How Consistent Contributors Inspire Individuals to Cooperate: The Role of Moral Elevation and Social Value Orientation
Abstract
1. Introduction
1.1. CC Effect and Moral Elevation
1.2. The Moderating Role of Social Value Orientation
2. Materials and Methods
2.1. Design and Participants
2.2. Step-Level Public Goods Dilemma
2.3. Measures
2.4. Procedure
2.5. Statistical Analyses
3. Results
3.1. Manipulation Checks of the Consistent Contributors
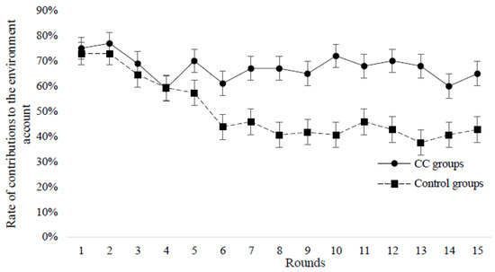
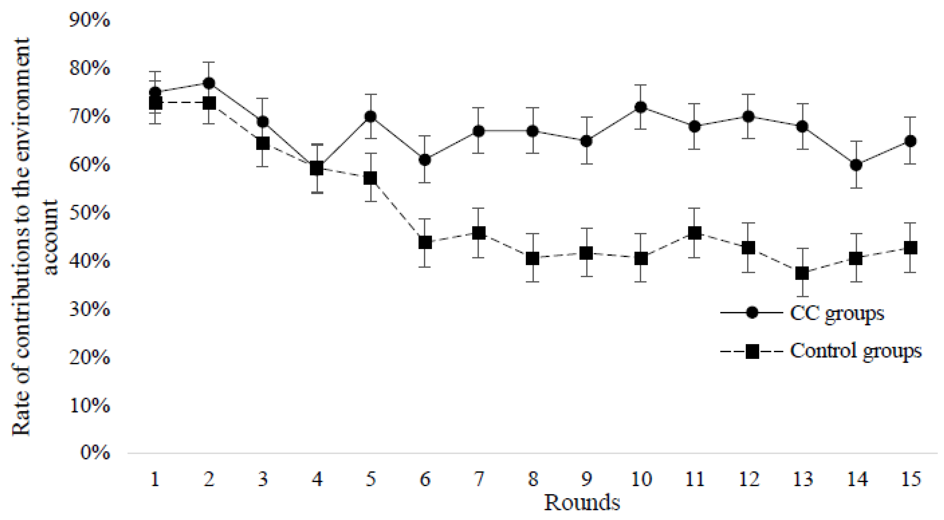
3.2. CC Effect in Step-Level Public-Goods Dilemma
3.3. The Mediating Role of Moral Elevation
3.4. The Moderated Mediation Effects
4. Discussion
Author Contributions
Funding
Conflicts of Interest
References
- UNFCCC. Fifth Assessment Report of the Intergovernmental Panel on Climate Change; UNFCCC: Geneva, Switzerland, 2014. [Google Scholar]
- Abele, S.; Stasser, G.; Chartier, C. Conflict and Coordination in the Provision of Public Goods: A Conceptual Analysis of Continuous and Step-Level Games. Personal. Soc. Psychol. Rev. 2010, 14, 385–401. [Google Scholar] [CrossRef] [PubMed]
- Kawagoe, T.; Matsubae, T.; Takizawa, H. Quantal Response Equilibria in a Generalized Volunteer’s Dilemma and Step-Level Public Goods Games with Binary Decision. Evol. Inst. Econ. Rev. 2018, 15, 11–23. [Google Scholar] [CrossRef]
- Dawes, R.M. Social Dilemmas. Annu. Rev. Psychol. 1980, 31, 169–193. [Google Scholar] [CrossRef]
- Estrela, S.; Libby, E.; Van Cleve, J.; Débarre, F.; Deforet, M.; Harcombe, W.R.; Peña, J.; Brown, S.P.; Hochberg, M.E. Environmentally Mediated Social Dilemmas. Trends Ecol. Evol. 2019, 34, 6–18. [Google Scholar] [CrossRef] [PubMed]
- Andreoni, J. Why Free Ride?: Strategies and Learning in Public Goods Experiments. J. Public Econ. 1988, 37, 291–304. [Google Scholar] [CrossRef]
- Van Lange, P.A.M.; Joireman, J.; Parks, C.D.; Van Dijk, E. The Psychology of Social Dilemmas: A Review. Organ. Behav. Hum. Decis. Process. 2013, 120, 125–141. [Google Scholar] [CrossRef]
- Iwai, T.; De Azevedo, P.F. Economic Incentives or Communication: How Different Are Their Effects on Trust. BAR-Braz. Adm. Rev. 2016, 13, 1–25. [Google Scholar] [CrossRef]
- Messick, D.M.; Wilke, H.; Brewer, M.B.; Kramer, R.M.; Zemke, P.E.; Lui, L. Individual Adaptations and Structural Change as Solutions to Social Dilemmas. J. Pers. Soc. Psychol. 1983, 44, 294–309. [Google Scholar] [CrossRef]
- Rapoport, A.; Eshed-Levy, D. Provision of Step-Level Public Goods: Effects of Greed and Fear of Being Gypped. Organ. Behav. Hum. Decis. Process. 1989, 44, 325–344. [Google Scholar] [CrossRef]
- Park, G.; DeShon, R.P. Effects of Group-Discussion Integrative Complexity on Intergroup Relations in a Social Dilemma. Organ. Behav. Hum. Decis. Process. 2018, 146, 62–75. [Google Scholar] [CrossRef]
- Ferraz Meyer, L.F.; Braga, M.J. Fear or Greed? Duty or Solidarity? Motivations and Stages of Moral Reasoning. Rev. Radic. Polit. Econ. 2015, 47, 159–175. [Google Scholar] [CrossRef]
