The Prediction Model of Characteristics for Wind Turbines Based on Meteorological Properties Using Neural Network Swarm Intelligence
Abstract
1. Introduction
- To create a wind turbine characteristic model by using PSO and FA methods based on ANN and swarm as a hybrid model;
- To examine firstly the ANN model, literately easy applicable and solutes to the problem fast and effectively, and forecast the parameters of the wind turbine in detail;
- To use FA that is relatively successful method and recently recommended in the literature, with ANN;
- To compare the PSO algorithm being a traditional method used with ANN;
- To obtain the performance results in detail;
- To reach wind turbine design and efficiency of the system at the optimum level.
2. Materials and Methods
2.1. Wind Turbine Characteristics
2.2. The Proposed Prediction Models
2.2.1. The Artificial Neural Networks (ANNs)
2.2.2. Particular Swarm Optimization (PSO)
2.2.3. Firefly Algorithm (FA)
- All fireflies are unisex;
- The degree of attraction of each firefly is depended on the degree of brightness of it;
- The brightness of each firefly is being connected to the fitness function decided by the structure of the problem.
2.2.4. Performance Criteria
3. Results and Discussion
3.1. The Properties of Geographical Region and Turbine Parameters
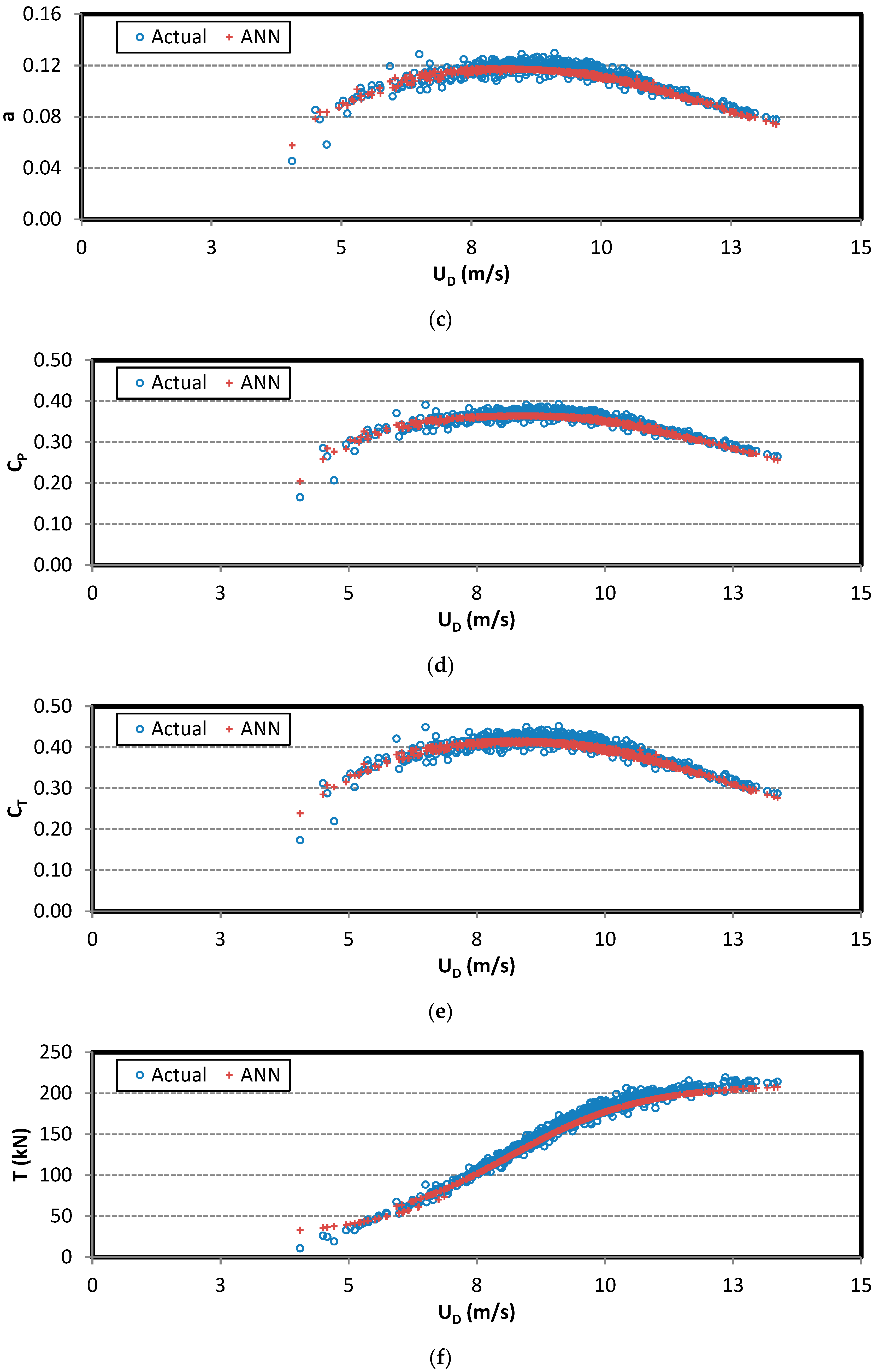
3.2. Performance Analysis
- 10 weights between input-hidden layer;
- 5 bias values for neurons at the hidden layer;
- 5 weights between hidden-output layer;
- 1 bias value for neuron at the output layer.
