Interactions between People and Breadfruit in Hawai’i: Consumption, Preparation, and Sourcing Patterns
Abstract
1. Introduction
2. Material and Methods
3. Results
3.1. Consumer Demographics
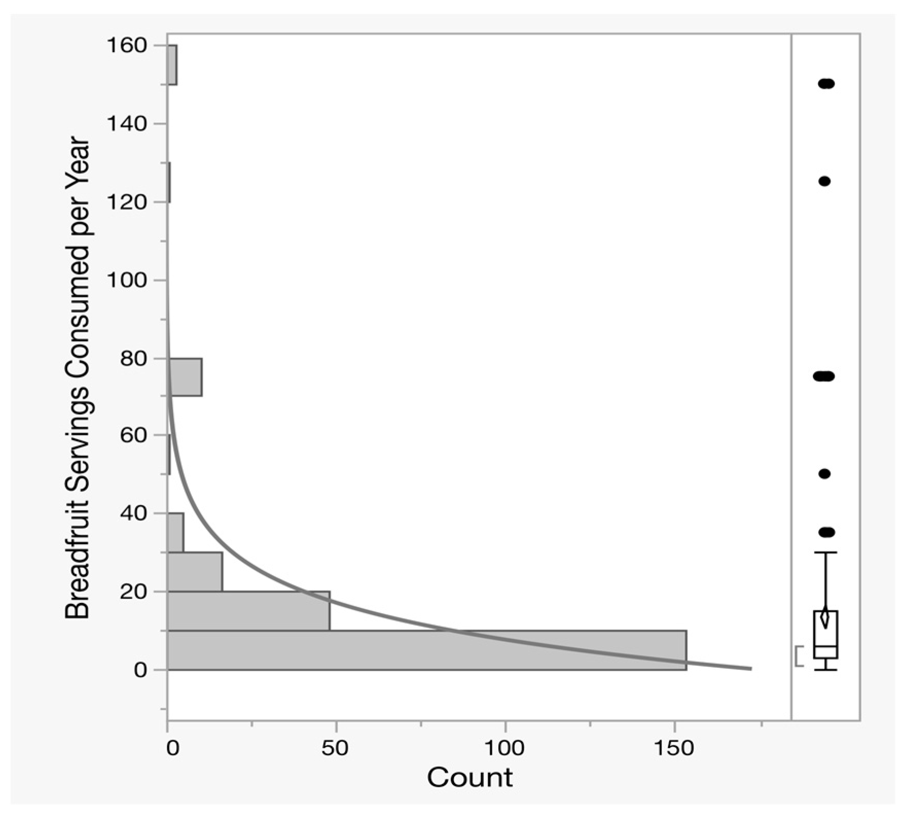
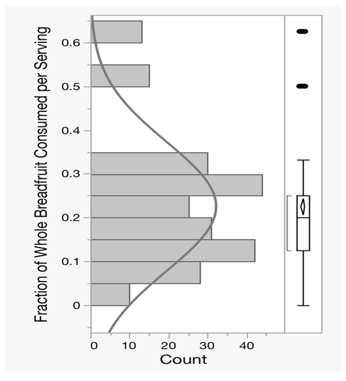
3.2. Frequency and Quantity of Consumption
3.3. Preparation
3.4. Fruit Sourcing
3.5. Consumer Awareness of Health Benefits
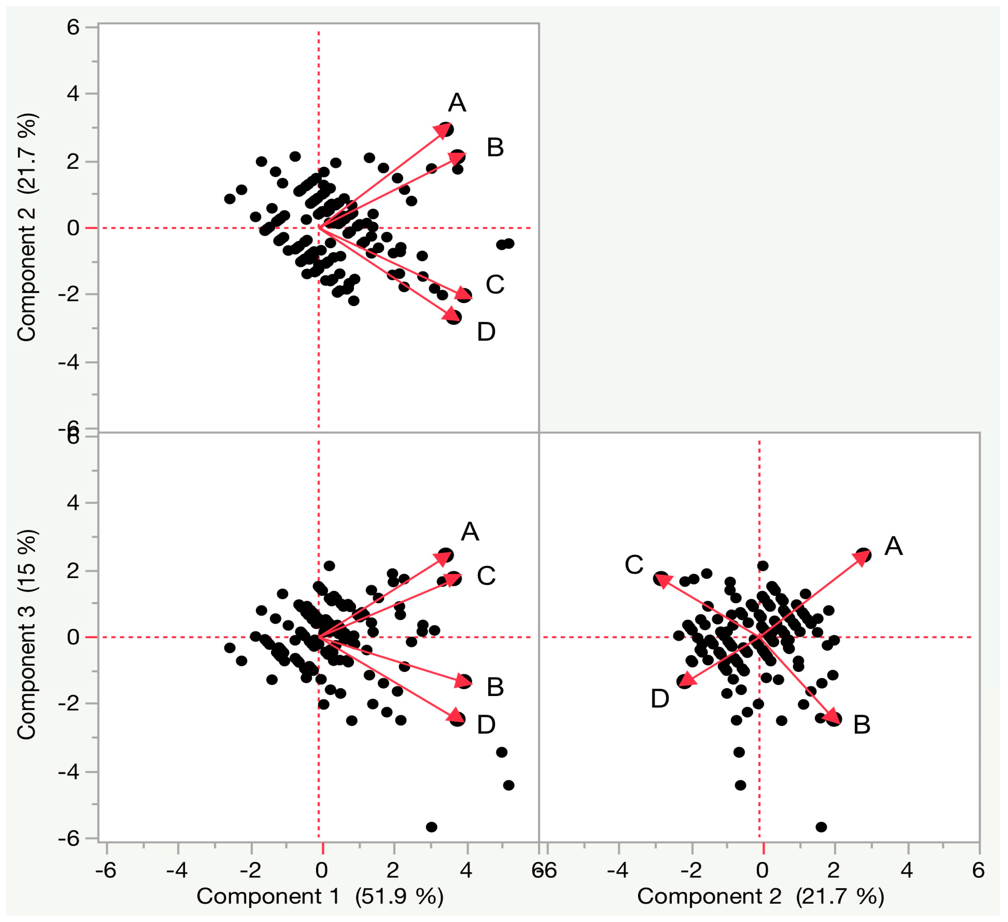
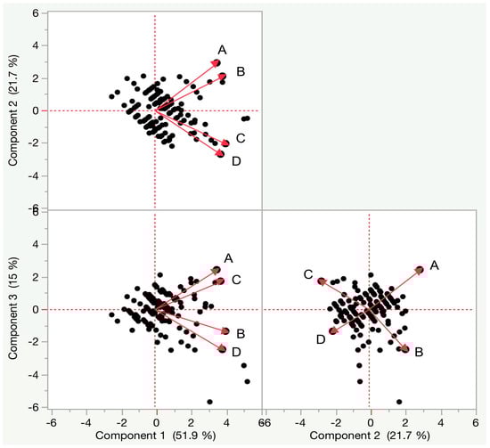
3.6. Multivariate Analyses
4. Discussion
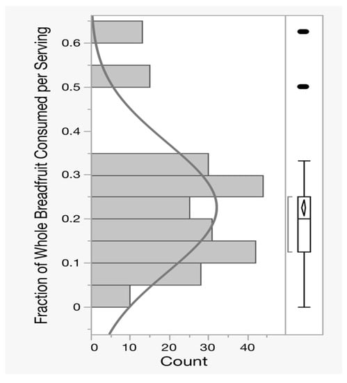
4.1. Consumption per Serving
4.2. Fruit Sourcing
4.3. Consumer Knowledge and Education
5. Conclusions
Author Contributions
Funding
Conflicts of Interest
Appendix A


References
- Turi, C.E.; Liu, Y.; Ragone, D.; Murch, S.J. Breadfruit (Artocarpus altilis and hybrids): A traditional crop with the potential to prevent hunger and mitigate diabetes in Oceania. Trends Food Sci. Technol. 2015, 45, 264–272. [Google Scholar] [CrossRef]
- Lucas, M.P.; Ragone, D. Will Breadfruit Solve the World Hunger Crisis? Begin. (PIOJ Sustain. Dev. Reg. Plan. Div.) 2012, 6, 1–4. [Google Scholar]
- FAO. International Treaty on Plant Genetic Resources for Food and Agriculture. 2019. Available online: http://www.fao.org/3/a-i0510e.pdf (accessed on 12 June 2019).
- Jones, A.M.P.; Ragone, D.; Tavan, N.G.; Bernotas, D.W.; Murch, S.J. Breadfruit (Artocarpus altilis) for food security and novel foods in the 21st Century. Ethnobot. Res. Appl. 2011, 9, 129–149. [Google Scholar] [CrossRef]
- Global Crop Diversity Trust. Available online: http://www.croptrust.org/main/lprioritycrops.php (accessed on 2 February 2018).
