORR to determine whether there was any significant (p < 0.05) relationship between the number of tuft domatia/leaf and the number of A. swirskii (eggs + motile stages)/plant cultivar.
3. Results
3.1. Preference of Pest Species Among Selected Plant Cultivars
3.1.1. Foliage Pest
There was a significant effect of cultivar, sampling week, and their interaction on P. latus density (Table 1). In addition, weekly sampling observations showed that there were overlapping generations of P. latus on ornamental pepper cultivars throughout the study period.
Table 1.
Analysis of variance (ANOVA) statistics indicating the effect of cultivar, week, and their interaction on the abundance of arthropod pests Polyphagotarsonemus latus and Bemisia tabaci, life stages in choice and no-choice tests.
A significantly higher number of P. latus eggs was observed on BL (susceptible commercial bell pepper control) for sampling weeks 1–3 compared to the ornamental pepper cultivars (BP, EE, MA, RM), and it was significantly different from RM for sampling in week 4 (Figure 1A). Among the ornamental pepper cultivars, a significantly higher number of P. latus eggs was observed on BP than other cultivars during sampling weeks 2–5. Among sampling weeks, a significantly higher density of eggs was reported during week 4, which was not different from that observed in week 3 (p < 0.05). Similar trends for P. latus motile stages abundance were observed on the five pepper cultivars, whereas a significantly higher density of motile stages was observed on BL than the ornamental pepper cultivars during weeks 1–3 (p < 0.05) (Figure 1B). Among ornamental pepper cultivars, a significantly higher number of motile stages was observed on BP compared to EE and RM between weeks 3–5. The average damage rating (DR) for P. latus infestation was significantly higher on BL (4.5 ± 0.27) and BP (3.5 ± 0.15) than other cultivars, whereas no significant difference in DR was observed for EE (2.1 ± 0.18), MA (2.1 ± 0.10), and RM (1.6 ± 0.24) (F4,16 = 28.63; p < 0.0001).

Figure 1.
Mean numbers (± SEM) of (A) Polyphagotarsonemus latus eggs and (B) motile stages, (C) Bemisia tabaci eggs, and (D) nymphs recorded weekly per five leaves of a pepper cultivar (Blitz: BL; Black Pearl: BP; Explosive Ember: EE; Masquerade: MA; and Red Missile: RM) per replication in choice tests.
The abundance of B. tabaci (eggs and nymphs) was significantly affected by cultivar and sampling week, and their interaction (Table 1). Beginning week 1, there were no differences in the mean number of eggs found on leaves of each cultivar; however, during sampling weeks 2 and 3, a significantly lower number of B. tabaci was recorded on BP, compared to the other cultivars (Figure 1C). Between weeks 3–5, a significantly larger number of B. tabaci eggs was recorded on BL compared to ornamental pepper cultivars EE, MA, and RM. A significantly higher density of eggs was reported in week 5 but was not different from week 4 (p < 0.05). Among ornamental pepper cultivars, a significantly higher mean density of B. tabaci eggs was observed in MA than BP (p < 0.05).
The abundance of nymphs on pepper cultivars was influenced by the previous B. tabaci egg counts. A significantly higher mean number of nymphs was observed on BL than other cultivars during weeks 3–5 (Figure 1D), and a higher number of nymphs on host plants was reported in week 5. Among ornamental pepper cultivars, the highest mean number of nymphs was reported on MA when compared to other cultivars (p < 0.05).
3.1.2. Flower Pest
A significantly higher mean number of thrips larvae (F4,80 = 5.97; p = 0.0003) and adults (F4,80 = 6.84; p < 0.0001) was recorded on BL and EE cultivars than on BP (Figure 2A). Thrips’ abundance (larvae and adults) on RM was not significantly different from that on BL, EE, or MA, but was higher than on BP. A significantly higher mean number of thrips (larvae + adults) was observed in the 5th sampling week compared to the rest of the sampling periods (p < 0.05).
Figure 2.
Mean numbers (±SEM) of Frankliniella occidentalis life stages per 3 flowers in (A) choice test and (B) no-choice experiments on each pepper plant cultivar (Blitz: BL; Black Pearl: BP; Explosive Ember: EE; Masquerade: MA; and Red Missile: RM).
