New Strategies to Improve Co-Management in Enclosed Coastal Seas and Wetlands Subjected to Complex Environments: Socio-Economic Analysis Applied to an International Recovery Success Case Study after an Environmental Crisis
Abstract
:1. Introduction
1.1. The Concept of Management for the Recovery of Natural Areas after an Intense Process of Anthropization
1.2. The Mar Menor Case Study
2. Methodology
2.1. Integrated Diagnosis
2.2. Proposal of Measures, Implementation, and Management
3. Results
3.1. Integrated SESMM Diagnosis
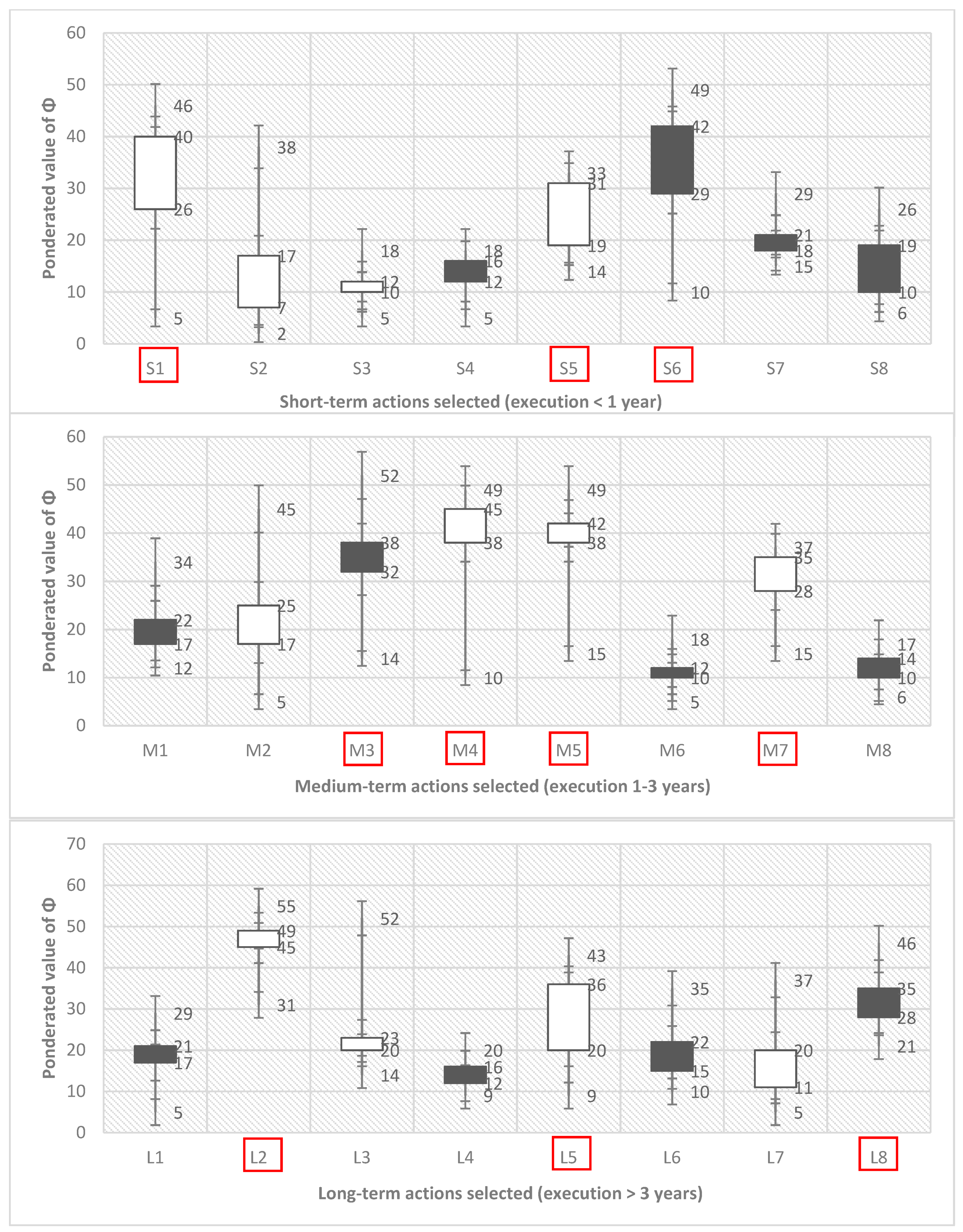
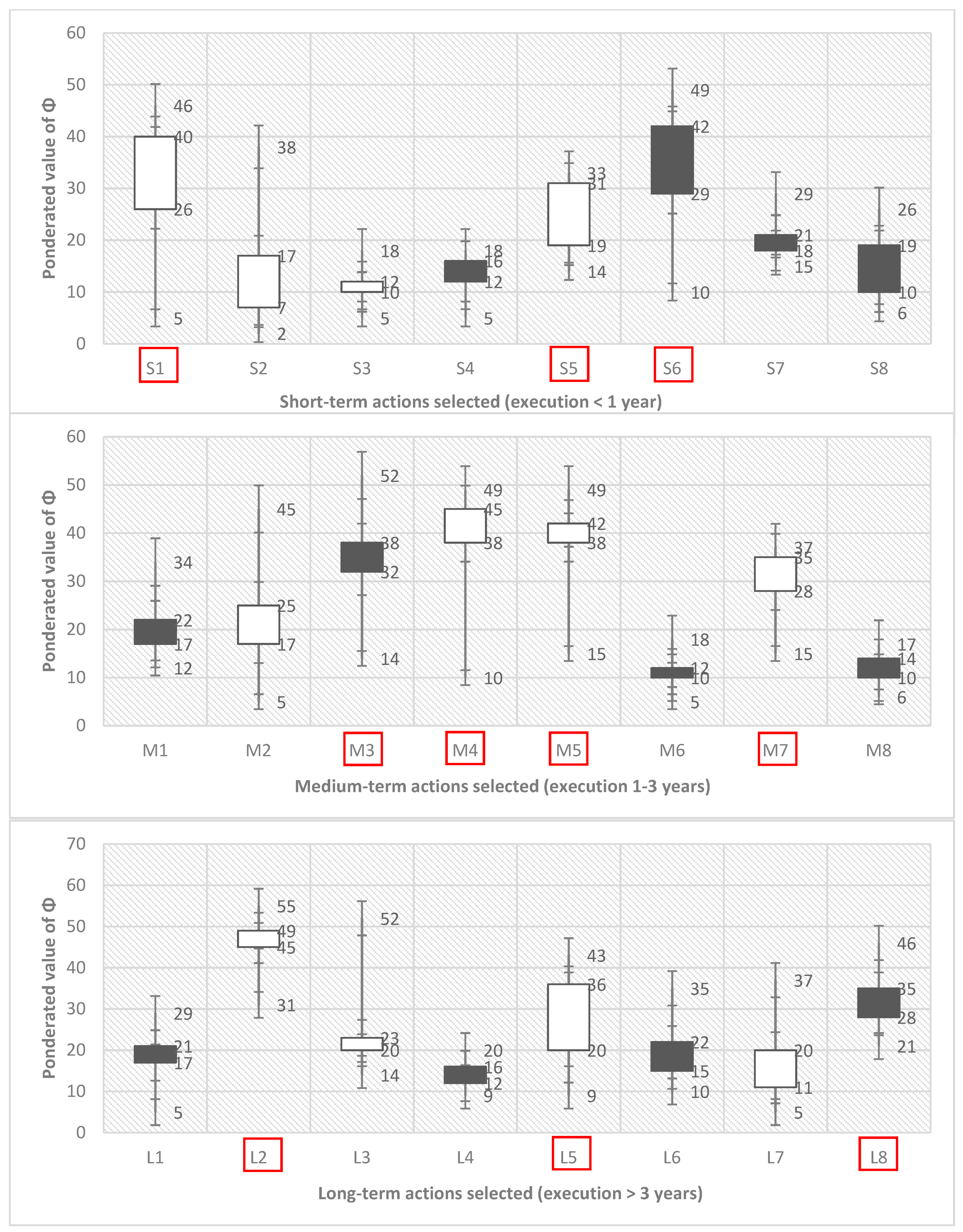
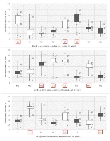
3.2. Selection of Operational Measures and Strategic Governance Framework
3.3. Implementation and Management of the Process Applying MSPIOM, WTP, and CTS Methods
4. Discussion and Conclusions
Supplementary Materials
Funding
Acknowledgments
Conflicts of Interest
Appendix A. Technical Data of the Survey Process Carried Out during the Different Phases
- -
- Individual interviews to configure SESMM: 64 interviews [November/December 2015]
- -
- Integrated diagnosis workshop: 100 stakeholders invited/104 attendees [February 2016]
- -
- Proposals workshop: 100 stakeholders invited/106 attendees [April 2016]
- -
- Final number of members involved during the process [September 2015–March 2017]: 1216 (including 1 coordinator/9 political posts from government/2 consulting teams made up of 7 people for the assembly of the workshops and the elaboration of the documents/2 scientific experts for advice of the political balanced scorecard/5 regional government officials for documents overview/147 different public and private stakeholders’ representatives)
- -
- Participants through the web portal of citizen participation and transparency: 741 (citizens participated by filling out different surveys to comment on the results and implementation of the process [April–September–November 2016]
- -
- Public exposure of documents for claims in the official bulletin: 124 claims of private individuals filed during the period of public exposure for drawing up the final document [December 2016, 124 vs. 5472 of last environmental tool of Mar Menor exposed without SESMM participatory process].