- Fehr, E.; Gächter, S. Altruistic Punishment in Humans. Nature 2002, 415, 137–140. [Google Scholar] [CrossRef] [PubMed]
- Fehr, E.; Fischbacher, U. Social Norms and Human Cooperation. Trends Cogn. Sci. 2004, 185–190. [Google Scholar] [CrossRef]
- De Quervain, D.J.F.; Fischbacher, U.; Treyer, V.; Schellhammer, M.; Schnyder, U.; Buck, A.; Fehr, E. The Neural Basis of Altruistic Punishment. Science 2004, 305, 1254–1258. [Google Scholar] [CrossRef]
- Wang, Q.; Meng, H.; Gao, B. Spontaneous Punishment Promotes Cooperation in Public Good Game. Chaos Solitons Fractals 2019, 120, 183–187. [Google Scholar] [CrossRef]
- Dreber, A.; Rand, D.G.; Fudenberg, D.; Nowak, M.A. Winners Don’t Punish. Nature 2008, 452, 348–351. [Google Scholar] [CrossRef] [PubMed]
- Mulder, L.B.; van Dijk, E.; De Cremer, D.; Wilke, H.A.M. Undermining Trust and Cooperation: The Paradox of Sanctioning Systems in Social Dilemmas. J. Exp. Soc. Psychol. 2006, 42, 147–162. [Google Scholar] [CrossRef]
- Deci, E.L.; Koestner, R.; Ryan, R.M. A Meta-Analytic Review of Experiments Examining the Effects of Extrinsic Rewards on Intrinsic Motivation. Psychol. Bull. 1999, 125, 627–668. [Google Scholar] [CrossRef] [PubMed]
- Herrmann, B.; Thöni, C.; Gächter, S. Antisocial Punishment across Societies. Science 2008, 319, 1362–1367. [Google Scholar] [CrossRef]
- Pleasant, A.; Barclay, P. Why Hate the Good Guy? Antisocial Punishment of High Cooperators Is Greater When People Compete To Be Chosen. Psychol. Sci. 2018, 29, 868–876. [Google Scholar] [CrossRef]
- Kollock, P. Social Dilemmas: The Anatomy of Cooperation. Annu. Rev. Sociol. 1998, 24, 183–214. [Google Scholar] [CrossRef]
- Weber, J.M.; Murnighan, J.K. Suckers or Saviors? Consistent Contributors in Social Dilemmas. J. Pers. Soc. Psychol. 2008, 95, 1340–1353. [Google Scholar] [CrossRef]
- Gill, M.J.; Packer, D.J.; Van Bavel, J. More to Morality than Mutualism: Consistent Contributors Exist and They Can Inspire Costly Generosity in Others. Behav. Brain Sci. 2013, 36, 90. [Google Scholar] [CrossRef]
- Gill, M.J.; Packer, D.J.; Chu, K.; Van Bavel, J. Consistent Contributors Can Inspire Robust, Costly Generosity in Those with Altruistic Values. In Proceedings of the 15th International Conference on Social Dilemmas, ETH Zurich, Switzerland, 10–13 July 2013. [Google Scholar]
- Harris, N.; Shealy, T.; Klotz, L. How Exposure to ”Role Model” Projects Can Lead to Decisions for More Sustainable Infrastructure. Sustainability 2016, 8, 130. [Google Scholar] [CrossRef]
- Fowler, J.H.; Christakis, N.A. Cooperative Behavior Cascades in Human Social Networks. Proc. Natl. Acad. Sci. USA 2010, 107, 5334–5338. [Google Scholar] [CrossRef]
- Grant, A.M.; Patil, S.V. Challenging the Norm of Self-Interest: Minority Influence and Transitions to Helping Norms in Work Units. Manag. Rev. 2012, 37, 547–568. [Google Scholar] [CrossRef]
- Weber, J.M.; Moore, C. Squires: Key Followers and the Social Facilitation of Charismatic Leadership. Organ. Psychol. Rev. 2014, 4, 199–227. [Google Scholar] [CrossRef]