3.2. Susceptibility of Selected Plant Cultivars to Pest Species
3.2.1. Foliage Pest
Both the main effects (cultivar, time) had a significant effect on the abundance of P. latus (Table 1). The effect of cultivars on the abundance of P. latus on host plants varied over time, explaining the cultivar*week effects (Table 1). P. latus populations were low at the beginning of the study, which increased rapidly, and significantly higher densities were recorded during the 4th sampling week. Apart from the susceptible cultivar BL, significantly higher densities of P. latus (eggs and motile stages) were reported on BP than other cultivars during sampling weeks 3 and 4 (Figure 3A,B). Average DR for P. latus infestation was significantly higher on BL (4.08 ± 0.32) than other cultivars except for BP (3.75 ± 0.17) (F4,20 = 28.37; p < 0.0001). Significantly higher damage by P. latus was observed on EE (2.41 ± 0.15) and MA (2.16 ± 0.10) than RM (1.83 ± 0.30).

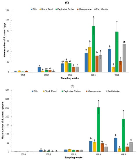
Figure 3.
Mean numbers (±SEM) of (A) Polyphagotarsonemus latus eggs and (B) motile stages, (C) Bemisia tabaci eggs, and (D) nymphs recorded weekly per five leaves of pepper cultivar (Blitz: BL; Black Pearl: BP; Explosive Ember: EE; Masquerade: MA; and Red Missile: RM) per replication in no-choice tests.
There was a significant effect of cultivar, sampling week, and their interaction on B. tabaci abundance (Table 1). Similar to P. latus density, low abundance of B. tabaci was observed inside the cages during the initial weeks of the study. However, their density increased rapidly after the 3rd sampling week (Figure 3C,D). A significantly higher abundance of B. tabaci eggs was observed in week 4, and nymph counts were higher in week 4 and 5 compared to other sampling weeks (Figure 3C,D). Contrary to the choice test, a significantly higher abundance of B. tabaci eggs and nymphs was observed on EE compared to the other pepper cultivars during week 4 and 5, except for the egg count on RM during week 5.
3.2.2. Flower Pest
A significantly higher mean number of thrips larvae (F4,100 = 3.01; p = 0.0216) and adults (F4,100 = 3.05; p = 0.0205) was recorded feeding on BL flowers compared to those found on cultivars MA and BP (Figure 2B). Among the ornamental pepper cultivars, a significantly higher number of thrips larvae was reported on EE compared to BP. A significantly higher mean number of thrips (larvae + adults) was observed during the last three (3rd–5th) sampling weeks compared to the rest of the sampling periods (p < 0.05).
3.3. Effect of Tuft Domatia on A. swirskii Abundance
In the absence of prey, each cultivar sustained the A. swirskii populations throughout the study period. A significantly lower mean density of tuft domatia (F3,27 = 21.40; p < 0.0001) and number of A. swirskii (F3,27 = 4.11; p = 0.0159) were recorded for BP when compared to other cultivars. A positive correlation was found between the number of tuft domatia and the number of eggs (R2 = 0.786; y = 1.6748x − 2.208), motile stages (R2 = 0.726; y = 1.1044x − 0.9968), and total A. swirskii count (eggs + motile stages) (R2 = 0.867; y = 2.8079x − 3.2917) per leaf (Figure 4).
Figure 4.
Correlation between the number of tuft domatia per leaf and its effect on the number of Amblyseius swirskii eggs, motile stages, and eggs + motile stages present for all the different ornamental pepper plant cultivars (Blitz: BL; Black Pearl: BP; Explosive Ember: EE; Masquerade: MA; and Red Missile: RM).
During the weekly surveys, arthropods sampled and identified from the moats of the pepper plant cultivars were as follows: dark-winged fungus gnats (Diptera: Sciaridae), midges (Diptera: Chironomidae), spiders (Aranae: Gnaphosidae), rove beetles (Coleoptera: Staphylinidae), fungus gnats (Diptera: Sciaridae), braconid wasps (Hymenoptera: Braconidae), aphids (Hemiptera: Aphididae), and shore flies (Diptera: Ephydridae). Among these arthropods, the dark-winged fungus gnat was most common whereas aphids were least abundant.