| Diagnosis Approach | Topics Discussed | Target Results |
|---|---|---|
| Strategic diagnosis | Group 1: - Environmental crisis - Socioeconomic activities - Diffuse anthropization | Reach consensus about what the current main problems of the Mar Menor are |
| Group 2: - Public policies and governance - Administrative coordination - Public -private cooperation | Reach agreement about what scenario in the SESMM we want for the future | |
| Operative diagnosis | Group 3: - Driving forces: the levers of change - Pressures: how human activities are affecting the whole ecosystem - Environmental changes: visible problems | Reach consensus about the spatial scope of action for the SESMM and the implementation of measures |
| Group 4: - Hierarchize existing problems by levels of urgency and importance - Basis for integrated management assigned within the stakeholders | Reach consensus about the hierarchization of the areas of preferential work within the SESMM |
Appendix B. Mathematical Formulation of Non-Parametric Turnbull and Parametric Logit/Probit Estimators of WTP
Appendix C
| Stakeholders Selected for the Ωij Optimization Management Matrix: 26 (862 Participants Filled out Forms) | |||||
| - Agricultural associations included in areas 1, 2, and 3 of the new regulatory framework | - Tourist companies associations included in area 1 of the new regulatory framework. | ||||
| - Local, regional, and state administrations with competences in environment, urban planning, coasts, mining, tourism, and agriculture. | - Ports, nautical association companies of the Mar Menor, and other sectors with a legitimized economical interest or impact within the new regulatory framework. | ||||
| Variable Parameters of the Design: 5 | |||||
| - % of private stakeholder participation in short-term main investments | |||||
| - % of private stakeholder participation in long/medium-term main investments - % of private stakeholder participation in short-term secondary investments | |||||
| - % of private stakeholder participation in long/medium-term secondary investments | |||||
| - % of private stakeholder participation in long-term maintenance of solutions implemented | |||||
| Models of PPP Configuration: 4 | |||||
| model 1 | |||||
| model 2 | |||||
| model 3 | |||||
| model 4 | |||||
References
- Misson, B.; Garnier, C.; Lauga, B.; Dang, D.H.; Ghiglione, J.-F.; Mullot, J.-U.; Duran, R.; Pringault, O. Chemical multi-contamination drives benthic prokaryotic diversity in the anthropized Toulon Bay. Sci. Total Environ. 2016, 556, 319–329. [Google Scholar] [CrossRef] [PubMed]
- Guetté, A.; Godet, L.; Robin, M. Historical anthropization of a wetland: Steady encroachment by buildings and roads versus back and forth trends in demography. Appl. Geogr. 2018, 92, 41–49. [Google Scholar] [CrossRef]
- Zamberletti, P.; Zaffaroni, M.; Accatino, F.; Creed, I.F.; De Michele, C. Connectivity among wetlands matters for vulnerable amphibian populations in wetlandscapes. Ecol. Modell. 2018, 384, 119–127. [Google Scholar] [CrossRef]
- Viirret, E.; Raatikainen, K.; Fagerholm, N.; Käyhkö, N.; Vihervaara, P.; Viirret, E.; Raatikainen, K.J.; Fagerholm, N.; Käyhkö, N.; Vihervaara, P. Ecosystem Services at the Archipelago Sea Biosphere Reserve in Finland: A Visitor Perspective. Sustainability 2019, 11, 421. [Google Scholar] [CrossRef]
- Lorilla, R.; Poirazidis, K.; Kalogirou, S.; Detsis, V.; Martinis, A.; Lorilla, R.S.; Poirazidis, K.; Kalogirou, S.; Detsis, V.; Martinis, A. Assessment of the Spatial Dynamics and Interactions among Multiple Ecosystem Services to Promote Effective Policy Making across Mediterranean Island Landscapes. Sustainability 2018, 10, 3285. [Google Scholar] [CrossRef]
- Janse, J.H.; van Dam, A.A.; Hes, E.M.A.; de Klein, J.J.M.; Finlayson, C.M.; Janssen, A.B.G.; van Wijk, D.; Mooij, W.M.; Verhoeven, J.T.A. Towards a global model for wetlands ecosystem services. Curr. Opin. Environ. Sustain. 2019, 36, 11–19. [Google Scholar] [CrossRef]
- Lee, S.; Yeo, I.-Y.; Lang, M.W.; Sadeghi, A.M.; McCarty, G.W.; Moglen, G.E.; Evenson, G.R. Assessing the cumulative impacts of geographically isolated wetlands on watershed hydrology using the SWAT model coupled with improved wetland modules. J. Environ. Manag. 2018, 223, 37–48. [Google Scholar] [CrossRef]
- Tomita, A.; Nakura, Y.; Ishikawa, T. Measures for environmental conservation in enclosed coastal seas. Mar. Pollut. Bull. 2016, 102, 329–332. [Google Scholar] [CrossRef]
- Teruzzi, A.; Bolzon, G.; Salon, S.; Lazzari, P.; Solidoro, C.; Cossarini, G. Assimilation of coastal and open sea biogeochemical data to improve phytoplankton simulation in the Mediterranean Sea. Ocean Model. 2018. [Google Scholar] [CrossRef]
- Kjelland, M.E.; Swannack, T.M. Salton Sea days of future past: Modeling impacts of alternative water transfer scenarios on fish and bird population dynamics. Ecol. Inform. 2018, 43, 124–145. [Google Scholar] [CrossRef]
- Sapozhnikova, Y.; Bawardi, O.; Schlenk, D. Pesticides and PCBs in sediments and fish from the Salton Sea, California, USA. Chemosphere 2004, 55, 797–809. [Google Scholar] [CrossRef] [PubMed]
