Next Article in Journal
Analysis of Regional Differences in Energy-Related PM2.5 Emissions in China: Influencing Factors and Mitigation Countermeasures
Previous Article in Journal
Evaluation of Wood Coverage on Building Facades Towards Sustainability
 
 
Font Type:
Arial Georgia Verdana
Font Size:
Aa Aa Aa
Line Spacing:
Column Width:
Background:
Article

Supply Contract Design with Asymmetric Corporate Social Responsibility Cost Information in Service Supply Chain

College of Management and Economics, Tianjin University, Tianjin 300072, China
*
Author to whom correspondence should be addressed.
Sustainability 2019, 11(5), 1408; https://doi.org/10.3390/su11051408
Submission received: 2 February 2019 / Revised: 25 February 2019 / Accepted: 1 March 2019 / Published: 6 March 2019
(This article belongs to the Section Economic and Business Aspects of Sustainability)

Abstract

:
Corporate social responsibility (CSR) has become the focus of the company’s daily operations and strategic choices. At present, the supply risk events caused by the CSR violations of service providers in the service supply chain are frequent, which highlight the importance of formulating appropriate contracts to constrain the CSR level of providers. In the context of asymmetric CSR cost information, this paper analyzes the optimal contract parameters of integrators when providing screening contracts or pooling contracts and compares their impact on profits and the CSR level. The information asymmetry belongs to classic principal-agent problem, and we will use the revelation principle to design the contracts and solve this problem. The results that different contracts have different effects on the CSR level of different types of providers. A low-cost provider’s CSR level is the highest when a screening contract is provided, while a high-cost provider’s CSR level reaches the peak under a pooling contract. If pursuing profit maximization, the integrator should choose to provide a screening contract. When the integrator needs to ensure a higher average level of social responsibility, a pooling contract should be chosen. The findings also show that service cost is an important factor affecting the CSR level of the provider, and only when the providers’ service cost is low, will providers actively fulfill their social responsibility.

1. Introduction

Nowadays, sustainable supply chain management is highly valued by practitioners and researchers. As an impartible part of sustainability, corporate social responsibility is an important aspect to conduct sustainable supply chain management [1,2]. Corporate social responsibility (CSR) describes the obligations of companies to the stakeholders that are outside the company’s shareholders [1]. Companies that conduct CSR activities aim at not only maximizing profits but also at enhancing the long-time well-being of society and the environment. CSR has become an integral part of the daily business operation and strategic planning of corporations [2,3]. In the daily operations of companies, enhancing the company’s own CSR is not the most difficult problem; the need for companies to strengthen their suppliers’ CSR has become an overriding concern. At present, the issue of supplier CSR has received extensive attention in the service industry. Take the logistics service supply chain as an example. In May 2018, STO Express, one of the biggest express companies in China, was faced with scrutiny because its sorting service provider in Xizhimen, Beijing was accused of “violent sorting” and many parcels were broken. This scandal brought severe negative impacts to STO Express and greatly damaged the corporate image of STO Express among customers [4]. In addition, platform-based service companies, such as Didi and Airbnb, have also been deeply affected by the social responsibility of service providers [5,6]. For example, Airbnb was faced a lawsuit in U.S. court due to a family was killed in the homeowners’ house [6]. These cases all show that when the suppliers fail to abide by socially responsible behavior, it will bring large losses to the companies.
A typical service supply chain consists of service providers and service integrators, where service integrators (i.e., STO Express/Didi/Airbnb) integrate resources from service providers (i.e., sorting service providers/private car owners/homeowners) into an integrated service to provide to customers. In other words, service integrators might not have the physical resources to provide the service but can take part in the service supply chain by using their advantages in marketing and information and then outsource the specific service to the service providers [7,8]. In the service supply chain, service providers are usually small and medium-sized companies, and even individuals. They are hidden from the public’s vision and institutional pressure. When violation scandals are exposed, the core companies in the supply chain, namely, the service integrators, bear the brunt of the damage first [9,10]. However, the providers themselves are subject to far less regulatory pressure from government departments and public media pressures than integrators. In the case of STO Express, although it was its provider that had not fulfilled the CSR, the media was targeted at STO Express when reporting negative news, and the supervision department also asked STO Express for compensation instead of the providers. Therefore, the provider’s incentive to fulfill the social responsibility requirement is insufficient, and the integrator needs to design proper incentives for the providers. Agreeing on the provider’s social responsibility level by a contract and linking it with its performance to monitor or motivate the provider’s CSR has been an important tool [1]. For example, Tianjin SND Logistics Company, one of the largest logistics companies in Tianjin, China, will sign a subcontract to guarantee the provider’s CSR level while signing a service contract with its provider. Similar contracts can be found in some multinational corporations such as Nestle in France, HP in Japan and Migros in Switzerland [11].
However, when designing contracts in practice, many companies have encountered difficulties. This is because, for service providers, social responsibility comes at a cost, i.e., they have to pay more to satisfy the interests of other stakeholders, such as customers, employees and integrators [12]. The higher the level of CSR, the higher the cost, which is commonly known by the integrator and service provider. As a principal, a service integrator cannot directly intervene in the operation of the provider. Under the premise that the provider does not share the cost information, the integrator cannot know the CSR cost of the provider, nor can it judge the type of provider according to their CSR cost. Considering the asymmetry of provider CSR cost information, integrators have two options when signing contracts with providers.
The first is to use a screening contract, that is, the integrator adopts a menu of contracts that includes different types of contracts with different contract parameters for different types of providers. The screening contract is an incentive contract commonly used by companies under information asymmetry [12,13]. The other is the use of a pooling contract, which means that the integrator only provides one type of contract, that is, the type of provider does not have to be identified and the integrator signs the same type of contract with all providers. Pooling contracts are also very common in practice. Take the SND Logistics Company we surveyed as an example. They have a uniform standard for their providers’ CSR, which requires all providers to execute and sign the same contract according to the same standards. Under these two contract models, integrators have an information disadvantage, and efficient providers can use their information advantages to obtain additional income, which we call information rent [7]. The existence of information rent causes the two contractual methods to have different effects on the CSR of the provider and the profits of both sides of the supply chain.
For integrators, the profitability of the company and the CSR level of the provider are different under these two contract models. Despite many companies placing profits as the first priority, increasingly, integrators have put forward higher requirements in terms of social responsibility to establish a good corporate image. Therefore, how to constrain the CSR level of providers through contracts and choose the appropriate contract to meet the requirements of profit and CSR in different situations is the main practical motivation of this paper.
A few researchers in the supply chain management area have studied CSR in theory [12,14], and most of the research in this field is focused on using empirical methods to test the impact of CSR activities on business or social performance [15,16,17,18] or building a model to coordinate the supply chain by using a contract considering CSR [19,20,21]. There are fewer studies considering the contract design in the case of asymmetric CSR cost information, and only a few scholars have studied the problem. For example, Ma et al. [12] established a two-stage supply chain with asymmetric CSR cost information and found that information asymmetry under the traditional wholesale price contract will bring losses to the retailer, but the manufacturer will benefit, and further proposed a two-part tariff contract to achieve supply chain coordination. However, to our best knowledge, there is no research to discuss the impact of the pooling contract and screening contract on the provider’s CSR under provider CSR cost information asymmetry, and how to choose the contracts to maximize integrators’ utility when faced different providers, although these two types of contracts are very common in practice.
Based on the abovementioned practical background and theoretical research gap, this paper mainly studies the following issues:
(1) Under the screening contract and the pooling contract, how do integrators formulate their optimal contract parameters to maximize their profits?
(2) What are the impacts of different contractual models on the provider’s CSR and the profits of both parties?
(3) How do integrators choose the right contract based on the needs of the company? And, under information asymmetry, what is the information rent that the integrator needs to pay under the two contracts?
In this paper, we consider a two-stage service supply chain in which the provider’s CSR cost information is unknown to the integrator. Through analysis, this paper mainly obtains the following conclusions. First, the provider’s CSR is closely related to its service cost. When the provider’s service cost is high, the provider will refuse to fulfill their social responsibility or even harm the interests of stakeholders to protect the survival of the companies. At the same time, its CSR is also related to the cost of fulfilling social responsibility. When the cost of raising the level of CSR is small, the increase in demand due to its socially responsible behavior can completely compensate for the increase in cost. Therefore, there will be an optimal CSR level of the provider. Second, the conclusions of this paper also show that screening contract and pooling contract have different effects on the level of social responsibility of different types of providers. For low-cost types of providers, when the integrator provides a screening contract, the CSR level required is significantly higher than that required when the integrator provides the pooling contract. Conversely, for high-cost types of providers, the CSR level is minimal when integrators provide screening contracts. Finally, the paper also provides theoretical guidance for the integrators’ contract selection. When providing a screening contract, the information rent paid by the integrator is always lower than the information rent when a pooling contract is provided. And when an integrator is profit-oriented and pursues profit maximization, he should choose to provide a screening contract. When the integrator needs to ensure the high average level of two types of providers, the pooling contract should be chosen.
Overall, this paper has important contributions to both practice and theoretical research. Practically, we study the CSR level of the provider and the contract selection problem of the integrator in the service supply chain under information asymmetry and to provide guidance for managers. Specifically, when profit-oriented, integrators should choose to provide screening contracts, and when pursuing higher average levels of the provider’s CSR, integrators should choose to provide pooling contracts. Theoretically, different from the existing CSR and information asymmetry related literatures that are based on the manufacturing supply chain [12], this paper first explores the provider CSR problem under information asymmetry in a service supply chain. Moreover, most of the current modeling articles on CSR are based on the perspective of supply chain coordination [21,22], and this paper deals with the integrator’s contracting problem from a new perspective of screening contracts and mixed contracts. In conclusion, this paper enriches the research on CSR in the supply chain management field.
The rest of the paper is organized as follows: Section 2 discusses the related literature. In Section 3, we present the problem description and model assumptions and develop three models: the benchmark model, screening contract model and pooling contract model. Section 4 discusses the information rent, CSR level of providers and profits under three scenarios. Section 5 uses data from the company, SND Logistics, to provide a numerical example. Section 6 presents managerial insights and concluding remarks.