- Biel, A.; Thøgersen, J. Activation of Social Norms in Social Dilemmas: A Review of the Evidence and Reflections on the Implications for Environmental Behaviour. J. Econ. Psychol. 2007, 28, 93–112. [Google Scholar] [CrossRef]
- Guido, A.; Robbett, A.; Romaniuc, R. Group Formation and Cooperation in Social Dilemmas: A Survey and Meta-Analytic Evidence. J. Econ. Behav. Organ. 2019, 159, 192–209. [Google Scholar] [CrossRef]
- March, J.G. Primer on Decision Making: How Decisions Happen; Simon and Schuster: New York, NY, USA, 1994. [Google Scholar]
- Bolinger, A.R.; Klotz, A.C.; Leavitt, K. Contributing from inside the Outer Circle: The Identity-Based Effects of Noncore Role Incumbents on Relational Coordination and Organizational Climate. Acad. Manag. Rev. 2018, 43, 680–703. [Google Scholar] [CrossRef]
- Newell, B.R.; McDonald, R.I.; Brewer, M.; Hayes, B.K. The Psychology of Environmental Decisions. Annu. Rev. Environ. Resour. 2014, 39, 443–467. [Google Scholar] [CrossRef]
- De Boer, J. A Strawson-Lewis Defence of Social Preferences. Econ. Philos. 2012, 28, 291–310. [Google Scholar] [CrossRef]
- Decter-Frain, A.; Vanstone, R.; Frimer, J.A. Why and How Groups Create Moral Heroes. In Handbook of Heroism and Heroic Leadership; Taylor & Francis: New York, NY, USA, 2016; p. 120. [Google Scholar]
- Glöckner, A.; Irlenbusch, B.; Kube, S.; Nicklisch, A.; Normann, H.T. Leading with(out) Sacrifice? A Public-Goods Experiment with a Privileged Player. Econ. Inq. 2011, 49, 591–597. [Google Scholar] [CrossRef]
- De Cremer, D. Charismatic Leadership and Cooperation in Social Dilemmas: A Matter of Transforming Motives?1. J. Appl. Soc. Psychol. 2002, 32, 997–1016. [Google Scholar] [CrossRef]
- Oc, B.; Bashshur, M.R. Followership, Leadership and Social Influence. Leadersh. Q. 2013, 24, 919–934. [Google Scholar] [CrossRef]
- Bandura, A. Social Learning Theory; Prentice-Hall: Englewood Cliffs, NJ, USA, 1977. [Google Scholar]
- Tsvetkova, M.; Macy, M.W. The Social Contagion of Generosity. PLoS ONE 2014, 9. [Google Scholar] [CrossRef] [PubMed]
- Capraro, V.; Perc, M. Grand Challenges in Social Physics: In Pursuit of Moral Behavior. Front. Phys. 2018, 6, 1–6. [Google Scholar] [CrossRef]
- Capraro, V.; Jagfeld, G.; Klein, R.; Mul, M.; van de Pol, I. What’s the Right Thing to Do? Increasing Pro-Sociality with Simple Moral Nudges. Ssrn 2017. [Google Scholar] [CrossRef]
- Capraro, V.; Rand, D.G. Do the Right Thing: Experimental Evidence That Preferences for Moral Behavior, Rather than Equity or Efficiency per Se, Drive Human Prosociality. Judgm. Decis. Mak. 2018, 13, 99–111. [Google Scholar] [CrossRef]
- Capraro, V.; Vanzo, A. The Power of Moral Words: Understanding Framing Effects in Extreme Dictator Games Using Sentiment Analysis and Moral Judgments. arXiv preprint, 2019; arXiv:1901.02314. [Google Scholar]
- Krupka, E.L.; Weber, R.A. Identifying Social Norms Using Coordination Games: Why Does Dictator Game Sharing Vary? J. Eur. Econ. Assoc. 2013, 11, 495–524. [Google Scholar] [CrossRef]