4. Discussion
Recently there have been several studies supporting that ornamental pepper banker plants are an effective mode of establishing and dispersing natural enemies, and consequently they may possess the potential to suppress pest populations under controlled conditions [9,12,25,26,27,28]. However, there is a significant risk that these potential banker plant candidates can also serve as a host for common greenhouse/nursery pests. Our results suggest that in the presence of susceptible plant hosts (choice condition), three common greenhouse pests (P. latus, B. tabaci, and F. occidentalis) preferred the commercial pepper cultivar over ornamental cultivars, but when forced to feed and reproduce solely on ornamental pepper cultivars (no-choice condition) these pests successfully sustained their populations on these plant hosts. Furthermore, in both choice and no-choice studies, in the absence of any biological control measures, pests were found to affect the quality of ornamental pepper cultivars, some of which have demonstrated potential as banker plants for rearing and dispersing A. swirskii [8,12] and/or O. insidiosus [25,26] populations. It is worth mentioning here that the three pests tested in this study were from a local population in Florida, and the susceptibility of a plant host to different populations of the same pest may vary in different geographical regions, which may have different results on the tested pepper plant cultivars. Thus, before using the ornamental pepper as banker plants, it is important to screen host plants against the specific pest population of that region.
Among ornamental pepper cultivars, RM and MA exhibited a low impact, whereas BP and EE were found to be most affected by pest infestations. Our results corroborate with other studies conducted in the past suggesting a positive relationship between leaf domatia and phytoseiid mite abundance [12,15,16,17,18,23,24]. This indicates that the number of domatia and trichomes per domatia per leaf can be a determining factor for host choice by the predatory mite A. swirskii. These findings suggest that cultivars RM and MA could be selected for further screening and potential development as part of an efficient banker plant system for commercial production units of crops grown in protected culture. In this study, we also observed that damage by P. latus affected the leaf structure/texture, i.e., turned soft, smooth, leathery leaf texture into rough leaf surface with uneven thickness, and intermittent cracks on the leaves with little or no domatia present. Therefore, we speculate that this modification in leaf architecture and phenology might have an impact on A. swirskii abundance; however, this needs to be tested further to confirm this hypothesis.
In any crop production conditions (greenhouse/nursery), the mode of operation of a banker plant system is to maintain and disperse the predator population in the presence or absence of prey. In the absence of any pest, generalist predators can survive and reproduce feeding on plant products, i.e., pollen, nectar, floral nectars [12,19,20,21,22,32,33,34,35], and in the absence of flowers, these plants (ornamental pepper cultivars) can maintain predator populations in the greenhouse with natural pest populations. Although A. swirskii can survive and reproduce when fed solely on pollen obtained from these ornamental pepper cultivars, a significantly higher rate of reproduction was observed in the treatment where mites were reared on chilli thrips (Scirtothrips dorsalis Hood) larvae than with any of the pollen treatments [9]. However, susceptibility to a certain extent of these cultivars can be beneficial for phytoseiid mites as the presence of a pest population may stimulate mite establishment on the host plants. During the preliminary survey, eight different arthropod species were found to be attracted towards the ornamental pepper cultivars or observed in the moats, but none of these seemed to be either affecting the host or the predator.
To reduce the risk of insecticide resistance and to keep effective chemistries in the marketplace, it is imperative to encourage implementation of alternate pest management strategies, and this can be achieved by providing reliable and efficient techniques to growers [36]. Banker plant systems offer one such alternative which can provide consistent results in managing multiple pests of ornamentals and vegetables grown under controlled greenhouse or nursery production conditions. Since good coverage, dispersal, and sustenance of an established population of generalist predators are essential for keeping pest populations under economic injury levels, especially in ornamental nurseries where tolerance for damage is far less than leafy vegetables, banker plant systems can be an efficient tool to replenish and maintain the predator population throughout the crop production system. Such a self-sustaining pest management system can increase the reliability of biological control strategies and can help reduce overall insecticide use.