2. Literature Review

Our work is primarily connected to two domains in the existing literature, which are as follows: (i) CSR in supply chain management and (ii) cost information asymmetry.

2.1. CSR in Supply Chain Management

Corporate social responsibility (CSR) has increasingly become an integral part of the daily business operation and long-term strategic planning of corporations [3]. There are two main motives for companies to actively fulfill their CSR. One is to meet the needs of stakeholders, and the other is to improve their competitiveness and avoid supply risks [23,24]. In the field of supply chain management, the research on CSR is mainly divided into two categories. One is to analyze the impacts of the supply chain members’ CSR on economic performance or social performance through empirical research. For example, Li et al. [25] proposed a consumer-oriented approach to identify CSR differentiation by using the best–worst scaling approach, and found it is profitable for companies to adopt CSR differentiation strategy. Wang and Chen [17] examined how the U.S. capital market perceives CSR and found that CSR policies not only enhance a company’s reputation but also lead to good financial performance. Similarly, Chen et al. [18] found that companies that are required to report CSR mandatorily experienced a decrease in profitability, but it could generate positive externalities in China. In addition, Subramanian and Gunasekaran [15], Crifo et al. [16] and Khan et al. [26] also conducted similar studies. The other research stream involves designing a contract to coordinate the CSR supply chain by constructing models and using analytical methods, such as game theory. For example, Ni et al. [19] established a two-stage supply chain, and all the supply chain members are required to bear CSR costs. Based on this assumption, the interactions between the supply chain members in the context of the game theory was discussed. Hsueh [10] and Panda [27] designed a revenue sharing contract to coordinate the CSR supply chain. Similar studies can also be found in Chen and Slotnick [22] and Wu et al. [21].
So far, most of the research on CSR is based on empirical methods, and there are few studies focused on modeling. There is still a huge gap in the study which analyzes the impact of different types of contracts on CSR under information asymmetry in modeling.

2.2. Cost Information Asymmetry

Cost information asymmetry means that the information of the company’s cost of production, sales, service, etc., is the private information of the companies, and other supply chain members cannot know the information when making decisions. The issue of cost information asymmetry was explored by scholars as early as the 1980s [28,29]. In the past decade, there also have been many articles on the study of cost information asymmetry.
The purpose of cost information asymmetry research is to analyze the influence of asymmetric information on supply chain member decision-making and to realize the optimization of the supply chain by designing contracts for information disclosure. This contract is called the reveal mechanism [30]. Cost information asymmetry is applied in the study of various issues. For example, Mukhopadhyay et al. [31] compared supply chain channel coordination in the case of information symmetry and information asymmetry, and then further studied the optimal contract design of mixed channels in the context of information asymmetry [32]. A similar study is also available from Yao et al. [33]. Other scholars have considered the impact of cost information asymmetry on supply chain procurement [34]. In recent research, scholars have introduced more factors, such as Xu et al. [35], adding time-sensitive consumers in the context of information asymmetry. Xiao and Qi [36] explored the problem of cost information asymmetry in the context where demand was affected by price, delivery time and reliability. Among them, the most similar one to this paper is the study of Ma et al. [12], which studied the contract design problem when the supply chain supplier’s CSR cost information is asymmetric. Comparing information symmetry and asymmetry, it was found that information asymmetry will bring losses to the retailer under the traditional wholesale price contract, but the manufacturer will benefit from it and a two-part tariff contract was further proposed to realize the supply chain coordination.
Although many scholars have studied the problem of cost information asymmetry in different contexts, there are still few modeling studies on the information asymmetry of CSR costs. Moreover, the existing research [12] focuses on the coordination of the manufacturing supply chain. To our best knowledge, there is no article on exploring the contract selection problem of a service supply chain under CSR cost asymmetry. From another perspective, this paper considers the screening contract and the pooling contract and explores the CSR level of the provider, the profit of the supply chain members under the two contracts and the contract selection problem of the integrator in the service supply chain.

2.3. Literature Summary

In the literature of sustainable supply chain, though there are many scholars consider the green supply chain from the environmental perspective such as energy efficiency [37,38], little research investigates the CSR problems. In summary, the existing literature has two gaps. On the one hand, from the literature of CSR in the supply chain, there are few studies on CSR using modeling methods, and the research considering CSR cost information asymmetry is scarce. At the same time, most of the previous articles are based on the background of the manufacturing supply chain. Few scholars explore CSR from the background of the service supply chain. On the other hand, from the literature on the study of cost information asymmetry, although there are a few articles that study the contract design in the context of CSR cost information asymmetry, they are all realized by designing different contracts, such as two-part tariff contracts, to coordinate the supply chain. There are no articles exploring the impact of the two contract methods of screening and pooling contracts on company decision-making. Therefore, in the context of the service supply chain, this paper has important theoretical significance for studying the impact of different contractual methods when CSR cost information is asymmetric. Based on the literature review, we summarize the differences between our research and the three most related studies (see Table 1).

3. Model Building

3.1. Problem Description

In this paper, we consider a two-stage supply chain consisting of an integrator and a provider, where the integrator is the Stackelberg leader. Similar to Ma et al. [12], we assume the demand increases linearly with the provider’s CSR e and decreases with price. In addition, the demand function is as follows:
D = a b p + k e
where a is market size, b is the price-sensitive parameter, p is the price-sensitive parameter, and k refers to the influence of the provider’s CSR e on the demand, a , b , k , e > 0 .
We assume c is the service cost of the provider, and β e measures the influence of the provider’s CSR on the unit marginal cost, where β > 0 is the CSR cost-sensitive parameter. In the market, there are two types of providers, namely, a high-cost provider with β H and a low-cost provider with β L ( β H > β L ). This is common knowledge to all the supply chain members. We use the subscript “ j ” ( j = H , L ) to represent the high-cost type and the low-cost type, respectively. Thus, we have the provider’s cost function, as follows:
c ( e j ) = c + β j e j
In the manufacturing supply chain, because the products are tangible, payment is usually paid in the form of unit price multiplied by quantity, which is the wholesale price contract we often say. However, in the service supply chain, services are often intangible, variable, and unmeasurable [39], so lump-sum payments are a common form in the service industry [7]. For example, the line lump-sum fees paid by the logistics service integrator to the service provider, the consulting fees paid by the company to the consulting company, and the property management fees in the housekeeping service industry. Similar to Li and Li [7], we assume that the integrator purchases the service capacity from type j provider using a lump-sum payment T j . In this paper, subscripts p and i represent the provider and integrator, respectively. Thus π p j and π i j represent the profits of the type j ( j = H , L ) provider and the profits of the integrator when he purchases service capacity from the type j ( j = H , L ) provider. Then, we obtain the profits functions of both parties.
The profit function of the provider is as follows:
π p j = T j ( c + β j e j ) ( a b p j + k e j )
The profit function of the integrator is as follows:
π i j = p j ( a b p j + k e j ) T j
where e j , T j and p j are the decision variables. The integrator first determines the contract parameters < e j , T j > based on the provider’s participation constraints, then decides the retail price p j according to the contract parameters.
The purpose of this paper is to study the impacts of different contractual models on the level of CSR of the provider and the profit of the supply chain members. We establish the following three models: (1) The benchmark model, where the information is symmetrical, that is, the integrator is fully aware of the type of the provider’s CSR cost coefficient level; (2) The screening contract model, where integrators use contract combinations to identify different types of providers; and (3) The pooling contract model, where the integrator only provides a single contract and treats all providers the same. In these three models, the benchmark model is established in the case of complete information while the other two models are analyzed in the case of asymmetric information. We use the revelation principle to design contracts and solve the asymmetric information cases. Revelation principle is a fundamental principle in contract design with asymmetric information. It solves the asymmetric information problem through direct incentive-compatibility constraints, based on which the contract parameters that distinguish the types of the providers are determined.
By comparing the two contract models with the benchmark model, the information rent in the two contract cases can be obtained. For the information rent, on the one hand, it can be used as the basis for comparing the efficiency of the cost information of the two types of contract methods. On the other hand, it can also be used as the basis for comparing the profits of integrators and providers under these two contract modes. In this paper, the superscripts I, II and III represent these three scenarios as follows: the benchmark model (information symmetry), the screening contract model and the pooling contract model, respectively.

