Multidimensional Analysis of the Spatiotemporal Variations in Ecological, Production and Living Spaces of Inner Mongolia and an Identification of Driving Forces
Abstract
1. Introduction
2. Materials and Methods
2.1. Study Area
2.2. Data Sources and Methodology
2.2.1. Data Sources
2.2.2. Classification of Ecological, Production and Living Spaces (EPLSs) Based on Land Use Types
2.2.3. Barycenter Migration Model
2.2.4. Quantitative Analysis of Driving Forces
3. Results
3.1. Characteristics of EPLS in Inner Mongolia from 1990 to 2015
3.2. Spatial Patterns of EPLS in Inner Mongolia from 1990 to 2015
3.2.1. Changes to Spatial Extent of EPLS
3.2.2. Shifts in the Spatial Center of Gravity of EPLS in Inner Mongolia
3.2.3. Characteristics of Mutual Transformation of EPLS in Inner Mongolia
3.3. Driving forces of EPLS in Inner Mongolia
3.3.1. Identification of Influencing Factors
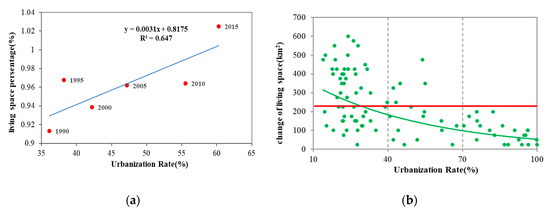
3.3.2. The Impact of Socioeconomic Development on Changes in EPLS
3.3.3. The Impact of Government Policies on Changes in EPLS
3.3.4. The Impact of Mining of Mineral Resources on Changes in EPLS
4. Conclusions
- (1)
- The pattern of EPLS change remained basically the same during 1990–2015, with obvious regional differences. Inner Mongolia remains predominantly ecological space which is distributed to the north of the Greater Hinggan–Yinshan–Helan mountain ranges, whereas production and living spaces are distributed to the south of the mountain ranges.
- (2)
- Over the past 25 years, there has been a decline in ecological space in Inner Mongolia, whereas living and production spaces have expanded. Living spaces are concentrated in central cities with obvious path dependence. The distribution and expansion of production spaces are concentrated around living spaces. Living spaces have increased whereas ecological spaces have decreased in the central and western regions, and production spaces have increased in the eastern region.
- (3)
- Production space showed the largest Barycenter migration distance of 190.509 km from 1990 to 2015, with the center moving southwest. Ecological space showed the second-largest Barycenter migration distance.
- (4)
- Change to EPLS in Inner Mongolia is affected by topography, climate, economic development, population growth and policies, and areas with higher economic development and population growth have undergone greater changes in EPLS.
Author Contributions
Funding
Acknowledgments
Conflicts of Interest
References
- Shi, Z.Q.; Deng, W.; Zhang, S.Y. Spatial pattern and spatio-temporal change of territory space in Hengduan Mountains region in recent 25 years. Geogr. Res. 2018, 37, 607–621. [Google Scholar]
- Huang, J.C.; Lin, H.X.; Qi, X.X. A literature review on optimization of spatial development pattern based on ecological-production-living space. Prog. Geogr. 2017, 36, 378–391. [Google Scholar]
- Collins, G.R. Linear planning throughout the world. J. Soc. Archit. Historians 1959, 18, 74–93. [Google Scholar] [CrossRef]
- Howard, G. Civitas by Design Building Better Bommunities, from the Garden City to the New Urbanism; The Penguin Press: London, UK, 2010. [Google Scholar]
- Zhu, N.; Ren, Y.Y. Western architectural context and rational thinking. Archit. Cult. 2016, 10, 112–113. [Google Scholar]
