Influences of Extreme Precipitation on China’s Mining Industry
Abstract
:1. Introduction
2. Research Methods and Data Sources
2.1. Trans-Logarithm Production Function
2.2. Ridge Regression Model
2.3. Data Sources and Data Processing
3. Research Results
3.1. Changes in the Mining Industry Output Value and Extreme Precipitation in China
3.2. Solutions for the Trans-Logarithm Production Function Model
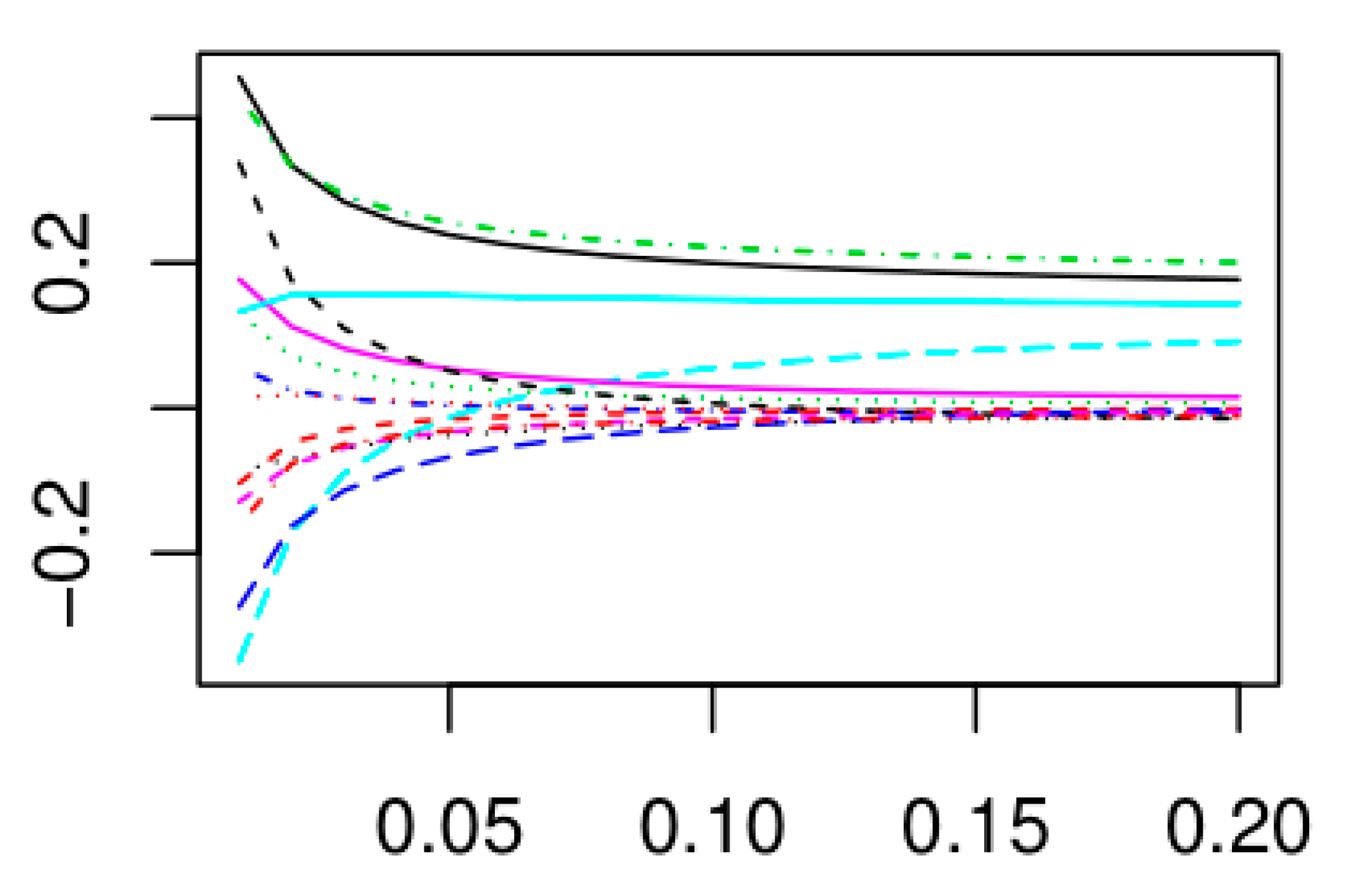
3.3. Factor Marginal Output Elasticity Analysis
4. Discussion
4.1. Influences of Extreme Precipitation on Mining Production
4.2. The Reasons Why Factor Input can Change the Added Value of the Mining Industry
4.3. Influences of Crossover Factor on the Marginal Output Elasticity of Extreme Precipitation
4.4. Limitations of this Research
5. Conclusions
Author Contributions
Funding
Conflicts of Interest
References
- IPCC. The Fifth Assessment Report of the Intergovernmental Panel on Climate Change (IPCC); Cambridge University Press: Cambridge, UK, 2013. [Google Scholar]
- Beniston, M. Linking extreme climate events and economic impacts: Examples from the Swiss Alps. Energy Policy 2007, 35, 5384–5392. [Google Scholar] [CrossRef]
- Larsen, P.H. An Evaluation of the Sensitivity of U.S. Economic Sectors to Weather. SSRN. 2006. Available online: https://papers.ssrn.com/sol3/papers.cfm?abstract_id=%20900901 (accessed on 25 November 2019).