3.2. Benchmark Model (Information Symmetry)

We first solve the optimal contract parameters in the case of information symmetry. Under this case, the integrator knows all the cost information of the provider. We assume that the provider is either the high-cost type with probability δ ( 0 < δ < 1 ) or the low-cost type with probability 1 δ . The sequence of events is as follows: stage 1, the integrator offers a different contract < e j , T j > for each provider type j , j = H , L . Stage 2, the provider decides to accept the contract or not. Stage 3, the integrator decides the retail price according to the contract parameters. We solve the pricing decision in Stage 3 first.
From the integrator’s profit function, we have π i j p j = a + k e j 2 b p j , and 2 π i j p j 2 = 2 b < 0 . Therefore, we set π i j p j = 0 for solving p j ( e j ) as follows:
p j ( e j ) = a + k e j 2 b
Substituting Equation (3) into Equations (1) and (2), the best respond profit functions of the integrator and provider are obtained as follows:
Respond profit function of provider:
π p j ( e j , T j ) = T j ( c + β j e j ) ( a + k e j ) 4
Respond profit function of integrator:
π i j = ( a + k e j ) 2 4 b T j
At stage 2, when the provider’s profit is greater than its reservation profit, then the contract is accepted. Without loss of generality, we assume that the provider’s reservation profit is 0. The problems faced by the integrator in stage 1 can be translated into the following issues:
max π i j { e j , T j } = ( a + k e j ) 2 4 b T j s . t . π p j = T j ( c + β j e j ) ( a + k e j ) 2 0
The objective function in Equation (6) decreases with T j , so we set T j as ( c + β j e j ) ( a + k e j ) 2 . Through the analysis of the objective function, we obtain Corollary 1, as follows:
Corollary 1.
In the benchmark model, we have the following:
(1) when β L < β H < k 2 b , the higher e j is, the higher the profit π i j is;
(2) when β L < k 2 b < β H , the higher the e L is, the higher π i L is, while the π i H reaches its peak at e H * = a k b c k a β H b k ( 2 β H b k ) ;
(3) when k 2 b < β L < β H , the π i j reaches its peak at e j * = a k b c k a β j b k ( 2 β j b k ) .
(See proof in Appendix A.1)
Corollary 1 indicates that when the CSR cost parameter β j of the provider is relatively small ( β j < k 2 b , j = H , L ), the higher the provider’s CSR is, the better. This is due to the increase in demand brought about by the CSR improvement, which can completely compensate for the increase in cost. However, when β j is relatively large ( β j > k 2 b , j = H , L ), the cost cannot be compensated completely, so there will be an optimal CSR level which leads to the highest profit.
Next, we shall focus on the case in which the cost coefficient β is large enough so that the condition k 2 b < β L < β H is satisfied. Because when β is very small, a higher CSR level will bring greater profits, and companies have the incentive to continuously improve the level of CSR. However, in practice, the consumers’ CSR concept has not been popularized, and most consumers are still price-oriented. At the same time, the extensive business model of companies also makes the CSR cost coefficient β relatively high. Thus, it is difficult to compensate for the increase in cost with the increase in demand brought by CSR, which is the third part of Proposition 1. Therefore, in what follows, we focus this situation and give the optimal contract parameters < e j , T j > , retail price and the profits of both parties in Lemma 1.
Lemma 1.
In the benchmark model,when k 2 b < β L < β H , the optimal contract parameters < e j , T j > are as follows:
{ e j * = a k b c k a β j b k ( 2 β j b k ) T j * = b ( k β j b ) ( a β j c k ) 2 2 k ( 2 β j b k ) 2
The optimal retail price and the profits of the integrator and provider are as follows:
p j * = β j a c k 2 ( 2 β j b k )
{ π i * = δ b ( β H a c k ) 2 4 k ( 2 β H b k ) 2 + ( 1 δ ) b ( β L a c k ) 2 4 k ( 2 β L b k ) 2 π p j * = 0
(See proof in Appendix A.2)
As seen from Lemma 1, in the case of symmetry information, the providers only obtain a reservation profit, which is 0. The integrators use the value of the information and the advantages of the leader position to obtain all the profit, so that the providers can only obtain the lowest reservation profit. This corresponds with the common result in incentive theory.
Lemma 2.
The service provider has service cost thresholds for fulfilling CSR. The provider will fulfill its CSR ( e > 0 ) if and only if the provider’s service cost is low enough ( c < a 2 b ).
(See proof in Appendix A.3)
Lemma 2 demonstrates that lower service cost is a prerequisite for providers to be socially responsible. When service costs are high, service providers cannot obtain sufficient profits to guarantee the implementation of social responsibility. This is also very consistent with the reality. This article mainly analyzes the situation when a service provider has the ability to provide social responsibility.

3.3. Screening Contract Model

In the screening contract model, integrators use incentive compatibility constraints to achieve different types of provider separation. Recall that we assume that the provider is either the high-cost type with probability δ ( 0 < δ < 1 ) or the low-cost type with probability 1 δ . The sequence of events is as follows: In stage 1, the integrator designs a combination of two contracts < ( e H , T H ) , ( e L , T L ) > to ensure that each type of provider gains the most profit when choosing its own type of contract through incentive compatibility constraints. In stage 2, the provider chooses one of these contracts based on its own profit maximization principle. In stage 3, the integrator decides the retail price according to the contract parameters.
In this case, since the decisions of the integrator and provider at stage 2 and 3 have not changed compared with those in the benchmark model, Equations (4) and (5) still apply. Then, the decision at stage 1 can be transformed into the following issue:
max π i * { e H , e L , T H , T L } = δ ( ( a + k e H ) 2 4 b T H ) + ( 1 δ ) ( ( a + k e L ) 2 4 b T L ) s . t . { ( I R H ) T H ( a + k e H ) ( c + β H e H ) 2 ) 0 ( I R L ) T L ( a + k e L ) ( c + β L e L ) 2 ) 0 ( I C H ) T H ( a + k e H ) ( c + β H e H ) 2 T L ( a + k e L ) ( c + β H e L ) 2 ) ( I C L ) T L ( a + k e L ) ( c + β L e L ) 2 ) T H ( a + k e H ) ( c + β L e H ) 2
where the first two constraints ( I R j ) , j = H , L are the individual-rationality constraints of the two types of providers, and the last two constraints are the incentive-compatibility constraints ( I C j ) , j = H , L . The individual-rationality constraints ensure that the provider’s profit is equal to or higher than its reservation profit, which we set at 0 in this paper. The incentive-compatibility constraints guarantee that a provider of type i has no incentive to deviate from the corresponding contract. π p H ( e L , T L ) and π p L ( e H , T H ) respectively represent the expected profits from the high-cost provider and the low-cost provider when misreporting the type, namely, the expected profit of the high-cost provider (low-cost provider) when he chooses contract < e L , T L > ( < e H , T H > ). Lemma 3 summarizes the optimal contract parameters, retail price and the profits of both parties.
Lemma 3.
In the screening contract model, the optimal contract parameters < ( e H * , T H * ) , ( e L * , T L * ) > are as follows:
{ e H * = a k δ a β H b δ b c k + ( 1 δ ) β L a b k ( 2 ( δ 1 ) β L b + 2 β H b k δ ) e L * = a k b c k a β L b k ( 2 a β L k )
{ T H * = ( a + e H * k ) ( c + β H e H * ) 2 T L * = e H * ( a + e H * k ) ( β H β L ) + ( a + e L * k ) ( c + β L e L * ) 2
The optimal profits and prices are as follows:
π i * = δ ( e H * k + a ) 2 + ( 1 δ ) ( e L * k + a ) 2 4 b + ( 1 δ ) [ ( e H * k + a ) ( e H * β L + c ) ( e L * k + a ) ( e L * β L + c ) ] ( e H * k + a ) ( e H * β H + c ) 2
{ π p H * = 0 π p L * = b ( β H β L ) [ ( a β L c k ) δ + a ( β H β L ) ] [ a k δ a β H b δ b c k + ( 1 δ ) β L a b ] 2 k ( 2 ( β L δ + β H β L ) b δ k ) 2
{ p H * = ( a β L c k ) δ + a ( β H β L ) 2 ( 2 β H b k ) δ + 4 b ( β H β L ) p L * = a β L c k 2 ( 2 β L b k )
(See proof in Appendix A.4)
Next, we conduct a sensitivity analysis on the CSR level of the provider and price under the screening contract model, which is summarized in Lemma 4.
Lemma 4.
e H * increases in β L but decreases in β H , e L * decreases in β L ; p H * increases in β L but decreases in β H , p L * decreases in β L .
(See proof in Appendix A.5)
Lemma 4 analyses the sensitivity of the CSR level and retail price. It is observed that the variation tendency of the provider’s CSR level is in line with that of the retail price. This is because the higher the level of CSR, the higher the price integrator needs to pay, so the final adjustment of retail prices is transferred to consumers. For a low-cost provider, its CSR is only affected by their own CSR cost coefficient. In addition, the higher the coefficient, the lower the level of CSR. However, the high-cost provider’s CSR is affected by both types of providers’ CSR cost coefficients, and the CSR level for the inefficient provider is decreasing in its own cost coefficient and increasing in the other type provider’s cost coefficient.