4. Conclusions
Author Contributions
Funding
Acknowledgments
Conflicts of Interest
References
- Bilgili, M.; Ozbek, A.; Sahin, B.; Kahraman, A. An overview of renewable electric power capacity and progress in new technologies in the world. Renew. Sustain. Energy Rev. 2015, 49, 323–334. [Google Scholar] [CrossRef]
- Carrillo, C.; Montano, A.F.O.; Diaz-Dorado, J.C.E. Review of power curve modelling for wind turbines. Renew. Sustain. Energy Rev. 2013, 21, 572–581. [Google Scholar] [CrossRef]
- Shokrzadeh, S.; Jozani, M.J.; Bibeau, E. Wind turbine power curve modeling using advanced parametric and nonparametric methods. IEEE Trans. Sustain. Energy 2014, 5, 1263–1269. [Google Scholar] [CrossRef]
- Wan, Y.H.; Ela, E.; Orwig, K. Development of an Equivalent Wind Plant Power-Curve; National Renewable Energy Laboratory: Dallas, TX, USA, 2010. [Google Scholar]
- Lydia, M.; Kumar, S.S.; Selvakumar, A.I.; Kumar, G.E.P. A comprehensive review on wind turbine power curve modeling techniques. Renew. Sustain. Energy Rev. 2014, 30, 452–460. [Google Scholar] [CrossRef]
- Trivellato, F.; Battisti, L.; Miori, G. The ideal power curve of small wind turbines from field data. J. Wind Eng. Ind. Aerodyn. 2012, 107, 263–273. [Google Scholar] [CrossRef]
- Morales, J.M.; Mínguez, R.; Conejo, A.J. A methodology to generate statistically dependent wind speed scenarios. Appl. Energy 2010, 87, 843–855. [Google Scholar] [CrossRef]
- Fadare, D.A. The application of artificial neural networks to mapping of wind speed profile for energy application in Nigeria. Appl. Energy 2010, 87, 934–942. [Google Scholar] [CrossRef]
- Petković, D.; Ćojbašič, Ž.; Nikolić, V. Adaptive neuro-fuzzy approach for wind turbine power coefficient estimation. Renew. Sustain. Energy Rev. 2013, 28, 191–195. [Google Scholar] [CrossRef]
- Ghandoor, A.A.; Samhouri, M. Electricity consumption in the industrial sector of Jordan: Application of multivariate linear regression and adaptive neuro-fuzzy techniques. Jordan J. Mech. Ind. Eng. 2009, 3, 69–76. [Google Scholar]
- Karray, F.O.; De Silva, C.W. Soft Computing and Tools of Intelligent Systems Design: Theory, Tools and Applications, 1st ed.; Pearson Education: London, UK, 2004. [Google Scholar]
- Jang, J.S.R. ANFIS: Adaptive-Network-Based Fuzzy Inference System. IEEE Trans. Syst. Man Cybern. 1993, 23, 665–685. [Google Scholar] [CrossRef]
- Ruano, A.E. Intelligent Control Systems Using Computational Intelligence Techniques, 1st ed.; IET: London, UK, 2005. [Google Scholar]
- Liu, H.; Chen, C.; Tian, H.; Li, Y. A hybrid model for wind speed prediction using empirical mode decomposition and artificial neural networks. Renew. Energy 2012, 48, 545–556. [Google Scholar] [CrossRef]
- Dang, X.J.; Chen, H.Y.; Jin, X.M. A method for forecasting short-term wind speed based on EMD and SVM. Appl. Mech. Mater. 2013, 392, 601–604. [Google Scholar] [CrossRef]
- Liu, D.; Niu, D.; Wang, H.; Fan, L. Short-term wind speed forecasting using wavelet transform and support vector machines optimized by genetic algorithm. Renew. Energy 2014, 62, 592–597. [Google Scholar] [CrossRef]
