Is Environmental Awareness a Good Predictor of an Individual’s Altruism Level?
Abstract
1. Introduction
2. Methods
2.1. Econometric Model
2.2. The Survey
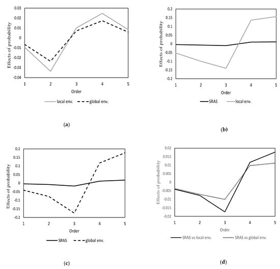
3. Results and Discussion
4. Conclusions
Funding
Acknowledgments
Conflicts of Interest
References
- Shafik, N. Economic development and environmental quality: An econometric analysis. Oxf. Econ. Pap. 1994, 46, 757–773. [Google Scholar] [CrossRef]
- Perron, G.M.; Cote, P.R.; Duffy, J.F. Improving environmental awareness training in business. J. Clean. Prod. 2006, 14, 551–562. [Google Scholar] [CrossRef]
- Gadanne, D.L.; Kennedy, J.; McKeiver, C. An empirical study of environmental awareness and practices in SMEs. J. Bus. Ethics 2008, 84, 45–63. [Google Scholar] [CrossRef]
- Xu, X.; Wang, S.; Yu, Y. Consumer’s intention to purchase green furniture: Do health consciousness and environmental awareness matter? Sci. Total Environ. 2020, 704, 135275. [Google Scholar] [CrossRef] [PubMed]
- Aruga, K.; Wakamatsu, H. Consumer perceptions toward seafood produced near the Fukushima Nuclear Plant. Mar. Resour. Econ. 2018, 33, 373–386. [Google Scholar] [CrossRef]
- Neaman, A.; Otto, S.; Vinokur, E. Toward an integrated approach to environmental and prosocial education. Sustainability 2018, 10, 583. [Google Scholar] [CrossRef]
- Panda, T.K.; Kumar, A.; Jakhar, S.; Luthra, S.; Garza-Reyes, J.A.; Kazancoglu, I.; Nayaka, S.S. Social and environmental sustainability model on consumers’ altruism, green purchase intention, green brand loyalty and evangelism. J. Clean. Prod. 2020, 243, 118575. [Google Scholar] [CrossRef]
- Hiramatsu, A.; Kurisu, K.; Hanaki, K. Environmental consciousness in daily activities measured by negative prompts. Sustainability 2016, 8, 24. [Google Scholar] [CrossRef]
- Birch, D.; Memery, J.; Kanakarante, M.S. The mindful consumer: Balancing egoistic and altruistic motivations to purchase local food. J. Retail. Consum. Serv. 2018, 40, 221–228. [Google Scholar] [CrossRef]
- Yucedag, C.; Kaya, L.G.; Cetin, M. Identifying and assessing environmental awareness of hotel and restaurant employees’ attitudes in the Amasra District of Bartin. Environ. Monit. Assess. 2018, 190, 60. [Google Scholar] [CrossRef]
- Leins, C.; Austin, S. Top 5 Countries for Green Living. U.S. News & World Report. Available online: https://www.usnews.com/news/best-countries/slideshows/the-top-5-countries-for-green-living (accessed on 3 September 2020).
- Kollmuss, A.; Agyeman, J. Mind the gap: Why do people act environmentally and what are the barriers to pro-environmental behavior? Environ. Educ. Res. 2002, 8, 239–260. [Google Scholar] [CrossRef]
- Ham, M.; Horvat, M.; Mrcela, D. Insights for Measuring Environmental Awareness. Ekon. Vjesn. 2016, 29, 159–176. [Google Scholar]
- Rushton, J.P.; Chrisjohn, R.D.; Fekken, G.C. The altruistic personality and the self-report altruism scale. Pers. Individ. Differ. 1981, 2, 293–302. [Google Scholar] [CrossRef]
- Zizzo, D.J. Do Dictator Games Measure Altruism? In Handbook on the Economics of Reciprocity and Social Enterprise; Bruni, T.L., Zamagni, S., Eds.; Edward Elgar: Cheltenham, UK, 2013; pp. 108–111. [Google Scholar]
- Powers, T.L.; Hopkins, R.A. Altruism and consumer purchase behavior. J. Int. Consum. Mark. 2006, 19, 107–130. [Google Scholar] [CrossRef]
- Oda, R.; Machii, W.; Takagi, S.; Kato, Y.; Takeda, M.; Kiyonari, T.; Fukukawa, Y.; Hiraishi, K. Personality and altruism in daily life. Pers. Individ. Differ. 2014, 56, 206–209. [Google Scholar] [CrossRef]
- Guo, Q.; Sun, P.; Cai, M.; Zhang, X.; Song, K. Why are smarter individuals more prosocial? A study on the mediating roles of empathy and moral identity. Intelligence 2019, 75, 1–8. [Google Scholar] [CrossRef]
- Aruga, K. Consumer Behavior to Support the Disaster Region and Altruistic Perception. Pap. Environ. Inf. Sci. 2019, 33, 205–210. (In Japanese) [Google Scholar]
