Influence of Parapets on Wave Overtopping on Mound Breakwaters with Crown Walls
Abstract
1. Introduction
2. Literature Review
3. Model Tests
3.1. Physical Model
3.2. Numerical Model
4. Validation of the Numerical Model
4.1. Regular Test
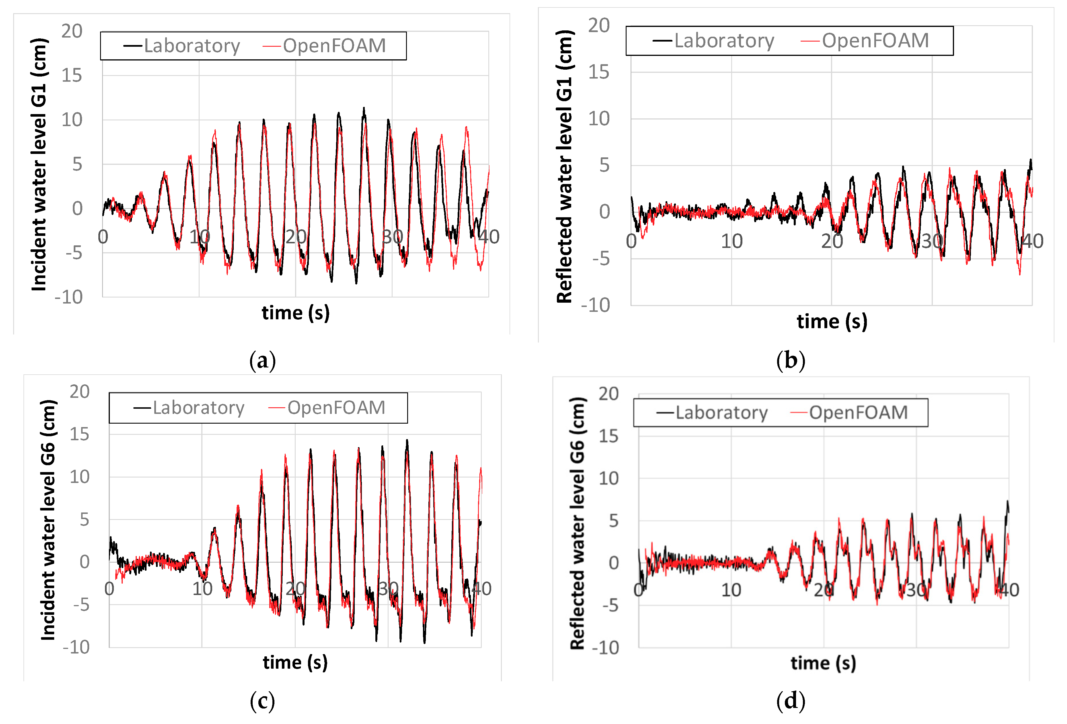
4.2. Irregular Tests
4.3. Influence of the Porosity of the Porous Media on the Numerical Model
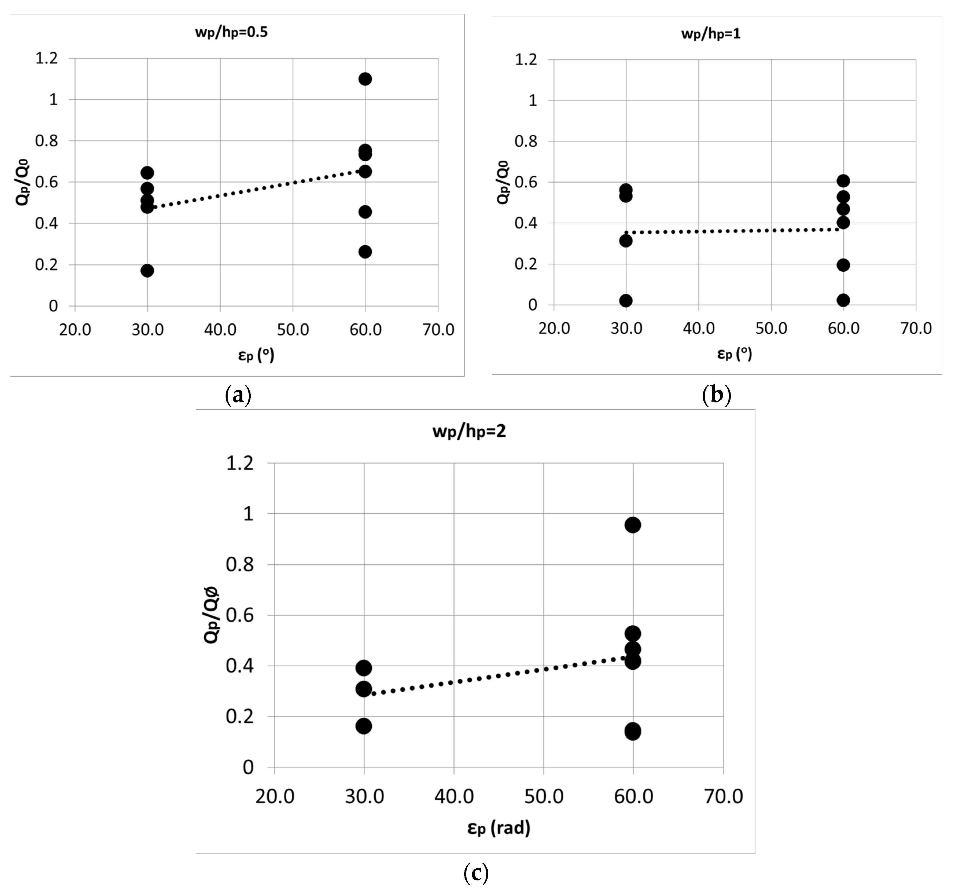
5. Influence of a Parapet on Wave Overtopping on Mound Breakwaters
6. Conclusions
Author Contributions
Funding
Acknowledgments
Conflicts of Interest
References
- Pullen, T.; Allsop, N.W.H.; Bruce, T.; Kortenhaus, A.; Schüttrumpf, H.; Van der Meer, J.W. EurOtop Wave Overtopping of Sea Defences and Related Structures: 2007. Assessment Manual. Available online: http://www.kennisbank-waterbouw.nl/DesignCodes/EurOtop.pdf (accessed on 15 July 2019).
- Van der Meer, J.W.; Allsop, N.W.H.; Bruce, T.; De Rouck, J.; Kortenhaus, A.; Pullen, T.; Schüttrumpf, H.; Troch, P.; Zanuttigh, B. EurOtop. Manual on wave overtopping of sea defences and related structures. An Overtopping Manual Largely Based on European Research, but for Worldwide Application. 2018. Available online: www.overtopping-manual.com (accessed on 12 September 2019).
- Van Gent, M.R.A.; Van den Boogaard, H.F.P.; Pozueta, B.; Medina, J.R. Neural network modelling of wave overtopping at coastal structures. Coast. Eng. 2007, 54, 586–593. [Google Scholar] [CrossRef]
- Molines, J.; Medina, J.R. Explicit wave overtopping formula for mound breakwaters with crown walls using CLASH neural network derived-data. J. Waterw. Port Coast. Ocean Eng. 2015, 142, 04015024. [Google Scholar] [CrossRef]
- Molines, J.; Medina, J.R. Calibration of overtopping roughness factors for concrete armor units in non-breaking conditions using the CLASH database. Coast. Eng. 2015, 96, 65–70. [Google Scholar] [CrossRef]
- Van Doorslaer, K.; De Rouck, J.; Audenaert, S.; Duquet, V. Crest modifications to reduce wave overtopping of non-breaking waves over a smooth dike slope. Coast. Eng. 2015, 101, 69–88. [Google Scholar] [CrossRef]
- Kortenhaus, A.; Pearson, J.; Bruce, T.; Allsop, N.W.H.; van der Meer, J.W. Influence of parapets and recurves on wave overtopping and wave loading of complex vertical walls. In Proceedings of the Coastal Structures, ASCE, Portland, OR, USA, 26–30 August 2003; pp. 369–381. [Google Scholar]
- Coeveld, E.M.; Busnelli, M.M.; van Gent, M.R.A.; Wolters, G. Wave overtopping of rubble mound breakwaters with crest elements. In Proceedings of the 30th International Conference on Coastal Engineering, World Scientific, San Diego, CA, USA, 3–8 September 2006; pp. 2944–2956. [Google Scholar]