3.4. Pooling Contract Model

The pooling contract model means that the integrator has the same contract with all providers. In real life, pooling contracts are widely used to manage the social responsibility of suppliers. In addition to the company, SND Logistics, mentioned earlier, some well-known companies, such as Starbucks, also use a pooling contract to manage the social responsibility of suppliers. In practice, Starbucks requires all coffee bean suppliers to meet the same social responsibility standards through certification, which is known as the Starbucks Coffee and Farmer Equity (CAFE) Practices certification, and they sign the same contract with these suppliers [40]. In addition, from a theoretical point of view, the pooling contract uses less information than the screening contract, which leads to lower efficiency. However, Chen and Lee [40] show that in the context of the specific practice of supplier’s social responsibility management, the contract may be more effective in lowering the supplier violation risk. Considering that integrators can only treat the two types of providers with the same contract, there are two options for the integrators: (1) Assume that the market is made up of all low-cost providers and use low-cost provider contracts under information symmetry. (2) Assume that the market is made up of all high-cost providers and use high-cost provider contracts under information symmetry. The integrator needs to ensure that all providers can meet the participation constraints, then we analyze the two options, as follows:
When integrator uses low-cost provider contracts under information symmetry, we have < e * , T * > equals with < e L * , T L * > . According to Lemma 1, it can be known that the low-cost type of provider can only obtain a reservation profit of 0 at this time. For the high-cost provider, the profit is as follows:
π p H * = ( c + β L e * ) ( a + k e * ) 2 ( c + β H e * ) ( a + k e * ) 2 = b ( β H β L ) ( a β L c k ) ( a k b c k a β L b ) 2 k ( 2 β L b k ) 2 < 0
When the integrator uses high-cost provider contracts under information symmetry, we have < e * , T * > equals with < e H * , T H * > . According to Lemma 1, it can be known that the high-cost type of provider can only obtain a reservation profit of 0 at this time. For the low-cost provider, the profit is as follows:
π p L * = ( c + β H e * ) ( a + k e * ) 2 ( c + β L e * ) ( a + k e * ) 2 = b ( β H β L ) ( a β H c k ) ( a k b c k a β H b ) 2 k ( 2 β H b k ) 2 > 0
From the above analysis, we can see that when integrators choose to provide low-cost type contracts, high-cost providers will withdraw from the market because they cannot make a profit. When the integrator chooses to provide a high-cost type contract, the participation constraints of both types of providers can be satisfied at the same time. Therefore, we propose Lemma 5, as follows:
Lemma 5.
In the pooling contract model, the optimal contract parameters < e * , T * > are as follows:
{ e * = e H * = a k b c k a β H b k ( 2 β H b k ) T * = T H * = b ( k β H b ) ( a β H c k ) 2 2 k ( 2 β H b k ) 2
The optimal profits and prices are as follows:
p j * = β H a c k 2 ( 2 β H b k )
{ π i * = b ( β H a c k ) 2 4 k ( 2 β H b k ) 2 π p L * = b ( β H β L ) ( a β H c k ) ( a k b c k a β H b ) 2 k ( 2 β H b k ) 2 π p H * = 0
(See proof in Appendix A.6)
Unlike the benchmark model and screen contract model, the integrator signs the same contract with both high- and low-cost type providers in pooling contract model. Therefore, the decision variables of integrator e , T and p are the same in the cases of high- and low- cost type in model 3, while they are different in models 1and 2. To make it clearer, we list the optimal decision variables and profits of the providers under the three models in the Table 2 and the profits of the integrator under the three models in the Table 3.

4. Discussion

In Section 3, the first major research question in this paper is solved, that is, how to design optimal contract parameters under different contracts. This section mainly answers the other two main research questions in this paper: What are the impacts of different contractual models on the provider’s CSR? How do integrators choose the right contract based on the needs of the company and what is the information rent that the integrator needs to pay under the two contracts? In this section, we first compare of provider CSR under the three scenarios to explore the impact of different contractual models on the CSR. Next, this paper compares retail prices and profits under the three scenarios and analyzes the optimal contract choice of the integrator under different circumstances to provide support for decision-making. Finally, we explore information rent under the two contractual models of the screening contract and pooling contract.

4.1. Comparison of CSR Level

This section mainly discusses the CSR level of the two types of providers and proposes Proposition 1. We first analyze the CSR of the two types of providers for the same scenario, and then we compare the CSR of the same type of provider under different scenarios. The obtained Proposition 1 is as follows:
Proposition 1.
(1) In three different scenarios,we have e L * > e H * ; e L * > e H * ; e L * = e H * .
(2) For the low-cost provider,we have e L * < e L * = e L * ,while for the high-cost provider, we have e H * < e H * = e H * .
(See proof in Appendix A.7)
The first part of Proposition 1 compares the CSR level between the two types of providers in the three scenarios. It can be seen that the CSR level of the high-cost provider and that of the low-cost provider are the same when the pooling contracts are provided. In the other two scenarios, the low-cost provider’s CSR level is higher than that of the high-cost provider. This is because in the pooling contract model, the integrator uses the same contract for both types of providers. In the benchmark model, since both types of providers can only obtain a retained profit of 0, at the same profit level, the low-cost provider is more efficient at providing better CSR. In the screening contract, the low-type provider obtains more profits than the high-type, so it has more potential to provide higher social responsibility. Therefore, low-type providers can provide a higher level of social responsibility in both the benchmark model and the screening contract model,
The second part of Proposition 1 illustrates that the CSR level is optimal for both high- and low-cost providers in the benchmark model, where information is completely symmetric. However, the distortions of the CSR level in the screening contract and pooling contract are different for these two types of providers. When the integrator provides a screening contract, the CSR level of the low-cost type is as high as that under information symmetry, but the CSR level of the high-cost provider will be lower than that when the information is symmetric. When the integrator provides a pooling contract, the conclusion is just the opposite. The reason for this phenomenon is that when integrators provide pooling contracts, the low-cost provider’s competition and information advantage is the greatest. They only need to maintain the same level of social responsibility as the high-cost type to obtain higher profits, so there is no motivation for them to improve CSR.

4.2. Comparisons of Price and Profits

This section compares the retail prices and profits of providers under different scenarios. Similar to the analysis of CSR, we first analyze the retail prices and profits of two types of providers for the same scenario, and then we compare the prices and profits in three different scenarios. Proposition 2 and Proposition 3 compare prices and profits, respectively.
Proposition 2.
(1) In three different scenarios,we have p L * > p H * , p L * > p H * , p L * = p H * ;
(2) For the low-cost provider,we have p L * < p L * = p L * , while for the high-cost provider, we have p H * < p H * = p H * .
The first part of Proposition 2 compares the service prices of the high- and low-cost providers under the three scenarios. The services of the high-cost and the low-cost providers are priced the same only when the pooling contract is provided. Under the other two scenarios, the retail price of the low-cost provider’s service is higher than that of the high-cost provider. The second part of Proposition 2 compares prices of two types of providers in three different scenarios. Proposition 2 indicates that the variation trend of prices is completely consistent with that of the CSR. This is because when the CSR changes, the lump-sum payment that the integrator gives to the provider will change accordingly. This part of the change will eventually transfer to the consumer through the retail price because the integrator will not bear the cost by itself. We further compare the profits of providers in Proposition 3.
Proposition 3.
(1) In three different scenarios, we have π p L * = π p H * , π p L * > π p H * , π p L * > π p H * ;
(2) For the low-cost provider, we have π p H * = π p H * = π p H * , while for the high-cost provider, we have π p L * < π p L * < π p L * .
(See proof in Appendix A.8)

4.3. Information Rent

In the screening contract model and the pooling contract model, the providers all have an information advantage. With the information advantage, the efficient provider can obtain some extra profit, which we call information rent. Information rent is an important indicator to measure the validity of contracts under asymmetric information, and it is the embodiment of information value under the two types of contracts. This section will analyze the information rent under these two contracts proposed in Proposition 4.
Proposition 4.
(1) In a screening contract, the information rent R p L is as follows:
R p L = π p L * π p L * = e H * ( a + e H * k ) ( β H β L ) 2 = b ( β H β L ) [ ( a β L c k ) δ + a ( β H β L ) ] [ a k δ a β H b δ b c k + ( 1 δ ) β L a b ] 2 k ( 2 ( β L δ + β H β L ) b δ k ) 2
(2) In a screening contract, the information rent R p L is as follows:
R p L = π p L * π p L * = b ( β H β L ) ( a β H c k ) ( a k b c k a β H b ) 2 k ( 2 β H b k ) 2
The first part of Theorem 4 illustrates that under the screening contract, integrators separate the low-cost and high-cost types of providers through the contract menu. As seen from Lemma 3 that the high-cost provider type can only obtain a reservation profit of 0 at this time, and the low-cost provider uses its cost and information advantages to obtain a positive profit, which we call the information rent that the integrators need to pay to ensure that low-cost providers tell the truth. Similar to the case of the screening contract, the second part of Proposition 4 shows that the low-cost provider obtains a part of the profit higher than the reservation profit, and the information rent is paid by the integrator to the efficient provider. Next, Proposition 5 compares the information rents of the two contracts.
Proposition 5.
No matter what the δ is, we always have R p L > R p L . That is, the information rent in the case of pooling contract is always larger than that in the case of screening contract.
(See proof in Appendix A.9)
Proposition 5 shows that regardless of the proportion of the two types of providers, the information rent paid by the integrator under the screening contract model is less than that under the pooling contract model. This is because, under the screening contract model, the integrator uses the proportion information of the providers to identify the provider. In the pooling contract, the integrator uses very little information. This conclusion is also consistent with the definition of information rent in the incentive theory.