- Piliavin, J.A.; Charng, H.-W. Altruism: A Review of Recent Theory and Research. Annu. Rev. Sociol. 1990, 16, 27–65. [Google Scholar] [CrossRef]
- Oda, R.; Dai, M.; Niwa, Y.; Ihobe, H.; Kiyonari, T.; Takeda, M.; HIraishi, K. Self-Report Altruism Scale Distinguished by the Recipient (SRAS-DR): Validity and reliability. Jpn. J. Psychol. 2013, 84, 28–36. [Google Scholar] [CrossRef]
- Zinbarg, R.E.; Revelle, W.; Yovel, I.; Li, W. Cronbach’s α, Revelle’s β, and McDonald’s ωH: Their relations with each other and two alternative conceptualizations of reliability. Psychometrika 2005, 70, 123–133. [Google Scholar] [CrossRef]
- Knight, A.T.; Cowling, R.M.; Difford, M.; Campbell, B.M. Mapping human and social dimensions of conservation opportunity for the scheduling of conservation action on private land. Conserv. Biol. 2010, 24, 1348–1358. [Google Scholar] [CrossRef] [PubMed]
- Kiesling, T.; Salas, S.; Matufoglu, K.; Thiel, M. Who cares about dirty beaches? Evaluating environmental awareness and action on coastal litter in Chile. Ocean Coast. Manag. 2017, 137, 82–95. [Google Scholar] [CrossRef]
- Konisky, D.M.; Milyo, J.; Richardson, L.E. Environmental policy attitudes: Issues, geographical scale, and political trust. Soc. Sci. Q. 2008, 89, 1066–1085. [Google Scholar] [CrossRef]
- Chou, K.-L. Effects of age, gender, and participation in volunteer activities on the altruistic behavior of Chinese adolescents. J. Genet. Psychol. 1998, 159, 195–201. [Google Scholar] [CrossRef] [PubMed]
- Westlake, G.; Coall, D.; Grueter, C.C. Educational attainment is associated with unconditional helping behaviour. Evol. Hum. Sci 2019, 1, e15. [Google Scholar] [CrossRef]
- Hoffman, M. Does higher income make you more altruistic? Evidence from the Holocaust. Rev. Econ. Stat. 2011, 93, 876–887. [Google Scholar] [CrossRef]
- Piper, G.; Shnepf, S.V. Gender differences in charitable giving in Great Britain. Voluntas 2008, 19, 103–124. [Google Scholar] [CrossRef]
- Branas-Garza, P.; Capraro, V.; Rascon-Ramirez, E. Gender differences in altruism on Mechanical Turk: Expectations and actual behaviour. Econ. Lett. 2018, 170, 19–23. [Google Scholar] [CrossRef]
- Altonji, J.G.; Hayashi, F.; Kotlikoff, L.J. Parental altruism and inter vivo transfers: Theory and evidence. J. Polit. Econ. 1997, 105, 1121–1166. [Google Scholar] [CrossRef]
- Durin-Gure, P. Happiness and parental altruism in the United States. Appl. Econ. Lett. 2012, 19, 901–904. [Google Scholar] [CrossRef]
- Vyrastekova, J.; Huisman, J.; Mosha, I.; Smits, J. Mothers more altruistic than fathers, but only when bearing responsibility alone: Evidence from parental choice experiments in Tanzania. PLoS ONE 2014, 9, e99952. [Google Scholar] [CrossRef]
- Batson, C.D.; Powell, A.A. Altruism and prosocial behavior. In Handbook of Psychology: Personality and Social Psychology; Millon, T., Lerner, M.J., Eds.; John Wiley & Sons Inc.: New York, NY, USA, 2003; Volume 5, pp. 463–484. [Google Scholar]
- Zettler, I.; Hilbig, B.E. Attitudes of the selfless: Explaining political orientation with altruism. Pers. Individ. Differ. 2010, 48, 338–342. [Google Scholar] [CrossRef]
- Zabkar, V.; Hosta, M. Willingness to act and environmentally conscious consumer behaviour: Can prosocial status perceptions help overcome the gap? Int. J. Consum. Stud. 2013, 37, 257–264. [Google Scholar] [CrossRef]
- Gray, S.G.; Raimi, K.T.; Wilson, R.; Arvai, J. Will Millennials save the world? The effect of age and generational differences on environmental concern. J. Environ. Manag. 2019, 242, 393–402. [Google Scholar] [CrossRef] [PubMed]
- Charities Aid Foundation (CAF). CAF World Giving Index 2018. Available online: https://www.cafonline.org/docs/default-source/about-us-publications/caf_wgi2018_report_webnopw_2379a_261018.pdf (accessed on 3 September 2020).
