Decomposition-Based Dynamic Adaptive Combination Forecasting for Monthly Electricity Demand
Abstract
1. Introduction
2. Literature Review
3. Materials and Methods
3.1. Data Handling
3.2. Forecast Error Measurement
3.3. Entropy
3.4. Combination Forecasting Model
3.5. Decomposition-Based Combination Forecasting
4. Results and Discussion
4.1. Analysis of the Individual Methods
4.2. Analysis of the Combination Forecasting Model
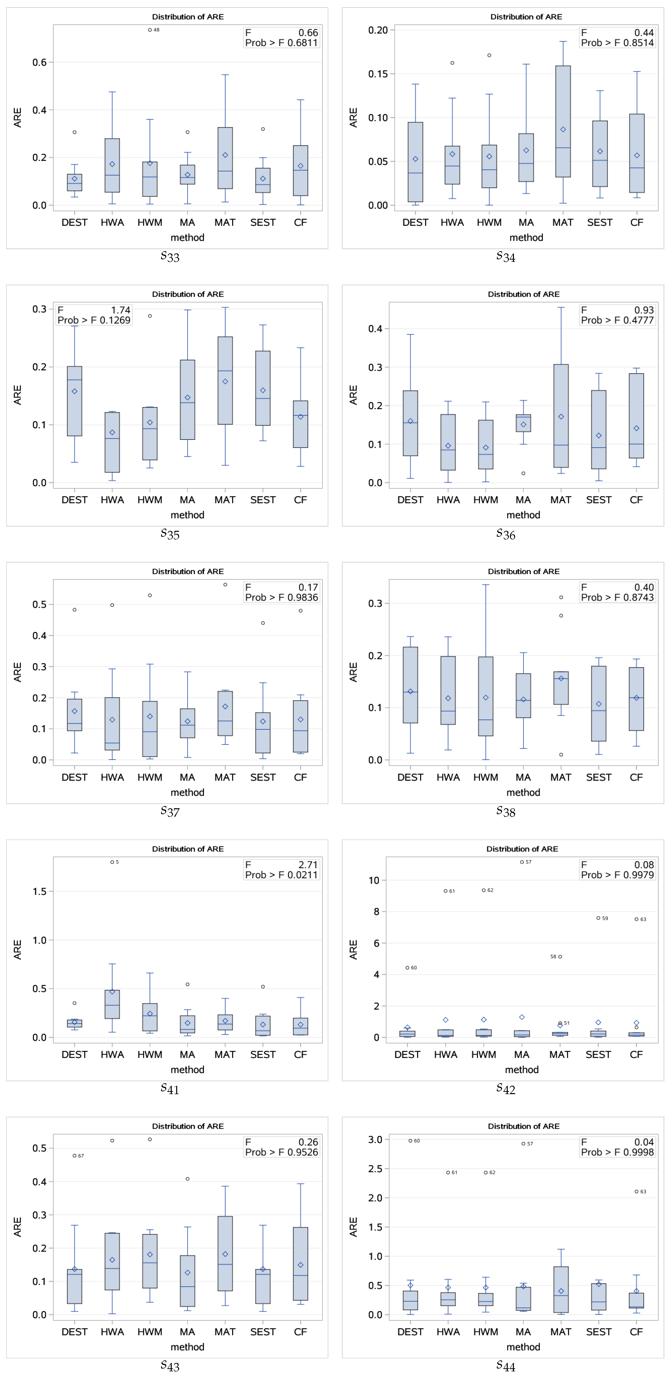
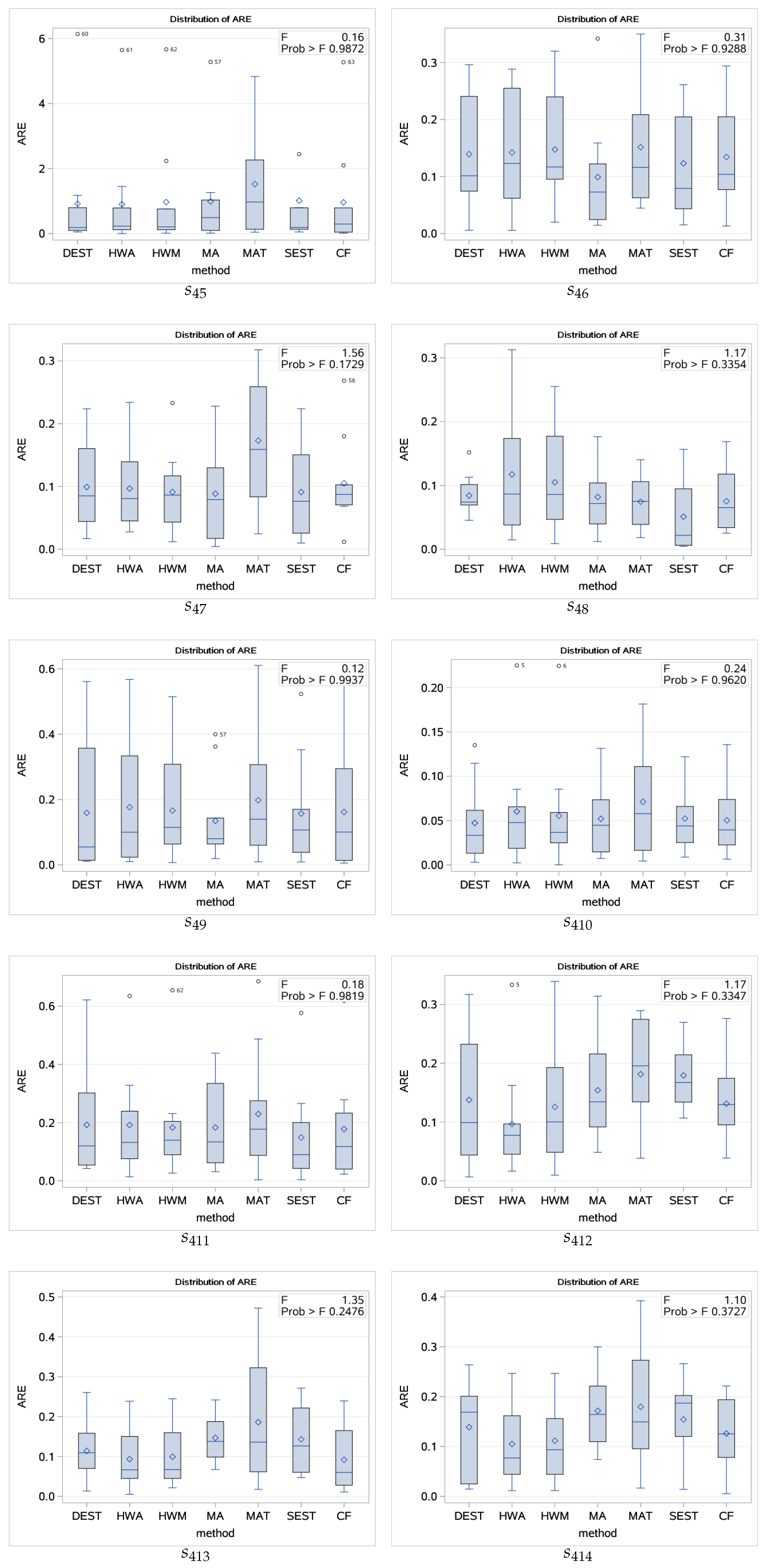
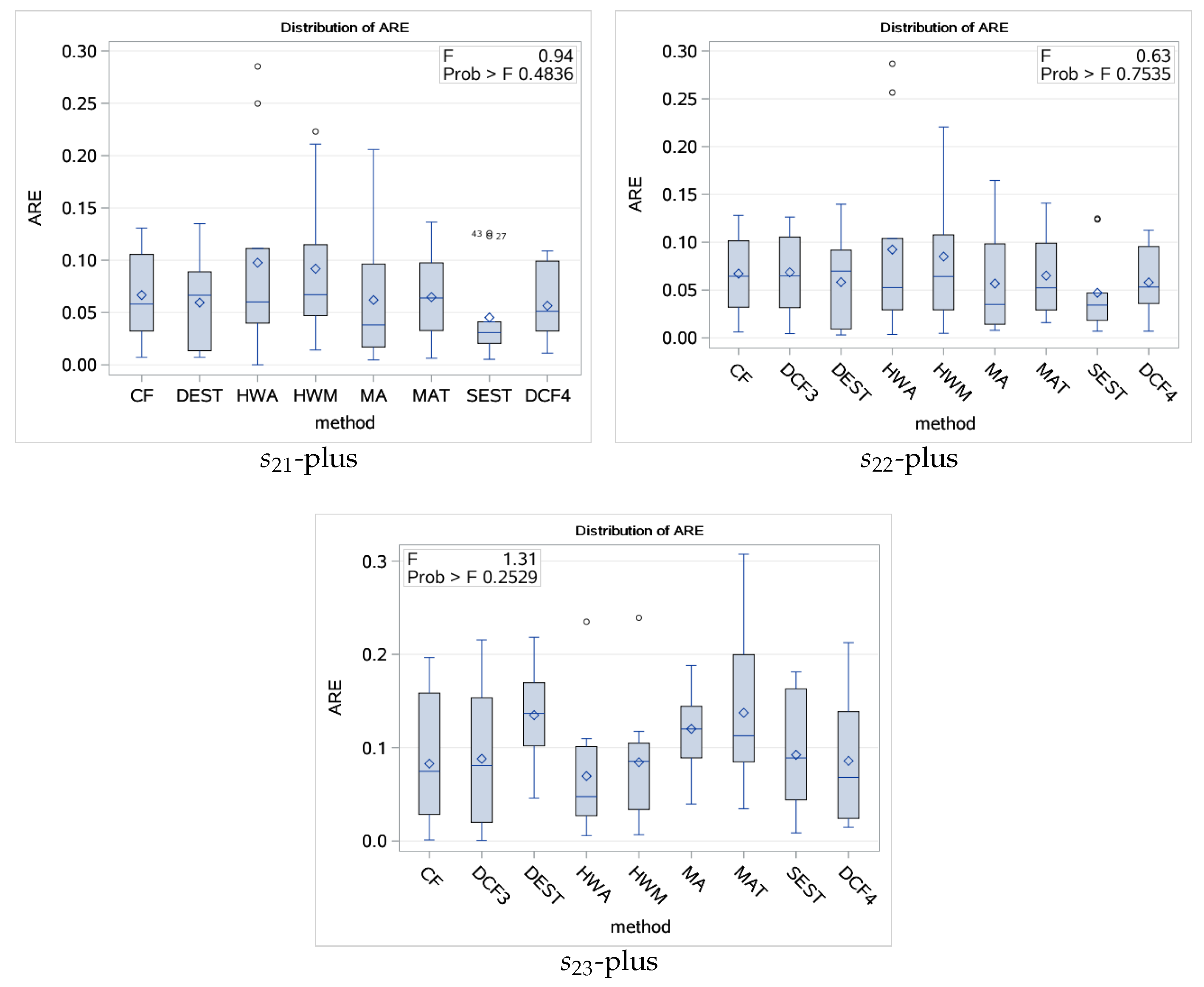
4.3. Comparison Analysis of the Decomposition Experiments
4.3.1. Forecasting for the Sub-Subsector Electricity Demand
4.3.2. Forecasting for the Sub-Sector Electricity Demand
4.3.3. Forecasting for Sector Demand
4.3.4. Forecasting for Total Electricity Demand
4.4. Comparison Analysis with Benchmark Methods
5. Conclusions
Author Contributions
Funding
Acknowledgments
Conflicts of Interest
References
- Laouafi, A.; Mordjaoui, M.; Haddad, S.; Boukelia, T.E.; Ganouche, A. Online electricity demand forecasting based on an effective forecast combination methodology. Electr. Power Syst. Res. 2017, 148, 35–47. [Google Scholar] [CrossRef]
- Rallapalli, S.R.; Ghosh, S. Forecasting monthly peak demand of electricity in India-A critique. Energy Policy 2012, 45, 516–520. [Google Scholar] [CrossRef]
- Hongye Guo, Q.C.; Qing Xia, C.K.; Zhang, X. A monthly electricity consumption forecasting method based on vector error correction model and self-adaptive screening method. Int. J. Electr. Power Energy Syst. 2018, 95, 427–439. [Google Scholar]
- Li, W.; Yang, X.; Li, H.; Su, L. Hybrid Forecasting Approach Based on GRNN Neural Network and SVR Machine for Electricity Demand Forecasting. Energies 2017, 10, 44. [Google Scholar] [CrossRef]
- Hussain, A.; Rahman, M.; Memon, J.A. Forecasting electricity consumption in Pakistan: The way forward. Energy Policy 2016, 90, 73–80. [Google Scholar] [CrossRef]
