A New Multi-Criteria Assessment Model Combining GRA Techniques with Intuitionistic Fuzzy Entropy-Based TOPSIS Method for Sustainable Building Materials Supplier Selection
Abstract
:1. Introduction
- (1)
- TOPSIS has its drawbacks because decision makers need to subjectively judge the weighting of various criteria. Therefore, when the decision makers are in intuitionistic fuzzy environment, how should we solve the problem of decision makers subjectively setting weights in the TOPSIS method?
- (2)
- The calculation of intuitionistic fuzzy entropy is different from the general measurement of entropy weight. How do we combine the TOPSIS method with intutionistic fuzzy entropy in order to obtain objective weight values?
- (3)
- GRA is a measure of the nonlinear relationship between sequences and can compensate for the deficiencies of TOPSIS method. How should we combine the intutionistic fuzzy entropy-based TOPSIS method with GRA techniques?
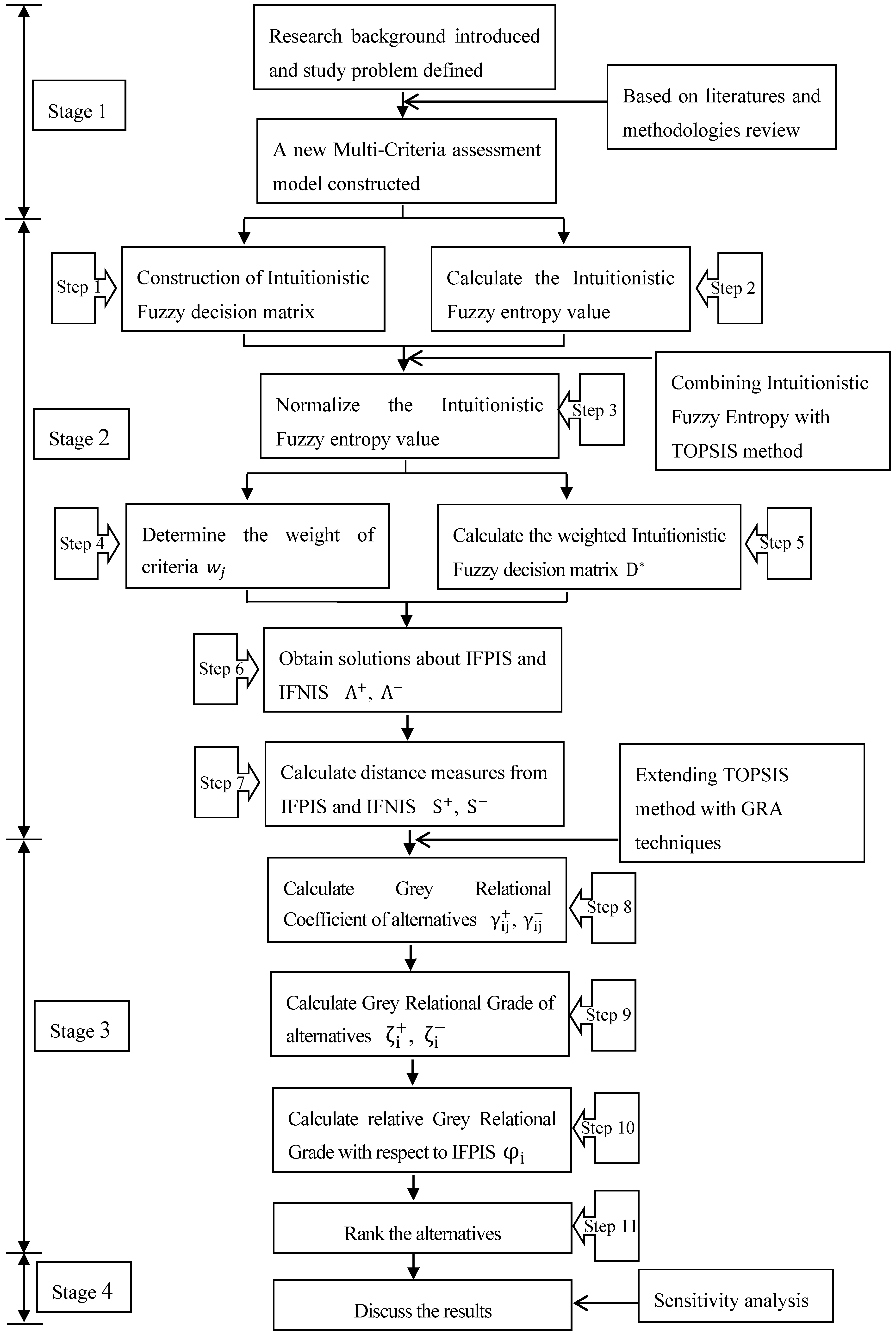
2. Research Framework and Methodology
- Stage 1: Introduce the research background and review literatures and methods.