- Ben Othman, H.; Pringault, O.; Louati, H.; Sakka Hlaili, A.; Leboulanger, C. Impact of contaminated sediment elutriate on coastal phytoplankton community (Thau lagoon, Mediterranean Sea, France). J. Exp. Mar. Bio-Ecol. 2017, 486, 1–12. [Google Scholar] [CrossRef]
- Rigollet, V.; Sfriso, A.; Marcomini, A.; De Casabianca, M. Seasonal evolution of heavy metal concentrations in the surface sediments of two Mediterranean Zostera marina L. beds at Thau lagoon (France) and Venice lagoon (Italy). Bioresour. Technol. 2004, 95, 159–167. [Google Scholar] [CrossRef] [PubMed]
- García-Ayllón, S. GIS Assessment of Mass Tourism Anthropization in Sensitive Coastal Environments: Application to a Case Study in the Mar Menor Area. Sustainability 2018, 10, 1344. [Google Scholar] [CrossRef]
- Syrpas, M.; Bukauskaitė, J.; Paškauskas, R.; Bašinskienė, L.; Venskutonis, P.R. Recovery of lipophilic products from wild cyanobacteria (Aphanizomenon flos-aquae) isolated from the Curonian Lagoon by means of supercritical carbon dioxide extraction. Algal Res. 2018, 35, 10–21. [Google Scholar] [CrossRef]
- Šulčius, S.; Reunamo, A.; Paškauskas, R.; Leskinen, P. Influence of environmental variation on the bacterioplankton community and its loss to viral lysis in the Curonian Lagoon. Estuar. Coast. Shelf Sci. 2018, 204, 76–85. [Google Scholar] [CrossRef]
- Parajuli, S.P.; Zender, C.S. Projected changes in dust emissions and regional air quality due to the shrinking Salton Sea. Aeolian Res. 2018, 33, 82–92. [Google Scholar] [CrossRef]
- Garcia-Ayllon, S. The Integrated Territorial Investment (ITI) of the Mar Menor as a model for the future in the comprehensive management of enclosed coastal seas. Ocean Coast. Manag. 2018, 166, 82–97. [Google Scholar] [CrossRef]
- Robledano, F.; Esteve, M.A.; Calvo, J.F.; Martínez-Paz, J.M.; Farinós, P.; Carreño, M.F.; Soto, I.; Avilés, M.; Ballesteros, G.A.; Martínez-Baños, P.; Zamora, A. Multi-criteria assessment of a proposed ecotourism, environmental education and research infrastructure in a unique lagoon ecosystem: The Encañizadas del Mar Menor (Murcia, SE Spain). J. Nat. Conserv. 2018, 43, 201–210. [Google Scholar] [CrossRef]
- Upadhyay, R.K.; Raw, S.N.; Roy, P.; Rai, V. Restoration and recovery of damaged eco-epidemiological systems: Application to the Salton Sea, California, USA. Math. Biosci. 2013, 242, 172–187. [Google Scholar] [CrossRef]
- Luppi, B.; Parisi, F.; Rajagopalan, S. The rise and fall of the polluter-pays principle in developing countries. Int. Rev. Law Econ. 2012, 32, 135–144. [Google Scholar] [CrossRef]
- Chamizo-González, J.; Cano-Montero, E.-I.; Muñoz-Colomina, C.-I. Does funding of waste services follow the polluter pays principle? The case of Spain. J. Clean. Prod. 2018, 183, 1054–1063. [Google Scholar] [CrossRef]
- Caballero, G.; Soto-Oñate, D. Environmental crime and judicial rectification of the Prestige oil spill: The polluter pays. Mar. Policy 2017, 84, 213–219. [Google Scholar] [CrossRef]
- Kataržytė, M.; Mėžinė, J.; Vaičiūtė, D.; Liaugaudaitė, S.; Mukauskaitė, K.; Umgiesser, G.; Schernewski, G. Fecal contamination in shallow temperate estuarine lagoon: Source of the pollution and environmental factors. Mar. Pollut. Bull. 2018, 133, 762–772. [Google Scholar] [CrossRef] [PubMed]
- Povilanskas, R.; Jurkus, E. Integrated environmental management of transboundary transitional waters: Curonian Lagoon case study. Ocean Coast. Manag. 2014, 101, 14–23. [Google Scholar] [CrossRef]
- Lins-de-Barros, F.M. Integrated coastal vulnerability assessment: A methodology for coastal cities management integrating socioeconomic, physical and environmental dimensions—Case study of Região dos Lagos, Rio de Janeiro, Brazil. Ocean Coast. Manag. 2017, 149, 1–11. [Google Scholar] [CrossRef]
- García-Ayllón, S. Retro-diagnosis methodology for land consumption analysis towards sustainable future scenarios: Application to a mediterranean coastal area. J. Clean. Prod. 2018, 195, 1408–1421. [Google Scholar] [CrossRef]
- Zoppi, C. Corrado Integration of Conservation Measures Concerning Natura 2000 Sites into Marine Protected Areas Regulations: A Study Related to Sardinia. Sustainability 2018, 10, 3460. [Google Scholar] [CrossRef]
- Kim, M.; You, S.; Chon, J.; Lee, J.; Kim, M.; You, S.; Chon, J.; Lee, J. Sustainable Land-Use Planning to Improve the Coastal Resilience of the Social-Ecological Landscape. Sustainability 2017, 9, 1086. [Google Scholar] [CrossRef]
- Sapkota, P.; Bastola, U. Foreign direct investment, income, and environmental pollution in developing countries: Panel data analysis of Latin America. Energy Econ. 2017, 64, 206–212. [Google Scholar] [CrossRef]
- Azam, M.; Mahmudul Alam, M.; Haroon Hafeez, M. Effect of tourism on environmental pollution: Further evidence from Malaysia, Singapore and Thailand. J. Clean. Prod. 2018, 190, 330–338. [Google Scholar] [CrossRef]
- Liu, K.; Lin, B. Research on influencing factors of environmental pollution in China: A spatial econometric analysis. J. Clean. Prod. 2019, 206, 356–364. [Google Scholar] [CrossRef]
- Chattopadhyay, J.; Bairagi, N. Pelicans at risk in Salton sea—An eco-epidemiological model. Ecol. Modell. 2001, 136, 103–112. [Google Scholar] [CrossRef]