5. Numerical Examples

In this section, we interviewed one of the managers in the company, Tianjin SND Logistics, and collected some data for the numerical example to verify the conclusions and obtain more managerial insights.

5.1. Data Collection

Tianjin SND Logistics company is one of the top ten logistics companies in Tianjin. It was established in 2007 and has more than 30 branches and 500 employees in China. Tianjin SND is a typical logistics service integrator. They have more than 210 functional logistics service providers and integrate the capacity of 2000 transport trucks and own over 160,000 square meters of warehouse. By integrating logistics service providers, Tianjin SND provides logistics services to a number of well-known multinational companies, such as Procter & Gamble and Siemens [41]. SND has strict management of its provider’s level of CSR. When they sign a service contract with a service provider, they will also sign a subcontract to constrain the level of CSR of the provider.
Through a survey, we collected shipping volume data of the line from the Chuzhou, Anhui province to the Lanzhou, Gansu province, which is one of the regular lines that SND serves for Siemens. SND has ten logistics service providers on this line, six of which are relatively large companies. These companies have relatively low costs of providing CSR. The other four are small businesses, and fulfilling CSR is a greater cost burden for them. The total shipping volume of this line in 2017 is 444.
During the interview, we learned that due to the characteristics of the logistics transportation market, the relationship between the shipping volume and the freight rate is not significant. In contrast, with the increase of social responsibility awareness and the potential risks brought by social responsibility scandals, the good social responsibility performance of companies will have a positive impact on the shipping volume. Through some assumptions and collection of raw data, the numerical example data in this paper are shown in Table 4.

5.2. The Effect of the Service Cost c

During the interview, the manager of SND stated the following: “At present, the social responsibility of the provider is mainly reflected by the service cost. The fluctuation of the service cost of the logistics industry is relatively large. The oil price, high-speed fee and tax policy will directly affect the service cost; when the cost fluctuates, the performance of the providers’ CSR varies greatly.” Therefore, in the numerical example section, we first discuss the impact of the service cost on CSR and profits.
(1) The effect of the service cost c on CSR
According to Lemma 2, this paper mainly analyzes the situation when a service provider has the ability to provide social responsibility, namely, when c < a 2 b . Therefore, in the numerical simulation, the value range of the service cost is set as c ( 10 , 30 ) . The impacts of service cost on the two types of providers’ CSR level are shown in Figure 1.
As seen from Figure 1a,b, the CSR level of both the low- and high-type providers decreases in service cost. This further shows that as the cost of services continues to increase, the profit margin of the provider is compressed, which leads to the decline of their ability to fulfill their CSR. So maintaining a reasonable profit margin of the provider is a prerequisite for improving its social responsibility. Additionally, Figure 1 also shows that for low-cost providers, the CSR level is the lowest under the pooling contract model. Conversely, for high-cost providers, the CSR level under the screening contract is the lowest. This further validates the conclusion of Proposition 1 in this paper.
(2) The effect of the service cost c on the integrator’s profit
In Section 4.2, the profits of the providers are compared. However, the integrator’s profit cannot be directly analyzed and compared, so it is numerically analyzed through the numerical simulation. Based on the previous parameter assumptions, Figure 2 shows the impact of the service cost on integrator’s profits.
Figure 2a shows the trend of the integrator’s profit with the service cost in the three scenarios. It can be seen that the profit in the information symmetry (benchmark model) is significantly greater than the profits of the other two contract models where the information is asymmetric. This shows that the provider’s CSR cost information is of great value to the integrator. To more clearly compare the integrator’s profit under two contract models, Figure 2b plots the integrator’s profits of these two contract models under the same parameters. It can be seen that in the screening contract model, the integrator’s profit is always greater than that of the pooling contract model. This is because the integrator needs to pay higher information rent under the pooling contract model, so the integrator will have a lower profit.
Combined with the analysis of CSR in the previous section, we obtain an important management insight, that is, when profit-oriented, the integrator should choose to provide screening contracts, and when integrators pursue a higher average level of social responsibility, the integrator should choose to provide a pooling contract.
(3) The effect of the service cost c on information rent
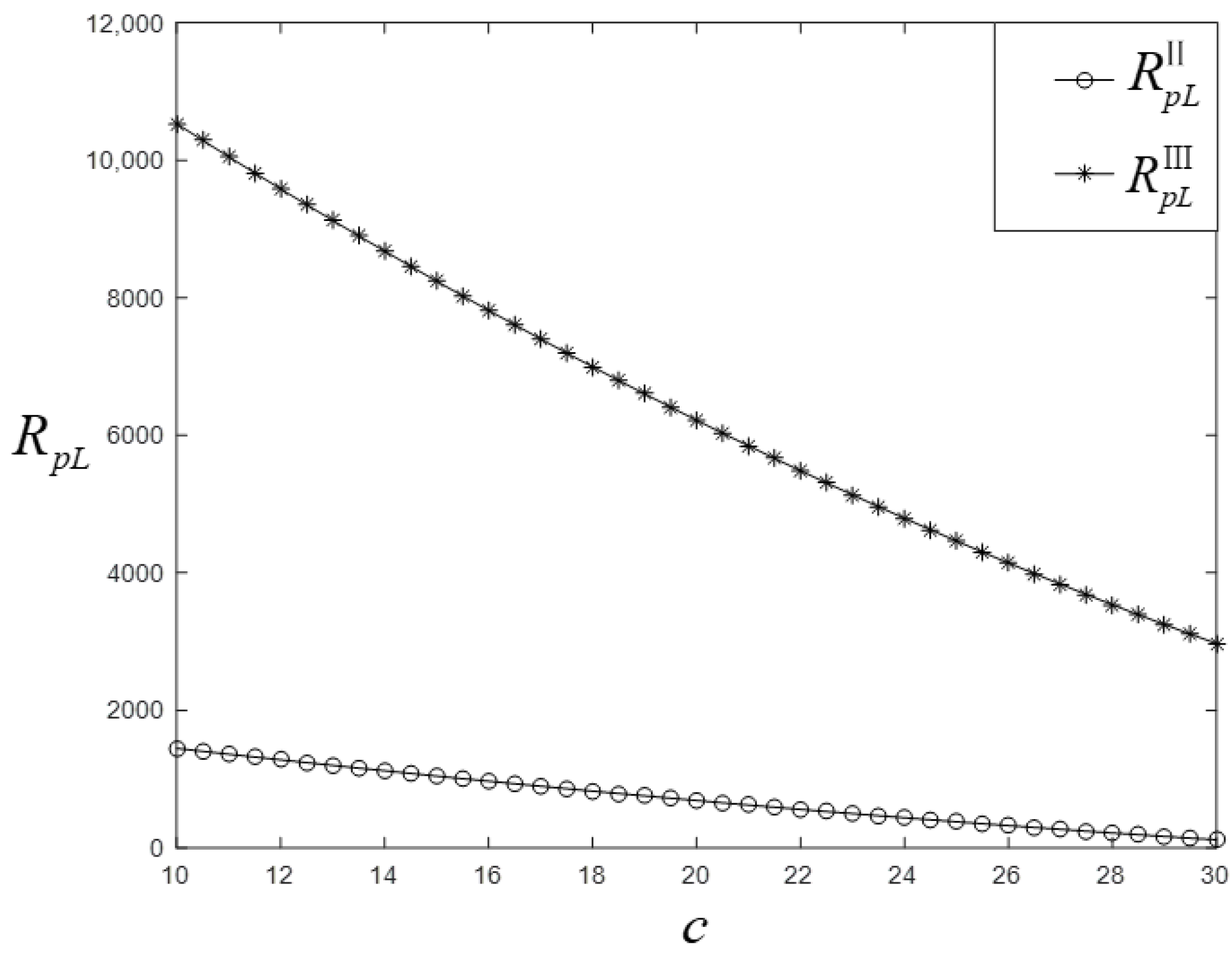
Based on the previous parameter assumptions, Figure 3 shows the impact of the service cost on information rent.
Figure 3 indicates that information rent will decrease as the service cost increases. The decrease rate of the pooling contract model is significantly faster than that of the screening contract model. Additionally, Figure 3 also shows that the information rent of the pooling contract model is always higher than that of the screening contract model, which also verifies Proposition 5 of this paper.

