Why Not Green Marketing? Determinates of Consumers’ Intention to Green Purchase Decision in a New Developing Nation
Abstract
1. Introduction
2. Literature Review and Hypothesis Development
2.1. Why Green Marketing?
2.2. Green Consumer
2.3. Green Product and Green Food
2.4. Environmental Concern
2.5. Green Perceived Benefit
2.6. Green Perceived Quality
2.7. Green Awareness of Price
2.8. Green Willingness to Purchase
2.9. Green Future Estimation
2.10. Green Purchase Decision
2.11. Theory of Planned Behavior (TPB) and Research Model
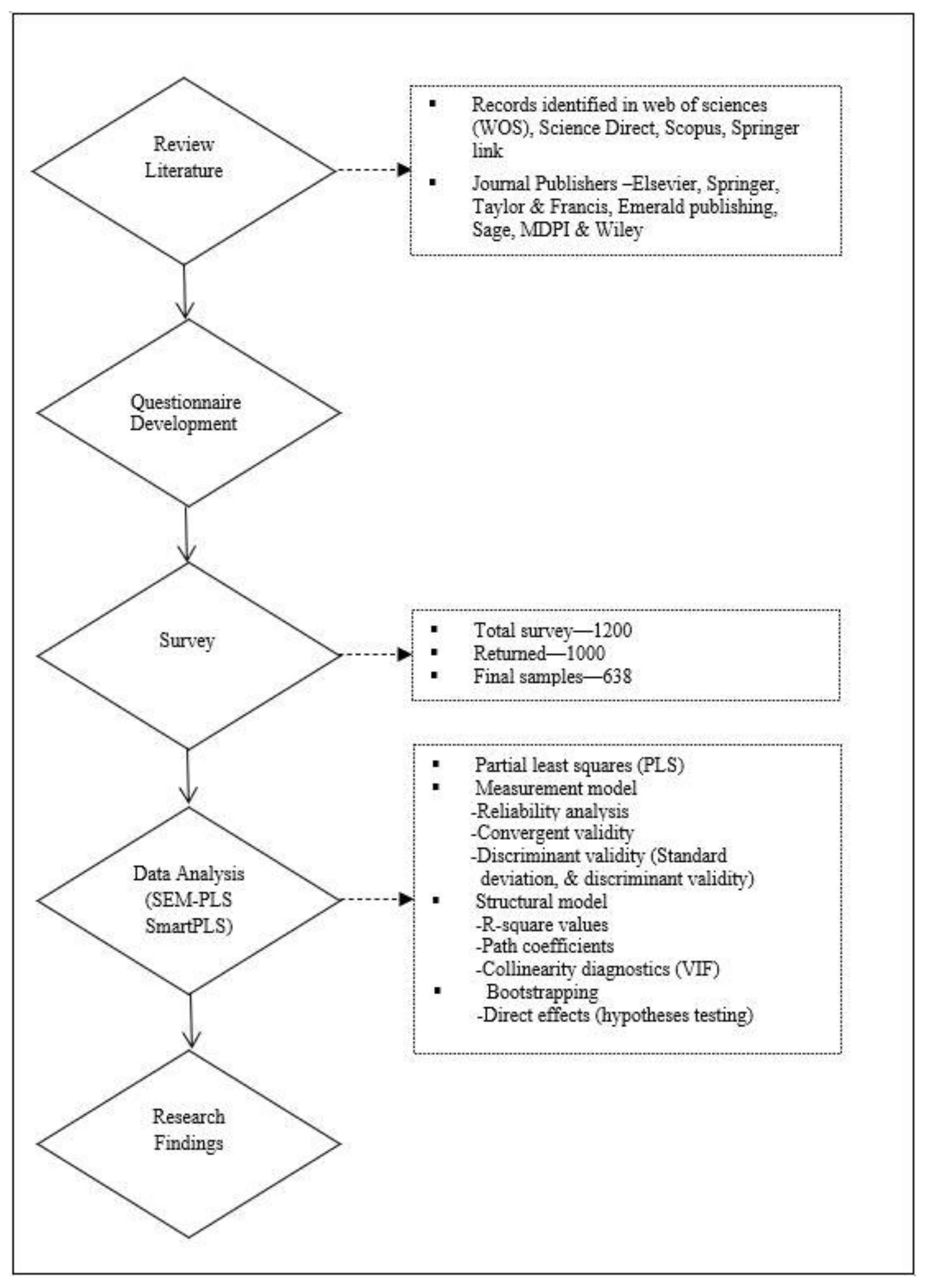
3. Methodology
3.1. Participants and Procedure
3.2. Questionnaire Development and Instrument
3.3. Statistical Technique
3.4. Partial Least Squares
3.5. Measurement Model
3.6. Reliability Analysis
3.7. Convergent Validity
3.8. Discriminant Validity
3.9. Structural Model
4. Discussions
5. Conclusions and Recommendations
6. Limitations and Further Research
Author Contributions
Funding
Acknowledgments
Conflicts of Interest
Abbreviations
| EC | Environmental Concern |
| GPB | Green Perceived Benefits |
| GAP | Green Awareness of Price |
| GWP | Green Willingness to Purchase |
| GFE | Green Future Estimation |
| GPQ | Green Perceived Quality |
| GPD | Green Purchasing Decision |
| TPB | Theory of Planned Behavior |
| PLS-SEM | Partial Least Squares-Structural Equation Modelling |
Appendix A
| Determinants | Items |
|---|---|
| Environmental Concern | I am a strong believer in the preservation of nature and wildlife |
| I am pleased to purchase green products | |
| I consider the potential environmental impact of my purchase when making many of my decisions | |
| I would describe myself as an environmentally responsible person | |
| Green Perceived Benefits | I think green products are good for health. |
| Green products have well to test and flavor | |
| Green Perceived Quality | Green products have an acceptable standard of quality. |
| The green products appear to be durable | |
| The green products appear to be reliable | |
| Green Awareness of Price | I would choose environmentally friendly goods and services, campaigns or companies if the price were the same |
| If the price of green products is less expensive, I’m willing to change my lifestyle by purchasing Green products | |
| Green Willingness to Purchase | I am interested in purchasing a green product if these will be available in Bangladesh |
| I’m willing to pay more for environmentally friendly products | |
| Green Future Estimation | I think that green marketing will be an excellent idea for our country |
| I think that green product will be popular in our country | |
| I think that green marketing will be more effective and give a better product than regular marketing | |
| I think a consumer will accept the green products in the future | |
| Green Purchasing Decision | I prefer to buy environmentally friendly products than non-green products |
| I would like to increase the purchase/use of green products for me | |
| I buy green products even if they are more expensive than the non-green ones. | |
| I would recommend the green products to my friends and others |
References
- Welford, R. Hijacking Environmentalism; Earthscan: London, UK, 2000. [Google Scholar]
- Martínez, M.P.; Cremasco, C.P.; Filho, L.G.; Junior, S.S.B.; Bednaski, A.V.; Quevedo-Silva, F.; Correa, C.M.; Da Silva, D.; Padgett, R.C.M.L.; Gabriel, C.P.C. Fuzzy inference system to study the behavior of the green consumer facing the perception of greenwashing. J. Clean. Prod. 2020, 242, 116064. [Google Scholar] [CrossRef]
- Dangelico, R.M.; Vocalelli, D. “Green marketing”: An analysis of definitions, strategy steps, and tools through a systematic review of the literature. J. Clean. Prod. 2017, 165, 1263–1279. [Google Scholar] [CrossRef]
- Polonsky, M.J. Transformative green marketing: Impediments and opportunities. J. Bus. Res. 2011, 64, 1311–1319. [Google Scholar] [CrossRef]
- Sana, S.S. Price competition between green and non green products under corporate social responsible firm. J. Retail. Consum. Serv. 2020, 55, 102118. [Google Scholar] [CrossRef]
- Kassaye, W.W. Green dilemma. Mark. Intell. Plan. 2001, 19, 444–455. [Google Scholar] [CrossRef]
- Hasan, M.; Nekmahmud, M.; Yajuan, L.; Patwary, M.A. Green business value chain: A systematic review. Sustain. Prod. Consum. 2019, 20, 326–339. [Google Scholar] [CrossRef]
- Vafaei, S.A.; Görgényi-Hegyes, E.; Fekete-Farkas, M. The role of social media and marketing in building sustainability orientation. In Management 2016: International Business and Management, Domestic Particularities and Emerging Markets in the Light of Research; Stefko, R., Frankovsky, M., Fedorko, R., Eds.; University of Prešov: Presov, Slovakia, 2016; pp. 433–439. [Google Scholar]
- Lam, J.S.L.; Li, K.X. Green port marketing for sustainable growth and development. Transp. Policy 2019, 84, 73–81. [Google Scholar] [CrossRef]