- Akram, N. Is climate change hindering economic growth of Asian economies? Asia Pac. Dev. J. 2013, 19, 1–18. [Google Scholar] [CrossRef]
- Berlemann, M.; Wenzel, D. Hurricanes, economic growth and transmission channels. World Dev. 2018, 105, 231–247. [Google Scholar] [CrossRef]
- Dutton, J.A. Opportunities and priorities in a new era for weather and climate services. Bull. Am. Meteorol. Soc. 2002, 83, 1303–1312. [Google Scholar] [CrossRef]
- Lemmen, D.S.; Warren, F.J. Climate Change Impacts and Adaptation: A Canadian Perspective; Natural Resources Canada: Ottawa, ON, Canada, 2004. [Google Scholar]
- Zeuthen, J.W.; Raftopoulos, M. Promises of hope or threats of domination: Chinese mining in Greenland. Extr. Ind. Soc. 2018, 5, 122–130. [Google Scholar] [CrossRef]
- Dolan, C.; Blanchet, J.; Iyengar, G.; Lall, U. A model robust real options valuation methodology incorporating climate risk. Resour. Policy 2018, 57, 81–87. [Google Scholar] [CrossRef]
- Hodgkinson, J.H.; Hobday, A.J.; Pinkard, E.A. Climate adaptation in Australia’s resource-extraction industries: Ready or not? Reg. Environ. Chang. 2014, 14, 1663–1678. [Google Scholar] [CrossRef]
- Ford, J.D.; Pearce, T.; Prno, J.; Duerden, F.; Berrang Ford, L.; Beaumier, M.; Smith, T. Perceptions of climate change risks in primary resource use industries: A survey of the Canadian mining sector. Reg. Environ. Chang. 2009, 10, 65–81. [Google Scholar] [CrossRef]
- Gonzalez, F.R.; Raval, S.; Taplin, R.; Timms, W.; Hitch, M. Evaluation of Impact of Potential Extreme Rainfall Events on Mining in Peru. Nat. Resour. Res. 2018, 28, 393–408. [Google Scholar] [CrossRef]
- Pearce, T.D.; Ford, J.D.; Prno, J.; Duerden, F.; Pittman, J.; Beaumier, M.; Berrang-Ford, L.; Smit, B. Climate change and mining in Canada. Mitig. Adapt. Strateg. Glob. Chang. 2010, 16, 347–368. [Google Scholar] [CrossRef]
- O’Gorman, P.A. Precipitation Extremes Under Climate Change. Curr. Clim. Chang. Rep. 2015, 1, 49–59. [Google Scholar] [CrossRef] [PubMed]
- Damigos, D. Monetizing the impacts of climate change on the Greek mining sector. Mitig. Adapt. Strateg. Global Chang. 2011, 17, 865–878. [Google Scholar] [CrossRef]
- Bonnafous, L.; Lall, U.; Siegel, J. A water risk index for portfolio exposure to climatic extremes: Conceptualization and an application to the mining industry. Hydrol. Earth Syst. Sci. 2017, 21, 2075–2106. [Google Scholar] [CrossRef]
- van den Honert, R.C.; McAneney, J. The 2011 Brisbane Floods: Causes, Impacts and Implications. Water 2011, 3, 1149–1173. [Google Scholar] [CrossRef]
- Government, Q. Chapter 13 Mining. In Queensland Floods Commission of Inquiry; The Premier and Minister for Reconstruction: Brisbane, Australia, 2012; p. 36. [Google Scholar]
- Odell, S.D.; Bebbington, A.; Frey, K.E. Mining and climate change: A review and framework for analysis. Extr. Ind. Soc. 2018, 5, 201–214. [Google Scholar] [CrossRef]
- Wang, L.P.; Wang, X.R.; Wang, W.G. Study and application of comprehensive intensity assessment method for regional precipitation in China. J. Nat. Disasters 2015, 24, 186–194. [Google Scholar]
- Ren, Z.G.; Qiang, F.; Zhu, X.F. Changes of extreme precipitation events in south China from 1961 to 2011. Acta Geogr. Sin. 2014, 69, 640–649. [Google Scholar] [CrossRef]