- Bradbury, A.P.; Allsop, N.W.H.; Stephens, R.V. Hydraulic Performance of Breakwater Crown Walls; Report SR 146; Hydraulics Research: Wallingford, UK, 1988. [Google Scholar]
- Cornett, A.; Li, Y.; Budvietas, A. Wave overtopping at chamfered and overhanging vertical structures. In Proceedings of the International Workshop on Natural Disasters by Storm Waves and Their Reproduction in Experimental Basins, Kyoto, Japan, 14 December 1999; p. 14. [Google Scholar]
- Kortenhaus, A.; Haupt, R.; Oumeraci, H. Designs aspects of vertical walls with steep foreland slopes. In Proceedings of the Breakwaters, Coastal Structures and Coastlines, ICE, London, UK, 26–28 September 2001; pp. 221–232. [Google Scholar]
- Pearson, J.; Bruce, T.; Allsop, N.W.H.; Kortenhaus, A.; van der Meer, J.W. Effectiveness of recurve walls in reducing wave overtopping on seawalls and breakwaters. In Proceedings of the 29th International Conference on Coastal Engineering, World Scientific, Lisbon, Portugal, 19–24 September 2004; pp. 4404–4416. [Google Scholar]
- Van Doorslaer, K.; De Rouck, J.; van der Meer, J.W. The reduction of wave overtopping by means of a storm wall. In Proceedings of the 35th International Conference on Coastal Engineering, World Scientific, Antalya, Turkey, 17–20 November 2016. [Google Scholar]
- Castellino, M.; Sammarco, P.; Romano, A.; Martinelli, L.; Ruol, P.; Franco, L.; De Girolamo, P. Large impuplsive forces on recurved parapets under non-breaking waves. A numerical study. Coast. Eng. 2018, 136, 1–15. [Google Scholar] [CrossRef]
- Martinelli, L.; Ruol, P.; VOlpato, M.; Favaretto, C.; astellino, M.; De Girolamo, P.; Franco, L.; Romano, A.; Sammarco, P. Experimental investigation on non-breaking wave forces and overtopping at the recurved parapets of vertical breakwaters. Coast. Eng. 2018, 141, 52–67. [Google Scholar] [CrossRef]
- Formentin, S.M.; Zanuttigh, B. A genetic programming based formula for wave overtopping by crown walls and bullnoses. Coast. Eng. 2019, 152, 103529. [Google Scholar] [CrossRef]
- Smolka, E.; Zarranz, G.; Medina, J.R. Estudio Experimental del Rebase de un Dique en Talud de Cubípodos. In Libro de las X Jornadas Españolas de Costas y Puertos; Universidad de Cantabria-Adif Congresos: Santander, Spain, 2009; pp. 803–809. (In Spanish) [Google Scholar]
- Lykke-Andersen, T.; Burcharth, H.F.; Gironella, X. Comparison of new large and small overtopping tests for rubble mound breakwaters. Coast. Eng. 2011, 58, 351–373. [Google Scholar] [CrossRef]
- Burcharth, H.F.; Liu, Z.; Troch, P. Scaling of core material in rubble mound breakwater model tests. In Proceedings of the 5th International Conference on Coastal and Port Engineering in Developing Countries, Cape Town, South Africa, 19–23 April 1999; pp. 1518–1527. [Google Scholar]