- Headey, D.D.; Hoddinott, J. Agriculture, nutrition and the green revolution in Bangladesh. Agric. Syst. 2016, 149, 122–131. [Google Scholar] [CrossRef]
- Sarker, M.A.; Itohara, Y. Organic farming and poverty elimination: A suggested model for Bangladesh. J. Org. Syst. 2008, 3, 68–79. [Google Scholar] [CrossRef]
- Nekmahmud, M.; Rahman, S. Measuring the competitiveness factors in telecommunication markets. In Competitiveness in Emerging Markets; Springer: Cham, Switzerland, 2018. [Google Scholar] [CrossRef]
- Han, H.; Hsu, L.T.; Sheu, C. Application of the Theory of Planned Behavior to green hotel choice: Testing the effect of environmental friendly activities. Tour. Manag. 2010, 31, 325–334. [Google Scholar] [CrossRef]
- Magnusson, M.K.; Arvola, A.; Hursti, U.K.K.; Aberg, L.; Sjödén, P.O. Choice of organic foods is related to perceived consequences for human health and to environmentally friendly behaviour. Appetite 2003, 40, 109–117. [Google Scholar] [CrossRef]
- Hughner, R.S.; McDonagh, P.; Prothero, A.; Shultz, C.J.; Stanton, J. Who are organic food consumers? A compilation and review of why people purchase organic food. J. Consum. Behav. 2007, 6, 94–110. [Google Scholar] [CrossRef]
- Lockie, S.; Lyons, K.; Lawrence, G.; Mummery, K. Eating ’Green’: Motivations behind organic food consumption in Australia. Sociol. Rural. 2002, 42, 23–40. [Google Scholar] [CrossRef]
- Yadav, R.; Pathak, G.S. Young consumers’ intention towards buying green products in a developing nation: Extending the theory of planned behavior. J. Clean. Prod. 2016, 135, 732–739. [Google Scholar] [CrossRef]
- Akehurst, G.; Afonso, C.; Gonçalves, H.M. Re-examining green purchase behaviour and the green consumer profile: New evidences. Manag. Decis. 2012, 50, 972–988. [Google Scholar] [CrossRef]
- Anisimova, T.; Sultan, P. The Role of Brand Communications in Consumer Purchases of Organic Foods: A Research Framework. J. Food Prod. Mark. 2014, 20, 511–532. [Google Scholar] [CrossRef]
- Lee, H.J. Individual and situational determinants of U.S. consumers’ buying behavior of organic foods. J. Int. Food Agribus. Mark. 2016, 28, 1–15. [Google Scholar] [CrossRef]
- Anisimova, T. Integrating multiple factors affecting consumer behavior toward organic foods: The role of healthism, hedonism, and trust in consumer purchase intentions of organic foods. J. Food Prod. Mark. 2016, 22, 809–823. [Google Scholar] [CrossRef]
- Ko, S.B.; Jin, B.E. Predictors of purchase intention toward green apparel products. J. Fash. Mark. Manag. Int. J. 2017, 21, 70–87. [Google Scholar] [CrossRef]
- Cheung, M.F.Y.; To, W.M. An extended model of value-attitude-behavior to explain Chinese consumers’ green purchase behavior. J. Retail. Consum. Serv. 2019, 50, 145–153. [Google Scholar] [CrossRef]
- Kautish, P.; Paul, J.; Kautish, P. The moderating influence of environmental consciousness and recycling intentions on green purchase behavior. J. Clean. Prod. 2019, 228, 1425–1436. [Google Scholar] [CrossRef]
- Nagy-Pércsi, K.; Fogarassy, C. Important influencing and decision factors in organic food purchasing in Hungary. Sustainability 2019, 11, 6075. [Google Scholar] [CrossRef]
- Vafaei, S.A.; Azmoon, I.; Fekete-Farkas, M. The impact of perceived sustainable marketing policies on green customer satisfaction. Pol. J. Manag. Stud. 2019, 19, 475–491. [Google Scholar] [CrossRef]
- Fogarassy, C.; Nagy-Pércsi, K.; Ajibade, S.; Gyuricza, C.; Ymeri, P. Relations between circular economic “principles” and organic food purchasing behavior in Hungary. Agronomy 2020, 10, 616. [Google Scholar] [CrossRef]
- Xu, X.; Hua, Y.; Wang, S.; Xu, G. Determinants of consumer’s intention to purchase authentic green furniture. Resour. Conserv. Recycl. 2020, 156, 104721. [Google Scholar] [CrossRef]
- Tong, Q.; Anders, S.; Zhang, J.; Zhang, L. The roles of pollution concerns and environmental knowledge in making green food choices: Evidence from Chinese consumers. Food Res. Int. 2020, 130, 108881. [Google Scholar] [CrossRef]
- Hossain, A.; Khan, Y.H. Green marketing mix effect on consumers buying decisions in Bangladesh. Mark. Manag. Innov. 2018, 4, 298–306. [Google Scholar] [CrossRef]
- Adrita, U.W. Consumers’ actual purchase behaviour towards green product: A study on Bangladesh. Int. J. Bus. Innov. Res. 2020, 21, 311–323. [Google Scholar] [CrossRef]
- Wray-Lake, L.; Flanagan, C.A.; Osgood, D.W. Examining trends in adolescent environmental attitudes, beliefs, and behaviors across three decades. Environ. Behav. 2009, 42, 61–85. [Google Scholar] [CrossRef]
- UNFPA. Annual Report: A Year of Renewal. 2014. Available online: https://www.unfpa.org/annual-report-2014 (accessed on 20 March 2020).
- World Bank. World Development Indicators 2017; World Bank: Washington, DC, USA, 2017; Available online: https://openknowledge.worldbank.org/handle/10986/26447 (accessed on 23 September 2020).