- Stage 2: Begin to establish a new multi-criteria assessment model and then combine this model with intuitionist fuzzy entropy and TOPSIS method.
- Stage 3: Extend the TOPSIS method by GRA technology.
- Stage 4: Discuss the results and sensitive analysis.
2.1. Grey Relational Analysis (GRA)
2.2. Intuitionistic Fuzzy Sets
2.3. Intutionistic Fuzzy Entropy
3. Intuitionistic Fuzzy Entropy-Based TOPSIS with GRA Techniques
4. Numerical Example of Sustainable Building Materials Supplier Selection
- C1: Business credit
- C2: Technical capability
- C3: Quality level
- C4: Price
5. Results and Discussion
6. Conclusions
- (1)
- The first contribution is to combine the intuitionistic fuzzy set with the TOPSIS method to become an appropriate MCDM solution. When there is a lack of data and insufficient information, and decision makers are in intuitionistic fuzzy environment.
- (2)
- The second contribution is the objective weight value calculated by the intuitionistic fuzzy entropy to replace the subjective weight that decision makers set directly in the TOPSIS method. In other words, the objective weight of the intuitionistic fuzzy entropy is used instead of the subjective weight, which reduces the bias that may be caused by the subjective judgment.
- (3)
- The third contribution is to extend TOPSIS method with both GRA techniques and intuitionistic fuzzy sets. The weighted matrix is transformed into a grey relational coefficient matrix by introducing the grey relational coefficient, and the closeness between each alternative and the positive-ideal solution is calculated. The closeness is used as the evaluation basis for appropriate supplier selection.
Funding
Conflicts of Interest
References
- Atanassov, K.T. Intuitionistic fuzzy sets. Fuzzy Set Syst. 1986, 20, 87–96. [Google Scholar] [CrossRef]
- Atanassov, K.T. More on Intuitionistic fuzzy sets. Fuzzy Sets Syst. 1989, 33, 37–46. [Google Scholar] [CrossRef]
- Atanassov, K.T. Two theorems for intuitionistic fuzzy sets. Fuzzy Sets Syst. 2000, 110, 267–269. [Google Scholar] [CrossRef]
- Zadeh, L.A. Fuzzy sets. Inf. Control. 1965, 8, 338–356. [Google Scholar] [CrossRef]
- Deng, J.L. Introduction to Grey System. J. Grey Syst.-UK 1989, 1, 1–24. [Google Scholar]
- Wei, G. Grey relational analysis model for dynamic hybrid multiple attribute decision making. Knowl.-Based Syst. 2011, 24, 672–679. [Google Scholar] [CrossRef]
- Liu, S.F.; Guo, T.B.; Dang, Y.G. Grey System Theory and its Application, 2nd ed.; Science Press: Beijing, China, 1999. [Google Scholar]
- Wei, G.W.; Zhao, X.F.; Wang, H.J.; Lin, R. GRA model for selecting an ERP system in trapezoidal intuitionistic fuzzy setting. Inf. Int. J. 2010, 13, 1143–1148. [Google Scholar]
- Olson, D.L.; Wu, D.S. Simulation of fuzzy multi-attribute models for grey relationships. Eur. J. Oper. Res. 2006, 175, 111–120. [Google Scholar] [CrossRef]
- Wu, D.S. Supplier selection in a fuzzy group decision making setting: A method using grey related analysis and Dempster-Shafer theory. Expert Syst. Appl. 2009, 36, 8892–8899. [Google Scholar] [CrossRef]
- Rao, C.J.; Xiao, X.P. Novel combinatorial algorithm for the problems of fuzzy grey multi-attribute group decision making. J. Syst. Eng. Electron. 2007, 18, 774–780. [Google Scholar]