- Li, W.; Bao, Z.; Huang, G.H.; Xie, Y.L. An Inexact Credibility Chance-Constrained Integer Programming for Greenhouse Gas Mitigation Management in Regional Electric Power System under Uncertainty. J. Environ. Inform. 2018, 31, 111–122. [Google Scholar] [CrossRef]
- Brown, R.G. Exponential Smoothing. Encycl. Oper. Res. Manag. Sci. 2013, 11, 537–539. [Google Scholar] [CrossRef]
- Box, G.E.P.; Tiao, G.C. Intervention Analysis with Applications to Economic and Environmental Problems. Publ. Am. Stat. Assoc. 1975, 70, 70–79. [Google Scholar] [CrossRef]
- Akaike, H. Canonical Correlation Analysis of Time Series and the Use of an Information Criterion. Math. Sci. Eng. 1976, 126, 27–96. [Google Scholar] [CrossRef]
- Kumar, U.; Jain, V.K. Time series models (Grey-Markov, Grey Model with rolling mechanism and singular spectrum analysis) to forecast energy consumption in India. Energy 2010, 35, 1709–1716. [Google Scholar] [CrossRef]
- Braun, M.R.; Altan, H.; Beck, S.B.M. Using regression analysis to predict the future energy consumption of a supermarket in the UK. Appl. Energy 2014, 130, 305–313. [Google Scholar] [CrossRef]
- Khotanzad, A.; Hwang, R.C.; Abaye, A.; Maratukulam, D. An adaptive modular artificial neural network hourly load forecaster and its implementation at electric utilities. IEEE Trans. Power Syst. 1995, 10, 1716–1722. [Google Scholar] [CrossRef]
- Son, H.; Kim, C. Short-term forecasting of electricity demand for the residential sector using weather and social variables. Resour. Conserv. Recycl. 2015, 123, 200–207. [Google Scholar] [CrossRef]
- Van der Meer, D.; Shepero, M.; Svensson, A.; Widén, J.; Munkhammar, J. Probabilistic forecasting of electricity consumption, photovoltaic power generation and net demand of an individual building using Gaussian Processes. Appl. Energy 2018, 213, 195–207. [Google Scholar] [CrossRef]
- Burger, E.M.; Moura, S.J. Gated ensemble learning method for demand-side electricity load forecasting. Energy Build. 2015, 109, 23–34. [Google Scholar] [CrossRef]