- Tappin, B.M.; Capraro, V. Doing Good vs. Avoiding Bad in Prosocial Choice: A Refined Test and Extension of the Morality Preference Hypothesis. J. Exp. Soc. Psychol. 2018, 79, 64–70. [Google Scholar] [CrossRef]
- Dal Bó, E.; Dal Bó, P. “Do the Right Thing:” The Effects of Moral Suasion on Cooperation. J. Public Econ. 2014, 117, 28–38. [Google Scholar] [CrossRef]
- Rand, D.G.; Kraft-Todd, G.; Gruber, J. The Collective Benefits of Feeling Good and Letting Go: Positive Emotion and (Dis) Inhibition Interact to Predict Cooperative Behavior. PLoS ONE 2015, 10, 1–12. [Google Scholar] [CrossRef]
- Levine, E.E.; Barasch, A.; Rand, D.; Berman, J.Z.; Small, D.A. Signaling Emotion and Reason in Cooperation. J. Exp. Psychol. Gen. 2018, 147, 702–719. [Google Scholar] [CrossRef]
- Bracht, J.; Regner, T. Moral Emotions and Partnership. J. Econ. Psychol. 2013, 39, 313–326. [Google Scholar] [CrossRef]
- Baumeister, R.F.; Vohs, K.D.; DeWall, C.N.; Zhang, L. How Emotion Shapes Behavior: Feedback, Anticipation, and Reflection, Rather Than Direct Causation. Personal. Soc. Psychol. Rev. 2007, 11, 167–203. [Google Scholar] [CrossRef]
- Bolino, M.C.; Grant, A.M. The Bright Side of Being Prosocial at Work, and the Dark Side, Too: A Review and Agenda for Research on Other-Oriented Motives, Behavior, and Impact in Organizations. Acad. Manag. Ann. 2016, 10, 599–670. [Google Scholar] [CrossRef]
- Haidt, J. The Positive Emotion of Elevation. Prev. Treat. 2000, 3, 1–5. [Google Scholar] [CrossRef]
- Silvers, J.A.; Haidt, J. Moral Elevation Can Induce Nursing. Emotion 2008, 8, 291–295. [Google Scholar] [CrossRef] [PubMed]
- Ma, X.; Zhao, W.; Luo, R.; Zhou, F.; Geng, Y.; Xu, L.; Gao, Z.; Zheng, X.; Becker, B.; Kendrick, K.M. Sex- and Context-Dependent Effects of Oxytocin on Social Sharing. Neuroimage 2018, 183, 62–72. [Google Scholar] [CrossRef]
- Declerck, C.H.; Boone, C.; Kiyonari, T. Oxytocin and Cooperation under Conditions of Uncertainty: The Modulating Role of Incentives and Social Information. Horm. Behav. 2010, 57, 368–374. [Google Scholar] [CrossRef]
- Bartz, J.; Simeon, D.; Hamilton, H.; Kim, S.; Crystal, S.; Braun, A.; Vicens, V.; Hollander, E. Oxytocin Can Hinder Trust and Cooperation in Borderline Personality Disorder. Soc. Cogn. Affect. Neurosci. 2011, 6, 556–563. [Google Scholar] [CrossRef]
- Declerck, C.H.; Boone, C.; Kiyonari, T. The Effect of Oxytocin on Cooperation in a Prisoner’s Dilemma Depends on the Social Context and a Person’s Social Value Orientation. Soc. Cogn. Affect. Neurosci. 2013, 9, 802–809. [Google Scholar] [CrossRef] [PubMed]
- Bartz, J.A.; Zaki, J.; Bolger, N.; Ochsner, K.N. Social Effects of Oxytocin in Humans: Context and Person Matter. Trends Cogn. Sci. 2011, 15, 301–309. [Google Scholar] [CrossRef]
- Schnall, S.; Roper, J.; Fessler, D.M.T. Elevation Leads to Altruistic Behavior. Psychol. Sci. 2010, 21, 315–320. [Google Scholar] [CrossRef] [PubMed]
- Schnall, S.; Roper, J. Elevation Puts Moral Values into Action. Soc. Psychol. Personal. Sci. 2012, 3, 373–378. [Google Scholar] [CrossRef]