5.3. The Effect of the Proportion of Provider δ

(1) The effect of the proportion of providers δ on the integrator’s profit
In addition to service costs, the proportion of providers can also have a significant impact on integrator’s profit. Figure 4a,b show the trend of integrator profit as the proportion of high-cost providers changes.
Similar to Figure 2a, Figure 4a reflects that the integrator’s profit in the benchmark model is much larger than the that in the other two types of contracts. Figure 4b provides a clearer comparison of the integrator’s profits under the pooling and screening contract models. It can be seen that the profit of the integrator under the screening contract is always greater than the profits under the pooling contract, which verifies the conclusion in Section 5.2. Moreover, the integrator’s profit does not change with δ with the pooling contract model. However, when the screening contract is provided, the profit of the integrator decreases first and then increases with δ .

6. Conclusion and Management Insights

This paper considers a two-stage service supply chain consisting of an integrator and a provider and studies the optimal contract parameters of the integrator under the three following models: information symmetry model, screening contract model and pooling contract model. Then, we further study the provider’s CSR level, the profits of supply chain members and the information value of CSR costs under the different models to support the decision-making of enterprises.
The main conclusions are summarized as follows: (1) Similar with Ma et al.’s research [12], we find the provider’s CSR level is closely related to its service cost and CSR cost coefficient. When the provider’s service cost is high, the provider will refuse to fulfill their social responsibility and may even harm the interests of stakeholders to ensure the survival of the company. At the same time, when the CSR cost coefficient is small, the provider has the incentive to continuously improve the level of social responsibility, and vice versa. (2) Screening contracts and pooling contracts have different effects on the CSR level of different types of providers. For low-cost providers, the CSR level is higher when the integrator provides the screening contract. Conversely, for the high-cost provider, the CSR level is the lowest when a screening contract is provided. This conclusion enriches the findings of previous literatures which only consider the traditional revenue sharing or the two-part tariff contracts [12,19]. (3) For integrators, the information rent paid under the screening contract is less than that under the pooling contract. In addition, through numerical simulation, we know that in the case of symmetrical information, the integrator’s profit is the highest, followed by the profit in the screening contract model. In the screening contract model, the profit at this time is first decreased than increased with the proportion of the high-cost type provider δ .
Based on the above conclusions, we gain the following management implications. First, when the provider’s service and CSR costs are high, to ensure the provider’s CSR level, integrators should not force to lower prices to make sure the provider has the ability to fulfill their CSR, and they need to design a contract to restrict the behavior of the provider. For example, in China’s logistics service industry, due to the pressure of taxation and high-speed fees, the service cost of the provider is high, and the incentive of the provider to actively raise the CSR level is insufficient. Therefore, the contractual constraints of the integrator are especially important. This conclusion is also suitable for tourism and platform-centric service supply chains. Second, for integrators, the development orientation of the company should be determined before choosing the contract. If the company pursues profit maximization, he should choose to provide the screening contract. When the integrator needs to ensure a higher average level of social responsibility, the pooling contract should be chosen. Finally, obtaining the provider’s CSR cost information can greatly increase the profit of the integrator. Therefore, the integrator should eliminate the influence of information asymmetry by establishing a closer strategic partnership with the provider.
Several limitations of this paper merit further research. First, under information asymmetry, this paper only considers the comparison of two different contract models. The next research can expand the contract type, such as including the traditional wholesale price contract and the two-part tariff contract. Second, this paper only considers the two-stage supply chain. The CSR of the providers in the multistage supply chain is also worthy of further discussion. Finally, the platform economy is gradually emerging. In the context of the platform-based service supply chain, it will be interesting to study how the platform regulates the social responsibility from the perspective of both supply and demand.

Author Contributions

Conceptualization, W.L.; Methodology, W.L. and W.W.; Formal Analysis, W.L., W.W., X.Y. and D.W. and; Writing–Original Draft Preparation, W.W. and W.L.; Writing–Review & Editing, W.W., D.W. and X.Y.; Supervision, W.L.

Funding

This research was funded by the National Natural Science Foundation of China, grant number No. 71672121, 71372156. It also was funded by Major Program of the National Social Science Foundation of China, grant number No. 18ZDA060.

Acknowledgments

This research is supported by ‘Five one-batch’ talent plan of Tianjin City, China. The reviewers’ comments are also highly appreciated.

Conflicts of Interest

The authors declare no conflicts of interest.

Appendix A

Appendix A.1. Proof of Corollary 1

The objective function in Equation (6) is decreased with T j , so we set T j as ( c + β j e j ) ( a + k e j ) 2 , and the objective function becomes max π i j { e j , T j } = ( a + k e j ) 2 4 b ( c + β j e j ) ( a + k e j ) 2 . We take j = H as an example, and we take the first and second derivative of π i H with respect to e H , and we obtain π i H e H = k ( e H k + a ) 2 b β H ( e H k + a ) k ( e H k + c ) 2 , π i H 2 2 e H = k 2 2 β H k b 2 b .
From π i H 2 2 e H = k 2 2 β H k b 2 b , we know that when β H > k 2 b , the objective function is concave and there is an e H leading the maximum profit. Conversely, when β H > k 2 b , on the right side of the axis, the higher e j is, the greater the integrator’s profit is. When the optimal e H exists, we set π i H e H = 0 , and have e H * = a k b c k a β H b k ( 2 β H b k ) . When j = L , the proof is the same.
Thus, we complete the proof of Corollary 1.

Appendix A.2. Proof of Lemma 1

According to Appendix A.1, substituting e H * = a k b c k a β H b k ( 2 β H b k ) and e L * = a k b c k a β L b k ( 2 β L b k ) into Equations (3) and (4), and T j = ( c + β j e j ) ( a + k e j ) 2 , we can obtain the optimal p j * = β j a c k 2 ( 2 β j b k ) , π p j * = 0 , and T j * = b ( k β j b ) ( a β j c k ) 2 2 k ( 2 β j b k ) 2 .
Since the proportion of high- and low-cost provider are δ and 1 δ , respectively, the profit of integrator is π i * = π i H + ( 1 δ ) π i L . Substituting the optimal decision variables into it and we obtain that the optimal profit is π i * = δ b ( β H a c k ) 2 4 k ( 2 β H b k ) 2 + ( 1 δ ) b ( β L a c k ) 2 4 k ( 2 β L b k ) 2 .
Thus, we complete the proof of Lemma 1.

Appendix A.3. Proof of Lemma 2

We also take j = H as an example, and according to Appendix A.1, we assume 2 β H b k > 0 in this paper. Thus, to ensure the positive CSR of the provider, a k b c k a β H b > 0 needs to be satisfied. Combining these two conditions, we can know that only when c < a 2 b , we have e H > 0 . When j = L , the proof is the same.
Thus, we complete the proof of Lemma 2.

Appendix A.4. Proof of Lemma 3

According to contract theory, we first assume that the first and fourth constraints in Equation (10) are binding constraints and then check ex post that the omitted constraints are indeed strictly satisfied. Then, we obtain the following:
{ T H = ( a + e H k ) ( c + β H e H ) 2 T L = e H ( a + e H k ) ( β H β L ) + ( a + e L k ) ( c + β L e L ) 2
Substituting T H and T L into the objective function of Equation (10), we obtain the profit of integrator as follows:
π i = δ ( ( a + k e H ) 2 4 b ( a + e H k ) ( c + β H e H ) 2 ) + ( 1 δ ) ( ( a + k e L ) 2 4 b e H ( a + e H k ) ( β H β L ) + ( a + e L k ) ( c + β L e L ) 2 )
Then, we take the first derivative of π i with respect to e H and e L , and obtain
π i e H = ( e H k + a ) k δ 2 b δ k ( e H β H + c ) δ β H ( e H k + a ) 2 + ( 1 δ ) [ k ( e H β L + c ) + β L ( e H k + a ) 2 k ( e H β H + c ) + β H ( e H k + a ) 2 ]
π i e L = ( 1 δ ) [ k ( e H k + a ) 2 b k ( e L β L + c ) + β L ( e L k + a ) 2 ] .
Set π i e L = 0 , π i e H = 0 , then we have the following:
{ e H * = a k δ a β H b δ b c k + ( 1 δ ) β L a b k ( 2 ( δ 1 ) β L b + 2 β H b k δ ) e L * = a k b c k a β L b k ( 2 a β L k )
Substituting the above optimal solutions into T H , T i and π i , then we obtain the optimal T H * , T i * and π i * , as shown in Equations (13) and (14). Then, substituting them into Equations (1) and (3), and obtain the prices and profits of two types of providers as follows:
{ π p H * = 0 π p L * = b ( β H β L ) [ ( a β L c k ) δ + a ( β H β L ) ] [ a k δ a β H b δ b c k + ( 1 δ ) β L a b ] 2 k ( 2 ( β L δ + β H β L ) b δ k ) 2
{ p H * = ( a β L c k ) δ + a ( β H β L ) 2 ( 2 β H b k ) δ + 4 b ( β H β L ) p L * = a β L c k 2 ( 2 β L b k )
Thus, we complete the proof of Lemma 3.