- Clemen, R.T. Combining forecasts: A review and annotated bibliography. Int. J. Forecast. 1989, 5, 559–583. [Google Scholar] [CrossRef]
- Xiao, L.; Shao, W.; Yu, M.; Ma, J.; Jin, C. Research and application of a combined model based on multi-objective optimization for electrical load forecasting. Energy 2017, 119, 1057–1074. [Google Scholar] [CrossRef]
- Li, S.; Goel, L.; Wang, P. An ensemble approach for short-term load forecasting by extreme learning machine. Appl. Energy 2016, 170, 22–29. [Google Scholar] [CrossRef]
- Wang, J.; Zhu, W.; Zhang, W.; Sun, D. A trend fixed on firstly and seasonal adjustment model combined with the -SVR for short-term forecasting of electricity demand. Energy Policy 2009, 37, 4901–4909. [Google Scholar] [CrossRef]
- Shao, Z.; Chao, F.; Yang, S.L.; Zhou, K.L. A review of the decomposition methodology for extracting and identifying the fluctuation characteristics in electricity demand forecasting. Renew. Sustain. Energy Rev. 2017, 75, 123–136. [Google Scholar] [CrossRef]
- Zhang, J.; Wei, Y.; Li, D.; Tan, Z.; Zhou, J. Short term electricity load forecasting using a hybrid model. Energy 2018, 158, 774–781. [Google Scholar] [CrossRef]
- Li, C.; Tao, Y.; Ao, W.; Yang, S.; Bai, Y. Improving forecasting accuracy of daily enterprise electricity consumption using a random forest based on ensemble empirical mode decomposition. Energy 2018, 165, 1220–1227. [Google Scholar] [CrossRef]
- Chen, J.S.; Chen, W.G.; Sun, P. A Generalized Model for Wind Turbine Faulty Condition Detection Using Combination Prediction Approach and Information Entropy. J. Environ. Inform. 2018, 32, 14–24. [Google Scholar] [CrossRef]
- Che, J.X.; Wang, J.Z. Short-term load forecasting using a kernel-based support vector regression combination model. Appl. Energy 2014, 132, 602–609. [Google Scholar] [CrossRef]
- Tang, P.; Chen, D.; Hou, Y. Entropy method combined with extreme learning machine method for the short-term photovoltaic power generation forecasting. Chaos Solitons Fractals 2016, 89, 243–248. [Google Scholar] [CrossRef]