- Algoe, S.B.; Haidt, J. Witnessing Excellence in Action: The “other-Praising” Emotions of Elevation, Gratitude, and Admiration. J. Posit. Psychol. 2009, 4, 105–127. [Google Scholar] [CrossRef]
- Ding, W.; Shao, Y.; Sun, B.; Xie, R.; Li, W.; Wang, X. How Can Prosocial Behavior Be Motivated? The Different Roles of Moral Judgment, Moral Elevation, and Moral Identity among the Young Chinese. Front. Psychol. 2018, 9, 1–10. [Google Scholar] [CrossRef]
- Simpson, B. Sex, Fear, and Greed: A Social Dilemma Analysis of Gender and Cooperation. Soc. Forces 2003, 82, 35–52. [Google Scholar] [CrossRef]
- Bogaert, S.; Boone, C.; Declerck, C. Social Value Orientation and Cooperation in Social Dilemmas: A Review and Conceptual Model. Br. J. Soc. Psychol. 2008, 47, 453–480. [Google Scholar] [CrossRef] [PubMed]
- Pletzer, J.L.; Balliet, D.; Joireman, J.; Kuhlman, D.M.; Voelpel, S.C.; Van Lange, P.A.M. Social Value Orientation, Expectations, and Cooperation in Social Dilemmas: A Meta-Analysis. Eur. J. Pers. 2018, 32, 62–83. [Google Scholar] [CrossRef]
- Epstein, S. The Stability of Confusion: A Reply to Mischel and Peake. Psychol. Rev. 1983, 90, 179–184. [Google Scholar] [CrossRef]
- Kenrick, D.T.; Funder, D.C. Profiting from Controversy: Lessons from the Person-Situation Debate. Am. Psychol. 1988, 43, 23–34. [Google Scholar] [CrossRef]
- Buss, A.R. The Trait-Situation Controversy and the Concept of Interaction. Personal. Soc. Psychol. Bull. 1977, 3, 196–201. [Google Scholar] [CrossRef]
- Milgram, S. Behavioral Study of Obedience. J. Abnorm. Soc. Psychol. 1963, 67, 371–378. [Google Scholar] [CrossRef]
- Block, J. Some Reasons for the Apparent Inconsistency of Personality. Psychol. Bull. 1968, 70, 210–212. [Google Scholar] [CrossRef]
- Cooper, W.H.; Withey, M.J. The Strong Situation Hypothesis. Personal. Soc. Psychol. Rev. 2009, 13, 62–72. [Google Scholar] [CrossRef]
- McCormick, B.W.; Guay, R.P.; Colbert, A.E.; Stewart, G.L. Proactive Personality and Proactive Behaviour: Perspectives on Person-Situation Interactions. J. Occup. Organ. Psychol. 2019, 92, 30–51. [Google Scholar] [CrossRef]
- Hardy, C.L.; Van Vugt, M. Nice Guys Finish First: The Competitive Altruism Hypothesis. Personal. Soc. Psychol. Bull. 2006, 32, 1402–1413. [Google Scholar] [CrossRef] [PubMed]
- McNeish, D.M.; Stapleton, L.M. The Effect of Small Sample Size on Two-Level Model Estimates: A Review and Illustration. Educ. Psychol. Rev. 2016, 28, 295–314. [Google Scholar] [CrossRef]
- Stegmueller, D. How Many Countries for Multilevel Modeling? A Comparison of Frequentist and Bayesian Approaches. Am. J. Pol. Sci. 2013, 57, 748–761. [Google Scholar] [CrossRef]
- Maas, C.J.M.; Hox, J.J. Robustness Issues in Multilevel Regression Analysis. Stat. Neerl. 2004, 58, 127–137. [Google Scholar] [CrossRef]
- Meuleman, B.; Billiet, J. A Monte Carlo Sample Size Study: How Many Countries Are Needed for Accurate Multilevel SEM? Surv. Res. Methods 2009, 3. [Google Scholar] [CrossRef]
- Marks, M.; Croson, R. Alternative Rebate Rules in the Provision of a Threshold Public Good: An Experimental Investigation. J. Public Econ. 1998, 67, 195–220. [Google Scholar] [CrossRef]