- Fang, H.; Qiao, Y.T. Temporal and spatial distribution and circulation background of summer extreme precipitation in east China. Acta Trop. Meteorol. Sin. 2019, 35, 517–527. [Google Scholar]
- Ci, H.; Zhang, Q.; Zhang, J.H.; Bai, Y.G.; Liu, J.Y. Temporal and Spatial Characteristics of Extreme Precipitation Process in Xinjiang from 1961 to 2010. Geogr. Res. 2014, 33, 1881–1891. [Google Scholar]
- China Statistics. China Statistical Yearbook of the National Bureau of Statistics; China Statistics Press: Beijing, China, 2006.
- Shi, P.J. Natural Disasters in China; Springer-Verlag Berlin and Heidelberg GmbH & Co. KG: Berlin, Germany, 2016. [Google Scholar]
- Coma, C.W.; Douglas, P.H. A Theory of Production. In Fortieth Annual Meeting of the American Economic Association; American Economic Association: Nashville, TN, USA, 1928; Volume 139, p. 165. [Google Scholar]
- Christensen, L.R.; Jorgenson, D.W.; Lau, L.J. Transcendental Logarithmic Production Frontiers. Rev. Econ. Stat. 1973, 55, 28–45. [Google Scholar] [CrossRef]
- Hoerl, A.E.; Kennard, R.W. Ridge Regression: Applications to Nonorthogonal Problems. Technometrics 1970, 12, 69–82. [Google Scholar] [CrossRef]
- Cheng, L.W.; Xu, Y.; Tao, C.Q. How much loss does factor misplacement bring to Chinese agriculture—Stochastic frontier model based on tranlog production function. J. Manag. 2016, 29, 24–34. [Google Scholar]
- Sun, N. Research on the Economic Impact of Climate Change on Manufacturing. Ph.D. Thesis, Nanjing University of Information Engineering, Nanjing, China, 2001. [Google Scholar]
- Lin, P.; Meng, N.N. Government R&D expenditure and technological innovation efficiency of small and medium-sized enterprises based on empirical evidence of listed enterprises on the new third board of Hebei province. Sci. Technol. Manag. Res. 2018, 38, 150–156. [Google Scholar]
- Zhang, X.; Aguilar, E.; Sensoy, S.; Melkonyan, H.; Tagiyeva, U.; Ahmed, N.; Albert, P. Trends in Middle East climate extreme indices from 1950 to 2003. J. Geophys. Res. Atmos. 2005, 110, D22. [Google Scholar] [CrossRef]
- Zhang, X.Y. Spatiotemporal Characteristics and Risk Analysis of Extreme Precipitation in China. Ph.D. Thesis, Shanghai Normal University, Shanghai, China, 2014. [Google Scholar]
- National Meteorological Information Center. China Daily Data Set of Surface Climatological Data (V3.0); National Meteorological Information Center: Beijing, China, 2006.
- China Meteorological Administration Home Page. Available online: http://www.cma.gov.cn/2011xzt/2012zhuant/20120928_1_1_1_1/2010052703/201212/t20121212_195616.html (accessed on 12 December 2012).
- Ministry of Natural Resources. China Mineral Resources 2018; Geological Publishing House: Beijing, China, 2018.
- Gentilucci, M.; Barbieri, M.; Lee, H.S.; Zardi, D. Analysis of Rainfall Trends and Extreme Precipitation in the Middle Adriatic Side, Marche Region (Central Italy). Water 2019, 11, 1948. [Google Scholar] [CrossRef]
- Kyhn, C.; Elberling, B. Frozen cover actions limiting AMD from mine waste deposited on land in Arctic Canada. Cold Reg. Sci. Technol. 2001, 32, 133–142. [Google Scholar] [CrossRef]
- Adger, W.N.; Vincent, K. Uncertainty in adaptive capacity. C. R. Geosci. 2005, 337, 399–410. [Google Scholar] [CrossRef]
- China Geological Survey, China Mineral Resources Report; Geological Publishing House: Beijing, China, 2016.