5. Conclusions
In an attempt to develop a systems approach using banker plants for protected horticulture production, in the current study, we assessed the suitability of four ornamental pepper cultivars based on their ability to sustain common horticulture pests. The current study demonstrates that although all ornamental pepper cultivars exhibited varying degrees of susceptibility to different pests, if used strategically, cultivars MA and RM can be selected for developing banker plants and help reduce target pests at the site of application. The outcomes from this study will help growers, researchers, educators, and extension personnel involved in promoting the adoption of suitable banker plants for managing arthropod pests found in greenhouses and interiorscapes. Further studies are still needed to determine if these pepper cultivars are susceptible to plant pathogens affecting floriculture production and if the establishment of multiple predators on banker plants can ensure a reduction in different pest species inhabiting various parts of the plant under greenhouse, interiorscape, and landscape conditions.
Author Contributions
Conceptualization, V.K. and L.S.O.; investigation, V.K. and P.B.A.; methodology, V.K and P.B.A.; project administration, C.L.M.; resources, C.L.M., P.B.A. and L.S.O.; supervision, L.S.O.; writing—original draft, V.K. and P.B.A.; writing—review and editing, C.L.M., P.B.A. and L.S.O. All authors have read and agreed to the published version of the manuscript.
Funding
Funding for this study was supported by grants from the NIFA, EPA, USDA/FDACS–Specialty Crop Block Grant Program, USDA–ARS Floriculture and Nursery Research Initiative, and IFAS/UF Line Item grants program.
Acknowledgments
The authors would like to thank Katherine Houben, Lynn Faulkner, John Prokop, Florian Grant, and Jennifer Worthington for their technical assistance. We would also like to thank James Colee for assisting in the statistical analysis and the internal reviewers, Paul S. Robbins, and Garima Kakkar for their constructive criticism and helpful suggestions.
Conflicts of Interest
The authors declare no conflict of interest.
References
- Fasulo, T.R. Polyphagotarsonemus Latus; Featured Creatures; EDIS-ENY: 183; Entomology and Nematology Department, Institute of Food and Agricultural Sciences, University of Florida: Gainesville, FL, USA, 2000; Available online: http://entnemdept.ufl.edu/creatures/orn/broad_mite.htm (accessed on 18 January 2018).
- Demirozer, O.; Tyler-Julian, K.; Funderburk, J.; Reitz, S.; Leppla, N. Integrated pest management program for thrips and tospoviruses in fruiting vegetables. Pest Manag. Sci. 2012, 68, 1537–1545. [Google Scholar] [CrossRef] [PubMed]
- McKenzie, C.L.; Kumar, V.; Palmer, C.L.; Oetting, R.D.; Osborne, L.S. Chemical class rotations for control of Bemisia tabaci (Hemiptera: Aleyrodidae) on poinsettia and their effect on cryptic species population composition. Pest Manag. Sci. 2014, 70, 1573–1587. [Google Scholar] [CrossRef] [PubMed]
- Cloyd, R.A.; Bethke, J.A. Impact of neonicotinoid insecticides on natural enemies in greenhouse and interiorscape environments. Pest Manag. Sci. 2010, 67, 3–9. [Google Scholar] [CrossRef] [PubMed]
- Pisa, L.W.; Amaral-Rogers, V.; Belzunces, L.P.; Bonmatin, J.M.; Downs, C.A.; Goulson, D.; Kreutzweiser, D.P.; Krupke, C.; Liess, M.; McField, M.; et al. Effects of neonicotinoids and fipronil on non-target invertebrates. Environ. Sci. Pollut. Res. Int. 2015, 22, 68–102. [Google Scholar] [CrossRef] [PubMed]
- Osborne, L.S.; Barrett, J.E. You can Bank on it, Banker Plants Can be Used to Rear Natural Enemies to Help Control Greenhouse Pests. Available online: https://mrec.ifas.ufl.edu/lso/banker/Documents/BANKERFoliage.pdf (accessed on 24 January 2019).