- Glenn, E.P.; Cohen, M.J.; Morrison, J.I.; Valdés-Casillas, C.; Fitzsimmons, K. Science and policy dilemmas in the management of agricultural waste waters: The case of the Salton Sea, CA, USA. Environ. Sci. Policy 1999, 2, 413–423. [Google Scholar] [CrossRef]
- Collos, Y.; Bec, B.; Jauzein, C.; Abadie, E.; Laugier, T.; Lautier, J.; Pastoureaud, A.; Souchu, P.; Vaquer, A. Oligotrophication and emergence of picocyanobacteria and a toxic dinoflagellate in Thau lagoon, southern France. J. Sea Res. 2009, 61, 68–75. [Google Scholar] [CrossRef]
- Laanaia, N.; Vaquer, A.; Fiandrino, A.; Genovesi, B.; Pastoureaud, A.; Cecchi, P.; Collos, Y. Wind and temperature controls on Alexandrium blooms (2000–2007) in Thau lagoon (Western Mediterranean). Harmful Algae 2013, 28, 31–36. [Google Scholar] [CrossRef]
- Giordani, G.; Zaldívar, J.M.; Viaroli, P. Simple tools for assessing water quality and trophic status in transitional water ecosystems. Ecol. Indic. 2009, 9, 982–991. [Google Scholar] [CrossRef]
- Casini, M.; Mocenni, C.; Paoletti, S.; Pranzo, M. Decision support system development for integrated management of European coastal lagoons. Environ. Model. Softw. 2015, 64, 47–57. [Google Scholar] [CrossRef]
- Caillaud, M. Pollution de l’étang de Thau: On tient enfin les coupables. Midi Libre, 26 April 2017. [Google Scholar]
- Yuan, F.; Wei, Y.D.; Gao, J.; Chen, W. Water Crisis, Environmental Regulations and Location Dynamics of Pollution-Intensive Industries in China: A Study of the Taihu Lake Watershed. J. Clean. Prod. 2019. [Google Scholar] [CrossRef]
- Cao, X.; Kostka, G.; Xu, X. Environmental political business cycles: The case of PM2.5 air pollution in Chinese prefectures. Environ. Sci. Policy 2019, 93, 92–100. [Google Scholar] [CrossRef]
- Oskarsson, P.; Bedi, H.P. Extracting environmental justice: Countering technical renditions of pollution in India’s coal industry. Extr. Ind. Soc. 2018, 5, 340–347. [Google Scholar] [CrossRef]
- Irabien, M.J.; Cearreta, A.; Serrano, H.; Villasante-Marcos, V. Environmental regeneration processes in the Anthropocene: The Bilbao estuary case (Northern Spain). Mar. Pollut. Bull. 2018, 135, 977–987. [Google Scholar] [CrossRef]
- Bueno, P.F.; Schiavetti, A. The influence of fisherman scale in the resilience of socio-ecological systems: An analysis using Q methodology. Ocean Coast. Manag. 2019, 169, 214–224. [Google Scholar] [CrossRef]
- Everard, M. A socio-ecological framework supporting catchment-scale water resource stewardship. Environ. Sci. Policy 2019, 91, 50–59. [Google Scholar] [CrossRef]
- Hein, M.Y.; Birtles, A.; Willis, B.L.; Gardiner, N.; Beeden, R.; Marshall, N.A. Coral restoration: Socio-ecological perspectives of benefits and limitations. Biol. Conserv. 2019, 229, 14–25. [Google Scholar] [CrossRef]
- Holzer, J.M.; Carmon, N.; Orenstein, D.E. A methodology for evaluating transdisciplinary research on coupled socio-ecological systems. Ecol. Indic. 2018, 85, 808–819. [Google Scholar] [CrossRef]
- Waylen, K.; Blackstock, K.; van Hulst, F.; Damian, C.; Horváth, F.; Johnson, R.; Kanka, R.; Külvik, M.; Macleod, C.; Meissner, K.; et al. Policy-driven monitoring and evaluation: Does it support adaptive management of socio-ecological systems? Sci. Total Environ. 2019. [Google Scholar] [CrossRef]
- García-Ayllón, S. Diagnosis of complex coastal ecological systems: Environmental GIS analysis of a highly stressed Mediterranean lagoon through spatiotemporal indicators. Ecol. Indic. 2017, 83. [Google Scholar] [CrossRef]
- Garcia-Ayllon, S. Long-Term GIS Analysis of Seaside Impacts Associated to Infrastructures and Urbanization and Spatial Correlation with Coastal Vulnerability in a Mediterranean Area. Water 2018, 10, 1642. [Google Scholar] [CrossRef]
- García-Ayllón, S. Integrated management in coastal lagoons of highly complexity environments: Resilience comparative analysis for three case-studies. Ocean Coast. Manag. 2017, 143. [Google Scholar] [CrossRef]
- García-Ayllón, S. La Manga case study: Consequences from short-term urban planning in a tourism mass destiny of the Spanish Mediterranean coast. Cities 2015, 43, 141–151. [Google Scholar] [CrossRef]
- Garcia-ayllon, S. Geographic Information System (GIS) Analysis of Impacts in the Tourism Area Life Cycle (TALC) of a Mediterranean Resort. Int. J. Tour. Res. 2016, 196, 186–196. [Google Scholar] [CrossRef]
- Garcia-Ayllon, S. Predictive Diagnosis of Agricultural Periurban Areas Based on Territorial Indicators: Comparative Landscape Trends of the So-Called “Orchard of Europe”. Sustainability 2018, 10, 1082. [Google Scholar] [CrossRef]
- Gebremedhin, S.; Getahun, A.; Anteneh, W.; Bruneel, S.; Goethals, P.; Gebremedhin, S.; Getahun, A.; Anteneh, W.; Bruneel, S.; Goethals, P. A Drivers-Pressure-State-Impact-Responses Framework to Support the Sustainability of Fish and Fisheries in Lake Tana, Ethiopia. Sustainability 2018, 10, 2957. [Google Scholar] [CrossRef]
- European Commission. Directive 2004/35/CE of the European Parliament. 2004. Available online: https://eur-lex.europa.eu/LexUriServ/LexUriServ.do?uri=OJ:L:2004:143:0056:0075:en:PDF (accessed on 15 February 2019).