- Rao, C.J.; Zhao, Y. Multi-attribute decision making model based on optimal membership and relative entropy. J. Syst. Eng. Electron. 2009, 20, 537–542. [Google Scholar]
- Rao, C.J. Group decision making model based on grey relational analysis. J. Grey Syst.-UK 2009, 21, 15–24. [Google Scholar]
- Rao, C.J.; Zhao, Y. Multi-attribute auction method based on grey relational degree of hybrid sequences. J. Grey Syst.-UK 2009, 21, 175–184. [Google Scholar]
- Wei, G.W.; Wang, H.J.; Lin, R.; Zhao, X.F. Grey relational analysis method for intuitionistic fuzzy multiple attribute decision making with preference information on alternatives. Int. J. Comput. Int. Syst. 2011, 4, 164–173. [Google Scholar] [CrossRef]
- Ha, S.H.; Krishnan, R. A hybrid approach to supplier selection for the maintenance of a competitive supply chain. Expert Syst. Appl. 2008, 34, 1303–1311. [Google Scholar] [CrossRef]
- Chou, S.Y.; Chang, Y.H. A decision support system for supplier selection based on a strategy-aligned fuzzy SMART approach. Expert Syst. Appl. 2008, 34, 2241–2253. [Google Scholar] [CrossRef]
- Stevenson, W.J. Operations Management; McGraw-Hill: New York, NY, USA, 2005. [Google Scholar]
- Heizer, J.; Render, B. Principles of Operations Management; Prentice-Hall: Upper Saddle River, NJ, USA, 2004. [Google Scholar]
- Simchi-Levi, D.; Kaminsky, P.; Simchi-Levi, E. Designing and Managing the Supply Chain: Concepts, Strategies, and Case Studies; McGraw-Hill: New York, NY, USA, 2003. [Google Scholar]
- Monczka, R.; Trent, R.; Handfield, R. Purchasing and Supply Chain Management, 2nd ed.; South-Western College Publishing: Cincinnati, OH, USA, 2001. [Google Scholar]
- Stojić, G.; Stević, Ž.; Antuchevičienė, J.; Pamučar, D.; Vasiljević, M. A novel rough WASPAS approach for supplier selection in a company manufacturing PVC carpentry products. Information 2018, 9, 121. [Google Scholar] [CrossRef]
- Cakravasia, A.; Takahashi, K. Integrated model for supplier selection and negotiation in a make-to-order environment. Int. J. Prod. Res. 2004, 42, 4457–4474. [Google Scholar] [CrossRef]
- Porter, M.E.; Millar, V.E. How information gives you competitive advantage. Harv. Bus. Rev. 1985, 63, 149–160. [Google Scholar]
- Giunipero, L.C.; Brand, R.R. Purchasing’s role in supply chain management. Int. J. Logist. Manag. 1996, 7, 29–38. [Google Scholar] [CrossRef]
- Haq, A.N.; Kannan, G. Fuzzy analytical hierarchy process for evaluating and selecting a vendor in a supply chain model. Int. J. Adv. Manuf. Tech. 2006, 29, 826–835. [Google Scholar]
- Timmerman, E. An approach to vendor performance evaluation. J. Purch. Supply Manag. 1986, 1, 27–32. [Google Scholar] [CrossRef]
- Zenz, G. Purchasing and the Management of Materials; Wiley: New York, NY, USA, 1981. [Google Scholar]
- Thompson, K. Vendor profile analysis. J. Purch. Mater. Manag. 1990, 26, 11–18. [Google Scholar] [CrossRef]
- Soukup, W.R. Supplier selection strategies. J. Purch. Mater. Manag. 1987, 23, 7–12. [Google Scholar] [CrossRef]
- Gregory, R.E. Source selection: A matrix approach. J. Purch. Mater. Manag. 1986, 22, 24–29. [Google Scholar] [CrossRef]