- Joshi, Y.; Rahman, Z. Predictors of young consumer’s green purchase behaviour. Manag. Environ. Qual. Int. J. 2016, 27, 452–472. [Google Scholar] [CrossRef]
- Zhu, Q.; Sarkis, J. Green marketing and consumerism as social change in China: Analyzing the literature. Int. J. Prod. Econ. 2016, 181, 289–302. [Google Scholar] [CrossRef]
- Pride, W.M.; Ferrell, O.C. Marketing, 8th ed.; Houghton Mifflin: Boston, MA, USA, 1993. [Google Scholar]
- Peattie, K. Golden goose or wild goose? The hunt for the green consumer. Bus. Strat. Environ. 2001, 10, 187–199. [Google Scholar] [CrossRef]
- Prakash, A. Green marketing, public policy and managerial strategies. Bus. Strat. Environ. 2002, 11, 285–297. [Google Scholar] [CrossRef]
- Peattie, K.; Crane, A. Green marketing: Legend, myth, farce or prophesy? Qual. Mark. Res. Int. J. 2005, 8, 357–370. [Google Scholar] [CrossRef]
- Polonsky, M.J.; Rosenberger, P.J., III. Reevaluating green marketing: A strategic approach. Bus. Horiz. 2001, 44, 21–30. [Google Scholar] [CrossRef]
- Mishra, P.; Sharma, P. Green marketing: Challenges and opportunities for business. BVIMR Manag. Edge 2014, 7, 78–86. [Google Scholar]
- Wymer, W.; Polonsky, M.J. The limitations and potentialities of green marketing. J. Nonprofit Public Sect. Mark. 2015, 27, 239–262. [Google Scholar] [CrossRef]
- Papadas, K.K.; Avlonitis, G.J.; Carrigan, M.; Piha, L. The interplay of strategic and internal green marketing orientation on competitive advantage. J. Bus. Res. 2019, 104, 632–643. [Google Scholar] [CrossRef]
- Moravcikova, D.; Krizanova, A.; Majerova, J.; Rypakova, M. Green marketing as the source of the competitive advantage of the business. Sustainability 2017, 9, 2218. [Google Scholar] [CrossRef]
- Fliegelman, J.E. The next generation of greenwash: Diminishing consumer confusion through a national eco-labeling program. Fordham Urb. LJ 2010, 37, 1001. [Google Scholar]
- Kotler, P.; Armstrong, G. Principles of Marketing; Pearson Education: London, UK, 2010. [Google Scholar]
- Davari, A.; Strutton, D. Marketing mix strategies for closing the gap between green consumers’ pro-environmental beliefs and behaviors. J. Strat. Mark. 2014, 22, 563–586. [Google Scholar] [CrossRef]
- Ranaei Kordshouli, H.; Ebrahimi, A.; Allahyari Bouzanjani, A. An analysis of the green response of consumers to the environmentally friendly behaviour of corporations. Iran. J. Manag. Stud. 2015, 8, 315–334. [Google Scholar]
- Peattie, K.; Charter, M. Green marketing. Mark. Book 2003, 5, 726–755. [Google Scholar]
- Bonini, S.; Oppenheim, J. Cultivating the green consumer. Stanf. Soc. Innov. Rev. 2008, 6, 56–61. [Google Scholar]
- Ottman, J.; Books, N.B. Green marketing: Opportunity for innovation. J. Sustain. Prod. Des. 1998, 60, 136–667. [Google Scholar]
- Sharma, A.; Iyer, G.R. Resource-constrained product development: Implications for green marketing and green supply chains. Ind. Mark. Manag. 2012, 41, 599–608. [Google Scholar] [CrossRef]
- Singh, G. Green: The new colour of marketing in India. ASCI J. Manag. 2013, 42, 52–72. [Google Scholar]
- Scott, L.; Ellis, D. Consumer understanding, perceptions and behaviours with regard to environmentally friendly packaging in a developing nation. Int. J. Consum. Stud. 2014, 38, 642–649. [Google Scholar] [CrossRef]
- Qi, X.; Ploeger, A.; Angelika, A.P. Explaining consumers’ intentions towards purchasing green food in Qingdao, China: The amendment and extension of the theory of planned behavior. Appetite 2019, 133, 414–422. [Google Scholar] [CrossRef]
- Katt, F.; Meixner, O. A systematic review of drivers influencing consumer willingness to pay for organic food. Trends Food Sci. Technol. 2020, 100, 374–388. [Google Scholar] [CrossRef]
- Peattie, K. Environmental Marketing Management: Meeting the Green Challenge; Financial Times Management: Harlow, UK, 1995. [Google Scholar]
- Luchs, M.G.; Naylor, R.W.; Irwin, J.R.; Raghunathan, R.; Reczek, R.W. The Sustainability liability: Potential negative effects of ethicality on product preference. J. Mark. 2010, 74, 18–31. [Google Scholar] [CrossRef]
- Hong, Z.; Li, M.; Han, X.; He, X. Innovative green product diffusion through word of mouth. Transp. Res. Part. E Logist. Transp. Rev. 2020, 134, 101833. [Google Scholar] [CrossRef]
- Nekmahmud, M. Environmental marketing: Tourists purchase behavior response on green products. In Tourism Marketing in Bangladesh: An Introduction; Hassan, A., Ed.; Routledge: London, UK, 2020. [Google Scholar] [CrossRef]
- Albino, V.; Balice, A.; Dangelico, R.M. Environmental strategies and green product development: An overview on sustainability-driven companies. Bus. Strat. Environ. 2009, 18, 83–96. [Google Scholar] [CrossRef]
- Janssen, M.A.; Jager, W. Stimulating diffusion of green products. J. Evol. Econ. 2002, 12, 283–306. [Google Scholar] [CrossRef]
- Charter, M. Greener Marketing: A Greener Marketing Approach to Business; Taylor & Francis: Sheffield, UK, 1992. [Google Scholar]
- Teng, P.K.; Rezai, G.; Mohamed, Z.; Shamsudin, M.N. Consumers intention to purchase green foods in Malaysia. In Proceedings of the 2011 International Conference on Innovation, Management and Service, IPEDR, Singapore, 16–18 September 2011; Volume 14, pp. 112–118. [Google Scholar]
- Rana, J.; Paul, J. Consumer behavior and purchase intention for organic food: A review and research agenda. J. Retail. Consum. Serv. 2017, 38, 157–165. [Google Scholar] [CrossRef]
- Bickart, B.A.; Ruth, J.A. Green eco-seals and advertising persuasion. J. Advert. 2012, 41, 51–67. [Google Scholar] [CrossRef]
- Magnier, L.; Crié, D. Communicating packaging eco-friendliness. Int. J. Retail. Distrib. Manag. 2015, 43, 350–366. [Google Scholar] [CrossRef]
- Paul, J.; Modi, A.; Patel, J. Predicting green product consumption using theory of planned behavior and reasoned action. J. Retail. Consum. Serv. 2016, 29, 123–134. [Google Scholar] [CrossRef]
- Tompa, O.; Lakner, Z.; Oláh, J.; Popp, J.; Kiss, A. Is the sustainable choice a healthy choice?—Water footprint consequence of changing dietary patterns. Nutrients 2020, 12, 2578. [Google Scholar] [CrossRef]