- Fukasawa, E.; Fukasawa, T.; Ogawa, H. Intergovernmental competition for donations: The case of the Furusato Nozei program in Japan. J. Asian Econ. 2020, 67, 101178. [Google Scholar] [CrossRef]
- National Institute of Population and Social Security Research (NIPSSR). Latest Demographic Statistics 2018; National Institute of Population and Social Security Research: Tokyo, Japan, 2018. [Google Scholar]
- Larson, R.B. Controlling social desirability bias. Int. J. Mark. Res. 2019, 61, 534–547. [Google Scholar] [CrossRef]

| Variable | Description | Mean | Std. Dev. |
|---|---|---|---|
| SRAS | An average score of the self-report altruism scale: 1 = 1 ≤ SRAS < 1.5, 2 = 1.5 ≤ SRAS < 2.5, 3 = 2.5 ≤ SRAS < 3.5, 4 = 3.5 ≤ SRAS < 4.5, and 5 = 4.5 ≤ SRAS. | 2.86 | 0.83 |
| global env. | Degree of interest in global environmental problems, such as deforestation of rainforests: 1 = have no interest at all to 5 = have a strong interest. | 3.44 | 0.95 |
| local env. | Degree of interest in local environmental problems, such as contamination of local drinking water: 1 = have no interest at all to 5 = have a strong interest. | 3.54 | 0.92 |
| age | 1 = 20–29, 2 = 30–39, 3 = 40–49, 4 = 50–59, and 5 = 60–69. | 3.12 | 1.38 |
| edu | 1 = Graduated junior high school, 2 = Graduated high school, 3 = Graduated junior college, 4 = Did not finish undergraduate, 5 = Earned a bachelor’s degree, and 6 = Earned a graduate degree. | 4.03 | 1.38 |
| income | 1 = Less than 2 million yen, 2 = 2–4 million yen, 3 = 4–6 million yen, 4 = 6–8 million yen, 5 = 8–10 million yen, 6 = 10–12 million yen, and 7 = More than 12 million yen. | 2.60 | 1.63 |
| male | 1 = male, and 0 = female. | 0.50 | 0.50 |
| child | 1 = Have experience in raising children, and 0 = No experience in raising children. | 0.51 | 0.50 |
| social interest | Degree of interest in political and social issues: 1 = have no interest at all to 5 = have a strong interest. | 3.59 | 0.97 |
| pure donation | Willing to donate to a region without receiving a gift from the region: 1 = yes, and 0 = no. | 0.54 | 0.50 |
| gifted donation | Willing to donate to a region if a gift is provided as a return from the region: 1 = yes, and 0 = no. | 0.32 | 0.47 |
| The Frequency (1 (Never) to 5 (Very Often)) of Carrying Out the Following Acts: | Variable Name | |
|---|---|---|
| 1 | You have told a stranger the way to a destination when asked by him or her. | Street |
| 2 | You have donated money to charity. | Charity |
| 3 | You have helped open and close an elevator door for a stranger when you were near the door. | Elevator |
| 4 | You have corrected the right price when a salesperson mistakenly charged a cheaper amount. | Change |
| 5 | You have lent something to a stranger when asked by him or her. | Lend |
| 6 | You have provided information to a stranger (for example, how to buy a ticket) or knowledge (this could be either face to face or via the internet) to help him or her. | Information |
| 7 | You have participated in volunteer activities. | Volunteer |
| 8 | You have helped a disabled or elderly stranger to cross streets. | Disabled |
| 9 | You have given up your seat on a train or a bus to a disabled or elderly stranger. | Seat |
| 10 | You have picked up a stranger’s bicycle when it was laid down on the ground. | Bicycle |
| Avg. Interitem Corr. | |||
|---|---|---|---|
| Street | 0.85 | 0.85 | 0.38 |
| Charity | 0.85 | 0.85 | 0.39 |