- Molines, J.; Herrera, M.P.; Medina, J.R. Estimations of wave forces on crown walls based on wave overtopping rates. Coast. Eng. 2018, 132, 50–62. [Google Scholar] [CrossRef]
- Mansard, E.P.D.; Funke, E.R. The measurement of incident and reflected spectra using a least swuares method. In Proceedings of the 17th International Conference on Coastal Engineering, ASCE, Sydney, Australia, 23–28 March 1980; pp. 154–172. [Google Scholar]
- Van Gent, M.R.A. Wave Interaction with Permeable Coastal Structures. Ph.D. Thesis, Delft University, Delft, The Netherlands, 1995. [Google Scholar]
- Higuera, P.; Lara, J.L.; Losada, I.J. Three-dimensional interaction of waves and porous coastal structures using OpenFOAM. Part II: Applications. Coast. Eng. 2014, 83, 259–270. [Google Scholar] [CrossRef]
- Jacobsen, N.G.; van Gent, M.R.A.; Capel, A.; Borsboom, M. Numerical prediction of integrated wave loads on crest walls on top of rubble mound structures. Coast. Eng. 2018, 142, 110–124. [Google Scholar] [CrossRef]
- Guanche, R.; Losada, I.J.; Lara, J.L. Numerical analysis of wave loads for coastal structure stability. Coast. Eng. 2009, 56, 543–558. [Google Scholar] [CrossRef]
- Issa, R.I. Solution of the implicitly discretized fluid flow equations by operator-splitting. J. Comput. Phys. 1985, 62, 40–65. [Google Scholar] [CrossRef]
- Patankar, S.V.; Spalding, D.B. A calculation procedure for heat, mass and momentum transfer in three-dimensional parabolic flows. J. Heat Mass Transf. 1972, 15, 1787–1806. [Google Scholar] [CrossRef]
- Jensen, B.; Jacobsen, N.G.; Christensen, E.D. Investigations on the porous media equations and resistance coefficients for coastal structures. Coast. Eng. 2014, 84, 56–72. [Google Scholar] [CrossRef]
- Hirt, C.W.; Nichols, B.D. Volume of fluid (VOF) method for the dynamics of free boundaries. J. Comput. Phys. 1981, 39, 201–225. [Google Scholar] [CrossRef]
- Berberovic, E.; van Hinsberg, N.P.; Jakirlic, S.; Roisman, I.V.; Tropea, C. Drop impact onto a liquid layer of finite thickness: Dynamics of the cavity evolution. Phys. Rev. E 2009, 79, 036306. [Google Scholar] [CrossRef]
- Jacobsen, N.G.; van Gent, M.R.; Wolters, G. Numerical analysis of the interaction of irregular waves with two dimensional permeable coastal structures. Coast. Eng. 2015, 102, 13–29. [Google Scholar] [CrossRef]
- Higuera, P.; Lara, J.L.; Losada, I.J. Realistic wave generation and active wave absorption for Navier-Stokes models: Application to OpenFOAM. Coast. Eng. 2013, 71, 102–118. [Google Scholar] [CrossRef]
- Higuera, P.; Lara, J.L.; Losada, I.J. Simulating coastal engineering processes with OpenFOAM. Coast. Eng. 2013, 71, 119–134. [Google Scholar] [CrossRef]
