Lipid-Extracted Algae as a Soil Amendment Can Increase Soil Salinization and Reduce Forage Growth
Abstract
1. Introduction
2. Materials and Methods
2.1. Soil and Amendment Characterization
2.2. Experimental Design and Treatment Preparation
2.3. Forage Seedling Emergence, Herbage Mass, and Mineral Content
2.4. Soil Collection and Characterization after Forage Harvest
2.5. Statistical Analyses
3. Results
3.1. Soil and Amendment Characterization
3.2. Forage Seedling Emergence and Herbage Mass
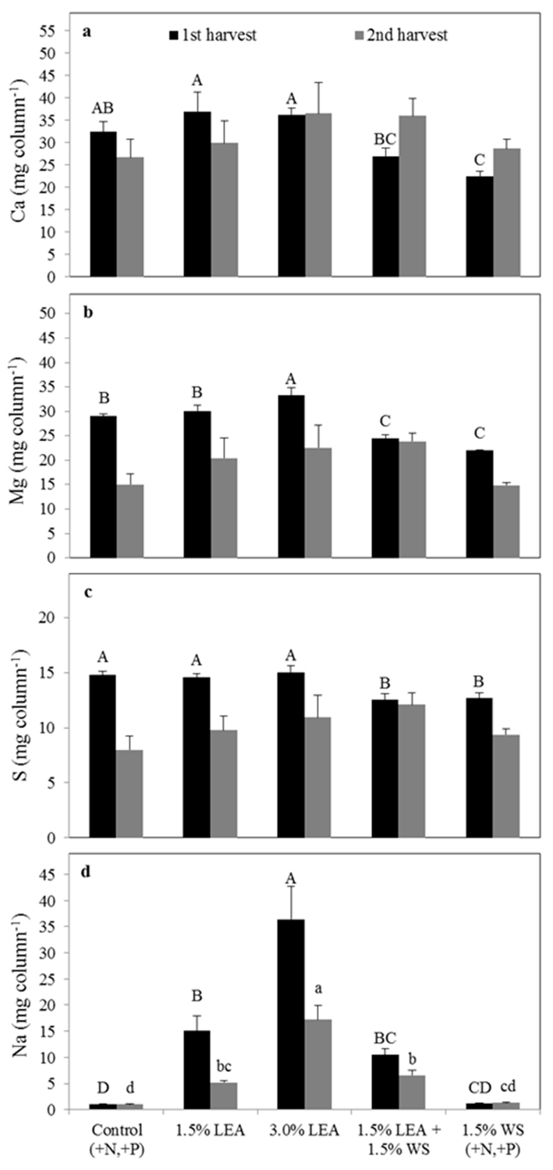
3.3. Plant Mineral Concentrations and Uptake
3.4. Soil Calcium, Magnesium, Sulfur, and Sodium Concentrations and pH and Electrical Conductivity (EC)
4. Discussion
5. Conclusions
Author Contributions
Funding
Conflicts of Interest
References
- Slade, R.; Bauen, A. Micro-algae cultivation for biofuels: Cost, energy balance, environmental impacts and future prospects. Biomass Bioenergy 2013, 53, 29–38. [Google Scholar] [CrossRef]
- Rothlisberger-Lewis, K.L.; Foster, J.L.; Hons, F.M. Soil carbon and nitrogen dynamics as affected by lipid-extracted algae application. Geoderma 2015, 262, 140–146. [Google Scholar] [CrossRef]
- Gelin, F.; Volkman, J.; Largeau, C.; Derenne, S.; Damste, J.; De Leeuw, J. Distribution of aliphatic, nonhydrolyzable biopolymers in marine microalgae. Org. Geochem. 1999, 30, 147–159. [Google Scholar] [CrossRef]
- Poirier, N.; Derenne, S.; Rouzaud, J.; Largeau, C.; Mariotti, A.; Balesdent, J.; Maquet, J. Chemical structure and sources of the macromolecular, resistant, organic fraction isolated from a forest soil (Lacadee, south-west France). Org. Geochem. 2000, 31, 813–827. [Google Scholar] [CrossRef]
- Cassman, K.G.; Dobermann, A.; Walters, D.T.; Yang, H. Meeting cereal demand while protecting natural resources and improving environmental quality. Annu. Rev. Environ. Resour. 2003, 28, 315–358. [Google Scholar] [CrossRef]
- Flowers, T.J.; Yeo, A.R. Breeding for salinity resistance in crop plants: Where next? Aust. J. Plant Physiol. 1995, 22, 875–884. [Google Scholar] [CrossRef]
- Ashraf, M. Breeding for salinity tolerance in plants. Crit. Rev. Plant Sci. 1994, 13, 17–42. [Google Scholar] [CrossRef]
- Hasegawa, B.; Bressan, A.; Zhu, J.K.; Bohnert, H.J. Plant cellular and molecular responses to high salinity. Annu. Rev. Plant Biol. 2000, 51, 463–499. [Google Scholar] [CrossRef]
- Parida, A.K.; Das, A.D. Salt tolerance and salinity effects on plants: A review. Ecotoxicol. Environ. Saf. 2005, 60, 324–349. [Google Scholar] [CrossRef] [PubMed]
- Greenway, H.; Munns, R. Mechanisms of salt tolerance in nonhalophytes. Annu. Rev. Plant Physiol. 1980, 31, 149–190. [Google Scholar] [CrossRef]
- Munns, R. Comparative physiology of salt and water stress. Plant Cell Environ. 2002, 25, 239–250. [Google Scholar] [CrossRef] [PubMed]
- Ayers, R.S.; Westcot, D.W. Water Quality for Agriculture; Irrigation and Drainage Paper 29; FAO: Rome, Italy, 1985. [Google Scholar]
- Ashraf, M.; McNeilly, T. Salinity effects on five cultivars/lines of pearl millet (Pennisetum americanum [L.] leeke). Plant Soil 1987, 103, 13–19. [Google Scholar] [CrossRef]
- Dua, R.P. Salinity tolerance in pearl millet. Indian J. Agric. Res. 1989, 23, 9–14. [Google Scholar]