- Chen, A.; Peng, N. Green hotel knowledge and tourists’ staying behavior. Ann. Tour. Res. 2012, 39, 2211–2216. [Google Scholar] [CrossRef]
- Bashir, S.; Khwaja, M.G.; Turi, J.A.; Toheed, H. Extension of planned behavioral theory to consumer behaviors in green hotel. Heliyon 2019, 5, 02974. [Google Scholar] [CrossRef] [PubMed]
- Kim, Y.; Choi, S.M. Antecedents of green purchase behavior: An examination of collectivism, environmental concern, and PCE. Adv. Consum. Res. 2005, 32, 592–599. [Google Scholar]
- Arısal, I.; Atalar, T. The exploring relationships between environmental concern, collectivism and ecological purchase intention. Procedia Soc. Behav. Sci. 2016, 235, 514–521. [Google Scholar] [CrossRef]
- Chandon, P.; Wansink, B.; Laurent, G. A benefit congruency framework of sales promotion effectiveness. J. Mark. 2000, 64, 65–81. [Google Scholar] [CrossRef]
- Ries, R.; Bilec, M.; Gokhan, N.M.; Needy, K.L. The economic benefits of green buildings: A comprehensive case study. Eng. Econ. 2006, 51, 259–295. [Google Scholar] [CrossRef]
- Islam, M.S.; Zabin, I. Consumer’s attitude towards purchasing green food. Eur. J. Bus. Manag. 2013, 5, 35–43. [Google Scholar]
- De Silva, M.; Wang, P.; Kuah, A.T. Why wouldn’t green appeal drive purchase intention? Moderation effects of consumption values in the UK and China. J. Bus. Res. 2020. [Google Scholar] [CrossRef]
- Zeithaml, V.A. Consumer perceptions of price, quality, and value: A means-end model and synthesis of evidence. J. Mark. 1988, 52, 2–22. [Google Scholar] [CrossRef]
- Brucks, M.; Zeithaml, V.A.; Naylor, G. Price and brand name as indicators of quality dimensions for consumer durables. J. Acad. Mark. Sci. 2000, 28, 359–374. [Google Scholar] [CrossRef]
- Snoj, B.; Korda, A.P.; Mumel, D. The relationships among perceived quality, perceived risk and perceived product value. J. Prod. Brand Manag. 2004, 13, 156–167. [Google Scholar] [CrossRef]
- Wang, J.; Tao, J.; Chu, M. Behind the label: Chinese consumers’ trust in food certification and the effect of perceived quality on purchase intention. Food Control 2020, 108, 106825. [Google Scholar] [CrossRef]
- Parasuraman, A.; Zeithaml, V.A.; Berry, L.L. Servqual: A multiple-item scale for measuring consumer perc. J. Retail. 1988, 64, 12. [Google Scholar]
- Kim, C.; Zhao, W.; Yang, K.H. An empirical study on the integrated framework of e-CRM in online shopping. J. Electron. Commer. Organ. 2008, 6, 1–19. [Google Scholar] [CrossRef]
- Chen, Y.S.; Chang, C.H. Towards green trust: The influences of green perceived quality, green perceived risk, and green satisfaction. Manag. Decis. 2013, 51, 63–82. [Google Scholar] [CrossRef]
- Mahesh, N. Consumer’s perceived value, attitude and purchase intention of green products. Manag. Insight 2013, 9, 37–43. [Google Scholar]
- Grove, S.J.; Fisk, R.P.; Pickett, G.M.; Kangun, N. Going green in the service sector. Eur. J. Mark. 1996, 30, 56–66. [Google Scholar] [CrossRef]
- Henryks, J.; Cooksey, R.; Wright, V. Organic food at the point of purchase: Understanding inconsistency in consumer choice patterns. J. Food Prod. Mark. 2014, 20, 452–475. [Google Scholar] [CrossRef]
- Dewald, B.; Bruin, B.J.; Jang, Y.J. US consumer attitudes towards “green” restaurants. Anatolia 2013, 25, 171–180. [Google Scholar] [CrossRef]
- Ghosh, S.; Datta, B.; Barai, P. Modeling and promoting organic food purchase. J. Food Prod. Mark. 2016, 22, 623–642. [Google Scholar] [CrossRef]
- Lim, W.M.; Yong, J.L.S.; Suryadi, K. Consumers’ perceived value and willingness to purchase organic food. J. Glob. Mark. 2014, 27, 298–307. [Google Scholar] [CrossRef]
- Essoussi, L.H.; Linton, J.D. New or recycled products: How much are consumers willing to pay? J. Consum. Mark. 2010, 27, 458–468. [Google Scholar] [CrossRef]
- Rehber, E.; Turhan, S. Prospects and challenges for developing countries in trade and production of organic food and fibers. Br. Food J. 2002, 104, 371–390. [Google Scholar] [CrossRef]
- Hasselbach, J.L.; Roosen, J. Consumer Heterogeneity in the Willingness to Pay for Local and Organic Food. J. Food Prod. Mark. 2015, 21, 608–625. [Google Scholar] [CrossRef]
- Smed, S.; Jensen, J.D. Demand for Low Fat Dairy Products–Demand for Healthiness or Taste; Edwards Elgar Publishing: Cheltenham, UK, 2003. [Google Scholar]
- Morel, M.; Kwakye, F. Green Marketing: Consumers’ Attitude towards Eco-Friendly Products and Purchase Intention in the Fast Moving Consumer Goods (FMCG) Sector. Master’s Thesis, Umeå University, Umeå, Sweden, 2012. [Google Scholar]
- Teng, C.C.; Wang, Y.M. Decisional factors driving organic food consumption. Br. Food J. 2015, 117, 1066–1081. [Google Scholar] [CrossRef]
- Suki, N.M.; Suki, N.M. Examination of peer influence as a moderator and predictor in explaining green purchase behaviour in a developing country. J. Clean. Prod. 2019, 228, 833–844. [Google Scholar] [CrossRef]
- Ajzen, I. The theory of planned behavior. Organ. Behav. Hum. Decis. Process. 1991, 50, 179–211. [Google Scholar] [CrossRef]
- Schlegelmilch, B.B.; Bohlen, G.M.; Diamantopoulos, A. The link between green purchasing decisions and measures of environmental consciousness. Eur. J. Mark. 1996, 30, 35–55. [Google Scholar] [CrossRef]
- Carfora, V.; Catellani, P.; Caso, D.; Conner, M. How to reduce red and processed meat consumption by daily text messages targeting environment or health benefits. J. Environ. Psychol. 2019, 65, 101319. [Google Scholar] [CrossRef]
- Feil, A.A.; Cyrne, C.C.D.S.; Sindelar, F.C.W.; Barden, J.E.; Dalmoro, M. Profiles of sustainable food consumption: Consumer behavior toward organic food in southern region of Brazil. J. Clean. Prod. 2020, 258, 120690. [Google Scholar] [CrossRef]
- Schiffman, L.G.; Kanuk, L.L. Consumer Behavior, 4th ed.; Prentice-Hall: Englewood Cliffs, NJ, USA, 1994. [Google Scholar]
- Lin, J.; Guo, J.; Turel, O.; Liu, S. Purchasing organic food with social commerce: An integrated food-technology consumption values perspective. Int. J. Inf. Manag. 2020, 51, 102033. [Google Scholar] [CrossRef]
- Lee, K. Predictors of Sustainable Consumption among Young Educated Consumers in Hong Kong. J. Int. Consum. Mark. 2014, 26, 217–238. [Google Scholar] [CrossRef]