- Higuera, P.; Lara, J.L.; Losada, I.J. Three-dimensional interaction of waves and porous coastal structures using OpenFOAM. Part I: Formulation and validation. Coast. Eng. 2014, 83, 243–258. [Google Scholar] [CrossRef]
- Kim, S.E.; Boysan, F. Application of CFD to environmental flows. J. Wind Eng. Ind. Aerodyn. 1999, 81, 145–158. [Google Scholar] [CrossRef]
- Biswas, R.; Strawn, R.C. Tetrahedral and hexahedral mesh adaptation for CFD problems. Appl. Numer. Math. 1998, 26, 135–151. [Google Scholar] [CrossRef]
- Huang, H.; Prosperetti, A. Effect of grid orthogonality on the solution accuracy of the two-dimensional convection-diffusion equation. Numer. Heat Transf. 1994, 26, 1–20. [Google Scholar] [CrossRef]
- Keyes, D.; Ecer, A.; Satofuka, N.; Fox, P.; Periaux, J. Parallel Computational Fluid Dynamics’ 99: Towards Teraflops, Optimization and Novel Formulations; Elsevier: Amsterdam, The Netherlands, 2000. [Google Scholar]
- Bayon, A. Numerical Analysis of Air-Water Flows in Hydraulic Structures using Computational Fluid Dynamics (CFD). Ph.D. Thesis, Universitat Politècnica de València, Valencia, Spain, 2017. [Google Scholar]
- Hirsch, C. Numerical Computation of Internal and External Flows: The Fundamentals of Computational Fluid Dynamics; Butterworth-Heinemann: Oxford, UK, 2007. [Google Scholar]
- Celik, I.B.; Ghia, U.; Roache, P.J.; Freitas, C.J.; Coleman, H.; Raad, P.E. Procedure for estimation and reporting of uncertainty due to discretization in CFD applications. J. Fluids Eng. 2008, 130, 078001. [Google Scholar]
- Tsai, C.P.; Ko, C.H.; Chen, Y.C. Investigation on Performance of a Modified Breakwater-Integrated OWC Wave Energy Converter. Sustainability 2018, 10, 643. [Google Scholar] [CrossRef]
- Bayon, A.; Lopez-Jimenez, P.A. Numerical analysis of hydraulic jumps using OpenFOAM. J. Hydroinf. 2015, 17, 662–678. [Google Scholar] [CrossRef]
- Bayon, A.; Valero, D.; García-Bartual, R.; Vallés-Morán, F.J.; López-Jiménez, P.A. Performance assessment of OpenFOAM and FLOW-3D in the numerical modeling of a low Reynolds number hydraulic jump. Environ. Model. Softw. 2016, 80, 322–335. [Google Scholar] [CrossRef]
- Bayon, A.; Toro, J.P.; Bombardelli, F.A.; Matos, J.; López-Jiménez, P.A. Influence of VOF technique, turbulence model and discretization scheme on the numerical simulation of the non-aerated, skimming flow in stepped spillways. J. Hydro-Environ. Res. 2018, 19, 137–149. [Google Scholar] [CrossRef]
- Romano, A.; Bellotti, G.; Briganti, R.; Franco, L. Uncertainties in the physical modelling of the wave overtopping over a rubble mound breakwater: The role of the seeding number and of the test duration. Coast. Eng. 2015, 103, 15–21. [Google Scholar] [CrossRef]