- Pillutla, M.M.; Chen, X.P. Social Norms and Cooperation in Social Dilemmas: The Effects of Context and Feedback. Organ. Behav. Hum. Decis. Process. 1999, 78, 81–103. [Google Scholar] [CrossRef] [PubMed]
- Van Lange, P.A.M.; De Bruin, E.M.N.; Otten, W.; Joireman, J.A. Development of Prosocial, Individualistic, and Competitive Orientations: Theory and Preliminary Evidence. J. Pers. Soc. Psychol. 1997, 73, 733–746. [Google Scholar] [CrossRef]
- Van Lange, P.A.; Bekkers, R.; Schuyt, T.N.; Vugt, M.V. From Games to Giving: Social Value Orientation Predicts Donations to Noble Causes. Basic Appl. Soc. Psych. 2007, 29, 375–384. [Google Scholar] [CrossRef]
- He, L.; Bian, R.; Che, H. The Effects of the Social Value Orientation and Feedback Formats on Decision Behavior in the Public Goods Dilemma. Psychol. Sci. 2013, 2, 446–452. [Google Scholar]
- Haesevoets, T.; Folmer, C.R.; Van Hiel, A. Cooperation in Mixed-Motive Games: The Role of Individual Differences in Selfish and Social Orientation. Eur. J. Pers. 2015, 29, 445–458. [Google Scholar] [CrossRef]
- Haidt, J. The Moral Emotions. In Handbook of Affective Sciences; Oxford University Press: Oxford, UK, 2003; pp. 852–870. [Google Scholar]
- Aquino, K.; McFerran, B.; Laven, M. Moral Identity and the Experience of Moral Elevation in Response to Acts of Uncommon Goodness. J. Pers. Soc. Psychol. 2011, 100, 703–718. [Google Scholar] [CrossRef]
- Ding, W.; Wang, X.; Sun, B.; Li, W. The Structure and Measurement of the Moral Elevation. Adv. Psychol. 2014, 4, 777–787. [Google Scholar] [CrossRef]
- Fischbacher, U. Z-Tree: Zurich Toolbox for Ready-Made Economic Experiments. Exp. Econ. 2007, 10, 171–178. [Google Scholar] [CrossRef]
- Muthén, L.K.; Muthén, B.O. Mplus User’s Guide, 8th ed.; Muthén & Muthén: Los Angeles, CA, USA, 1998. [Google Scholar]
- Preacher, K.J.; Zhang, Z.; Zyphur, M.J. Alternative Methods for Assessing Mediation in Multilevel Data: The Advantages of Multilevel SEM. Struct. Equ. Model. A Multidiscip. J. 2011, 18, 161–182. [Google Scholar] [CrossRef]
- Preacher, K.J.; Rucker, D.D.; Hayes, A.F. Addressing Moderated Mediation Hypotheses: Theory, Methods, and Prescriptions. Multivariate Behav. Res. 2007, 42, 185–227. [Google Scholar] [CrossRef]
- Preacher, K.J.; Zyphur, M.J.; Zhang, Z. A General Multilevel SEM Framework for Assessing Multilevel Mediation. Psychol. Methods 2010, 15, 209–233. [Google Scholar] [CrossRef]
- Baron, R.M.; Kenny, D.A. The Moderator–mediator Variable Distinction in Social Psychological Research: Conceptual, Strategic, and Statistical Considerations. J. Pers. Soc. Psychol. 1986, 51, 1173–1182. [Google Scholar] [CrossRef]
- Hayes, A.F. Beyond Baron and Kenny: Statistical Mediation Analysis in the New Millennium. Commun. Monogr. 2009, 76, 408–420. [Google Scholar] [CrossRef]
- MacKinnon, D.P.; Lockwood, C.M.; Williams, J. Comparison of Approaches in Estimating Interaction and Quadratic Effects of Latent Variables. Multivariate Behav. Res. 2004, 39, 37–67. [Google Scholar] [CrossRef]