- Barbarosoglu, G.; Yazgac, T. An application of the analytic hierarchy process to the supplier selection problem. Prod. Inv. Manag. J. 1997, 38, 14–21. [Google Scholar]
- Nydick, R.L.; Hill, R.P. Using the Analytic Hierarchy Process to structure the supplier selection procedure. Int. J. Purch. Mater. Manag. 1992, 28, 31–36. [Google Scholar] [CrossRef]
- Tong, L.; Pu, Z.; Ma, J. Maintenance supplier evaluation and selection for safe and sustainable production in the chemical industry: A case study. Sustainability 2019, 11, 1533. [Google Scholar] [CrossRef]
- Guo, Z.; Liu, H.; Zhang, D.; Yang, J. Green supplier evaluation and selection in apparel manufacturing using a fuzzy multi-criteria decision-making approach. Sustainability 2017, 9, 650. [Google Scholar]
- Ghorabaee, K.M.; Amiri, M.; Zavadskas, E.K.; Antucheviciene, J. Supplier evaluation and selection in fuzzy environment: A review of MADM approaches. Econ. Res. 2017, 30, 1073–1118. [Google Scholar]
- Shi, H.; Quan, M.Y.; Liu, H.C.; Duan, C.Y. A novel integrated approach for green supplier selection with interval-valued intuitionistic uncertain linguistic information: A case study in the agri-food industry. Sustainability 2018, 10, 733. [Google Scholar] [CrossRef]
- De Boer, L.; Van der Wegen, L.; Telgen, J. Outranking methods in support of supplier selection. Eur. J. Purch. Supply Manag. 1998, 4, 109–118. [Google Scholar] [CrossRef]
- Zhang, D.; Zhang, J.; Lai, K.K.; Lu, Y. An novel approach to supplier selection based on vague sets group decision. Expert Syst. Appl. 2009, 36, 9557–9563. [Google Scholar] [CrossRef]
- Chen, C.T.; Lin, C.T.; Huang, S.F. A fuzzy approach for supplier evaluation and selection in supply chain management. Int. J. Prod. Econ. 2006, 102, 289–301. [Google Scholar] [CrossRef]
- Holt, G.D. Which contractor selection methodology? Int. J. Proj. Manag. 1998, 16, 153–164. [Google Scholar] [CrossRef]
- Li, D.F.; Fun, Y.P.; Huang, J.S. A new measure for supplier performance evaluation. Iie Trans. Oper. Eng. 1997, 29, 753–758. [Google Scholar] [CrossRef]
- Bayrak, M.Y.; Celebi, N.; Taskin, H. A fuzzy approach method for supplier selection. Prod. Plan. Control Manag. Oper. 2007, 18, 54–63. [Google Scholar] [CrossRef]
- Chan, F.T.S.; Kumar, N.; Tiwari, M.K.; Lau, H.C.W.; Choy, K.L. Global supplier selection: A fuzzy-AHP approach. Int. J. Prod. Res. 2008, 46, 3825–3857. [Google Scholar] [CrossRef]
- Hwang, C.L.; Yoon, K. Multiple Attribute Decision Making: Methods and Applications; Springer: New York, NY, USA, 1981. [Google Scholar]
- Sirisawat, P.; Kiatcharoenpol, T. Fuzzy AHP-TOPSIS approaches to prioritizing solutions for reverse logistics barriers. Comput. Ind. Eng. 2018, 117, 303–318. [Google Scholar] [CrossRef]
- Pérez-Domínguez, L.; Luviano-Cruz, D.; Valles-Rosales, D.; Hernández, J.I.H.; Borbón, M.I.R. Hesitant Fuzzy Linguistic Term and TOPSIS to Assess Lean Performance. Appl. Sci. 2019, 9, 873. [Google Scholar] [CrossRef]
- Olson, D.L. Comparison of weight in TOPSIS models. Math. Comput. Model. 2004, 40, 721–727. [Google Scholar] [CrossRef]
- Chen, C.H. Application Enterprise Architecture and TOPSIS Evaluation Methods for Decision Optimization of Real Estate Investment Projects. In Proceedings of the 2015 Corporate Architecture and Information Technology Seminar, Takming University of Science and Technology, Taipei, Taiwan, 31 October 2015; p. A:1–8. [Google Scholar]