- Sobhanifard, Y.; Griffith, C. Hybrid modelling of the consumption of organic foods in Iran using exploratory factor analysis and an artificial neural network. Br. Food J. 2018, 120, 44–58. [Google Scholar] [CrossRef]
- Nguyen, N.; Lobo, A.; Nguyen, B.K. Young consumers’ green purchase behaviour in an emerging market. J. Strat. Mark. 2017, 26, 1–18. [Google Scholar] [CrossRef]
- Wang, H.-J. Determinants of consumers’ purchase behaviour towards green brands. Serv. Ind. J. 2017, 37, 896–918. [Google Scholar] [CrossRef]
- Bossle, M.B.; De Barcellos, M.D.; Vieira, L.M. Why food companies go green? The determinant factors to adopt eco-innovations. Br. Food J. 2016, 118, 1317–1333. [Google Scholar] [CrossRef]
- Misra, R.; Singh, D. An analysis of factors affecting growth of organic food. Br. Food J. 2016, 118, 2308–2325. [Google Scholar] [CrossRef]
- Uddin, S.M.F.; Khan, M.N. Exploring green purchasing behaviour of young urban consumers. S. Asian J. Glob. Bus. Res. 2016, 5, 85–103. [Google Scholar] [CrossRef]
- Cheung, R.; Lau, M.M.; Lam, A.Y. Factors affecting consumer attitude towards organic food: An empirical study in Hong Kong. J. Glob. Sch. Mark. Sci. 2015, 25, 216–231. [Google Scholar] [CrossRef]
- Khare, A. Antecedents to green buying behaviour: A study on consumers in an emerging economy. Mark. Intell. Plan. 2015, 33, 309–329. [Google Scholar] [CrossRef]
- Kumar, P.; Ghodeswar, B.M. Factors affecting consumers’ green product purchase decisions. Mark. Intell. Plan. 2015, 33, 330–347. [Google Scholar] [CrossRef]
- Wang, S.T. Consumer characteristics and social influence factors on green purchasing intentions. Mark. Intell. Plan. 2014, 32, 738–753. [Google Scholar] [CrossRef]
- Tang, Y.; Wang, X.; Lu, P. Chinese consumer attitude and purchase intent towards green products. Asia-Pac. J. Bus. Adm. 2014, 6, 84–96. [Google Scholar] [CrossRef]
- Chen, J.; Lobo, A. Organic food products in China: Determinants of consumers’ purchase intentions. Int. Rev. Retail. Distrib. Consum. Res. 2012, 22, 293–314. [Google Scholar] [CrossRef]
- Chen, Y.S.; Chang, C.H. Enhance green purchase intentions. Manag. Decis. 2012, 50, 502–520. [Google Scholar] [CrossRef]
- Suh, B.W.; Eves, A.; Lumbers, M. Consumers’ attitude and understanding of organic food: The case of South Korea. J. Foodserv. Bus. Res. 2012, 15, 49–63. [Google Scholar] [CrossRef]
- Quah, S.H.; Tan, A.K.G. Consumer purchase decisions of organic food products: An ethnic analysis. J. Int. Consum. Mark. 2009, 22, 47–58. [Google Scholar] [CrossRef]
- Ajzen, I. From intentions to actions: A theory of planned behavior. In Action Control; Kuhl, J., Beckmann, J., Eds.; Springer: Berlin, Germany, 1985; pp. 11–39. [Google Scholar]
- Fishbein, M.; Ajzen, I. Belief, Attitude, Intention, and Behavior: An. Introduction to Theory and Research; Addison-Wesley: Reading, MS, USA, 1975. [Google Scholar]
- Montano, D.E.; Kasprzyk, D.; Taplin, S.H. The theory of reasoned action and theory of planned behavior. In Health Behavior and Health Education: Theory, Research, and Practice; Glanz, K., Lewis, F.M., Rimer, B.K., Eds.; John Wiley & Sons: Hoboken, NJ, USA, 1997. [Google Scholar]
- Choi, D.; Johnson, K.K.P. Influences of environmental and hedonic motivations on intention to purchase green products: An extension of the theory of planned behavior. Sustain. Prod. Consum. 2019, 18, 145–155. [Google Scholar] [CrossRef]
- Mkhize, S.; Ellis, D. Creativity in marketing communication to overcome barriers to organic produce purchases: The case of a developing nation. J. Clean. Prod. 2020, 242, 118415. [Google Scholar] [CrossRef]
- Sultan, P.; Tarafder, T.; Pearson, D.; Henryks, J. Intention-behaviour gap and perceived behavioural control-behaviour gap in theory of planned behaviour: Moderating roles of communication, satisfaction and trust in organic food consumption. Food Qual. Prefer. 2020, 81, 103838. [Google Scholar] [CrossRef]
- Stranieri, S.; Ricci, E.C.; Banterle, A. Convenience food with environmentally-sustainable attributes: A consumer perspective. Appetite 2017, 116, 11–20. [Google Scholar] [CrossRef]
- Hair, J.F.; Black, W.C.; Babin, B.J.; Anderson, R.E. Multivariate Data Analysis: A Global Perspective, 7th ed.; Pearson Education Inc.: Upper Saddle River, NJ, USA, 2010. [Google Scholar]
- Kline, P. The New Psychometrics: Science, Psychology, and Measurement; Routledge: New Fetter Lane, London, UK, 1998. [Google Scholar]
- Hair, J.F.H., Jr.; Sarstedt, M.; Hopkins, L.; Kuppelwieser, V.G. Partial least squares structural equation modeling (PLS-SEM). Eur. Bus. Rev. 2014, 26, 106–121. [Google Scholar] [CrossRef]
- Wimmer, F. Environmentally conscious consumer behaviour. In Vahlen’s Big Marketing Dictionary; Diller, H., Ed.; Vahlen: Munich, Germany, 1992; pp. 1167–1169. [Google Scholar]
- Sharma, K.; Bansal, M. Environmental consciousness, its antecedents and behavioural outcomes. J. Indian Bus. Res. 2013, 5, 198–214. [Google Scholar] [CrossRef]
- Mishal, A.; Dubey, R.; Gupta, O.K.; Luo, Z. Dynamics of environmental consciousness and green purchase behaviour: An empirical study. Int. J. Clim. Chang. Strat. Manag. 2017, 9, 682–706. [Google Scholar] [CrossRef]
- Suki, N.M. Young consumer ecological behaviour. Manag. Environ. Qual. Int. J. 2013, 24, 726–737. [Google Scholar] [CrossRef]
- Ha, H.Y.; Janda, S. Predicting consumer intentions to purchase energy-efficient products. J. Consum. Mark. 2012, 29, 461–469. [Google Scholar] [CrossRef]
- Coleman, L.J.; Bahnan, N.; Kelkar, M.; Curry, N. Walking the walk: How the theory of reasoned action explains adult and student intentions to go green. J. Appl. Bus. Res. (JABR) 2011, 27, 107–116. [Google Scholar] [CrossRef]
- Mostafa, M.M. Antecedents of Egyptian consumers’ green purchase intentions: A hierarchical multivariate. J. Int. Consum. Mark. 2006, 19, 97–126. [Google Scholar] [CrossRef]
- Kahle, L.R.; Malhotra, N.K. Marketing Research: An Applied Orientation; Pearson Education: London, UK, 2010; Volume 834. [Google Scholar]
- Becker, J.M. SmartPLS 3, SmartPLS GmbH, Boenningstedt. 2015. Available online: www.smartpls.com/faq/documentation/how-to-cite-smartpls (accessed on 15 November 2019).