- Osborne, L.S.; Landa, Z.; Taylor, D.J.; Tyson, R.V. Using banker plants to control insects in greenhouse vegetables. Proc. Fla. State Hort. Soc. 2005, 118, 127–128. [Google Scholar]
- Xiao, Y.F.; Avery, P.B.; Chen, J.; McKenzie, C.L.; Osborne, L. Ornamental pepper as banker plants for establishment of Amblyseius swirskii (Acari: Phytoseiidae) for biological control of multiple pests in greenhouse vegetable production. Biol. Control 2012, 63, 279–286. [Google Scholar] [CrossRef]
- Kumar, V.; Wekesa, V.; Avery, P.B.; Powell, C.A.; McKenzie, C.L.; Osborne, L.S. Effect of pollens of various ornamental pepper cultivars on the development and reproduction of Amblyseius swirskii (Acari: Phytoseiidae). Fla. Entomol. 2014, 97, 367–373. [Google Scholar] [CrossRef]
- Frank, S.D. Biological control of arthropod pests using banker plants systems: Past progress and future directions. Biol. Control 2010, 52, 8–16. [Google Scholar] [CrossRef]
- Huang, N.; Enkegaard, A.; Osborne, L.S.; Ramakers, P.M.J.; Messelink, G.J.; Pijnakker, J.; Murphy, G. The banker plant method in biological control. Crit. Rev. Pla. Sci. 2011, 30, 259–278. [Google Scholar] [CrossRef]
- Avery, P.B.; Kumar, V.; Xiao, Y.F.; Powell, C.A.; McKenzie, C.L.; Osborne, L. Selecting an ornamental pepper banker plant for Amblyseius swirskii in floriculture crops. Arthropod Plant Interact. 2014, 8, 49–56. [Google Scholar] [CrossRef]
- Xiao, Y.F.; Chen, J.J.; Cantliffe, D.; McKenzie, C.L.; Houben, K.; Osborne, L. Establishment of a papaya (Carica papaya L.) banker plant system for parasitoid, Encarsia sophia (Hymenoptera: Aphilidae) against Bemisia tabaci (Hemiptera: Aleyrodidae) in greenhouse tomato production. Biol. Control 2011, 58, 239–247. [Google Scholar] [CrossRef]
- Goolsby, J.A.; Ciomperlik, M.A. Development of parasitoid inoculated seedling transplants for augmentative biological control of silverleaf whitefly (Homoptera: Aleyrodidae). Fla. Entomol. 1999, 82, 532–545. [Google Scholar] [CrossRef]
- O’Dowd, D.J.; Willson, M.F. Associations between mites and leaf domatia. Trends Ecol. Evol. 1991, 6, 179–182. [Google Scholar] [CrossRef]
- Walter, D.E. Living on leaves: Mites, tomenta, and leaf domatia. Annu. Rev. Entomol. 1996, 41, 101–114. [Google Scholar] [CrossRef]
- Loughner, R.; Goldman, K.; Loeb, G.; Nyrop, J. Influence of leaf trichomes on predatory mite (Typhlodromus pyri) abundance in grape varieties. Exp. Appl. Acarol. 2008, 45, 111–122. [Google Scholar] [CrossRef] [PubMed]
- Loughner, R.; Wentworth, K.; Loeb, G.; Nyrop, J. Leaf trichomes influence predatory mite densities through dispersal behavior. Entomol. Exp. Appl. 2010, 134, 78–88. [Google Scholar] [CrossRef]
- Van Rijn, P.C.J.; Van Houten, Y.M.; Sabelis, M.W. How plants benefit from providing food to predators even when it is also edible to herbivores. Ecology 2002, 83, 2664–2679. [Google Scholar] [CrossRef]
- Ragusa, E.; Tsolakis, H.; Palomero, R.J. Effect of pollens and preys on various biological parameters of the generalist mite Cydnodromus californicus. Bull. Insectol. 2009, 62, 153–158. [Google Scholar]
- Nomikou, M.; Maurice, W.; Sabelis, M.W.; Janssen, A. Pollen subsidies promote whitefly control through the numerical response of predatory mites. BioControl 2010, 55, 253–260. [Google Scholar] [CrossRef]
- Duarte, M.V.A.; Venzon, M.; Bittencourt, M.C.; Rodriguez-Cruz, F.A.; Pallini, A.; Janssen, A. Alternative food promotes broad mite control on chilli pepper plants. BioControl 2015, 6, 817–825. [Google Scholar] [CrossRef]