- Sobel, M.E. Asymptotic Confidence Intervals for Indirect Effects in Structural Equation Models. Sociol. Methodol. 1982, 13, 290. [Google Scholar] [CrossRef]
- Sobel, M.E. Some New Results on Indirect Effects and Their Standard Errors in Covariance Structure Models. Sociol. Methodol. 1986, 16, 159. [Google Scholar] [CrossRef]
- Williams, J.; MacKinnon, D.P. Resampling and Distribution of the Product Methods for Testing Indirect Effects in Complex Models. Struct. Equ. Model. A Multidiscip. J. 2008, 15, 23–51. [Google Scholar] [CrossRef]
- Preacher, K.J.; Selig, J.P. Monte Carlo Method for Assessing Multilevel Mediation: An Interactive Tool for Creating Confidence Intervals for Indirect Effects in 1-1-1 Multilevel Models [Computer software]. Available online: http://quantpsy.org/ (accessed on 20 January 2019).
- Chen, X.; Xu, S.; Fan, J. Empirical Methods in Organization and Management Research, 2nd ed.; Peking University Press: Beijing, China, 2012. [Google Scholar]
- Preacher, K.J.; Selig, J.P. Advantages of Monte Carlo Confidence Intervals for Indirect Effects. Commun. Methods Meas. 2012, 6, 77–98. [Google Scholar] [CrossRef]
- Bass, B.M. Leadership and Perjbrmance beyond Expectations; Free Press: New York, NY, USA, 1985. [Google Scholar]
- Shamir, B.; House, R.J.; Arthur, M.B. The Motivational Effects of Charismatic Leadership: A Self-Concept Based Theory. Organ. Sci. 1993, 4, 577–594. [Google Scholar] [CrossRef]
- Mas’odl, A.; Sulaiman, Z.; Hashim, N.H.; Khalifah, Z. The Moderating Role of Integrated Persuasive Communication Messages towards Pro-Environmental Behaviour. Soc. Sci. 2016, 11, 4924–4931. [Google Scholar] [CrossRef]
- Schultz, P.W.; Nolan, J.M.; Cialdini, R.B.; Goldstein, N.J.; Griskevicius, V. The Constructive, Destructive, and Reconstructive Power of Social Norms: Reprise. Perspect. Psychol. Sci. 2018, 13, 249–254. [Google Scholar] [CrossRef] [PubMed]
- McDaniel, W.C.; Sistrunk, F. Management Dilemmas and Decisions. J. Confl. Resolut. 1991, 35, 21–42. [Google Scholar] [CrossRef]
- Poppe, M. The Specificity of Social Dilemma Situations. J. Econ. Psychol. 2005, 26, 431–441. [Google Scholar] [CrossRef]
- Poppe, M.; Zwikker, M. The Effect of Threshold Level on Greed, Fear, and Cooperation in Step-Level Give-Some and Take-Some Dilemmas. In Frontiers in Social Dilemmas Research; Springer: Berlin/Heidelberg, Germany, 1996; pp. 185–204. [Google Scholar]





| A. | The number of PPs in the group choosing the environment account | ||||||
| 0 PP | 1 PP | 2 PPs | 3 PPs | 4 PPs | |||
| Did you choose the environment account? | Yes | / | 0 | 12 | 18 | 24 | |
| No | 10 | 10 | 22 | 28 | / | ||
| B. | The number of PPs in the group choosing the environment account | ||||||
| 0 PP | 1 PP | 2 PPs | 3 PPs | 4 PPs | 5 PPs | ||
| Did you choose the environment account? | Yes | / | 0 | 0 | 12 | 18 | 24 |
| No | 10 | 10 | 10 | 22 | 28 | / | |
| Estimate | SE | 95% CI | |
|---|---|---|---|
| Between level | |||