- Li, G.D.; Fang, C.L. Quantitative function identification and analysis of urban ecological-production-living spaces. Acta Geogr. Sin. 2016, 71, 49–65. [Google Scholar]
- Zhang, H.Q.; Xu, E.Q.; Zhu, H.Y. An ecological-living-industrial land classification system and its spatial distribution in China. Resour. Sci. 2015, 37, 1332–1338. [Google Scholar]
- Smeraldo, S.; Bosso, L.; Fraissinet, M.; Bordignon, L.; Brunelli, M.; Ancillotto, L.; Russo, D. Modelling risks posed by wind turbines and power lines to soaring birds: The black stork (Ciconia nigra) in Italy as a case study. Biodivers. Conserv. 2020, 29, 1959–1976. [Google Scholar] [CrossRef]
- Alkishe, A.; Cobos, M.E.; Peterson, A.T.; Samy, A. Recognizing sources of uncertainty in disease vector ecological niche models: An example with the tick Rhipicephalus sanguineus sensu lato. Perspect. Ecol. Conserv. 2020, 18, 91–102. [Google Scholar] [CrossRef]
- Johnson, E.; Escobar, L.E.; Zambrana-Torrelio, C. An Ecological Framework for Modeling the Geography of Disease Transmission. Trends Ecol. Evol. 2019, 34, 655–668. [Google Scholar] [CrossRef]
- Kates, R.W.; Clark, W.C.; Corell, R. Sustainability science. Science 2001, 292, 641–642. [Google Scholar] [CrossRef]
- Zhu, Y.Y.; Yu, B.; Zeng, J.X.; Han, Y. Spatial optimization from three spaces of production, living and ecology in national restricted zones–a case study of Wufeng county in Hubei province. Econ. Geogr. 2015, 35, 26–32. [Google Scholar]
- Ancillotto, L.; Bosso, L.; Salinas-Ramos, V.; Russo, D. The importance of ponds for the conservation of bats in urban landscapes. Landsc. Urban Plan. 2019, 190, 103607. [Google Scholar] [CrossRef]
- Li, G.; Jiang, C.; Du, J.; Jia, Y.; Bai, J. Spatial differentiation characteristics of internal ecological land structure in rural settlements and its response to natural and socio-economic conditions in the Central Plains, China. Sci. Total Environ. 2020, 709, 135932. [Google Scholar] [CrossRef] [PubMed]
- Chen, J.; Shi, P.J. Discussion on functional land use classification system. J. Beijing Norm. Univ. Nat. Sci. 2005, 41, 536–540. [Google Scholar]
- Liu, J.Y.; Zhang, Z.X.; Zhang, S.W.; Yan, C.Z.; Wu, S.X.; Li, R.D.; Kuang, W.H.; Shi, W.J.; Huang, L.; Ning, J.; et al. Innovation and development of remote sensing-based land use change studies based on Shupeng Chen’s academic thoughts. J. Geo-Inf. Sci. 2020, 22, 680–687. [Google Scholar]
- Liu, J.Y.; Kuang, W.H.; Zhang, Z.X. Spatiotemporal characteristics, patterns and causes of land use changes in China since the late 1980s. Acta Geogr. Sin. 2014, 69, 3–14. [Google Scholar]
- Nelson, E.; Mendoza, G.; Regetz, J. Modeling multiple ecosystem services, biodiversity conservation, commodity production, and tradeoffs at landscape scales. Front. Ecol. Environ. 2009, 7, 4–11. [Google Scholar]
- Li, K.; Mao, D.H.; Li, J.; Jiang, Z.L. On the evolution of spatial-temporal patterns of production-living-ecological space in Xiangjiang river Basin. J. Nat. Sci. Hunan Norm. Univ. 2020, 43, 9–19. [Google Scholar]
- Huang, T.N.; Zhang, Y.L. Transformation of land use function and response of eco-environment based on “production-life-ecology space”: A case study of resource-rich area in western Guangxi. Acta Ecol. Sin. 2021, 40, 1–12. [Google Scholar]
- Wang, M.J. Analysis the change of urban internal spatial structure based on the shift of city gravity in Dalian city. Territ. Nat. Resour. Study 2015, 4, 1–3. [Google Scholar]