- Wang, C.N.; Huang, Y.F.; Chai, Y.C.; Van Thanh, N. A multi-criteria decision making (MCDM) for renewable energy plants locations selection in Vietnam under a fuzzy environment. Appl. Sci. 2018, 8, 2069. [Google Scholar] [CrossRef]
- Wang, P. QoS-aware web services selection with intuitionistic fuzzy set under consumer’s vague perception. Expert Syst Appl. 2009, 36, 4460–4466. [Google Scholar] [CrossRef]
- Liu, H.W.; Wang, G.J. Multi-criteria decision-making methods based on intuitionistic fuzzy sets. Eur. J. Oper. Res. 2007, 179, 220–233. [Google Scholar] [CrossRef]
- Atanassov, K.; Pasi, G.; Yager, R.R. Intuitionistic fuzzy interpretations of multi-criteria multi-person and multi-measurement tool decision making. Int. J. Syst. Sci. 2005, 36, 859–868. [Google Scholar] [CrossRef]
- Xu, Z.S. Intuitionistic preference relations and their application in group decision making. Inf. Sci. 2007, 177, 2363–2379. [Google Scholar] [CrossRef]
- Xu, Z.S. Some similarity measures of intuitionistic fuzzy sets and their applications to multiple attribute decision making. Fuzzy Optim. Decis. Ma. 2007, 6, 109–121. [Google Scholar] [CrossRef]
- Xu, Z.S. Models for multiple attribute decision making with intuitionistic fuzzy information. Int. J. Uncertain. Fuzz. 2007, 15, 285–297. [Google Scholar] [CrossRef]
- Xu, Z.S.; Yager, R.R. Some geometric aggregation operators based on intuitionistic fuzzy sets. Int. J. Gen. Syst. 2006, 35, 417–433. [Google Scholar] [CrossRef]
- Xu, Z.S.; Yager, R.R. Dynamic intuitionistic fuzzy multi-attribute decision making. Int. J. Approx. Reason. 2008, 48, 246–262. [Google Scholar] [CrossRef]
- Szmidt, E.; Kacprzyk, J. Using intuitionistic fuzzy sets in group decision making. Control Cybern. 2002, 31, 1037–1053. [Google Scholar]
- Szmidt, E.; Kacprzyk, J. A consensus-reaching process under intuitionistic fuzzy preference relations. Int. J. Intell. Syst. 2003, 18, 837–852. [Google Scholar] [CrossRef]
- Hong, D.H.; Choi, C.H. Multi criteria fuzzy decision-making problems based on Hausdorff distance. Pattern Recogn. Lett. 2000, 23, 221–225. [Google Scholar]
- Chen, S.M.; Tan, J.M. Handling multi criteria fuzzy decision-making problems based on vague set theory. Fuzzy Set Syst. 1994, 67, 163–172. [Google Scholar] [CrossRef]
- Valchos, I.K.; Sergiadis, G.D. Intuitionistic fuzzy information—Applications to pattern recognition. Pattern Recogn. Lett. 2007, 28, 197–206. [Google Scholar] [CrossRef]
- Zhang, C.Y.; Fu, H.Y. Similarity measures on three kinds of fuzzy sets. Pattern Recogn. Lett. 2006, 27, 1307–1317. [Google Scholar] [CrossRef]
- Wang, W.Q.; Xin, X.L. Distance measure between intuitionistic fuzzy sets. Pattern Recogn. Lett. 2005, 26, 2063–2069. [Google Scholar] [CrossRef]
- Huang, W.L.; Yang, M.S. Similarity measures of intuitionistic fuzzy sets based on Hausdorff distance. Pattern Recogn. Lett. 2004, 25, 1603–1611. [Google Scholar] [CrossRef]
- Liang, Z.Z.; Shi, P.F. Similarity measures on intuitionistic fuzzy sets. Pattern Recogn. Lett. 2003, 24, 2687–2693. [Google Scholar] [CrossRef]