- Vílchez, M.; Clavero, M.; Lara, J.L.; Losada, M.A. A characteristic friction diagram for the numerical quantification of the hydraulic performance of different breakwater types. Coast. Eng. 2016, 114, 86–98. [Google Scholar] [CrossRef]













| Test Number | Irm | Hm0 (m) | Tp (s) | Wave Type |
| I1 | 4 | 0.097 | 1.49 | Irregular |
| I2 | 4 | 0.113 | 1.70 | Irregular |
| I3 | 4 | 0.132 | 1.83 | Irregular |
| I4 | 4 | 0.139 | 1.99 | Irregular |
| I5 | 5 | 0.099 | 2.22 | Irregular |
| I6 | 5 | 0.117 | 2.55 | Irregular |
| I7 | 5 | 0.137 | 3.00 | Irregular |
| Test Number | Irm | H (m) | T (s) | Wave Type |
| R1 | 5 | 0.203 | 2.62 | Regular |
| Zone | D50 (m) | n | α | β | C |
|---|---|---|---|---|---|
| Core | 0.007 | 0.4 | 200 | 1.1 | 0.34 |
| Filter | 0.017 | 0.4 | 200 | 1.1 | 0.34 |
| Armor layer | 0.038 | 0.4 | 200 | 1.1 | 0.34 |
| Structure # | Ch (m) | Cb (m) | Rc (m) | Ac (m) | Parapet | wp (m) | hp (m) | εp (°) |
|---|---|---|---|---|---|---|---|---|
| A0 | 0.20 | 0.30 | 0.20 | 0.15 | No | - | - | - |
| A1 | 0.20 | 0.30 | 0.20 | 0.15 | Yes | 0.025 | 0.025 | 30 |
| B0 | 0.26 | 0.30 | 0.26 | 0.15 | No | - | - | - |
| B1 | 0.26 | 0.30 | 0.26 | 0.15 | Yes | 0.025 | 0.025 | 30 |
| B2 | 0.26 | 0.30 | 0.26 | 0.15 | Yes | 0.025 | 0.050 | 30 |
| B3 | 0.26 | 0.30 | 0.26 | 0.15 | Yes | 0.050 | 0.025 | 30 |
| B4 | 0.26 | 0.30 | 0.26 | 0.15 | Yes | 0.025 | 0.025 | 60 |
| B5 | 0.26 | 0.30 | 0.26 | 0.15 | Yes | 0.025 | 0.050 | 60 |
| B6 | 0.26 | 0.30 | 0.26 | 0.15 | Yes | 0.050 | 0.025 | 60 |
© 2019 by the authors. Licensee MDPI, Basel, Switzerland. This article is an open access article distributed under the terms and conditions of the Creative Commons Attribution (CC BY) license (http://creativecommons.org/licenses/by/4.0/).
Share and Cite
Molines, J.; Bayon, A.; Gómez-Martín, M.E.; Medina, J.R. Influence of Parapets on Wave Overtopping on Mound Breakwaters with Crown Walls. Sustainability 2019, 11, 7109. https://doi.org/10.3390/su11247109
Molines J, Bayon A, Gómez-Martín ME, Medina JR. Influence of Parapets on Wave Overtopping on Mound Breakwaters with Crown Walls. Sustainability. 2019; 11(24):7109. https://doi.org/10.3390/su11247109
Chicago/Turabian StyleMolines, Jorge, Arnau Bayon, M. Esther Gómez-Martín, and Josep R. Medina. 2019. "Influence of Parapets on Wave Overtopping on Mound Breakwaters with Crown Walls" Sustainability 11, no. 24: 7109. https://doi.org/10.3390/su11247109
APA StyleMolines, J., Bayon, A., Gómez-Martín, M. E., & Medina, J. R. (2019). Influence of Parapets on Wave Overtopping on Mound Breakwaters with Crown Walls. Sustainability, 11(24), 7109. https://doi.org/10.3390/su11247109

