Deep Learning-Based Multiparametric Predictions for IoT
Abstract
1. Introduction
- Adaptive transmission power control to ensure adequate SNR that maximizes PDR without wastage of energy.
- Analysis of correlations of diverse communication parameters with SNR and PDR.
- Adaptive system design that fine-tunes the configurations under evolving circumstances, considering performance constraints. This can complement the gains from physical layer modulation and coding schemes, and help achieve a sustainable design.
- Groundwork of a fully cognitive framework for adaptive QoS in WSNs and IoT.
2. Related Works
3. Dataset and Analysis
3.1. Packet Delivery Ratio (PDR)
3.1.1. Effects of Individual Parameters
3.1.2. Effects of Multiple Parameters
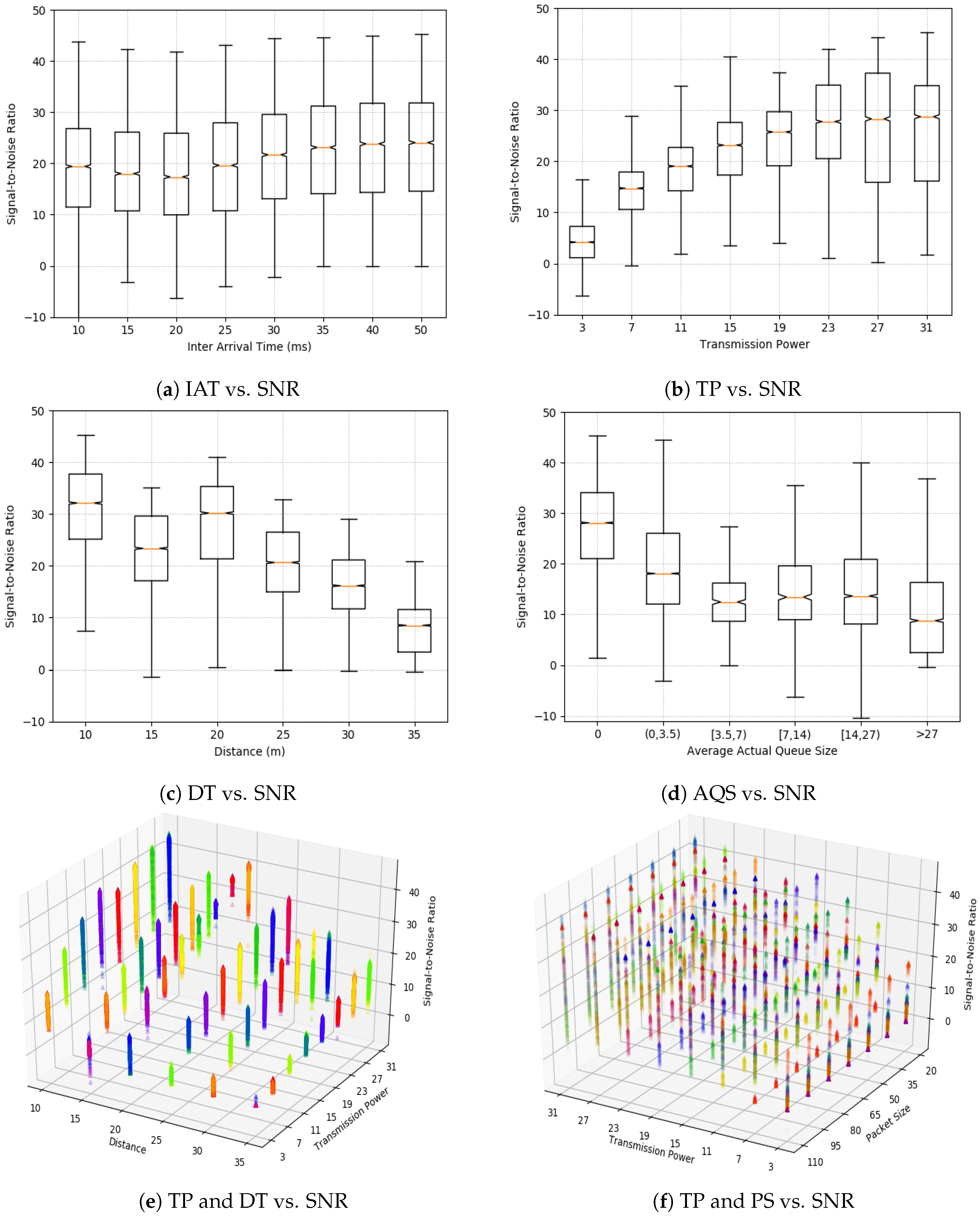
3.2. Signal-to-Noise Ratio (SNR)
3.2.1. Effects of Individual Parameters
3.2.2. Effects of Multiple Parameters
4. Prediction Model
Deep Neural Network
5. Analysis Results
5.1. Impact of Features
5.2. Impact of Dimensionality
5.3. Adaptive Transmission Power Control
6. Conclusions and Future Work
Author Contributions
Funding
Conflicts of Interest
References
- Gutierrez, J.A.; Naeve, M.; Callaway, E.; Bourgeois, M.; Mitter, V.; Heile, B. IEEE 802.15. 4: A developing standard for low-power low-cost wireless personal area networks. IEEE Netw. 2001, 15, 12–19. [Google Scholar] [CrossRef]
- Strazdins, G.; Elsts, A.; Nesenbergs, K.; Selavo, L. Wireless sensor network operating system design rules based on real-world deployment survey. J. Sens. Actuator Netw. 2013, 2, 509–556. [Google Scholar] [CrossRef]
- Rashid, B.; Rehmani, M.H. Applications of wireless sensor networks for urban areas: A survey. J. Netw. Comput. Appl. 2016, 60, 192–219. [Google Scholar] [CrossRef]
- Borges, L.M.; Velez, F.J.; Lebres, A.S. Survey on the characterization and classification of wireless sensor network applications. IEEE Commun. Surv. Tutor. 2014, 16, 1860–1890. [Google Scholar] [CrossRef]
- Noel, A.B.; Abdaoui, A.; Elfouly, T.; Ahmed, M.H.; Badawy, A.; Shehata, M.S. Structural Health Monitoring using Wireless Sensor Networks: A Comprehensive Survey. IEEE Commun. Surv. Tutor. 2017, 19, 1403–1423. [Google Scholar] [CrossRef]
- Rault, T.; Bouabdallah, A.; Challal, Y. Energy efficiency in wireless sensor networks: A top-down survey. Comput. Netw. 2014, 67, 104–122. [Google Scholar] [CrossRef]
- Yuan, D.; Kanhere, S.S.; Hollick, M. Instrumenting Wireless Sensor Networks—A survey on the metrics that matter. Pervasive Mob. Comput. 2017, 37, 45–62. [Google Scholar] [CrossRef]
- Al-Anbagi, I.; Erol-Kantarci, M.; Mouftah, H.T. A survey on cross-layer quality-of-service approaches in WSNs for delay and reliability-aware applications. IEEE Commun. Surv. Tutor. 2016, 18, 525–552. [Google Scholar] [CrossRef]