- Ravikovitch, S.; Yoles, D. The influence of phosphorus and nitrogen on millet and clover growing in soils affected by salinity I. Plant development. Plant Soil 1971, 15, 555–567. [Google Scholar] [CrossRef]
- Bower, C.A.; Ogata, G.; Tucker, J.M. Growth of sudan and tall fescue grasses as influenced by irrigation water salinity and leaching fraction. Agron. J. 1970, 62, 793–794. [Google Scholar] [CrossRef]
- Francois, L.E.; Donovan, T.J.; Maas, E.V. Salinity effects on seed yield, growth, and germination of grain sorghum. Agron. J. 1984, 76, 741–744. [Google Scholar] [CrossRef]
- U.S. Climate Data. 2016. Available online: http://www.usclimatedata.com/climate/beeville/texas/united-states/ustx0095 (accessed on 14 September 2016).
- Natural Resources Conservation Service, United States Department of Agriculture, Official Soil Series Descriptions. 2010. Available online: https://soilseries.sc.egov.usda.gov/OSD_Docs/W/WEESATCHE.html (accessed on 14 September 2016).
- Storer, D.A. A simple high volume ashing procedure for determining soil organic matter. Commun. Soil Sci. Plant Anal. 1984, 15, 759–772. [Google Scholar] [CrossRef]
- McGeehan, S.L.; Naylor, D.V. Automated instrumental analysis of carbon and nitrogen in plant and soil samples. Commun. Soil Sci. Plant Anal. 1988, 19, 493–505. [Google Scholar] [CrossRef]
- Schulte, E.E.; Hopkins, B.G. Estimation of soil organic matter by weight by weight loss-on-ignition. In Soil Organic Matter: Analysis and Interpretation; Magdoff, F.R., Tabatabai, M.A., Hanlon, E.A., Jr., Eds.; SSSA: Madison, WI, USA, 1996; p. 21. [Google Scholar] [CrossRef]
- Mehlich, A. Mehlich-III soil test extractant: A modification of Mehlich-II extractant. Commun. Soil Sci. Plant Anal. 1984, 15, 1409–1416. [Google Scholar] [CrossRef]
- Lindsay, W.L.; Norvell, W.A. Development of a DTPA soil test for zinc, iron, manganese, and copper. Soil Sci. Soc. Am. J. 1978, 42, 421–428. [Google Scholar] [CrossRef]
- Isaac, R.A.; Johnson, W.C. Collaborative study of wet and dry ashing techniques for the elemental analysis of plant tissue by atomic absorption spectrophotometry. J. Assoc. Off. Anal. Chem. 1975, 58, 436–440. [Google Scholar]
- Havlin, J.L.; Soltanpour, P.N. A nitric acid and plant digest method for use with inductively coupled plasma spectrometry. Commun. Soil. Sci. Plant Anal. 1980, 11, 969–980. [Google Scholar] [CrossRef]
- Rhoades, J.D. Soluble salts. In Methods of Soil Analysis: Part 2, Agronomy Monogr 9, 2nd ed.; Page, A.L., Miller, R.H., Keeney, D.R., Eds.; SSSA: Madison, WI, USA, 1982; p. 167. [Google Scholar]
- Baltensperger, D.D. Foxtail and proso millet. In Progress in New Crops; Janick, J., Ed.; ASHS Press: Alexandria, VA, USA, 1996; p. 182. [Google Scholar]
- SAS Institute. The SAS System for Windows; SAS Version 9.3; SAS Inst.: Cary, NC, USA, 2011. [Google Scholar]
- Weimberg, R.; Lerner, H.R.; Poljakoff-Mayber, A. Changes in growth and water-soluble solute concentrations in Sorghum bicolor stressed with sodium and potassium salts. Physiol. Plant. 1984, 62, 472–480. [Google Scholar] [CrossRef]
- Yang, Y.W.; Newton, R.J.; Miller, F.R. Salinity tolerance in sorghum. I. Whole plant response to sodium chloride in S. bicolor and S. halepense. Crop Sci. 1988, 30, 775–781. [Google Scholar] [CrossRef]