- Hou, G.; Sun, T.; Huang, F.; Jiang, P.; Zhang, J. Short-term wind speed prediction based on BP neural network with wavelet and time-series. ICIC Express Lett. 2014, 8, 867–874. [Google Scholar]
- Shamshirband, S.; Petkovic, D.; Tong, C.W.; Al-Shammari, E.T. Trend detection of wind speed probability distribution by adaptive neuro-fuzzy methodology. Flow Meas. Instrum. 2015, 45, 43–48. [Google Scholar] [CrossRef]
- Liu, H.; Tian, H.; Li, Y. Comparison of new hybrid FEEMD-MLP, FEEMD-ANFIS, Wavelet Packet-MLP and Wavelet Packet-ANFIS for wind speed predictions. Energy Convers. Manag. 2015, 89, 1–11. [Google Scholar] [CrossRef]
- Li, C.; Liu, Y.; Li, G.; Li, J.; Zhu, D.; Jia, W.; Li, G.; Zhi, Y.; Zhai, Z. Evaluation of wind energy resource and wind turbine characteristics at two locations in China. Technol. Soc. 2016, 47, 121–128. [Google Scholar] [CrossRef]
- Marvuglia, A.; Messineo, A. Monitoring of wind farms’ power curves using machine learning techniques. Appl. Energy 2012, 98, 574–583. [Google Scholar] [CrossRef]
- Ageze, M.B.; Hu, Y.; Wu, H. Wind turbine aeroelastic modeling: Basics and cutting edge trends. Int. J. Aerosp. Eng. 2017, 2017, 526–897. [Google Scholar] [CrossRef]
- Bai, C.J.; Wang, W.C. Review of computational and experimental approaches to analysis of aerodynamic performance in horizontal-axis wind turbines (HAWTs). Renew. Sustain. Energy Rev. 2016, 63, 506–519. [Google Scholar] [CrossRef]
- Bavanish, B.; Thyagarajan, K. Optimization of power coefficient on a horizontal axis wind turbine using BEM theory. Renew. Sustain. Energy Rev. 2013, 26, 169–182. [Google Scholar] [CrossRef]
- Hansen, M.O.L.; Sørensen, J.N.; Voutsinas, S.; Sørensen, N.; Madsen, H.A. State of the art in wind turbine aerodynamics and aeroelasticity. Prog. Aerosp. Sci. 2006, 42, 285–330. [Google Scholar] [CrossRef]
- He, Y.; Chan, P.; Li, Q. Wind characteristics over different terrains. J. Wind Eng. Ind. Aerodyn. 2013, 20, 51–69. [Google Scholar] [CrossRef]
- Naba, A.; Nadhir, A.; Hiyama, T. Optimal control of variable-speed wind energy conversion system based on fuzzy model power curve. Int. J. Electr. Comput. Sci. 2012, 12, 28–36. [Google Scholar]
- Bououden, S.; Chadli, M.; Filali, S.; El Hajjaji, A. Fuzzy model based multivariable predictive control of a variable speed wind turbine: LMI approach. Renew. Energy 2012, 37, 434–439. [Google Scholar] [CrossRef]
- Meharrar, A.; Tioursi, M.; Hatti, M.; Stambouli, A.B. A variable speed wind generator maximum power tracking based on adaptive neuro-fuzzy inference system. Expert Syst. Appl. 2011, 38, 7659–7664. [Google Scholar] [CrossRef]
- Ata, R.; Rocyigit, Y. An adaptive neuro-fuzzy inference system approach for prediction of tip speed ratio in wind turbines. Expert Syst. Appl. 2010, 37, 5454–5460. [Google Scholar] [CrossRef]
- El Alimi, S.; Maatallah, T.; Dahmouni, A.W.; Nasrallah, S.B. Modeling and investigation of the wind resource in the gulf of Tunis, Tunisia. Renew. Sustain. Energy Rev. 2012, 16, 5466–5478. [Google Scholar] [CrossRef]
- Ashrafi, Z.N.; Ghaderi, M.; Sedaghat, A. Parametric study on off-design aerodynamic performance of a horizontal axis wind turbine blade and proposed pitch control. Energy Convers. Manag. 2015, 93, 349–356. [Google Scholar] [CrossRef]