- Zhou, L.M.; Wang, S.H. Remote sensing monitoring and evaluation of spatial and temporal changes of ecological environment in Hangjin Banner, Inner Mongolia, China. Chin. J. Appl. Ecol. 2020, 31, 1999–2006. [Google Scholar]
- Dong, T.X.; Qin, Q.M.; Wang, J.H. Expansion modes of urban land-use in Mianyang City in the last 30 years. Geogra. Res. 2011, 30, 667–675. [Google Scholar]
- Lian, X.M. Analysis on the space evolvement track of population gravity center, employment gravity center and economic gravity center. Popul. J. 2007, 3, 23–28. [Google Scholar]
- Liu, S.; Li, X.; Chen, D.; Duan, Y.; Ji, H.; Zhang, L.; Chai, Q.; Hu, X. Understanding Land use/Land cover dynamics and impacts of human activities in the Mekong Delta over the last 40 years. Glob. Ecol. Conserv. 2020, 22, e00991. [Google Scholar] [CrossRef]
- Sannigrahi, S.; Zhang, Q.; Joshi, P.; Sutton, P.C.; Keesstra, S.; Roy, P.; Pilla, F.; Basu, B.; Wang, Y.; Jha, S.; et al. Examining effects of climate change and land use dynamic on biophysical and economic values of ecosystem services of a natural reserve region. J. Clean. Prod. 2020, 257, 120424. [Google Scholar] [CrossRef]
- Xu, G.C.; Kang, M.Y.; Li, Y.F. Analysis of land use change and its driving forces in Xiling’ol League. Resour. Sci. 2011, 33, 690–697. [Google Scholar]
- Hao, J.; Xu, G.Y.; Luo, L.; Zhang, Z.; Yang, H.L.; Li, H.Y. Quantifying the relative contribution of natural and human factors to vegetation coverage variation in coastal wetlands in China. Catena 2020, 188, 104429. [Google Scholar] [CrossRef]
- Zhang, C.G.; Fang, C.L. Driving mechanism analysis of ecological-economic-social capacity interactions in oasis systems of arid lands. J. Nat. Resour. 2002, 17, 181–187. [Google Scholar]
- Fan, J. High-quality development of national territory space governance and regional economic layout during 14th Five-Year plan in China. Bull. Chin. Acad. Sci. 2020, 7, 796–805. [Google Scholar]
- Xia, H.; Zhang, W.; He, L.; Ma, M.; Peng, H.; Li, L.; Ke, Q.; Hang, P.; Wang, X. Assessment on China’s urbanization after the implementation of main functional areas planning. J. Environ. Manag. 2020, 264, 110381. [Google Scholar] [CrossRef]
- Ma, Q.; He, C.; Fang, X. A rapid method for quantifying landscape-scale vegetation disturbances by surface coal mining in arid and semiarid regions. Landsc. Ecol. 2018, 33, 2061–2070. [Google Scholar] [CrossRef]
- Rong, A.; Bi, Q.G.; Dong, Z.H. Change of grassland vegetation and driving factors based on MODIS/NDVI in Xilingol, China. Resour. Sci. 2019, 41, 1374–1386. [Google Scholar]
- Guan, C.Z.; Zhang, B.L.; Zhao, J.L.; Li, J.N. Analysis on land use disturbances of surface coal mining in Xilinhot. Environ. Monit. Forewarning 2017, 9, 14–18. [Google Scholar]
- Rong, A. Research on the land a spatial development suitability in Xilingol, Inner Mongolia. Ph.D. Thesis, Northeast Normal University, Changchun, China, 2017; pp. 116–125. [Google Scholar]
- Jing, P.Q.; Wang, Q.X. Coal resource exploitation and blessing and curse with regional economic development: A positive analyse based on Shanxi Province. China Ind. Econ. 2008, 7, 80–90. [Google Scholar]











| Class I | Class II | Production | Living | Ecological | ||
|---|---|---|---|---|---|---|
| ID | Name | ID | Name | |||