- Holt, C. Forecasting Trends and Seasonal by Exponentially Weighted Averages; Office of Naval Research Memorandum: Seattle, WA, USA, 1957. [Google Scholar]
- Gooijer, J.G.D.; Hyndman, R.J. 25 years of time series forecasting. Int. J. Forecast. 2006, 22, 443–473. [Google Scholar] [CrossRef]
- Gelper, S.; Fried, R.; Croux, C. Robust forecasting with exponential and Holt-Winters smoothing. J. Forecast. 2007, 29, 285–300. [Google Scholar] [CrossRef]
- Anderson, D.R.; Sweeney, D.J.; Williams, T.A.; Camm, J.D.; Martin, R.K. An Introduction to Management Science: Quantitative Approaches to Decision Making; West Pub. Co.: New York, NY, USA, 1994; p. 128. [Google Scholar]
- San-Juan, J.F.; San-Martín, M.; Pérez, I.; López, R. Hybrid perturbation methods based on statistical time series models. Adv. Space Res. 2015, 57, 1641–1651. [Google Scholar] [CrossRef]
- Karim, S.A.A.; Alwi, S.A. Electricity load forecasting in UTP using moving averages and exponential smoothing techniques. Appl. Math. Sci. 2013, 7, 4003–4014. [Google Scholar] [CrossRef]
- Williams, H.P. Model Building in Mathematical Programming. News Med. 2013, 264, 1132–1138. [Google Scholar]
- Hamzaçebi, C. Forecasting of Turkey’s net electricity energy consumption on sectoral bases. Energy Policy 2007, 35, 2009–2016. [Google Scholar] [CrossRef]
















| Code | Power Industry | Code | Power Industry |
|---|---|---|---|
| Total power consumption | Fishery power consumption | ||
| Nonresidential power consumption | Coal mining power consumption | ||
| Residential power consumption | Production and supply of electricity, gas and water power consumption | ||
| Total Primary industry power consumption | Manufacturing power consumption | ||
| Total Second industry power consumption | Warehousing industrial power consumption | ||
| Total Tertiary industry power consumption | Transportation power consumption | ||