- Li, D.F.; Cheng, C.T. New similarity measures of intuitionistic fuzzy sets and application to pattern recognitions. Pattern Recogn. Lett. 2002, 23, 221–225. [Google Scholar]
- Szmidt, E.; Kacprzyk, J. A similarity measure for intuitionistic fuzzy sets and its application in supporting medical diagnostic reasoning. Lect. Notes Comput. Sci. 2004, 3070, 388–393. [Google Scholar]
- Szmidt, E.; Kacprzyk, J. Intuitionistic fuzzy sets in some medical applications. Lect. Notes Comput. Sci. 2001, 2206, 148–151. [Google Scholar]
- De, S.K.; Biswas, R.; Roy, A.R. An application of intuitionistic fuzzy sets in medical diagnosis. Fuzzy Set Syst. 2001, 117, 209–213. [Google Scholar] [CrossRef]
- Deng, J.L. Introduction to Grey System Theory. Syst. Control Lett. 1982, 1, 288–294. [Google Scholar]
- Ertugrul, I. Grey relational analysis approach in academic performance comparison of university: A case study of Turkey Universities. Eur. Sci. J. 2016, 12, 128–139. [Google Scholar]
- Chang, C.L.; Tsai, C.H.; Chen, L. Applying grey relational analysis to the Decathlon evaluation model. Int. J. Comput. Internet Manag. 2003, 11, 54–62. [Google Scholar]
- Kung, C.Y.; Wen, K.L. Applying grey relational analysis and grey decision making to evaluate the relationship between company attributes and its financial performance- a case study of venture capital enterprises in Taiwan. Decis. Support Syst. 2007, 43, 842–852. [Google Scholar] [CrossRef]
- Wei, G.W. GRA method for multiple attribute decision making with incomplete weight information in intuitionistic fuzzy setting. Knowl.-Based Syst. 2010, 23, 243–247. [Google Scholar] [CrossRef]
- Kuo, Y.; Yang, T.; Huang, G.W. The use of grey relational analysis in solving multiple attribute decision-making problems. Comput. Ind. Eng. 2008, 55, 80–93. [Google Scholar] [CrossRef]
- Lin, C.L.; Lin, J.L.; Ko, T.C. Optimization of the EDM process based on the orthogonal array with fuzzy logic and grey relational analysis method. Int. J. Adv. Manuf. Tech. 2002, 19, 271–277. [Google Scholar] [CrossRef]
- Yang, C.C.; Ou, S.L.; Hsu, L.C. A hybrid multi-criteria decision-making model for evaluation companies’ green credit rating. Sustainability 2019, 11, 1506. [Google Scholar] [CrossRef]
- Chen, C.H. Grey relational method aided decision for projects of interior design. J. Lan Yang Inst. Tech. 2009, 8, 31–39. [Google Scholar]
- Chen, C.H. Application of grey relational model to evaluate projects of landscape ecological planning. J. Plan. 2007, 34, 29–47. [Google Scholar]
- Wei, G.W. Grey relational analysis method for intuitionistic fuzzy multiple attribute decision making. Expert Syst. Appl. 2011, 38, 11671–11677. [Google Scholar] [CrossRef]
- Shu, M.S.; Cheng, C.H.; Chang, J.R. Using intuitionistic fuzzy sets for fault-tree analysis on printed circuit board assembly. Micorelectron. Reliab. 2006, 46, 2139–2148. [Google Scholar] [CrossRef]
- Chen, T.Y.; Li, C.H. A comparative analysis of objective weighting methods with intuitionistic fuzzy entropy measures. J. Chin. Inst. Ind. Eng. 2009, 26, 469–479. [Google Scholar] [CrossRef]
- Vlachos, I.K.; Sergiadis, G.D. Subsethood, entropy, and cardinality for interval-valued fuzzy sets an algebraic derivation. Fuzzy Set Syst. 2007, 158, 1384–1396. [Google Scholar] [CrossRef]