- Newton, A.; Brito, A.C.; Icely, J.D.; Derolez, V.; Clara, I.; Angus, S.; Schernewski, G.; Inácio, M.; Lillebø, A.I.; Sousa, A.I.; et al. Assessing, quantifying and valuing the ecosystem services of coastal lagoons. J. Nat. Conserv. 2018, 44, 50–65. [Google Scholar] [CrossRef]
- Haab, T.C.; McConnell, K.E. Valuing Environmental and Natural Resources: The Econometrics of Non-market Valuation; Edward Elgar Publishing: Cheltenham, UK, 2002; ISBN 9781843763888. [Google Scholar]
- Schuhmann, P.W.; Skeete, R.; Waite, R.; Lorde, T.; Bangwayo-Skeete, P.; Oxenford, H.A.; Gill, D.; Moore, W.; Spencer, F. Visitors’ willingness to pay marine conservation fees in Barbados. Tour. Manag. 2019, 71, 315–326. [Google Scholar] [CrossRef]
- Frydman, H. Turnbull Estimator; Wiley StatsRef; Statistics Reference Online: Hoboken, NJ, USA, 2014. [Google Scholar]
- Hanemann, W.M. Welfare Evaluations in Contingent Valuation Experiments with Discrete Responses. Am. J. Agric. Econ. 1984, 66, 332–341. [Google Scholar] [CrossRef]
- Velasco, A.M.; Pérez-Ruzafa, A.; Martínez-Paz, J.M.; Marcos, C. Ecosystem services and main environmental risks in a coastal lagoon (Mar Menor, Murcia, SE Spain): The public perception. J. Nat. Conserv. 2018, 43, 180–189. [Google Scholar] [CrossRef]
- Busico, G.; Kazakis, N.; Colombani, N.; Mastrocicco, M.; Voudouris, K.; Tedesco, D. A modified SINTACS method for groundwater vulnerability and pollution risk assessment in highly anthropized regions based on NO3− and SO42− concentrations. Sci. Total Environ. 2017, 609, 1512–1523. [Google Scholar] [CrossRef]
- Barot, S.; Yé, L.; Abbadie, L.; Blouin, M.; Frascaria-Lacoste, N. Ecosystem services must tackle anthropized ecosystems and ecological engineering. Ecol. Eng. 2017, 99, 486–495. [Google Scholar] [CrossRef]
- Stefanova, A.; Hesse, C.; Krysanova, V. Combined Impacts of Medium Term Socio-Economic Changes and Climate Change on Water Resources in a Managed Mediterranean Catchment. Water 2015, 7, 1538–1567. [Google Scholar] [CrossRef]
- Berrouet, L.M.; Machado, J.; Villegas-Palacio, C. Vulnerability of socio-ecological systems: A conceptual Framework. Ecol. Indic. 2018, 84, 632–647. [Google Scholar] [CrossRef]
- Gingrich, S.; Krausmann, F. At the core of the socio-ecological transition: Agroecosystem energy fluxes in Austria 1830–2010. Sci. Total Environ. 2018, 645, 119–129. [Google Scholar] [CrossRef] [PubMed]
- Pérez-Ruzafa, A.; Marcos, C.; Bernal, C.M.; García-Sánchez, M.; Pérez-Ruzafa, I.M. Cymodocea nodosa vs. Caulerpa prolifera: Causes and consequences of a long term history of interaction in macrophyte meadows in the Mar Menor coastal lagoon (Spain, southwestern Mediterranean). Estuar. Coast. Shelf Sci. 2012, 110, 101–115. [Google Scholar] [CrossRef]
- García-Oliva, M.; Pérez-Ruzafa, Á.; Umgiesser, G.; McKiver, W.; Ghezzo, M.; De Pascalis, F.; Marcos, C. Assessing the Hydrodynamic Response of the Mar Menor Lagoon to Dredging Inlets Interventions through Numerical Modelling. Water 2018, 10, 959. [Google Scholar] [CrossRef]
- García-Pintado, J.; Martínez-Mena, M.; Barberá, G.G.; Albaladejo, J.; Castillo, V.M. Anthropogenic nutrient sources and loads from a Mediterranean catchment into a coastal lagoon: Mar Menor, Spain. Sci. Total Environ. 2007, 373, 220–239. [Google Scholar] [CrossRef]
- González-Wangüemert, M.; Domínguez-Godino, J.; Giménez-Casalduero, F.; Serrão, E.A. Genetic signature of a recent invasion: The ragged sea hare Bursatella leachii in Mar Menor (SE Spain). Biochem. Syst. Ecol. 2014, 54, 123–129. [Google Scholar] [CrossRef]
- Bocci, M.; Brigolin, D.; Pranovi, F.; Najih, M.; Nachite, D.; Pastres, R. An Ecosystem Approach for understanding status and changes of Nador lagoon (Morocco): Application of food web models and ecosystem indices. Estuar. Coast. Shelf Sci. 2016, 171, 133–143. [Google Scholar] [CrossRef]
- Hesse, C.; Stefanova, A.; Krysanova, V. Comparison of Water Flows in Four European Lagoon Catchments under a Set of Future Climate Scenarios. Water 2015, 7, 716–746. [Google Scholar] [CrossRef]
- Maanan, M.; Saddik, M.; Maanan, M.; Chaibi, M.; Assobhei, O.; Zourarah, B. Environmental and ecological risk assessment of heavy metals in sediments of Nador lagoon, Morocco. Ecol. Indic. 2015, 48, 616–626. [Google Scholar] [CrossRef]








| Social Stakeholders | Members | ||
| Local associations | Neighborhood associations from coastal towns, citizens platforms, etc. | 0.176 | 12 |