| Urban residential power consumption | Postal service power consumption | ||
| Rural residential power consumption | Real estate power consumption | ||
| Industry power consumption | Financial industrial power consumption | ||
| Agriculture, forestry, animal husbandry and fishery power consumption | Leasing, business services, resident services and other services power consumption | ||
| Construction industry power consumption | Catering and accommodation power consumption | ||
| Information transfer, computer services and software power consumption | Wholesale and retail power consumption | ||
| Business, catering and accommodation power consumption | Computer services and software power consumption | ||
| Financial, real estate and residential property services power consumption | Information transfer power consumption | ||
| Public utilities and management organizations power consumption | Public management, social organization, and management organization | ||
| Transportation, warehousing and postal power consumption | Health, social security and social welfare power consumption | ||
| Forestry power consumption | Education power consumption | ||
| Services power consumption for agriculture, forestry, animal husbandry and fishery | Scientific research, technical services, and geological prospecting power consumption | ||
| Agriculture power consumption | Water environment and public facilities management power consumption | ||
| Animal husbandry power consumption |
| Training Set | Test Set |
|---|---|
| } | {} |
| } | {} |
| } | {} |
| } | {} |
| } | {} |
| } | {} |
| } | {} |
| } | {} |
| } | {} |
| } | {} |
| Data | The Best | The Second Best | The Worst | The Second Worst | CF Rank | Unsuitable for the Data |
|---|---|---|---|---|---|---|
| SEST | DEST | HWA | HWM | 2 | ||
| SEST | DEST | HWA | HWM | 4 | ||
| HWA | HWM | WAT | SEST | 3 | ||
| HWA | HWM | MAT | DEST | 3 | ||
| SEST | DEST | HWA | HWM | 5 | ||
| HWA | HWM | MAT | DEST | 3 | ||
| HWA | HWM | MAT | DEST | 4 | ||