- Valaei, N.; Jiroudi, S. Job satisfaction and job performance in the media industry. Asia Pac. J. Mark. Logist. 2016, 28, 984–1014. [Google Scholar] [CrossRef]
- Henseler, J.; Hubona, G.; Ray, P.A. Using PLS path modeling in new technology research: Updated guidelines. Ind. Manag. Data Syst. 2016, 116, 2–20. [Google Scholar] [CrossRef]
- Hair, J.F.; Hult, G.T.M.; Ringle, C.; Sarstedt, M. A Primer on Partial Least Squares Structural Equation Modeling (PLS-SEM); Sage Publications Ltd.: London, UK, 2017. [Google Scholar]
- Chin, W.W. The partial least squares approach to structural equation modeling. Mod. Methods Bus. Res. 1998, 295, 295–336. [Google Scholar]
- Harris, L.C.; Goode, M.M. The four levels of loyalty and the pivotal role of trust: A study of online service dynamics. J. Retail. 2004, 80, 139–158. [Google Scholar] [CrossRef]
- Rigdon, E.E. Choosing PLS path modeling as analytical method in European management research: A realist perspective. Eur. Manag. J. 2016, 34, 598–605. [Google Scholar] [CrossRef]
- Sarstedt, M.; Ringle, C.M.; Hair, J.F. Treating unobserved heterogeneity in PLS-SEM: A multi-method approach. In Partial Least Squares Path Modeling; Springer Science and Business Media LLC: Cham, Switzerland, 2017; pp. 197–217. [Google Scholar]
- Coelho, P.S.; Henseler, J. Creating customer loyalty through service customization. Eur. J. Mark. 2012, 46, 331–356. [Google Scholar] [CrossRef]
- Jöreskog, K.G.; Herman, O.A.W. The ML and PLS techniques for modeling with latent variables: Historical and comparative aspects. In Systems under Indirect Observation, Part I; Herman, O.A.W., Karl, G., Jöreskog, K.G., Eds.; North-Holland: Amsterdam, Holland, 1982; pp. 263–270. [Google Scholar]
- George, D. SPSS for Windows Step by Step: A Simple Study Guide and Reference, 17.0 Update (10/e); Allyn & Bacon: Boston, MA, USA , 2003. [Google Scholar]
- Hair, J.F.; Black, W.C.; Babin, B.J.; Anderson, R.E.; Tatham, R.L. Multivariate Data Analysis, 5th ed.; Prentice Hall: Upper Saddle River, NJ, USA, 1998; pp. 207–219. [Google Scholar]
- Bagozzi, R.; Yi, Y. On the evaluation of structural equation models. J. Acad. Mark. Sci. 1988, 16, 74–94. [Google Scholar] [CrossRef]
- Hair, J.F.; Ringle, C.M.; Sarstedt, M. Partial least squares structural equation modeling: Rigorous applications, better results and higher acceptance. Long Range Plan. 2013, 46, 112. [Google Scholar] [CrossRef]
- Fornell, C.; Larcker, D.F. Structural Equation Models with Unobservable Variables and Measurement Error: Algebra and Statistics. The University of Michigan: Ann Arbor, MI, USA, 1981. [Google Scholar]
- Campbell, D.T.; Fiske, D.W. Convergent and discriminant validation by the multitrait-multimethod matrix. Psychol. Bull. 1959, 56, 81–105. [Google Scholar] [CrossRef]
- Churchill, G.A., Jr. A paradigm for developing better measures of marketing constructs. J. Market. Res. 1979, 16, 64–73. [Google Scholar] [CrossRef]
- Gefen, D.; Straub, D.; Boudreau, M.C. Structural equation modeling and regression: Guidelines for research practice. Commun. Assoc. Inf. Syst. 2000, 4, 7. [Google Scholar] [CrossRef]
- Kling, J.R. Interpreting instrumental variables estimates of the returns to schooling. J. Bus. Econ. Stat. 2001, 19, 358–364. [Google Scholar] [CrossRef]
- Falk, R.F.; Miller, N.B. A Primer for Soft Modeling; University of Akron Press: Akron, OH, USA, 1992. [Google Scholar]
- Rasoolimanesh, S.M.; Dahalan, N.; Jaafar, M. Tourists’ perceived value and satisfaction in a community-based homestay in the Lenggong Valley World Heritage Site. J. Hosp. Tour. Manag. 2016, 26, 72–81. [Google Scholar] [CrossRef]
- Yi, M.Y.; Davis, F.D. Developing and validating an observational learning model of computer software training and skill acquisition. Inf. Syst. Res. 2003, 14, 146–169. [Google Scholar] [CrossRef]
- Flynn, J.; Slovic, P.; Mertz, C.K. Gender, race, and perception of environmental health risks. Risk Anal. 1994, 14, 1101–1108. [Google Scholar] [CrossRef] [PubMed]
- Williams, P.R.D.; Hammitt, J.K. Perceived risks of conventional and organic produce: Pesticides, pathogens, and natural toxins. Risk Anal. 2001, 21, 319–330. [Google Scholar] [CrossRef] [PubMed]
- Wang, Y.; Li, Y.; Zhang, J.; Su, X. How impacting factors affect Chinese green purchasing behavior based on Fuzzy Cognitive Maps. J. Clean. Prod. 2019, 240, 118199. [Google Scholar] [CrossRef]
- Wang, Y.; Wiegerinck, V.; Krikke, H.; Zhang, H. Understanding the purchase intention towards remanufactured product in closed-loop supply chains. Int. J. Phys. Distrib. Logist. Manag. 2013, 43, 866–888. [Google Scholar] [CrossRef]
- Sweeney, J.C.; Soutar, G.N.; Johnson, L.W. The role of perceived risk in the quality-value relationship: A study in a retail environment. J. Retail. 1999, 75, 77–105. [Google Scholar] [CrossRef]
- Chen, T.Y.; Chang, H.S. Reducing consumers’ perceived risk through banking service quality cues in Taiwan. J. Bus. Psychol. 2005, 19, 521–540. [Google Scholar] [CrossRef]
- Loureiro, M.L.; Lotade, J. Do fair trade and eco-labels in coffee wake up the consumer conscience? Ecol. Econ. 2005, 53, 129–138. [Google Scholar] [CrossRef]
- Lung, S. Green Consumerism-the Way to Effectively Differentiate Your Products in Asia-Pacific Market. 2010. Available online: https://ezinearticles.com/?Green-Consumerism---The-Way-to-Effectively-Differentiate-Your-Products-in-Asia-Pacific-Market&id=4875312 (accessed on 21 January 2020).