- Chen, T.Y.; Li, C.H. Determining objective weights with instuitionistic fuzzy entropy measures: A comparative analysis. Inf. Sci. 2010, 180, 4207–4222. [Google Scholar] [CrossRef]
- Atanassov, K. New operations defined over the intuitionistic fuzzy sets. Fuzzy Set Syst. 1999, 61, 137–142. [Google Scholar] [CrossRef]
- Szmidt, E.; Kacprzyk, J. Distance between intuitionistic fuzzy sets. Fuzzy Set Syst. 2000, 114, 505–518. [Google Scholar] [CrossRef]



| Alternatives | ||||
|---|---|---|---|---|
| A1 | 0.0000 | 0.0961 | 0.0020 | 0.0250 |
| A2 | 0.0522 | 0.0573 | 0.0234 | 0.0142 |
| A3 | 0.0845 | 0.0558 | 0.0260 | 0.0177 |
| A4 | 0.0096 | 0.0611 | 0.0565 | 0.0478 |
| A5 | 0.0509 | 0.0000 | 0.0320 | 0.0330 |
| Alternatives | ||||
|---|---|---|---|---|
| A1 | 0.0845 | 0.0000 | 0.0520 | 0.0316 |
| A2 | 0.0342 | 0.0392 | 0.0467 | 0.0339 |
| A3 | 0.0000 | 0.0506 | 0.0342 | 0.0466 |
| A4 | 0.0784 | 0.0394 | 0.0195 | 0.0100 |
| A5 | 0.0675 | 0.0961 | 0.0620 | 0.0550 |
| Alternatives | A1 | A2 | A3 | A4 | A5 |
|---|---|---|---|---|---|
| φi | 0.5445 | 0.5152 | 0.4693 | 0.4411 | 0.6030 |
| Alternatives | A1 | A2 | A3 | A4 | A5 |
|---|---|---|---|---|---|
| Rank | 2 | 3 | 4 | 5 | 1 |
| ρ = 0.1 | ρ = 0.2 | ρ = 0.3 | ρ = 0.4 | ρ = 0.5 | ρ = 0.6 | ρ = 0.7 | ρ = 0.8 | ρ = 0.9 | ρ = 1.0 | |
|---|---|---|---|---|---|---|---|---|---|---|
| A1 | 0.5978 | 0.5775 | 0.5627 | 0.5522 | 0.5445 | 0.5386 | 0.5340 | 0.5303 | 0.5273 | 0.5248 |
| A2 | 0.5485 | 0.5333 | 0.5246 | 0.5190 | 0.5152 | 0.5124 | 0.5104 | 0.5089 | 0.5077 | 0.5067 |
| A3 | 0.3845 | 0.4356 | 0.4542 | 0.4636 | 0.4693 | 0.4732 | 0.4760 | 0.4781 | 0.4799 | 0.4813 |
| A4 | 0.3941 | 0.4116 | 0.4242 | 0.4337 | 0.4411 | 0.4471 | 0.4519 | 0.4560 | 0.4594 | 0.4624 |
| A5 | 0.7409 | 0.6737 | 0.6396 | 0.6181 | 0.6030 | 0.5916 | 0.5826 | 0.5753 | 0.5693 | 0.5642 |
© 2019 by the author. Licensee MDPI, Basel, Switzerland. This article is an open access article distributed under the terms and conditions of the Creative Commons Attribution (CC BY) license (http://creativecommons.org/licenses/by/4.0/).
Share and Cite
Chen, C.-H. A New Multi-Criteria Assessment Model Combining GRA Techniques with Intuitionistic Fuzzy Entropy-Based TOPSIS Method for Sustainable Building Materials Supplier Selection. Sustainability 2019, 11, 2265. https://doi.org/10.3390/su11082265
Chen C-H. A New Multi-Criteria Assessment Model Combining GRA Techniques with Intuitionistic Fuzzy Entropy-Based TOPSIS Method for Sustainable Building Materials Supplier Selection. Sustainability. 2019; 11(8):2265. https://doi.org/10.3390/su11082265
Chicago/Turabian StyleChen, Chun-Ho. 2019. "A New Multi-Criteria Assessment Model Combining GRA Techniques with Intuitionistic Fuzzy Entropy-Based TOPSIS Method for Sustainable Building Materials Supplier Selection" Sustainability 11, no. 8: 2265. https://doi.org/10.3390/su11082265
APA StyleChen, C.-H. (2019). A New Multi-Criteria Assessment Model Combining GRA Techniques with Intuitionistic Fuzzy Entropy-Based TOPSIS Method for Sustainable Building Materials Supplier Selection. Sustainability, 11(8), 2265. https://doi.org/10.3390/su11082265