- Agrawal, A.A. Do leaf domatia mediate a plant-mite mutualism? An experimental test of the effects on predators and herbivores. Ecol. Entomol. 1997, 22, 371–376. [Google Scholar] [CrossRef]
- Rowles, A.D.; O’Dowd, D.J. Leaf domatia and protection of a predatory mite Typhlodromus doreenae Schicha (Acari: Phytoseiidae) from drying humidity. Aust. J. Entomol. 2009, 48, 276–281. [Google Scholar] [CrossRef]
- Wong, S.K.; Frank, S.D. Influence of banker plants and spiders on biological control by Orius insidiosus (Heteroptera: Anthocoridae). Biol. Control 2012, 63, 181–187. [Google Scholar] [CrossRef]
- Wong, S.K.; Frank, S.D. Pollen increases fitness and abundance of Orius insidiosus Say (Heteroptera: Anthocoridae) on banker plants. Biol. Control 2013, 64, 45–50. [Google Scholar] [CrossRef]
- Kumar, V.; Xiao, Y.; McKenzie, C.L.; Osborne, L.S. Early establishment of the phytoseiid mite Amblyseius swirskii (Acari: Phytoseiidae) on pepper seedlings in a Predator-In-First approach. Exp. Appl. Acarol. 2015, 65, 465–481. [Google Scholar] [CrossRef]
- Waite, M.O.; Scott-Dupree, C.D.; Brownbridge, M.; Buitenhuis, R.; Murphy, G. Evaluation of seven plant species/cultivars for their suitability as banker plants for Orius insidiosus (Say). BioControl 2014, 59, 79–87. [Google Scholar] [CrossRef]
- Coss-Romero, M.; Peña, J.E. Relationship of broad mite (Acari: Tarsonemidae) to host phenology and injury levels in Capsicum annuum. Fla. Entomol. 1998, 81, 515–526. [Google Scholar] [CrossRef]
- Seal, D.R.; Baranowski, R.M. Effectiveness of different insecticides for the control of melon thrips, Thrips palmi Karny (Thysanoptera: Thripidae). Proc. Fla. State Hort. Soc. 1992, 105, 315–319. [Google Scholar]
- SAS Institute. SAS Institute Version 8.0.1; SAS Institute: Cary, NC, USA, 2009. [Google Scholar]
- Swirskii, E.; Amitai, S.; Dorzia, N. Laboratory studies on the feeding, development and reproduction of the predaceous mites Amblyseius rubini Swirskii and Amitai and Amblyseius swirskii Athias (Acarina: Phytoseiidae) on various kinds of food substances. Isr. J. Agric. Res. 1967, 17, 101–119. [Google Scholar]
- Van Rijn, P.C.J.; Tanigoshi, L.K. The contribution of extrafloral nectar to survival and reproduction of the predatory mite Iphiseius degenerans on Ricinus communis. Exp. Appl. Acarol. 1999, 23, 281–296. [Google Scholar] [CrossRef]
- Shipp, J.L.; Ramakers, P.M.J. Biological control of thrips on vegetable crops. In Biocontrol in Protected Culture; Heinz, K.M., Van Driesche, R.G., Parrella, M.P., Eds.; Ball Publishing: Batavia, IL, USA, 2004; pp. 265–276. [Google Scholar]
- Kutuk, H.; Yigit, A. Pre-establishment of Amblyseius swirskii (Athias-Henriot) (Acari: Phytoseiidae) using Pinus brutia (Ten.) (Pinales: Pinaceae) pollen for thrips (Thysanoptera: Thripidae) control in greenhouse peppers. Int. J. Acarol. 2011, 37, 95–101. [Google Scholar] [CrossRef]
- Kumar, V.; Kakkar, G.; McKenzie, C.L.; Seal, D.R.; Osborne, L.S. An overview of chilli thrips, Scirtothrips dorsalis (Thysanoptera: Thripidae) biology, distribution and management. In Weed and Pest Control: Conventional and New Challenges; Soloneski, S., Larramendy, M., Eds.; InTech: Rijeka, Croatia, 2013; pp. 53–77. [Google Scholar]
© 2020 by the authors. Licensee MDPI, Basel, Switzerland. This article is an open access article distributed under the terms and conditions of the Creative Commons Attribution (CC BY) license (http://creativecommons.org/licenses/by/4.0/).