- Waas, T.; Hugé, J.; Verbruggen, A.; Wright, T. Sustainable development: A bird’s eye view. Sustainability 2011, 3, 1637–1661. [Google Scholar] [CrossRef]
- Maheswar, R.; Kanagachidambaresan, G.R. Sustainable development through Internet of Things. Wirel. Netw. 2020, 26, 2305–2306. [Google Scholar] [CrossRef]
- Costa, B.J.; Martins, R.; Santos, M.; Felgueiras, C.; Calçada, R. Weighing-in-motion wireless system for sustainable railway transport. Energy Procedia 2017, 136, 408–413. [Google Scholar] [CrossRef]
- Spencer, B.F., Jr.; Park, J.-W.; Mechitov, K.A.; Jo, H.; Agha, G. Next generation wireless smart sensors toward sustainable civil infrastructure. Procedia Eng. 2017, 171, 5–13. [Google Scholar] [CrossRef]
- Moreno-Moreno, C.D.; Brox-Jiménez, M.; Gersnoviez-Milla, A.A.; Márquez-Moyano, M.; Ortiz-López, M.A.; Quiles-Latorre, F.J. Wireless Sensor Network for sustainable agriculture. Multidiscip. Digit. Publ. Inst. Proc. 2018, 2, 1302. [Google Scholar] [CrossRef]
- Zhang, M.; Zhai, F. The sustainable development information management of Winter Olympics based on Internet-based wireless sensor network. EURASIP J. Wirel. Commun. Netw. 2019, 52. [Google Scholar] [CrossRef]
- Xu, Y.; Liu, F. Application of wireless sensor network in water quality monitoring. In Proceedings of the 2017 IEEE International Conference on Computational Science and Engineering (CSE) and IEEE International Conference on Embedded and Ubiquitous Computing (EUC), Guangzhou, China, 21–24 July 2017; pp. 368–371. [Google Scholar]
- Andrés, G.R.C. CleanWiFi: The wireless network for air quality monitoring, community Internet access and environmental education in smart cities. In Proceedings of the 2016 ITU Kaleidoscope: ICTs for a Sustainable World (ITU WT), Bangkok, Thailand, 14–16 November 2016; pp. 1–6. [Google Scholar]
- Fei, Z.; Li, B.; Yang, S.; Xing, C.; Chen, H.; Hanzo, L. A Survey of Multi-Objective Optimization in Wireless Sensor Networks: Metrics, Algorithms, and Open Problems. IEEE Commun. Surv. Tutor. 2017, 19, 550–586. [Google Scholar] [CrossRef]
- Liu, T.; Cerpa, A.E. Data-driven link quality prediction using link features. ACM Trans. Sens. Netw. (TOSN) 2017, 10, 37. [Google Scholar] [CrossRef]
- Akbas, A.; Yildiz, H.U.; Ozbayoglu, A.M.; Tavli, B. Neural network based instant parameter prediction for wireless sensor network optimization models. Wirel. Netw. 2018, 25, 3405–3418. [Google Scholar] [CrossRef]
- Xiong, W.; Hu, X.; Jiang, T. Measurement and characterization of link quality for IEEE 802.15. 4-compliant wireless sensor networks in vehicular communications. IEEE Trans. Ind. Inform. 2016, 12, 1702–1713. [Google Scholar] [CrossRef]