- Mason, L.M.; Unger, C.; Lederwasch, A.J.; Razian, H.; Wynne, L.E.; Giurco, D. Adapting to Climate Risks and Extreme: A Guide for Mining and Minerals Industry Professionals; National Climate Change Adaptation Research Facility: Melbourne, Australia, 2013. [Google Scholar]
- Auld, H.; Maclver, D. Changing Weather Patterns, Uncertainty and Infrastructure Risks Emerging Adaptation Requirements. In Proceedings of the IEEE EIC Climate Change Conference, Ottawa, ON, Canada, 10–12 May 2006; pp. 1–10. [Google Scholar]
- Auld, H.; Maclver, D.; Klaassen, J. Adaptation Options for Infrastructure under Changing Climate Conditions. In Proceedings of the IEEE EIC Climate Change Conference, Ottawa, ON, Canada, 10–12 May 2006; pp. 1–11. [Google Scholar]
- Shun Tak Maritime, Heavy Rain Has Hit Australia, Disrupting the Berthing of Coal Shipments. 2019. Available online: http://www.sohu.com/a/293719716_175033 (accessed on 8 February 2019).
- Smithson, C.W. Relative factor usage in canadian mining: Neoclassical substitution or biased technical change. Resour. Energy 1979, 2, 373–389. [Google Scholar] [CrossRef]
- Fan, S.; Yan, J.; Sha, J. Innovation and economic growth in the mining industry: Evidence from China’s listed companies. Resour. Policy 2017, 54, 25–42. [Google Scholar] [CrossRef]




| Grade | Precipitation in 24 h (mm) |
|---|---|
| Light rain | ≤10 |
| Moderate rain | 10–25 |
| Heavy rain | 25–50 |
| Torrential rain | ≥50 |
| Variables | Estimated Parameter | Standardized Parameter | Standard Error | t Value | P Value | Significance |
|---|---|---|---|---|---|---|
| log(capital) | 0.1299907 | 0.4681416 | 0.0543014 | 8.621 | <2 × 10−16 | *** |
| log(labor) | −0.007837 | −0.003677 | 0.0481421 | 0.076 | 0.9391 | |
| log(research) | 0.0265134 | 0.0969835 | 0.0442232 | 2.193 | 0.0283 | * |
| log(precipitation) | −0.135006 | −0.032247 | 0.0497427 | 0.648 | 0.5168 | |
| log(capital)^2 | 0.0069816 | 0.3993026 | 0.044703 | 8.932 | <2 × 10−16 | *** |
| log(labor)^2 | −0.000551 | −0.003434 | 0.0480144 | 0.072 | 0.943 | |
| log(research)^2 | 0.0006963 | 0.0227612 | 0.0635534 | 0.358 | 0.7202 | |
| log(precipitation)^2 | −0.018464 | −0.036707 | 0.0499413 | 0.735 | 0.4623 | |
| log(capital):log(labor) | 0.0249256 | 0.5370798 | 0.0658065 | 8.162 | 2.22 × 10−16 | *** |
| log(capital):log(research) | 0.0033462 | 0.150291 | 0.0321645 | 4.673 | 2.97 × 10−6 | *** |
| log(capital):log(precipitation) | 0.0259942 | 0.4172396 | 0.0486814 | 8.571 | <2 × 10−16 | *** |
| log(labor):log(research) | 0.0048853 | 0.1121654 | 0.0474351 | 2.365 | 0.018 | * |
| log(labor):log(precipitation) | −0.015586 | −0.025902 | 0.0564157 | 0.459 | 0.6461 | |
| log(research):log(precipitation) | 0.0049804 | 0.0787004 | 0.042274 | 1.862 | 0.0626 | . |
| Year | Mining Industry Capital Output Elasticity | Labor Force Output Elasticity | Technical Progress Output Elasticity | Extreme Precipitation Output Elasticity |
|---|---|---|---|---|
| 2001 | 0.4609855 | 0.1377639 | 0.099288 | −0.13335 |