| Interest groups legitimized in the question | Environmental groups, associations of cultural heritage, users and traders’ associations, etc. | 0.217 | 10 |
| Other social stakeholders | Sports federations (representatives from sailing, diving, jet skis, surfing, and other sports), labor unions of affected areas | 0.078 | 9 |
| Scientific Stakeholders | Members | ||
| Universities | Professors from ecology, urban planning, biology, mining, geology, hydrology, agriculture, civil engineering, and geography departments | 0.126 | 16 |
| Scientific institutions | Research Institute for Agricultural Development and Food, Oceanographic Center of Mar Menor, Geological and Mining Institute of Spain | 0.093 | 10 |
| Political Stakeholders | Members | ||
| Local administration | 4 Coastal municipalities + 6 others affected | 0.110 | 13 |
| Regional administration | Technical representatives from the departments of tourism, ports, environment, urban planning, agriculture, and water sewage | 0.166 | 12 |
| State administration | Technical representatives from the departments of coasts, hydrographic organizations, and water policy | 0.326 | 8 |
| Business Stakeholders | Members | ||
| Agricultural associations | Agricultural and fishery associations | 0.338 | 12 |
| Association of tourist companies | Institutional representatives from real estate, hotel, tour operators, and hostelry associations | 0.201 | 16 |
| Other business associations | Institutional representatives from ports, nautical services companies, aquaculture, local traders’ associations | 0.169 | 11 |
| Strategic Diagnosis | Criteria for Assessing Problems and Solutions | Reached |
| Current situation | - Main role of intensive agriculture in eutrophication because of nitrates contribution but existence of a diffuse anthropization impact involving other sectors | 82.8% |
| Target scenario | - Need for a new framework that regulates pre-existing activities so that they are sustainable and implement measures but from a positive approach | 86.7% |
| - Need for the creation of an entity that ensures the coordination of all administrations with competencies in the SESMM and allows social participation | 96.2% | |
| Operative diagnosis | Criteria for evaluating the scope of action and areas of preferential work | Reached |
| Administrative analysis | - Insufficient to establish the municipal or below-regional scope as a limit since there are several municipalities involved | 97.2% |
| - Adequate to establish as a limit of the regional scope for a better competency framework adaptation | 88.8% | |
| - Not necessary to expand to a free or broader area in order to not involve other administrations with little political attachment to the Mar Menor | 80.5% | |
| Hydrological analysis | - Great importance of linking the hydrological dimension with the contribution of nitrates | 91.3% |
| - Need to incorporate the entire watershed due to surface flows arriving to the lagoon | 77.4% | |
| - Need to incorporate a broader surface area than the watershed due to unknown/uncontrolled surface flows | 44.6% | |
| Geological analysis | - The geological configuration is an important criterion to determine the scope of action due to erosion, sediment transport, mining contributions, etc. | 43.9% |
| - The geological dimension is not a determining criterion in the configuration of the scope of action | 67.6% | |
| Hydrogeological analysis | - The hydrogeological flow is a factor of great importance in the configuration of the field of action because of the contribution of nitrates | 90.9% |
| - The hydrogeological criteria should prevail over the hydrological ones because the underground flows are greater than the surface ones | 47.1% | |
| Land use analysis | - Coastal urbanization has influence on the current problem due to the contribution of phosphates to the lagoon | 58.2% |
| - Ports, coastal infrastructure, and motor navigation have an important influence in eutrophication | 44.0% | |
| Coastal flooding risk analysis | - Flooding risk configuration in the area generates important contributions of sediments to the lagoon | 93.1% |
| - The contributions of sediments from the floods are a determining factor in the eutrophication | 46.6% | |
| Areas of preferential work | - Four areas for preferential work are determined: the lagoon and three annexed areas | 87.8% |