- Fu, S.; Zhang, Y.; Ceriotti, M.; Jiang, Y.; Packeiser, M.; Marrón, P.J. Modeling packet loss rate of IEEE 802.15. 4 links in diverse environmental conditions. In Proceedings of the Wireless Communications and Networking Conference (WCNC), Barcelona, Spain, 15–18 April 2018; pp. 1–6. [Google Scholar]
- Erdöl, H.; Özderya, H.Y.; Şişman, C.; Kayikcioglu, T.; Kaya, İ. BER performance comparison of IEEE 802.15. 6 and IEEE 802.15. 4 on PHY layer. In Proceedings of the 2016 39th International Conference on Telecommunications and Signal Processing (TSP), Vienna, Austria, 27–29 June 2016; pp. 108–111. [Google Scholar]
- Zhang, G.; Wen, H.; Wang, L.; Xie, P.; Song, L.; Tang, J.; Liao, R. Simple Adaptive Single Differential Coherence Detection of BPSK Signals in IEEE 802.15. 4 Wireless Sensor Networks. Sensors 2018, 18, 52. [Google Scholar] [CrossRef]
- Fu, S.; Zhang, Y.; Jiang, Y.; Hu, C.; Shih, C.Y.; Marrón, P.J. Experimental study for multi-layer parameter configuration of WSN links. In Proceedings of the 2015 IEEE 35th International Conference on Distributed Computing Systems (ICDCS), Columbus, OH, USA, 29 June–2 July 2015; pp. 369–378. [Google Scholar]
- Bi, Y.; Han, G.; Lin, C.; Peng, Y.; Pu, H.; Jia, Y. Intelligent Quality of Service Aware Traffic Forwarding for Software-Defined Networking/Open Shortest Path First Hybrid Industrial Internet. IEEE Trans. Ind. Inform. 2020, 16, 1395–1405. [Google Scholar] [CrossRef]
- Ateeq, M.; Ishmanov, F.; Afzal, M.K.; Naeem, M. Multi-Parametric Analysis of Reliability and Energy Consumption in IoT: A Deep Learning Approach. Sensors 2019, 19, 309. [Google Scholar] [CrossRef] [PubMed]
- Ateeq, M.; Ishmanov, F.; Afzal, M.K.; Naeem, M. Predicting Delay in IoT using Deep Learning: A Multiparametric Approach. IEEE Access 2019. [Google Scholar] [CrossRef]
- Kulin, M.; De Poorter, E.; Kazaz, T.; Moerman, I. Towards a cognitive MAC layer: Predicting the MAC-level performance in Dynamic WSN using Machine learning. arXiv 2016, arXiv:1612.03932. [Google Scholar]
- Fu, S.; Zhang, Y. CRAWDAD Dataset Due/Packet-Delivery (v. 2015-04-01). Available online: https://crawdad.org/due/packet-delivery/20150401 (accessed on 1 July 2010). [CrossRef]






| Layer | Parameter | Type | Values |
|---|---|---|---|
| Application | Inter-Arrival Time: IAT (ms) | preconfigured | 10,15,20,25,30,35,40,50 |
| Packet Size: PS (bytes) | preconfigured | 20, 35, 50, 65, 80, 95, 110 | |
| MAC | max Queue Size: QS | preconfigured | 1,30,60 |
| Actual Queue Size: AQS | per-packet | varies between 0–60 | |
| Over Flow: OF | per-packet | 0, 1 | |
| Max Transmissions: MT | preconfigured | 1, 3, 5 | |
| Actual Transmissions: AT | per-packet | varies between 0–5 | |