| 2002 | 0.46232546 | 0.1353186 | 0.100441 | −0.13112 |
| 2003 | 0.47045428 | 0.156002 | 0.104711 | −0.1064 |
| 2004 | 0.46963176 | 0.1536324 | 0.107347 | −0.09481 |
| 2005 | 0.47577004 | 0.1628362 | 0.109264 | −0.08666 |
| 2006 | 0.47202121 | 0.1652523 | 0.109853 | −0.07544 |
| 2007 | 0.47509197 | 0.1658685 | 0.11194 | −0.0697 |
| 2008 | 0.4806517 | 0.1667119 | 0.114467 | −0.06567 |
| 2009 | 0.48121516 | 0.1649657 | 0.117166 | −0.05664 |
| 2010 | 0.4870347 | 0.1651829 | 0.119101 | −0.0546 |
| 2011 | 0.48443901 | 0.1623083 | 0.119912 | −0.05134 |
| 2012 | 0.48095515 | 0.1623066 | 0.119659 | −0.04511 |
| 2013 | 0.48771439 | 0.165699 | 0.120682 | −0.04685 |
| 2014 | 0.48571905 | 0.1651265 | 0.120427 | −0.04589 |
| 2015 | 0.48525037 | 0.1644089 | 0.119621 | −0.04929 |
| 2016 | 0.48326539 | 0.158498 | 0.11838 | −0.05507 |
| Year | αP+ αPPln(Precipitation) | αPKln(Capital) | αPLln(Labor) | αPRln(Research) | Marginal Output Elasticity of Extreme Precipitation |
|---|---|---|---|---|---|
| 2001 | −0.210005 | 0.1681452 | −0.10643 | 0.014941 | −0.13334738 |
| 2002 | −0.2108018 | 0.169482 | −0.10587 | 0.016068 | −0.13111869 |
| 2003 | −0.210734 | 0.1938624 | −0.10653 | 0.016996 | −0.10640112 |
| 2004 | −0.2101548 | 0.2002403 | −0.1044 | 0.0195 | −0.09481265 |
| 2005 | −0.2112647 | 0.2103207 | −0.10546 | 0.019743 | −0.08666399 |
| 2006 | −0.2109679 | 0.2168359 | −0.10192 | 0.020616 | −0.07543642 |
| 2007 | −0.2112183 | 0.2217783 | −0.10222 | 0.021961 | −0.06970303 |
| 2008 | −0.2117113 | 0.2265966 | −0.10388 | 0.02333 | −0.0656678 |
| 2009 | −0.2103923 | 0.2318656 | −0.1036 | 0.025487 | −0.05664496 |
| 2010 | −0.2123468 | 0.2355628 | −0.10443 | 0.026614 | −0.05459859 |
| 2011 | −0.2102325 | 0.2356072 | −0.10427 | 0.02755 | −0.05134139 |
| 2012 | −0.2112458 | 0.238552 | −0.10049 | 0.028065 | −0.04511427 |
| 2013 | −0.2128862 | 0.240987 | −0.10291 | 0.027954 | −0.04685092 |
| 2014 | −0.2122825 | 0.2406581 | −0.10224 | 0.027974 | −0.04588569 |
| 2015 | −0.2125618 | 0.2381636 | −0.10234 | 0.027447 | −0.04928858 |
| 2016 | −0.2140824 | 0.232378 | −0.10075 | 0.02739 | −0.05506762 |
© 2019 by the authors. Licensee MDPI, Basel, Switzerland. This article is an open access article distributed under the terms and conditions of the Creative Commons Attribution (CC BY) license (http://creativecommons.org/licenses/by/4.0/).
Share and Cite
Liu, Y.; Song, W. Influences of Extreme Precipitation on China’s Mining Industry. Sustainability 2019, 11, 6719. https://doi.org/10.3390/su11236719
Liu Y, Song W. Influences of Extreme Precipitation on China’s Mining Industry. Sustainability. 2019; 11(23):6719. https://doi.org/10.3390/su11236719
Chicago/Turabian StyleLiu, Yuanzhe, and Wei Song. 2019. "Influences of Extreme Precipitation on China’s Mining Industry" Sustainability 11, no. 23: 6719. https://doi.org/10.3390/su11236719
APA StyleLiu, Y., & Song, W. (2019). Influences of Extreme Precipitation on China’s Mining Industry. Sustainability, 11(23), 6719. https://doi.org/10.3390/su11236719