- Pelletie, F.; Masson, C.; Tahan, A. Wind turbine power curve modelling using artificial neural network. Renew. Energy 2016, 89, 207–214. [Google Scholar] [CrossRef]
- Bilgili, M.; Yasar, A. Performance evaluation of a horizontal axis wind turbine in operation. Int. J. Green Energy 2017, 14, 1048–1056. [Google Scholar] [CrossRef]
- Marciukaitis, M.; Zutautaite, I.; Martisauskas, L.; Joksas, B.; Gecevicius, G.; Sfetsos, A. Non-linear regression model for wind turbine power curve. Renew. Energy 2017, 113, 732–741. [Google Scholar] [CrossRef]
- Asghar, A.B. Estimation of wind turbine power coefficient by adaptive neuro-fuzzy methodology. Neurocomputing 2017, 238, 227–233. [Google Scholar] [CrossRef]
- Asghar, A.B.; Liu, X. Adaptive neuro-fuzzy algorithm to estimate effective wind speed and optimal rotor speed for variable-speed wind turbine. Neurocomputing 2018, 272, 495–504. [Google Scholar] [CrossRef]
- Li, G.; Shi, J. On comparing three artificial neural networks for wind speed forecasting. Appl. Energy 2010, 87, 2313–2320. [Google Scholar] [CrossRef]
- Yang, X.S. Firefly algorithm. In Nature-Inspired Metaheuristic Algorithms, 2nd ed.; Luniver Press: Frome, UK, 2008; pp. 79–90. [Google Scholar]
- Kennedy, J.; Eberhart, R.C. Particle swarm optimization. In Proceedings of the IEEE International Conference on Neural Networks 4, Perth, Australia, 27 November–1 December 1995; IEEE: Piscataway, NJ, USA, 1995; pp. 1942–1948. [Google Scholar]
- Armaghani, D.J.; Raja, R.S.N.S.B.; Faizi, K.; Rashid, A.S.A. Developing a hybrid PSO–ANN model for estimating the ultimate bearing capacity of rock-socketed piles. Neural Comput. Appl. 2017, 28, 391–405. [Google Scholar] [CrossRef]
- Gharghan, S.K.; Nordin, R.; Ismail, M.; Ali, J.A. Accurate wireless sensor localization technique based on hybrid PSO-ANN algorithm for indoor and outdoor track cycling. IEEE Sens. J. 2016, 16, 529–541. [Google Scholar] [CrossRef]
- Darmawan, M.F.; Hasan, H.; Sadimon, S.; Yusuf, S.M.; Haron, H. A Hybrid Artificial Intelligent System for Age Estimation Based on Length of Left Hand Bone. Adv. Sci. Lett. 2018, 24, 1047–1051. [Google Scholar] [CrossRef]
- Kora, P.; Kumari, C.U.; Meenakshi, K. Heart Arhythmia Detection Using Wavelet Coherence and Firefly Algorithm. Int. J. Comput. Appl. 2018, 975, 8887. [Google Scholar] [CrossRef]
- Muthuramalingam, A.; Gnanamanickam, J.; Muhammad, R. Optimum Feature Selection Using Firefly Algorithm for Keystroke Dynamics. In Proceedings of the International Conference on Intelligent Systems Design and Applications, Delhi, India, 14–16 December 2017; Springer: Cham, Switzerland, 2017; pp. 399–406. [Google Scholar]
- Abdullah, M.N.; Abdullah, N.L.; Jamian, J.J. Optimal power generation in microgrid system using firefly algorithm. In Proceedings of the 6th International Conference on Electrical Engineering and Informatics (ICEEI), Langkawi, Malaysia, 25–27 November 2017; pp. 1–6. [Google Scholar]
- REGD 2017, Renewable Energy General Directorate; Wind Energy Technical Potential for the Provinces of Turkey. Available online: http://www.eie.gov.tr/ (accessed on 7 July 2019).