| Elevator | 0.85 | 0.86 | 0.4 |
| Change | 0.85 | 0.85 | 0.38 |
| Lend | 0.85 | 0.85 | 0.39 |
| Information | 0.84 | 0.85 | 0.38 |
| Volunteer | 0.85 | 0.85 | 0.39 |
| Disabled | 0.84 | 0.84 | 0.38 |
| Seat | 0.84 | 0.84 | 0.37 |
| Bicycle | 0.85 | 0.85 | 0.38 |
| Test Types | Coefficient |
|---|---|
| Cronbach’s | 0.86 |
| Revell’s | 0.78 |
| McDonald’s | 0.67 |
| Variables | Freq. | Percentage | |
|---|---|---|---|
| Age | 20–29 | 406 | 15.93 |
| 30–39 | 499 | 19.58 | |
| 40–49 | 582 | 22.83 | |
| 50–59 | 488 | 19.14 | |
| 60–69 | 571 | 22.40 | |
| Education | Graduated junior high school | 17 | 0.67 |
| Graduate high school | 511 | 20.07 | |
| Earned a bachelor’s degree | 519 | 20.38 | |
| Graduated Jr. college | 46 | 1.81 | |
| Unfinished undergraduate | 1237 | 48.59 | |
| Earned a graduate degree | 216 | 8.48 | |
| Income | Below 2 million yen | 840 | 33.08 |
| 2–4 million yen | 583 | 22.96 | |
| 4–6 million yen | 490 | 19.30 | |
| 6–8 million yen | 289 | 11.38 | |
| 8–10 million yen | 152 | 5.99 | |
| 10–12 million yen | 87 | 3.43 | |
| Above 12 million yen | 98 | 3.86 | |
| Male | Male | 1282 | 50.29 |
| Female | 1267 | 49.71 | |
| Child | Have children experience | 1292 | 50.69 |
| Have no children experience | 1257 | 49.31 | |
| SRAS | Global Environment | Local Environment | |||||||
|---|---|---|---|---|---|---|---|---|---|
| Coef. | Std. Err. | z | Coef. | Std. Err. | z | Coef. | Std. Err. | z | |
| SRAS | na | na | na | 0.086 *** | 0.030 | 2.83 | 0.118 *** | 0.031 | 3.85 |
| global env. | 0.094 *** | 0.036 | 2.66 | na | na | na | 1.181 *** | 0.033 | 35.62 |
| local env. | 0.135 *** | 0.036 | 3.75 | 1.202 *** | 0.034 | 35.84 | na | na | na |
| age | −0.002 | 0.018 | −0.13 | 0.073 *** | 0.019 | 3.83 | −0.012 | 0.019 | −0.61 |
| edu | 0.050 *** | 0.017 | 2.96 | 0.005 | 0.018 | 0.29 | 0.054 *** | 0.018 | 3.00 |
| income | 0.072 *** | 0.015 | 4.97 | −0.010 | 0.015 | −0.64 | −0.023 | 0.016 | −1.47 |
| male | −0.186 *** | 0.047 | −3.98 | −0.175 *** | 0.050 | −3.53 | −0.100 ** | 0.050 | −2.01 |
| child | 0.199 *** | 0.048 | 4.13 | −0.026 | 0.051 | −0.51 | −0.007 | 0.051 | −0.14 |
| social interest | 0.167 *** | 0.026 | 6.43 | 0.280 *** | 0.027 | 10.24 | 0.161 *** | 0.027 | 5.87 |
| pure donation | 0.611 *** | 0.069 | 8.90 | 0.114 | 0.073 | 1.57 | 0.210 *** | 0.073 | 3.01 |
| gifted donation | 0.291 *** | 0.071 | 4.09 | −0.035 | 0.075 | −0.46 | 0.107 | 0.075 | 1.42 |
| Number of Obs. | 2539 | 2539 | 2539 | ||||||
| Pseudo R-Squared | 0.076 | 0.327 | 0.318 | ||||||
© 2020 by the author. Licensee MDPI, Basel, Switzerland. This article is an open access article distributed under the terms and conditions of the Creative Commons Attribution (CC BY) license (http://creativecommons.org/licenses/by/4.0/).
Share and Cite
Aruga, K. Is Environmental Awareness a Good Predictor of an Individual’s Altruism Level? Sustainability 2020, 12, 7929. https://doi.org/10.3390/su12197929
Aruga K. Is Environmental Awareness a Good Predictor of an Individual’s Altruism Level? Sustainability. 2020; 12(19):7929. https://doi.org/10.3390/su12197929
Chicago/Turabian StyleAruga, Kentaka. 2020. "Is Environmental Awareness a Good Predictor of an Individual’s Altruism Level?" Sustainability 12, no. 19: 7929. https://doi.org/10.3390/su12197929
APA StyleAruga, K. (2020). Is Environmental Awareness a Good Predictor of an Individual’s Altruism Level? Sustainability, 12(19), 7929. https://doi.org/10.3390/su12197929