| HWA | HWM | MAT | DEST | 4 | ||
| MA | HWM | DEST | MAT | 2 | unsuitable | |
| SEST | DEST | HWA | HWM | 3 | ||
| DEST | SEST | MAT | HWA | 4 | ||
| HWA | HWM | MAT | HWA | 4 | ||
| HWA | HWM | MAT | SEST | 3 | ||
| HWM | HWA | MAT | DEST | 5 | ||
| SEST | MA | MAT | DEST | 3 | ||
| SEST | MA | MAT | DEST | 2 | ||
| DEST | SEST | HWA | HWM | 1 | ||
| DEST | MAT | HWA | HWM | 1 | unsuitable | |
| SEST | SEST | MAT | HWM | 1 | ||
| HWA | HWM | MAT | DEST | 1 | ||
| SEST | HWM | MAT | DEST | 2 | unsuitable | |
| MA | SEST | HWM | HWA | 3 | ||
| MA | SEST | MAT | DEST | 6 | ||
| SEST | MA | HWA | HWM | 4 | ||
| SEST | MA | MAT | DEST | 3 | ||
| HWM | HWA | MAT | SEST | 4 | ||
| SEST | MA | MAT | DEST | 2 | ||
| HWA | HWM | MAT | DEST | 2 | ||
| HWA | HWM | MAT | MA | 1 | ||
| HWA | HWM | MAT | MA | 3 | ||
| HWM | HWA | DEST | MAT | 4 | ||
| HWM | HWA | MAT | MA | 6 | ||
| MA | SEST | MAT | DEST | 1 | unsuitable | |
| SEST | MA | MAT | DEST | 2 | ||
| HWA | HWM | MAT | MA | 3 | unsuitable | |
| HWM | HWA | MAT | DEST | 1 | ||
| DEST | SEST | HWA | HWM | 4 | ||
| HWA | HWM | MAT | DEST | 5 | ||
| MA | DEST | MAT | HWA | 1 |
| Month | MA | MAT | SEST | DEST | HWA | HWM | CF | DCF1 | DCF2 | DCF3 | DCF4 |
|---|---|---|---|---|---|---|---|---|---|---|---|
| 25 | 0.0367 | 0.1323 | 0.0774 | 0.1246 | 0.2266 | 0.2084 | 0.1276 | 0.1255 | 0.1258 | 0.1312 | 0.1036 |
| 26 | 0.0214 | 0.0306 | 0.0223 | 0.0004 | 0.0727 | 0.0665 | 0.0124 | 0.0870 | 0.1027 | 0.1018 | 0.0837 |
| 27 | 0.0218 | 0.0805 | 0.0337 | 0.0322 | 0.0098 | 0.0067 | 0.0321 | 0.0454 | 0.0313 | 0.0343 | 0.0301 |
| 28 | 0.0697 | 0.1209 | 0.0969 | 0.1033 | 0.0370 | 0.0297 | 0.0957 | 0.0932 | 0.0926 | 0.0995 | 0.0927 |
| 29 | 0.0611 | 0.0048 | 0.0071 | 0.0001 | 0.0088 | 0.0091 | 0.0091 | 0.0075 | 0.0113 | 0.0143 | 0.0275 |
| 30 | 0.1442 | 0.0525 | 0.1115 | 0.0898 | 0.0243 | 0.0049 | 0.0672 | 0.0581 | 0.0590 | 0.0623 | 0.0595 |
| 31 | 0.0652 | 0.0540 | 0.0122 | 0.0505 | 0.0249 | 0.0323 | 0.0267 | 0.0398 | 0.0403 | 0.0371 | 0.0191 |