| Variable | Properties |
|---|---|
| Model | VESTAS V90-3 MW |
| Power regulation | Pitch regulated with variable speed |
| Operating data | |
| Rated power | 3000 kW |
| Cut-in wind speed | 4 m/s |
| Rated wind speed | 15 m/s |
| Cut-out wind speed | 25 m/s |
| Wind class | IECIA |
| Operating temperature range | −20 °C to 40 °C |
| Rotor | |
| Diameter | 90 m |
| Swept area | 6362 m2 |
| Nominal revolutions | 16.1 rpm |
| Operational interval | 8.6–18.4 rpm |
| Number of blades | 3 |
| Air brake | Full blade fathering with 3 pitch cylinders |
| Electrical | |
| Frequency | 50 Hz |
| Generator type | 4-pole doubly fed generator, slip rings |
| Nominal output | 50 Hz: 3000 kW |
| Gearbox | Two planetary stages and one helical stage |
| Tower | |
| Type | Tabular steel tower |
| Hub height | 80 m |
| Blade dimensions | |
| Length | 44 m |
| Max. chord | 3.5 m |
| Nacelle dimensions | |
| Height for transport | 4 m |
| Length | 12.2 m |
| Width | 3.5 m |
| Hub dimensions | |
| Max. diameter | 3.6 m |
| Max. width | 4 m |
| Length | 4.2 m |
| Max. weight per unit for transportation | 79 t |
| MAE | MAPE (%) | RMSE | TIC | ||
|---|---|---|---|---|---|
| Power (kW) | ANN | 46.5120 | 3.3819 | 61.3950 | 0.0195 |
| ANN-PSO | 45.8760 | 3.2649 | 60.7857 | 0.0193 | |
| ANN-FA | 45.6076 | 3.2014 | 60.4009 | 0.0192 | |
| Ω | ANN | 0.0934 | 0.6338 | 0.1282 | 0.0043 |
| ANN-PSO | 0.0911 | 0.6167 | 0.1264 | 0.0042 | |
| ANN-FA | 0.0897 | 0.6044 | 0.1244 | 0.0041 | |
| ANN | 0.0034 | 3.0651 | 0.0044 | 0.0196 | |
| ANN-PSO | 0.0034 | 3.0322 | 0.0044 | 0.0197 | |
| ANN-FA | 0.0033 | 2.9730 | 0.0043 | 0.0193 | |
| CP | ANN | 0.0082 | 2.3481 | 0.0106 | 0.0150 |
| ANN-PSO | 0.0081 | 2.3083 | 0.0104 | 0.0148 | |
| ANN-FA | 0.0080 | 2.2648 | 0.0102 | 0.0145 | |
| CT | ANN | 0.0107 | 2.6998 | 0.0137 | 0.0173 |
| ANN-PSO | 0.0106 | 2.6877 | 0.0138 | 0.0174 | |
| ANN-FA | 0.0103 | 2.5877 | 0.0131 | 0.0166 | |
| T (kN) | ANN | 4.9578 | 3.7570 | 6.2345 | 0.0199 |
| ANN-PSO | 4.9554 | 3.4610 | 6.2864 | 0.0201 | |
| ANN-FA | 4.8933 | 3.3137 | 6.2621 | 0.0200 | |
| λ | ANN | 0.0403 | 0.5653 | 0.0581 | 0.0042 |
| ANN-PSO | 0.0402 | 0.5621 | 0.0582 | 0.0042 | |
| ANN-FA | 0.0395 | 0.5532 | 0.0580 | 0.0042 | |
© 2019 by the authors. Licensee MDPI, Basel, Switzerland. This article is an open access article distributed under the terms and conditions of the Creative Commons Attribution (CC BY) license (http://creativecommons.org/licenses/by/4.0/).
Share and Cite
Demirdelen, T.; Tekin, P.; Aksu, I.O.; Ekinci, F. The Prediction Model of Characteristics for Wind Turbines Based on Meteorological Properties Using Neural Network Swarm Intelligence. Sustainability 2019, 11, 4803. https://doi.org/10.3390/su11174803
Demirdelen T, Tekin P, Aksu IO, Ekinci F. The Prediction Model of Characteristics for Wind Turbines Based on Meteorological Properties Using Neural Network Swarm Intelligence. Sustainability. 2019; 11(17):4803. https://doi.org/10.3390/su11174803
Chicago/Turabian StyleDemirdelen, Tugce, Pırıl Tekin, Inayet Ozge Aksu, and Firat Ekinci. 2019. "The Prediction Model of Characteristics for Wind Turbines Based on Meteorological Properties Using Neural Network Swarm Intelligence" Sustainability 11, no. 17: 4803. https://doi.org/10.3390/su11174803
APA StyleDemirdelen, T., Tekin, P., Aksu, I. O., & Ekinci, F. (2019). The Prediction Model of Characteristics for Wind Turbines Based on Meteorological Properties Using Neural Network Swarm Intelligence. Sustainability, 11(17), 4803. https://doi.org/10.3390/su11174803