- D’Souza, C.; Taghian, M.; Lamb, P.; Peretiatko, R. Green decisions: Demographics and consumer understanding of environmental labels. Int. J. Consum. Stud. 2007, 31, 371–376. [Google Scholar] [CrossRef]
- Peano, C.; Baudino, C.; Tecco, N.; Girgenti, V. Green marketing tools for fruit growers associated groups: Application of the Life Cycle Assessment (LCA) for strawberries and berry fruits ecobranding in northern Italy. J. Clean. Prod. 2015, 104, 59–67. [Google Scholar] [CrossRef]
- Huq, S.M.; Alam, S.M.S.; Nekmahmud, M.; Aktar, M.S. Customer’s attitude towards mobile advertising in Bangladesh. Int. J. Bus. Econ. Res. 2015, 4, 281–292. [Google Scholar] [CrossRef]
- Huq, S.M.; Nekmahmud, M.; Aktar, M.S. Unethical practices of advertising in Bangladesh: A case study on some selective products. Int. J. Econ. Finance Manag. Sci. 2016, 4, 10–19. [Google Scholar] [CrossRef]
- Rex, E.L.C.; Baumann, H. Beyond ecolabels: What green marketing can learn from conventional marketing. J. Clean. Prod. 2007, 15, 567–576. [Google Scholar] [CrossRef]
- Grundey, D. Eco-marketing and eco-labelling: Does it ensure customer loyalty in Lithuania? Transform. Bus. Econ. 2009, 8, 152–179. [Google Scholar]
- Chase, D.; Smith, T.K. Consumers keen on green but marketers don’t deliver. Advert. Age 1992, 38, 163–197. [Google Scholar]
- Chkanikova, O.; Lehner, M. Private eco-brands and green market development: Towards new forms of sustainability governance in the food retailing. J. Clean. Prod. 2015, 107, 74–84. [Google Scholar] [CrossRef]



| Authors (Year) | Context (Country) and Major Paper Titles | Variables |
|---|---|---|
| Xu et al. [28] | (China) purpose of purchasing authentic green furniture | environmental consciousness, subjective norm, perceived behavior control, physical health concern, purchase intention, experience, and attitude |
| Feil et al. [102] | (Brazil) consumer behavior toward organic food | socio-economic and demography, motivation, perception, attitude |
| Tong et al. [29] | (China) environmental knowledge in making green food choices | respondent characteristic, purchase intention, willingness to pay |
| Cheung and To [23] | (China) consumers’ green purchasing behavior | attitude green products information, environmental consciousness, green (product quality and purchase behavior) |
| Qi and Ploeger [56] | (China) consumers’ intentions towards purchasing green food | attitude perceived behavioral control, face consciousness, confidence, purchase intention |
| Bashir et al. [72] | (Pakistan) consumer behaviors in the green hotel | personal norms, behavioral intention, environmental consciousness, green consumer behavior |
| Sobhanifard [106] | (Iran) the consumption of organic foods | perceived naturalness, trust, sanitarians, and marketing |
| Nguyen et al. [107] | (Vietnam) green emerging market | attitudes, knowledge, norms, rational, moral, self-identity and perceived barriers, emotional and self-identity |
| Wang [108] | (Taiwan) purchase behavior towards green brands | green perceived value, quality, risk, information costs, and purchase intentions |
| Bong Ko and Jin [22] | (the USA and China) purchase intention toward green apparel products | environmental knowledge, subjective norm |
| Anisimova [21] | (Australia) multiple factors influencing consumer behavior towards organic foods | trust, healthism, hedonism, experiences, and purchase intentions |
| Ghosh et al. [90] | (India: Kolkata) modelling and promoting organic food | price, healthy, availability, eco-friendliness, certification, and brand |
| Lee [20] | (USA) determinant factors of organic foods | health and environmental, price consciousness, children’s age, number of children, and convenience of purchase |
| Joshi and Rahman [35] | (India) young consumer’s green purchase behavior | social influence, environmental knowledge, recycling, ecolabelling, environmental messages, and green purchase |
| Bossle et al. [109] | (Brazil) adoption of eco-innovations and go green | internal variables (environmental capability, managerial concern, and human resources) and external variables (regulatory and normative pressures, cooperation and government support) |
| Misra and Singh [110] | (India) factors affecting the growth of organic food | impeding factors, safety and health, trust and certification, information and availability, and lifestyle |
| Uddin and Khan [111] | (India) exploring green purchasing behavior | environmental attitude, involvement, consciousness, perceived effectiveness, and green purchase behavior |
| Teng and Wang [97] | (Taiwan) factors driving organic food consumption | subjective norm, revealed information, perceived knowledge, trust, attitude, and purchase intention |
| Cheung et al. [112] | (Hong Kong) factors affecting the organic food | environmental concern, organic food knowledge, health consciousness |
| Khare [113] | (India) green buying behavior | previous environmental attitudes, personal and social-environmental norms, self-identity, and buying behavior |
| Kumar and Ghodeswar [114] | (India) consumers’ green product purchase | environmental protection and responsibility, experience, environment friendliness, social appeal, and green product purchase decisions |
| Dewald et al. [89] | (USA) attitudes towards “green” restaurants | willing to pay |
| Anisimova and Sultan [19] | (Sweden) brand communications in organic foods | organic knowledge, consumer trust, and brand communications |
| Lim et al. [91] | (Malaysia) perceived value and willingness to purchase organic food | perceived value and desire to purchase |
| Wang [115] | (Taiwan) factors on green purchasing intentions | external control and collectivism, subjective norms, environmental visibility, and green purchasing intentions |
| Henryks et al. [88] | (Australia) Organic food purchase | availability, habit, visual and olfactory cues, false assumptions, price, and visibility and access to organic food |
| Tang et al. [116] | (China) purchase intent towards green products | environmental concern, consumer attitude, belief, value perception, government policy, and consumer purchase intention |
| Chen and Lobo [117] | (China) determinants of organic products purchase intentions | product, regulatory, lifestyles, beliefs and attitude, ethnocentrism, post-purchase evaluation, purchase intention |
| Chen and Chang [83] | (Taiwan) green electronic products | green satisfaction, perceived quality, risk, and trust |
| Chen and Chang [118] | (Taiwan) green purchase intentions | green trust, perceived value, risk, and purchase intentions |
| Suh, Eves, and Lumbers [119] | (South Korea) understanding of organic food | trust, attitudes, and experience with organic food |