Appendix A.5. Proof of Lemma 4

According to Table 2, we have e H * β L = b δ ( 1 δ ) ( a 2 b c ) [ 2 ( β L δ + β H β L ) b δ k ] 2 > 0 ; e H * β H = b δ ( a 2 b c ) [ 2 ( β L δ + β H β L ) b δ k ] 2 < 0 ; e L * β L = b ( a 2 b c ) ( 2 β L b k ) 2 < 0 .
p H * β L = b δ k ( 1 δ ) ( a 2 b c ) 2 [ 2 ( β L δ + β H β L ) b δ k ] 2 > 0 ; p H * β H = b δ k ( a 2 b c ) 2 [ 2 ( β L δ + β H β L ) b δ k ] 2 < 0 ; p L * β L = b k ( a 2 b c ) 2 ( 2 β L b k ) 2 < 0 .
Therefore, e H * increases in β L , and decreases in β H ; e L * decreases in β L ; and p H * increases in β L and decreases in β H ; and p L * decreases in β L .
Thus, we complete the proof of Lemma 4.

Appendix A.6. Proof of Lemma 5

Based on Lemma 1, we know when e * = e H * = a k b c k a β H b k ( 2 β H b k ) and T * = T H * = b ( k β H b ) ( a β H c k ) 2 2 k ( 2 β H b k ) 2 , we have π p H * = π p H I * = 0 . Substituting e * and T * in to Equation (17) and π i * = δ ( ( a + k e I I I * ) 2 4 b T I I I * ) + ( 1 δ ) ( ( a + k e I I I * ) 2 4 b T I I I * ) . Then we have π p L * = b ( β H β L ) ( a β H c k ) ( a k b c k a β H b ) 2 k ( 2 β H b k ) 2 and π i * = b ( β H a c k ) 2 4 k ( 2 β H b k ) 2 , respectively.
Thus, we complete the proof of Lemma 5.

Appendix A.7. Proof of Proposition 1

(1) Proof of the first part of Proposition 3: because e * β = b ( a 2 b c ) ( 2 β b k ) 2 < 0 and β H > β L , we have e L * > e H * . In addition, when δ = 1 , we have e H * = e H * . Additionally, we know that e H * δ = b ( β H β L ) ( a 2 b c ) [ 2 ( β L δ + β H > β L ) b δ k ] 2 > 0 and δ < 1 , so we can obtain e H * > e H * , and from Table 2, we know that e L * = e L * > e H * and e L * = e H * .
(2) Proof of the second part of Proposition 3: in Table 2, we can observe that e L * = e L * , e L * = e H * , and we have proven that e L * > e H * in the first part, so we have e L * < e L * = e L * . For the high-cost provider, we already know that e H * > e H * and e H * = e H * , thus we have e H * < e H * = e H * .
Thus, we complete the proof of Proposition 1.

Appendix A.8. Proof of Proposition 3

(1) Proof of the first part of Proposition 3: the comparison can be obtained directly in Table 2, so we have π p L * = π p H * = 0 , π p L * > π p H * = 0 , π p L * > π p H * = 0 .
(2) Proof of the second part of Proposition 3: because π p H * = π p H * = π p H * = 0 , π p L * = 0 , and π p L * = R p L , π p L * = R p L . According to Proposition 5, we have R p L < R p L , so π p L * < π p L * < π p L * .
Thus, we complete the proof of Proposition 3.

Appendix A.9. Proof of Proposition 5

Based on Proposition 4, we know the following:
R p L = b ( β H β L ) [ ( a β L c k ) δ + a ( β H β L ) ] [ a k δ a β H b δ b c k + ( 1 δ ) β L a b ] 2 k ( 2 ( β L δ + β H β L ) b δ k ) 2 and R p L = b ( β H β L ) ( a β H c k ) ( a k b c k a β H b ) 2 k ( 2 β H b k ) 2 .
We know that when δ = 1 , R p L = R p L . In addition, then we take the first derivative of R p L with respect to δ and obtain R p L δ = b δ k ( a 2 b c ) 2 ( β H β L ) 2 2 [ 2 ( β L δ + β H β L ) b δ k ] 3 > 0 . Because δ < 1 , we have R p L < R p L .
Thus, we complete the proof of Proposition 5.