- Lincoln, N.K.; Ragone, D.; Zerega, N.; Roberts-Nkrumah, L.B.; Merlin, M.; Jones, A.M. Grow us our daily bread: A review of breadfruit cultivation in traditional and contemporary systems. Hortic. Rev. 2018, 46, 299–384. [Google Scholar]
- Meilleur, B.A.; Jones, R.R.; Titchernal, C.A.; Huang, A.S. Hawaiian Breadfruit Ethnobotany, Nutrition, and Human Ecology; College of Tropical Agriculture and Human Resources, University of Hawai’i at Manoa: Honolulu, HI, USA, 2004. [Google Scholar]
- Lincoln, N.K.; Vitousek, P.M. Indigenous Polynesian Agriculture in Hawai‘i; Oxford University Press: New York, NY, USA, 2017. [Google Scholar] [CrossRef]
- Lincoln, N.; Ladefoged, T. Agroecology of pre-contact Hawaiian dryland farming: The spatial extent, yield and social impact of Hawaiian breadfruit groves in Kona, Hawaiʻi. J. Archaeol. Sci. 2014, 49, 192–202. [Google Scholar] [CrossRef]
- Levin, P. Searching for Sustainable Agriculture in Hawaiʻi. In Thinking Like an Island: Navigating a Sustainable Future in Hawaii; Chirico, J., Farley, G.S., Eds.; University of Hawai’i Press: Honolulu, HI, USA, 2015; pp. 46–78. ISBN 978-0-8248-5416-4. [Google Scholar]
- Langston, B.; Lincoln, N. The Role of Breadfruit in Biocultural Restoration and Sustainability in Hawai‘i. Sustainability 2018, 10, 3965. [Google Scholar] [CrossRef]
- Ragone, D.; Elevitch, C.; Dean, A. Revitalizing breadfruit in Hawaii—A model for encouraging the cultivation and use of breadfruit in the tropics. Trop. Agric. 2016, 93, 213–224. [Google Scholar]
- Lysak, M. Improving Food and Nutrition Security through Exploration of Market Potentials by Revitilizgin Breadfruit as a Strategy for Adapting to Climate Change. Ph.D. Thesis, Department of Plant and Environmental Science, University of Copenhagen, Copenhagen, Denmark, 2018. [Google Scholar]
- Lincoln, N.K.; Rossen, J.; Vitousek, P.; Kahoonei, J.; Shapiro, D.; Kalawe, K.; Pai, M.; Marshall, K.; Meheula, K. Restoration of ‘āina malo‘o on Hawai‘i Island: Expanding Biocultural Relationships. Sustainbility 2018, 10, 3985. [Google Scholar] [CrossRef]
- Loke, M.K.; Leung, P. Hawai ‘i’s food consumption and supply sources: Benchmark estimates and measurement issues. Agric. Food Econ. 2013, 1, 10. [Google Scholar] [CrossRef]
- Melrose, J.; Perroy, R.; Cares, S.; University of Hawaii at Hilo; Spatial Data Analysis & Visualization Research Lab. Statewide Agricultural Land Use Baseline 2015; Hawaii State Department of Agriculture: Honolulu, HI, USA, 2015. [Google Scholar]
- DBEDT. Increased Food Security and Food Self-Sufficiency Strategy; Office of Planning; State of Hawai‘i: Honolulu, HI, USA, 2012.
- Liu, Y.; Jones, A.M.P.; Murch, S.J.; Ragone, D. Crop productivity, yield and seasonality of breadfruit (Artocarpus spp., Moraceae). Fruits 2014, 69, 345–361. [Google Scholar] [CrossRef]
- Nochera, C.; Ragone, D. Preparation of a breadfruit flour bar. Foods 2016, 5, 37. [Google Scholar] [CrossRef] [PubMed]
- Needham, A.; Jha, R.; Lincoln, N.K. The response of breadfruit nutrition to local climate and soil: a review and analysis of existing data. J. Food Compos. Anal. 2019. in review. [Google Scholar]
- Roberts-Nkrumah, L.B.; Badrie, N. Breadfruit consumption, cooking methods and cultivar preference among consumers in Trinidad, West Indies. Food Qual. Prefer. 2005, 16, 267–274. [Google Scholar] [CrossRef]
- Lysák, M.; Ritz, C.; Henriksen, C.B. Assessing Consumer Acceptance and Willingness to Pay for Novel Value-Added Products Made from Breadfruit in the Hawaiian Islands. Sustainability 2019, 11, 3135. [Google Scholar] [CrossRef]
- US Census Bureau. Race and Hispanic Origin. Available online: https://www.census.gov/quickfacts/hi (accessed on 24 January 2018).