| Akehurst et al. [18] | (Portugal) reexamining green purchase behavior | ecologically conscious, behavior, socio-demographic measures, psychographic measures, green purchase intention, green purchase behavior |
| Quah and Tan [120] | (Malaysia) purchasing decisions of organic food products | socio-demographical and attitudinal factors, food-safety, availability, price, and health-supplement expenditures |
| Variables | Frequency | Percent |
|---|---|---|
| Gender | ||
| Male | 398 | 62.4 |
| Female | 240 | 37.6 |
| Age | ||
| 15–20 years | 102 | 16.0 |
| 20–25 years | 170 | 26.6 |
| 25–30 years | 204 | 32.0 |
| 30–35 years | 162 | 25.4 |
| Level of Education | ||
| Higher secondary | 78 | 12.2 |
| Undergraduate | 50 | 7.8 |
| Graduate | 152 | 23.8 |
| Master/Postgradute | 304 | 47.6 |
| PhD/Others | 54 | 8.5 |
| Average Monthly Income | ||
| 0–120 USD | 200 | 31.3 |
| 120–240 USD | 98 | 15.4 |
| 240–260 USD | 116 | 18.2 |
| >480 USD | 224 | 35.1 |
| Total (Respondents) | 638 | 100 |
| Determinants | Items | Loading | Cranach’s Alpha | rho_A | Composite Reliability a | (AVE) b | VIF (Variance Inflation Factor) | Adapted from Authors |
|---|---|---|---|---|---|---|---|---|
| Environmental Concern | ||||||||
| I am a strong believer in the preservation of nature and wildlife | EC1 | 0.905 | 0.880 | 0.885 | 0.918 | 0.736 | 3.033 | Mishal et al., Sharma and Bansal, Schlegelmilch et al., Wimmer [100,131,132,133] |
| I am pleased to purchase green products | EC2 | 0.811 | 1.879 | |||||
| I consider the potential environmental impact of my purchase when making many of my decisions | EC3 | 0.822 | 1.987 | |||||
| I would describe myself as an environmentally responsible person | EC4 | 0.892 | 2.760 | |||||
| Green Perceived Benefits | ||||||||
| I think green products are good for health. | GPB1 | 0.873 | 0.730 | 0.736 | 0.881 | 0.787 | 1.493 | Islam and Zabin [77] |
| Green products have well to test and flavor | GPB2 | 0.901 | 1.493 | |||||
| Green Perceived Quality | ||||||||
| Green products have an acceptable standard of quality. | GPQ1 | 0.708 | 0.605 | 0.611 | 0.791 | 0.559 | 1.122 | Islam and Zabin [77] |
| The green products appear to be durable | GPQ2 | 0.718 | 1.294 | |||||
| The green products appear to be reliable | GPQ3 | 0.813 | 1.364 | |||||
| Green Awareness of Price | ||||||||
| I would choose environmentally friendly goods and services, campaigns or companies if the price were the same | GAP1 | 0.924 | 0.811 | 0.815 | 0.913 | 0.841 | 1.868 | Suki [134] and focus group discussion |
| If the price of green products is less expensive, I’m willing to change my lifestyle by purchasing Green products | GAP2 | 0.910 | 1.868 | |||||
| Green Willingness to Purchase | ||||||||
| I am interested to purchase a green product if these will be available in Bangladesh | GWP1 | 0.891 | 0.738 | 0.738 | 0.884 | 0.792 | 1.518 | Focus group discussion |
| I’m willing to pay more for environmentally friendly products | GWP2 | 0.889 | 1.518 | |||||
| Green Future Estimation | ||||||||
| I think that green marketing will be an excellent idea for our country | GFE1 | 0.712 | 0.776 | 0.792 | 0.855 | 0.596 | 1.500 | Focus group discussion |
| I think that green product will be popular in our country | GFE2 | 0.786 | 1.690 | |||||
| I think that green marketing will be more effective and give a better product than regular marketing | GFE3 | 0.780 | 1.648 | |||||
| I think a consumer will accept the green products in the future | GFE4 | 0.806 | 1.548 | |||||
| Green Purchasing Decision | ||||||||
| I prefer to buy environmentally friendly products than non-green products | GPD1 | 0.912 | 0.869 | 0.879 | 0.911 | 0.721 | 3.260 | Khare, Ha and Janda, Coleman et al., Mostafa [113,135,136,137] |
| I would like to increase the purchase/use of green products for me | GPD2 | 0.836 | 2.047 | |||||
| I buy green products even if they are more expensive than the non-green ones. | GPD3 | 0.763 | 1.635 | |||||
| I would recommend the green products to my friends and/or others | GPD4 | 0.878 | 2.891 | |||||
| Variables | 1 | 2 | 3 | 4 | 5 | 6 | 7 | VIF |
|---|---|---|---|---|---|---|---|---|
| 1. Green Awareness of Price | 0.917 | 2.408 | ||||||
| 2. Environmental concern | 0.661 | 0.858 | 3.252 | |||||
| 3. Green Future Estimation | 0.635 | 0.626 | 0.772 | 2.416 | ||||
| 4. Green Perceived Quality | 0.588 | 0.589 | 0.603 | 0.748 | 2.085 | |||
| 5. Green Perceived Benefits | 0.690 | 0.773 | 0.590 | 0.640 | 0.887 | 3.127 | ||
| 6. Green Willingness to Purchase | 0.656 | 0.726 | 0.721 | 0.639 | 0.646 | 0.890 | 3.052 | |
| 7. Green purchasing decision | 0.774 | 0.838 | 0.737 | 0.641 | 0.838 | 0.802 | 0.849 |
| Hypothesized Paths | Mean (M) | Standard Deviation (SD) | Bootstrap t Value | p Values (2-Tailed) | Results | |
|---|---|---|---|---|---|---|
| H1 | Environmental concern → Green purchase decision | 0.243 | 0.043 | 5.710 | 0.000 | H1 supported |
| H2 | Green perceived benefit → Green purchase decision | 0.328 | 0.038 | 8.686 | 0.000 | H2 supported |
| H3 | Green perceived quality → Green purchase decision | −0.040 | 0.028 | 1.511 | 0.131 | H3 not supported |
| H4 | Green awareness of price → Green purchase decision | 0.170 | 0.026 | 6.556 | 0.000 | H4 supported |
| H5 | Green purchase willingness → Green purchase decision | 0.219 | 0.047 | 4.717 | 0.000 | H5 supported |
| H6 | Green future evaluation → Green purchase decision | 0.151 | 0.036 | 4.077 | 0.000 | H6 supported |
| Endogenous latent construct | Coefficient of determination (R2) | Adjusted R | ||||
| Green Purchase decision (GPD) | 0.871 | 0.869 | ||||
© 2020 by the authors. Licensee MDPI, Basel, Switzerland. This article is an open access article distributed under the terms and conditions of the Creative Commons Attribution (CC BY) license (http://creativecommons.org/licenses/by/4.0/).
Share and Cite
Nekmahmud, M.; Fekete-Farkas, M. Why Not Green Marketing? Determinates of Consumers’ Intention to Green Purchase Decision in a New Developing Nation. Sustainability 2020, 12, 7880. https://doi.org/10.3390/su12197880
Nekmahmud M, Fekete-Farkas M. Why Not Green Marketing? Determinates of Consumers’ Intention to Green Purchase Decision in a New Developing Nation. Sustainability. 2020; 12(19):7880. https://doi.org/10.3390/su12197880
Chicago/Turabian StyleNekmahmud, Md., and Maria Fekete-Farkas. 2020. "Why Not Green Marketing? Determinates of Consumers’ Intention to Green Purchase Decision in a New Developing Nation" Sustainability 12, no. 19: 7880. https://doi.org/10.3390/su12197880
APA StyleNekmahmud, M., & Fekete-Farkas, M. (2020). Why Not Green Marketing? Determinates of Consumers’ Intention to Green Purchase Decision in a New Developing Nation. Sustainability, 12(19), 7880. https://doi.org/10.3390/su12197880