References

  1. Letizia, P.; Hendrikse, G. Supply chain structure incentives for corporate social responsibility: An incomplete contracting analysis. Prod. Oper. Manag. 2016, 25, 1919–1941. [Google Scholar] [CrossRef]
  2. Du, S.; Sen, S. Corporate Social Responsibility and Competitive Advantage: Overcoming the Trust Barrier; INFORMS: Catonsville, MD, USA, 2011. [Google Scholar]
  3. Servaes, H.; Tamayo, A. The impact of corporate social responsibility on firm value: The role of customer awareness. Manag. Sci. 2013, 595, 1045–1061. [Google Scholar] [CrossRef]
  4. Zhao, R. Available online: https://technode.com/2018/05/21/if-you-dont-want-us-to-throw-your-package-pay-for-insurance-parcels-in-china-still-manhandled-despite-prolonged-regulatory-efforts/ (accessed on 21 May 2018).
  5. CNN. Available online: https://money.cnn.com/2018/05/11/technology/didi-murder-china-hitch/index.html (accessed on 11 May 2018).
  6. Qcostarica. Available online: http://qcostarica.com/family-of-carla-stefaniak-killed-in-costa-rica-sues-airbnb-and-property-owner/ (accessed on 22 December 2018).
  7. Li, X.; Li, Y. Optimal service contract under cost information symmetry/asymmetry. J. Oper. Res. Soc. 2016, 672, 269–279. [Google Scholar] [CrossRef]
  8. Liu, W.; Bai, E.; Liu, L.; Wei, W. A Framework of sustainable service supply chain management: A literature review and research agenda. Sustainability 2017, 9, 421. [Google Scholar] [CrossRef]
  9. Lee, H.L.; Plambeck, E.L.; Yatsko, P. Incentivizing sustainability in your Chinese supply chain. Eur. Bus. Rev. 2012, 27–35. [Google Scholar]
  10. Wilhelm, M.M.; Blome, C.; Bhakoo, V.; Paulraj, A. Sustainability in multi-tier supply chains: Understanding the double agency role of the first-tier supplier. J. Oper. Manag. 2016, 41, 42–60. [Google Scholar] [CrossRef]
  11. Grimm, J.H.; Hofstetter, J.S.; Sarkis, J. Exploring sub-suppliers’ compliance with corporate sustainability standards. J. Clean. Prod. 2016, 112, 1971–1984. [Google Scholar] [CrossRef]
  12. Ma, P.; Shang, J.; Wang, H. Enhancing corporate social responsibility: Contract design under information asymmetry. Omega 2017, 67, 19–30. [Google Scholar] [CrossRef]
  13. Xiao, T.; Shi, J. Consumer returns reduction and information revelation mechanism for a supply chain. Ann. Oper. Res. 2016, 2402, 661–681. [Google Scholar] [CrossRef]
  14. Chen, L.; Zhao, X.; Tang, O.; Price, L.; Zhang, S.; Zhu, W. Supply chain collaboration for sustainability: A literature review and future research agenda. Int. J. Prod. Econ. 2017, 194. [Google Scholar] [CrossRef]
  15. Subramanian, N.; Gunasekaran, A. Cleaner supply-chain management practices for twenty-first-century organizational competitiveness: Practice-performance framework and research propositions. Int. J. Prod. Econ. 2015, 164, 216–233. [Google Scholar] [CrossRef]
  16. Crifo, P.; Forget, V.D.; Teyssier, S. The price of environmental, social and governance practice disclosure: An experiment with professional private equity investors. J. Corpor. Financ. 2015, 30C, 168–194. [Google Scholar] [CrossRef]
  17. Wang, Y.S.; Chen, Y.J. Corporate social responsibility and financial performance: Event study cases. J. Econ. Interact. Coord. 2017, 122, 193–219. [Google Scholar] [CrossRef]
  18. Chen, Y.C.; Hung, M.; Wang, Y. The effect of mandatory CSR disclosure on firm profitability and social externalities: Evidence from China. J. Acc. Econ. 2018, 651, 165–190. [Google Scholar] [CrossRef]
  19. Ni, D.; Li, K.W. A game-theoretic analysis of social responsibility conduct in two-echelon supply chains. Int. J. Prod. Econ. 2012, 1382, 303–313. [Google Scholar] [CrossRef]
  20. Hsueh, C.F. Improving corporate social responsibility in a supply chain through a new revenue sharing contract. Int. J. Prod. Econ. 2014, 1513, 214–222. [Google Scholar] [CrossRef]
  21. Wu, Y.; Li, H.; Gou, Q.; Gu, J. Supply chain models with corporate social responsibility. Int. J. Prod. Res. 2017, 553, 1–28. [Google Scholar] [CrossRef]
  22. Chen, J.Y.; Slotnick, S.A. Supply chain disclosure and ethical sourcing. Int. J. Prod. Econ. 2015, 161, 17–30. [Google Scholar] [CrossRef]
  23. Harms, D.; Hansen, E.G.; Schaltegger, S. Strategies in sustainable supply chain management: An empirical investigation of large german companies. Corp. Soc. Respons. Environ. Manag. 2013, 204, 205–218. [Google Scholar] [CrossRef]
  24. Millington, A.; Grosvold, J.; Hoejmose, S.U. Socially responsible supply chains: Power asymmetries and joint dependence. Supply Chain Manag. 2013, 1818, 277–291. [Google Scholar]
  25. Li, J.; Zhang, F.; Sun, S. Building consumer-oriented CSR differentiation strategy. Sustainability 2019, 11, 664. [Google Scholar] [CrossRef]
  26. Khan, F.U.; Zhang, J.; Usman, M.; Badulescu, A.; Sial, M.S. Ownership Reduction in state-owned enterprises and corporate social responsibility: Perspective from secondary privatization in China. Sustainability 2019, 11, 1008. [Google Scholar] [CrossRef]
  27. Panda, S. Coordination of a socially responsible supply chain using revenue sharing contract. Trans. Res. Part E. 2014, 67, 92–104. [Google Scholar] [CrossRef]
  28. Baron, D.; Myerson, R. Regulating a monopolist with unknown costs. Econometrica 1982, 50, 911–930. [Google Scholar] [CrossRef]
  29. Sappington, D.E.M. Regulating without cost information: The incremental surplus subsidy scheme. Int. Econ. Rev. 2001, 292, 297–306. [Google Scholar] [CrossRef]
  30. Roger, B. Myerson. Incentive compatibility and the bargaining problem. Econometrica 1979, 471, 61–73. [Google Scholar]
  31. Mukhopadhyay, S.K.; Yao, D.Q.; Yue, X. Information sharing of value-adding retailer in a mixed channel hi-tech supply chain. J. Bus. Res. 2008, 619, 950–958. [Google Scholar] [CrossRef]
  32. Mukhopadhyay, S.K.; Su, X.; Ghose, S. Motivating retail marketing effort: Optimal contract design. Prod. Oper. Manag. 2010, 182, 197–211. [Google Scholar] [CrossRef]
  33. Yao, D.Q.; Yue, X.; Liu, J. Vertical cost information sharing in a supply chain with value-adding retailers. Omega 2008, 365, 838–851. [Google Scholar] [CrossRef]
  34. Ouml, Ö.; Raz, G. Supply chain sourcing under asymmetric information. Prod. Oper. Manag. 2011, 201, 92–115. [Google Scholar]
  35. Xu, H.; Yao, N.; Tong, S. Sourcing under cost information asymmetry when facing time-sensitive customers. Int. J. Prod. Econ. 2013, 1442, 599–609. [Google Scholar] [CrossRef]
  36. Xiao, T.; Qi, X. A two-stage supply chain with demand sensitive to price, delivery time, and reliability of delivery. Ann. Oper. Res. 2016, 2411–2412, 475–496. [Google Scholar] [CrossRef]
  37. Bányai, T. Real-time decision making in first mile and last mile logistics: How smart scheduling affects energy efficiency of hyperconnected supply chain solutions. Energies 2018, 11, 1833. [Google Scholar] [CrossRef]
  38. Bányai, T.; Illés, B.; Bányai, Á. Smart scheduling: An integrated first mile and last mile supply approach. Complexity 2018. [Google Scholar] [CrossRef]
  39. Nie, W.; Kellogg, D.L. How professors of operations management view service operations? Prod. Oper. Manag. 1999, 83, 339–355. [Google Scholar] [CrossRef]
  40. Chen, L.; Lee, H.L. Sourcing under supplier responsibility risk: The effects of certification, audit, and contingency payment. Manag. Sci. 2017, 639, 2795–2812. [Google Scholar] [CrossRef]
  41. Liu, W.; Wang, S.; Zhu, D.L.; Wang, D.; Shen, X. Order allocation of logistics service supply chain with fairness concern and demand updating: Model analysis and empirical examination. Ann. Oper. Res. 2018, 2, 1–37. [Google Scholar] [CrossRef]
Figure 1. (a) Effect of c on e L ; (b) Effect of c on e H .
Figure 1. (a) Effect of c on e L ; (b) Effect of c on e H .
Sustainability 11 01408 g001
Figure 2. (a) Effect of c on π i in three models; (b) Effect of c on π i in two contracts.
Figure 2. (a) Effect of c on π i in three models; (b) Effect of c on π i in two contracts.
Sustainability 11 01408 g002
Figure 3. Effect of c on information rent.
Figure 3. Effect of c on information rent.
Sustainability 11 01408 g003
Figure 4. (a) Effect of δ on π i in three models; (b) Effect of δ on π i for the two contracts.
Figure 4. (a) Effect of δ on π i in three models; (b) Effect of δ on π i for the two contracts.
Sustainability 11 01408 g004
Table 1. Summary of the main literature review.
Table 1. Summary of the main literature review.
Ma et al. (2017)Li and Li (2015)Ni et al. (2012)This Paper
Information asymmetry×
CSR concerns×
Service supply chain××
Contract design×
Table 2. The optimal decision variables and profits of the providers under the three models.
Table 2. The optimal decision variables and profits of the providers under the three models.
ScenariosVariables Type   High   ( j = H ) Type   Low   ( j = L )
Model 1: Benchmark Model e j * a k b c k a β H b k ( 2 β H b k ) a k b c k a β L b k ( 2 β L b k )
T j * b ( k β H b ) ( a β H c k ) 2 2 k ( 2 β H b k ) 2 b ( k β L b ) ( a β L c k ) 2 2 k ( 2 β L b k ) 2
p j * β H a c k 2 ( 2 β H b k ) β L a c k 2 ( 2 β L b k )
π p j * 0 0
Model 2: Screening Contract Model e j * a k δ a β H b δ b c k + ( 1 δ ) β L a b k ( 2 ( δ 1 ) β L b + 2 β H b k δ ) a k b c k a β L b k ( 2 a β L k )
T j * ( a + e H * k ) ( c + β H e H * ) 2 e H * ( a + e H * k ) ( β H β L ) + ( a + e L * k ) ( c + β L e L * ) 2
p j * ( a β L c k ) δ + a ( β H β L ) 2 ( 2 β H b k ) δ + 4 b ( β H β L ) a β L c k 2 ( 2 β L b k )
π p j * 0 b ( β H β L ) [ ( a β L c k ) δ + a ( β H β L ) ] [ a k δ a β H b δ b c k + ( 1 δ ) β L a b ] 2 k ( 2 ( β L δ + β H β L ) b δ k ) 2
Model 3: Pooling Contract Model e j * a k b c k a β H b k ( 2 β H b k ) a k b c k a β H b k ( 2 β H b k )
T j * b ( k β H b ) ( a β H c k ) 2 2 k ( 2 β H b k ) 2 b ( k β H b ) ( a β H c k ) 2 2 k ( 2 β H b k ) 2
p j * β H a c k 2 ( 2 β H b k ) β H a c k 2 ( 2 β H b k )
π p j * 0 b ( β H β L ) ( a β H c k ) ( a k b c k a β H b ) 2 k ( 2 β H b k ) 2
Table 3. The profits of the integrator under the three models.
Table 3. The profits of the integrator under the three models.
ModelsProfits of Integrator
Model 1: Benchmark Model π i * = δ b ( β H a c k ) 2 4 k ( 2 β H b k ) 2 + ( 1 δ ) b ( β L a c k ) 2 4 k ( 2 β L b k ) 2
Model 2: Screening Contract Model π i * = δ ( e H * k + a ) 2 + ( 1 δ ) ( e L * k + a ) 2 4 b + ( 1 δ ) [ ( e H * k + a ) ( e H * β L + c ) ( e L * k + a ) ( e L * β L + c ) ] ( e H * k + a ) ( e H * β H + c ) 2
Model 3: Pooling Contract Model π i * = b ( β H a c k ) 2 4 k ( 2 β H b k ) 2
Table 4. Data used in numerical examples.
Table 4. Data used in numerical examples.
Parameters a b k β H β L δ
Data4444152.21.90.4

Share and Cite

MDPI and ACS Style

Liu, W.; Wei, W.; Yan, X.; Wang, D. Supply Contract Design with Asymmetric Corporate Social Responsibility Cost Information in Service Supply Chain. Sustainability 2019, 11, 1408. https://doi.org/10.3390/su11051408

AMA Style

Liu W, Wei W, Yan X, Wang D. Supply Contract Design with Asymmetric Corporate Social Responsibility Cost Information in Service Supply Chain. Sustainability. 2019; 11(5):1408. https://doi.org/10.3390/su11051408

Chicago/Turabian Style

Liu, Weihua, Wanying Wei, Xiaoyu Yan, and Di Wang. 2019. "Supply Contract Design with Asymmetric Corporate Social Responsibility Cost Information in Service Supply Chain" Sustainability 11, no. 5: 1408. https://doi.org/10.3390/su11051408

APA Style

Liu, W., Wei, W., Yan, X., & Wang, D. (2019). Supply Contract Design with Asymmetric Corporate Social Responsibility Cost Information in Service Supply Chain. Sustainability, 11(5), 1408. https://doi.org/10.3390/su11051408

Note that from the first issue of 2016, this journal uses article numbers instead of page numbers. See further details here.

Article Metrics

Back to TopTop