| 1 | Cropland | 11 | Paddy field | 5 | 0 | 3 |
| 12 | Dry land | 5 | 0 | 3 | ||
| 2 | Woodland | 21 | Woodland | 0 | 0 | 5 |
| 22 | Shrubbery land | 0 | 0 | 3 | ||
| 23 | Sparse woodland | 0 | 0 | 3 | ||
| 24 | Other woodland | 0 | 0 | 3 | ||
| 3 | Grassland | 31 | High-coverage grassland | 3 | 0 | 5 |
| 32 | Medium-coverage grassland | 3 | 0 | 5 | ||
| 33 | Low-coverage grassland | 1 | 0 | 5 | ||
| 4 | Water | 41 | Rivers and canals | 3 | 0 | 3 |
| 42 | Lakes | 0 | 0 | 5 | ||
| 43 | Reservoirs and ponds | 3 | 0 | 3 | ||
| 46 | Beach land | 0 | 0 | 5 | ||
| 5 | Construction land | 51 | City and town areas | 1 | 5 | 0 |
| 52 | Residential quarters in rural areas | 1 | 5 | 0 | ||
| 53 | Industrial and mining land, land used for transportation | 3 | 3 | 0 | ||
| 6 | Unused land | 61 | Sandy land | 0 | 0 | 5 |
| 62 | Exposed rock and shingle land | 0 | 0 | 5 | ||
| 63 | Saline-alkali land | 0 | 0 | 5 | ||
| 64 | Marshland | 0 | 0 | 5 | ||
| 65 | Bare land | 0 | 0 | 5 | ||
| 66 | Exposed rock and shingle land | 0 | 0 | 5 | ||
| Variable | Coefficient | Std. Error | T-Statistic | Prob. |
|---|---|---|---|---|
| Urbanization (%) | 57.3795 | 9.1124 | −6.2969 | 0.0000 |
| Number of urban employees (person) | 0.0038 | 0.0011 | 3.3404 | 0.0028 |
| Proportions of GDP contributed by secondary and tertiary industries (%) | 69.3821 | 28.2747 | 2.4539 | 0.0221 |
| Population density (person km−2) | 1780.7140 | 596.5318 | 2.9851 | 0.0066 |
| Local fiscal expenditure (ten thousand Yuan) | 0.0007 | 0.0002 | 3.0970 | 0.0051 |
| Variable | Coefficient | Std. Error | T-Statistic | Prob. |
|---|---|---|---|---|
| Urbanization (%) | 0.0043 | 0.0014 | 2.9709 | 0.0068 |
| Number of urban employees (person) | 0.0145 | 0.004 | 3.6202 | 0.0014 |
| Highway mileage (km) | 0.383 | 0.1619 | 2.3662 | 0.0268 |
| Proportions of GDP contributed by secondary and tertiary industries (%) | 349.637 | 119.4852 | −2.9262 | 0.0076 |
© 2020 by the authors. Licensee MDPI, Basel, Switzerland. This article is an open access article distributed under the terms and conditions of the Creative Commons Attribution (CC BY) license (http://creativecommons.org/licenses/by/4.0/).
Share and Cite
Dong, Z.; Zhang, J.; Si, A.; Tong, Z.; Na, L. Multidimensional Analysis of the Spatiotemporal Variations in Ecological, Production and Living Spaces of Inner Mongolia and an Identification of Driving Forces. Sustainability 2020, 12, 7964. https://doi.org/10.3390/su12197964
Dong Z, Zhang J, Si A, Tong Z, Na L. Multidimensional Analysis of the Spatiotemporal Variations in Ecological, Production and Living Spaces of Inner Mongolia and an Identification of Driving Forces. Sustainability. 2020; 12(19):7964. https://doi.org/10.3390/su12197964
Chicago/Turabian StyleDong, Zhenhua, Jiquan Zhang, Alu Si, Zhijun Tong, and Li Na. 2020. "Multidimensional Analysis of the Spatiotemporal Variations in Ecological, Production and Living Spaces of Inner Mongolia and an Identification of Driving Forces" Sustainability 12, no. 19: 7964. https://doi.org/10.3390/su12197964
APA StyleDong, Z., Zhang, J., Si, A., Tong, Z., & Na, L. (2020). Multidimensional Analysis of the Spatiotemporal Variations in Ecological, Production and Living Spaces of Inner Mongolia and an Identification of Driving Forces. Sustainability, 12(19), 7964. https://doi.org/10.3390/su12197964