- Demartini, E.; Marchi, E.D.; Cavaliere, A.; Mattavelli, S.; Gaviglio, A.; Banterle, A.; Richetin, J.; Perugini, M. Changing attitudes towards healthy food via self-association or nutritional information: What works best? Appetite 2019, 132, 166–174. [Google Scholar] [CrossRef]
- Wrieden, W.L.; Anderson, A.S.; Longbottom, P.J.; Valentine, K.; Stead, M.; Caraher, M.; Lang, T.; Gray, B.; Dowler, E. The impact of a community-based food skills intervention on cooking confidence, food preparation methods and dietary choices—An exploratory trial. Public Health Nutr. 2007, 10, 203–211. [Google Scholar] [CrossRef]
- Reicks, M.; Trofholz, A.C.; Stand, J.S.; Laska, M.N. Impact of Cooking and Home Food Preparation Interventions Among Adults: Outcomes and Implications for Future Programs. J. Nutr. Educ. Behav. 2014, 46, 259–276. [Google Scholar] [CrossRef] [PubMed]
- Kagawa-Viviani, A.; Levin, P.; Johnson, E.; Kantar, M.; Ooka, J.; Baker, J.D.; Lincoln, N.K. I ke ēwe ‘āina o ke kupuna: Hawaiian ancestral crops in perspective. Sustainability 2018, 10, 4607. [Google Scholar] [CrossRef]


| Ethnicity (n = 437) * | % Respondents |
|---|---|
| Native Hawaiian | 43.0 |
| Asian | 39.2 |
| Pacific Islander | 10.5 |
| White/Caucasian | 59.1 |
| Hispanic/Latino | 8.0 |
| Other | 9.3 |
| Multiethnic | 21.5 |
| Age (years, n = 435) | |
| 0–19 | 2.1 |
| 20–39 | 51.9 |
| 40–59 | 28.9 |
| 60–79 | 17.0 |
| Education (n = 436) | |
| Junior high | 0.4 |
| High school diploma | 7.6 |
| Some college, no degree | 12.3 |
| Associate degree | 5.5 |
| Bachelor’s degree | 35.6 |
| Master’s degree | 26.3 |
| Doctorate degree | 9.7 |
| Professional degree | 2.5 |
| Residence (n = 437) | |
| Hawai’i | 21.9 |
| Maui | 19.4 |
| O’ahu | 27.4 |
| Kaua’i | 3.4 |
| Moloka’i | 1.3 |
| Lana’i | 0.0 |
| Ni’ihau | 0.4 |
| Continental U.S. | 20.7 |
| Pacific Island Nation | 1.7 |
| International | 3.8 |
| Preparation Method | % Respondents |
|---|---|
| Steamed | 68.5 |
| Baked | 57.6 |
| Fried | 52.3 |
| Imu’d * | 14.7 |
| Processed to flour | 13.4 |
| Boiled | 4.6 |
| Hummus | 2.9 |
| Ripe/Raw | 2.5 |
| Pulehu **/grilled | 2.1 |
| Pickled | 2.1 |
| Poi *** | 1.7 |
| Source of Breadfruit | % Respondents * |
|---|---|
| Grown by friend/family | 63.2 |
| Bought at farmer’s market | 28.6 |
| Grown by self | 27.7 |
| Grown by farm | 12.7 |
| Bought at restaurant | 11.4 |
| Bought at supplier/retailer | 6.4 |
| Picked from wild tree | 5.0 |
| Multisource (2+) | 41.4 |
© 2019 by the authors. Licensee MDPI, Basel, Switzerland. This article is an open access article distributed under the terms and conditions of the Creative Commons Attribution (CC BY) license (http://creativecommons.org/licenses/by/4.0/).
Share and Cite
Needham, A.; Lincoln, N. Interactions between People and Breadfruit in Hawai’i: Consumption, Preparation, and Sourcing Patterns. Sustainability 2019, 11, 4983. https://doi.org/10.3390/su11184983
Needham A, Lincoln N. Interactions between People and Breadfruit in Hawai’i: Consumption, Preparation, and Sourcing Patterns. Sustainability. 2019; 11(18):4983. https://doi.org/10.3390/su11184983
Chicago/Turabian StyleNeedham, Amber, and Noa Lincoln. 2019. "Interactions between People and Breadfruit in Hawai’i: Consumption, Preparation, and Sourcing Patterns" Sustainability 11, no. 18: 4983. https://doi.org/10.3390/su11184983
APA StyleNeedham, A., & Lincoln, N. (2019). Interactions between People and Breadfruit in Hawai’i: Consumption, Preparation, and Sourcing Patterns. Sustainability, 11(18), 4983. https://doi.org/10.3390/su11184983