| - A new regulatory framework must be specifically focused in annexed areas | 74.3% |
| Statistical Incidence of Solutions Selected on Stakeholders from Ωij Matrix (%) | ||||
| Agricultural owners | 0.59 | |||
| Real estate and tourist companies | 0.23 | |||
| Ports and nautical companies | 0.11 | |||
| Other service providers related to tourism | 0.15 | |||
| Local administration | 0.26 | |||
| Regional administration | 0.39 | |||
| State administration | 0.47 | |||
| Other stakeholders with a legitimized economical interest or impact | 0.08 | |||
| Non-Parametric Analysis: Turnbull Estimations of WTP in % (Protest Zeros Included in the Sample) | ||||
| Bid % (tij) | Fij (Nij/Tij) % “no” | Fi,j+1 − Fi,j | with 95% confidence | |
| 0% | 0.153 | 0.153 | 84.7 ** (91.2, 78.7) | 0.09 |
| 25% | 0.218 | 0.065 | 78.2 ** (86.7, 71.4) | 0.06 |
| 50% | 0.619 | 0.401 | 38.1 ** (48.4, 32.9) | 0.02 |
| 75% | 0.929 | 0.310 | 7.1 ** (14.4, 3.5) | < 0.01 |
| 100% | 0.991 | 0.062 | 0.9 ** (6.7, 0.2) | < 0.01 |
| ELB (WTP) | 25.6 | ELB (WTP, including CTS) | 23.4 | |
| EUB (WTP for TM+1=25%) | 44.2 | EUB (WTP including CTS for TM+1=25%) | 41.8 | |
| Parametric Analysis: Estimated Logit Coefficients for the Probability of a “Yes” Answer to WTP | ||||
| Solutions with greater impact | Coefficient (std. error) | |||
| Model 1 | Model 2 | Model 3 | Model 4 | |
| Main Zero discharge Plan (Z.D.P.) | 0.527 (0.07) * | 0.415 (0.07) * | 0.202 (0.07) * | −0.067 (0.06) * |
| Green filters | 0.061 (0.05) * | −0.137 (0.05) * | −0.456 (0.04) * | −0.655 (0.04) * |
| Main Flood Plan | 0.238 (0.06) * | 0.089 (0.02) * | −0.192 (0.03) * | −0.351 (0.01) * |
| Underground flows control | 0.210 (0.06) * | 0.225 (0.02) * | 0.107 (0.03) * | −0.122 (0.01) * |
| Secondary actions Z.D.P. | 0.031 (0.05) * | 0.337 (0.02) * | 0.456 (0.03) * | 0.152 (0.01) * |
| Stakeholders | Coefficient (standard error) | |||
| Model 1 | Model 2 | Model 3 | Model 4 | |
| Agricultural associations | 0.031 (0.02) *** | 0.437 (0.02) *** | 0.126 (0.02) *** | −0.114 (0.02) *** |
| Real estate and tourist companies | 0.235 (0.03) *** | 0.227 (0.03) *** | 0.015 (0.03) *** | −0.289 (0.03) *** |
| Ports and nautical companies | 0.354 (0.08) *** | 0.185 (0.08) *** | −0.086 (0.08) *** | −0.362 (0.09) *** |
| Other service providers related to tourism | 0.284 (0.06) *** | 0.211 (0.06) *** | 0.003 (0.06) *** | −0.318 (0.06) *** |
| Public administrations | −0.157 (0.12) *** | 0.232 (0.12) *** | 0.420 (0.13) *** | 0.036 (0.13) *** |
| Other stakeholders of Ω | 0.042 (0.07) *** | 0.227 (0.07) *** | 0.106 (0.07) *** | −0.184 (0.06) *** |
| Rest of stakeholders of SESMM | 0.033 (0.03) *** | 0.122 (0.03) *** | 0.366 (0.03) *** | 0.158 (0.03) *** |
| Online public survey | 0.084 (0.01) *** | 0.105 (0.01) *** | 0.201 (0.01) *** | 0.186 (0.01) *** |
© 2019 by the author. Licensee MDPI, Basel, Switzerland. This article is an open access article distributed under the terms and conditions of the Creative Commons Attribution (CC BY) license (http://creativecommons.org/licenses/by/4.0/).
Share and Cite
García-Ayllón, S. New Strategies to Improve Co-Management in Enclosed Coastal Seas and Wetlands Subjected to Complex Environments: Socio-Economic Analysis Applied to an International Recovery Success Case Study after an Environmental Crisis. Sustainability 2019, 11, 1039. https://doi.org/10.3390/su11041039
García-Ayllón S. New Strategies to Improve Co-Management in Enclosed Coastal Seas and Wetlands Subjected to Complex Environments: Socio-Economic Analysis Applied to an International Recovery Success Case Study after an Environmental Crisis. Sustainability. 2019; 11(4):1039. https://doi.org/10.3390/su11041039
Chicago/Turabian StyleGarcía-Ayllón, Salvador. 2019. "New Strategies to Improve Co-Management in Enclosed Coastal Seas and Wetlands Subjected to Complex Environments: Socio-Economic Analysis Applied to an International Recovery Success Case Study after an Environmental Crisis" Sustainability 11, no. 4: 1039. https://doi.org/10.3390/su11041039
APA StyleGarcía-Ayllón, S. (2019). New Strategies to Improve Co-Management in Enclosed Coastal Seas and Wetlands Subjected to Complex Environments: Socio-Economic Analysis Applied to an International Recovery Success Case Study after an Environmental Crisis. Sustainability, 11(4), 1039. https://doi.org/10.3390/su11041039