| pH | EC | Organic | Total | Soil Extractable Elements and LEA/WS Total Minerals | ||||||||||
|---|---|---|---|---|---|---|---|---|---|---|---|---|---|---|
| C | N | P | K | Ca | Mg | S | Na | Fe | Zn | Mn | Cu | |||
| dS m−1 | g kg−1 | mg kg−1 | ||||||||||||
| Soil | ||||||||||||||
| Weesatche | 6.1 | 0.27 | 25 | 1.8 | 13 | 358 | 3333 | 237 | 24 | 36 | 21 | 4 | 15 | 4 |
| Amendments | ||||||||||||||
| LEA | 9.9 | 32.5 | 343 | 32 | 4339 | 6997 | 62,666 | 7212 | 9282 | 52,922 | 3664 | 29 | 79 | 14 |
| WS | 6.6 | 3.43 | 404 | 8.0 | 800 | 14,400 | 3200 | 800 | 992 | 533 | 39 | 20 | 17 | 5 |
| Treatment | Foxtail Millet | Sorghum-Sudangrass | Pearl Millet |
|---|---|---|---|
| % of Seed Planted | |||
| Control (+N, +P) | 37.5 | 90.0 | 90.0 a * |
| 1.5% LEA ** | 36.3 | 72.5 | 85.0 ab |
| 3.0% LEA | 43.8 | 82.5 | 65.0 b |
| 1.5% LEA + 1.5% WS | 27.5 | 80.0 | 90.0 a |
| 1.5% WS (+N, +P) | 30.0 | 97.5 | 82.5 ab |
| Test Statistics | |||
| p-value | 0.32 | 0.15 | 0.098 |
| CV, % | 32.47 | 16.24 | 16.19 |
| Treatment | Ca | Mg | S | Na |
|---|---|---|---|---|
| mg kg−1 | ||||
| Foxtail millet soil | ||||
| Control (+N, +P) | 3279 b * | 224 cd | 12 bc | 67 c |
| 1.5% LEA ** | 3414 b | 240 b | 19 b | 380 b |
| 3.0% LEA | 3808 a | 274 a | 30 a | 690 a |
| 1.5% LEA + 1.5% WS | 3406 b | 236 bc | 17 b | 404 b |
| 1.5% WS (+N, +P) | 3104 c | 223 d | 8 c | 59 c |
| p-value | <0.0001 | <0.0001 | 0.0001 | <0.0001 |
| Sorghum-sudangrass soil | ||||
| Control (+N, +P) | 3208 c | 218 c | 9 b | 88 c |
| 1.5% LEA | 3462 b | 235 b | 11 b | 390 b |
| 3.0% LEA | 3809 a | 264 a | 17 a | 669 a |
| 1.5% LEA + 1.5% WS | 3544 b | 238 b | 11 b | 354 b |
| 1.5% WS (+N, +P) | 3267 c | 225 c | 9 b | 86 c |
| p-value | <0.0001 | <0.0001 | 0.001 | <0.0001 |
| Pearl millet soil | ||||
| Control (+N, +P) | 3351 bc | 216 b | 6 b | 68 c |
| 1.5% LEA | 3747 a | 225 b | 7 b | 298 b |
| 3.0% LEA | 3923 a | 249 a | 13 a | 615 a |
| 1.5% LEA + 1.5% WS | 3491 b | 226 b | 9 ab | 221 b |
| 1.5% WS (+N, +P) | 3215 c | 221 b | 5 b | 71 c |
| p-value | <0.0001 | 0.0004 | 0.0100 | <0.0001 |
© 2019 by the authors. Licensee MDPI, Basel, Switzerland. This article is an open access article distributed under the terms and conditions of the Creative Commons Attribution (CC BY) license (http://creativecommons.org/licenses/by/4.0/).
Share and Cite
Lewis, K.L.; Foster, J.L.; Hons, F.M. Lipid-Extracted Algae as a Soil Amendment Can Increase Soil Salinization and Reduce Forage Growth. Sustainability 2019, 11, 1946. https://doi.org/10.3390/su11071946
Lewis KL, Foster JL, Hons FM. Lipid-Extracted Algae as a Soil Amendment Can Increase Soil Salinization and Reduce Forage Growth. Sustainability. 2019; 11(7):1946. https://doi.org/10.3390/su11071946
Chicago/Turabian StyleLewis, Katie L., Jamie L. Foster, and Frank M. Hons. 2019. "Lipid-Extracted Algae as a Soil Amendment Can Increase Soil Salinization and Reduce Forage Growth" Sustainability 11, no. 7: 1946. https://doi.org/10.3390/su11071946
APA StyleLewis, K. L., Foster, J. L., & Hons, F. M. (2019). Lipid-Extracted Algae as a Soil Amendment Can Increase Soil Salinization and Reduce Forage Growth. Sustainability, 11(7), 1946. https://doi.org/10.3390/su11071946