| 32 | 0.0383 | 0.0616 | 0.0090 | 0.0351 | 0.0629 | 0.0775 | 0.0480 | 0.0654 | 0.0556 | 0.0570 | 0.0578 |
| 33 | 0.0209 | 0.0239 | 0.0190 | 0.0098 | 0.0022 | 0.0010 | 0.0038 | 0.0253 | 0.0278 | 0.0299 | 0.0025 |
| 34 | 0.0109 | 0.0394 | 0.0269 | 0.0487 | 0.0409 | 0.0456 | 0.0193 | 0.0013 | 0.0086 | 0.0113 | 0.0203 |
| Month | ANN | ARIMA | DCF4 |
|---|---|---|---|
| 25 | 0.029848707 | 0.084465171 | 0.103625946 |
| 26 | 0.015499663 | 0.036508881 | 0.083654997 |
| 27 | 0.124882225 | 0.031200544 | 0.030069406 |
| 28 | 0.055943052 | 0.101710947 | 0.092687115 |
| 29 | 0.010492949 | 0.004772692 | 0.027535572 |
| 30 | 0.086425693 | 0.108288557 | 0.059520543 |
| 31 | 0.052094060 | 0.028256914 | 0.019058591 |
| 32 | 0.105269199 | 0.00370881 | 0.057769253 |
| 33 | 0.043279300 | 0.01268148 | 0.002516652 |
| 34 | 0.047201343 | 0.034264153 | 0.020293710 |
© 2019 by the authors. Licensee MDPI, Basel, Switzerland. This article is an open access article distributed under the terms and conditions of the Creative Commons Attribution (CC BY) license (http://creativecommons.org/licenses/by/4.0/).
Share and Cite
Hu, Z.; Ma, J.; Yang, L.; Li, X.; Pang, M. Decomposition-Based Dynamic Adaptive Combination Forecasting for Monthly Electricity Demand. Sustainability 2019, 11, 1272. https://doi.org/10.3390/su11051272
Hu Z, Ma J, Yang L, Li X, Pang M. Decomposition-Based Dynamic Adaptive Combination Forecasting for Monthly Electricity Demand. Sustainability. 2019; 11(5):1272. https://doi.org/10.3390/su11051272
Chicago/Turabian StyleHu, Zhineng, Jing Ma, Liangwei Yang, Xiaoping Li, and Meng Pang. 2019. "Decomposition-Based Dynamic Adaptive Combination Forecasting for Monthly Electricity Demand" Sustainability 11, no. 5: 1272. https://doi.org/10.3390/su11051272
APA StyleHu, Z., Ma, J., Yang, L., Li, X., & Pang, M. (2019). Decomposition-Based Dynamic Adaptive Combination Forecasting for Monthly Electricity Demand. Sustainability, 11(5), 1272. https://doi.org/10.3390/su11051272