| Intercept | 5.65 *** | 0.24 | [−5.63, −5.49] |
| Path ab | 1.11 ** | 0.35 | [0.43, 1.79] |
| Path bb | 1.33 *** | 0.11 | [1.13, 1.54] |
| Path cb | 0.41 *** | 0.07 | [0.28, 0.54] |
| Residual variance ELV | 0.58 *** | 0.16 | [0.26, 0.90] |
| Residual variance DM | 0.28 *** | 0.04 | [0.19, 0.36] |
| Within level | |||
| Path bw | 0.51 *** | 0.07 | [0.20, 0.63] |
| Residual variance DM | 5.14 *** | 0.58 | [4.00, 6.28] |
| Indirect effect | 1.94 ** | 0.61 | [0.73, 3.22] a |
| Model 1 | Model 2 | ||||||
|---|---|---|---|---|---|---|---|
| Estimate | SE | 95% CI | Estimate | SE | 95% CI | ||
| Between level | |||||||
| Intercept | 3.45 *** | 0.15 | [3.16, 3.75] | −0.35 | 0.29 | [−0.91, 0.21] | |
| Path ab | Path ab0 | 1.72 *** | 0.40 | [0.94, 2.51] | 1.11 *** | 0.30 | [0.52, 1.70] |
| Path ab1 | −1.13 * | 0.46 | [−2.04, −0.22] | ||||
| Path bb | Path bb0 | 0.14 ** | 0.05 | [0.04, 0.23] | 0.43 *** | 0.04 | [0.37, 0.50] |
| Path bb1 | −0.04 | 0.04 | [−0.12, 0.04] | ||||
| Path cb | 2.24 *** | 0.39 | [1.48, 3.00] | 1.08 *** | 0.09 | [0.91, 1.25] | |
| Residual variance ELV | 0.97 *** | 0.22 | [0.53, 1.40] | 0.57 *** | 0.18 | [0.22, 0.93] | |
| Residual variance DM | 0.76 | 0.73 | [−0.67, 2.19] | 0.71 *** | 0.05 | [0.62, 0.81] | |
| Within level | |||||||
| Path bw | 0.45 *** | 0.11 | [0.23, 0.66] | 0.43 *** | 0.04 | [0.37, 0.50] | |
| Residual variance DM | 5.11 *** | 0.51 | [4.10, 6.11] | 5.11 *** | 0.57 | [4.00, 6.22] | |
| Conditional indirect effect (SVO = pro-self) | 0.24 ** | 0.08 | [0.06, 0.46] a | 0.48 ** | 0.14 | [0.22, 0.76] a | |
| Conditional indirect effect (SVO = pro-social) | 0.08 | 0.06 | [−0.08, 0.29] a | 0.44 ** | 0.13 | [0.20, 0.72] a | |
| Difference between two conditions | −0.15 * | 0.07 | [−0.35, -0.02] a | −0.04 | 0.05 | [−0.14, 0.05] a | |
© 2019 by the authors. Licensee MDPI, Basel, Switzerland. This article is an open access article distributed under the terms and conditions of the Creative Commons Attribution (CC BY) license (http://creativecommons.org/licenses/by/4.0/).
Share and Cite
Zhang, Q.; Chen, Y.; Tao, Y.; Farid, T.; Ma, J. How Consistent Contributors Inspire Individuals to Cooperate: The Role of Moral Elevation and Social Value Orientation. Sustainability 2019, 11, 1874. https://doi.org/10.3390/su11071874
Zhang Q, Chen Y, Tao Y, Farid T, Ma J. How Consistent Contributors Inspire Individuals to Cooperate: The Role of Moral Elevation and Social Value Orientation. Sustainability. 2019; 11(7):1874. https://doi.org/10.3390/su11071874
Chicago/Turabian StyleZhang, Qionghan, Yingyuan Chen, Yuan Tao, Tahir Farid, and Jianhong Ma. 2019. "How Consistent Contributors Inspire Individuals to Cooperate: The Role of Moral Elevation and Social Value Orientation" Sustainability 11, no. 7: 1874. https://doi.org/10.3390/su11071874
APA StyleZhang, Q., Chen, Y., Tao, Y., Farid, T., & Ma, J. (2019). How Consistent Contributors Inspire Individuals to Cooperate: The Role of Moral Elevation and Social Value Orientation. Sustainability, 11(7), 1874. https://doi.org/10.3390/su11071874