| Retry Delay: RD (ms) | preconfigured | 30, 60 | |
| PHY | Transmission Power: TP | preconfigured | 3,7,11,15,19,23,27,31 |
| Distance: DT (m) | preconfigured | 10, 15, 20, 25, 30, 35 |
| TP | PDR | SNR | ||||||||||||||
|---|---|---|---|---|---|---|---|---|---|---|---|---|---|---|---|---|
| 10th Percentile | 30th Percentile | 50th Percentile | 70th Percentile | 10th Percentile | 30th Percentile | 50th Percentile | 70th Percentile | |||||||||
| Actual | Predicted | Actual | Predicted | Actual | Predicted | Actual | Predicted | Actual | Predicted | Actual | Predicted | Actual | Predicted | Actual | Predicted | |
| 3 | 0.00 | 0.06 | 0.29 | 0.34 | 0.59 | 0.57 | 1.00 | 1.00 | 0.00 | 0.81 | 2.03 | 2.08 | 4.19 | 3.81 | 6.45 | 6.41 |
| 7 | 0.23 | 0.32 | 0.78 | 0.77 | 0.96 | 0.97 | 1.00 | 1.00 | 1.80 | 1.90 | 11.75 | 11.70 | 14.71 | 13.94 | 17.42 | 17.24 |
| 11 | 0.65 | 0.62 | 0.93 | 0.91 | 1.00 | 1.00 | 1.00 | 1.00 | 5.89 | 6.34 | 15.93 | 14.93 | 19.07 | 18.29 | 22.19 | 22.54 |
| 15 | 0.70 | 0.69 | 0.97 | 0.97 | 1.00 | 1.00 | 1.00 | 1.00 | 8.88 | 9.16 | 19.25 | 18.76 | 23.11 | 23.15 | 26.77 | 26.94 |
| 19 | 0.70 | 0.70 | 0.99 | 0.99 | 1.00 | 1.00 | 1.00 | 1.00 | 10.61 | 10.50 | 21.39 | 22.14 | 25.76 | 25.67 | 28.93 | 29.23 |
| 23 | 0.70 | 0.71 | 0.98 | 0.99 | 1.00 | 1.00 | 1.00 | 1.00 | 12.82 | 12.26 | 22.64 | 23.80 | 27.76 | 27.31 | 31.84 | 31.60 |
| 27 | 0.65 | 0.66 | 0.93 | 0.91 | 0.99 | 0.99 | 1.00 | 1.00 | 12.65 | 12.91 | 17.16 | 16.67 | 28.33 | 27.92 | 33.77 | 33.43 |
| 31 | 0.61 | 0.64 | 0.90 | 0.88 | 0.99 | 0.99 | 1.00 | 1.00 | 11.61 | 12.37 | 17.78 | 17.80 | 28.56 | 29.24 | 33.76 | 34.32 |
© 2020 by the authors. Licensee MDPI, Basel, Switzerland. This article is an open access article distributed under the terms and conditions of the Creative Commons Attribution (CC BY) license (http://creativecommons.org/licenses/by/4.0/).
Share and Cite
Ateeq, M.; Afzal, M.K.; Naeem, M.; Shafiq, M.; Choi, J.-G. Deep Learning-Based Multiparametric Predictions for IoT. Sustainability 2020, 12, 7752. https://doi.org/10.3390/su12187752
Ateeq M, Afzal MK, Naeem M, Shafiq M, Choi J-G. Deep Learning-Based Multiparametric Predictions for IoT. Sustainability. 2020; 12(18):7752. https://doi.org/10.3390/su12187752
Chicago/Turabian StyleAteeq, Muhammad, Muhammad Khalil Afzal, Muhammad Naeem, Muhammad Shafiq, and Jin-Ghoo Choi. 2020. "Deep Learning-Based Multiparametric Predictions for IoT" Sustainability 12, no. 18: 7752. https://doi.org/10.3390/su12187752
APA StyleAteeq, M., Afzal, M. K., Naeem, M., Shafiq, M., & Choi, J.-G. (2020). Deep Learning-Based Multiparametric Predictions for IoT. Sustainability, 12(18), 7752. https://doi.org/10.3390/su12187752

