Multi-Power Joint Peak-Shaving Optimization for Power System Considering Coordinated Dispatching of Nuclear Power and Wind Power
Abstract
:1. Introduction
2. Peak Shaving Matching Characteristics of Wind Power and Nuclear Power
2.1. Characteristics of Wind Power Output
2.2. Peak Shaving Characteristics of Nuclear Power
2.3. Matching Characteristics of Wind Power Output and Nuclear Power Peak-Shaving
3. Joint Dispatching Model of Multiple Power Sources
3.1. Treatment for Nuclear Power Units Participate in Daily Peak Shaving
3.2. Objective Function
3.3. Constraint Condition
4. Model Solving Method
4.1. Linearization of Peak Shaving Constraints in Nuclear Power Units
4.2. Model Solving Process
5. Example Analysis
5.1. Matching Characteristics Analysis of Peak Shaving between Wind and Nuclear Power
5.2. Effect of the Dispatching Model on Operation Economy
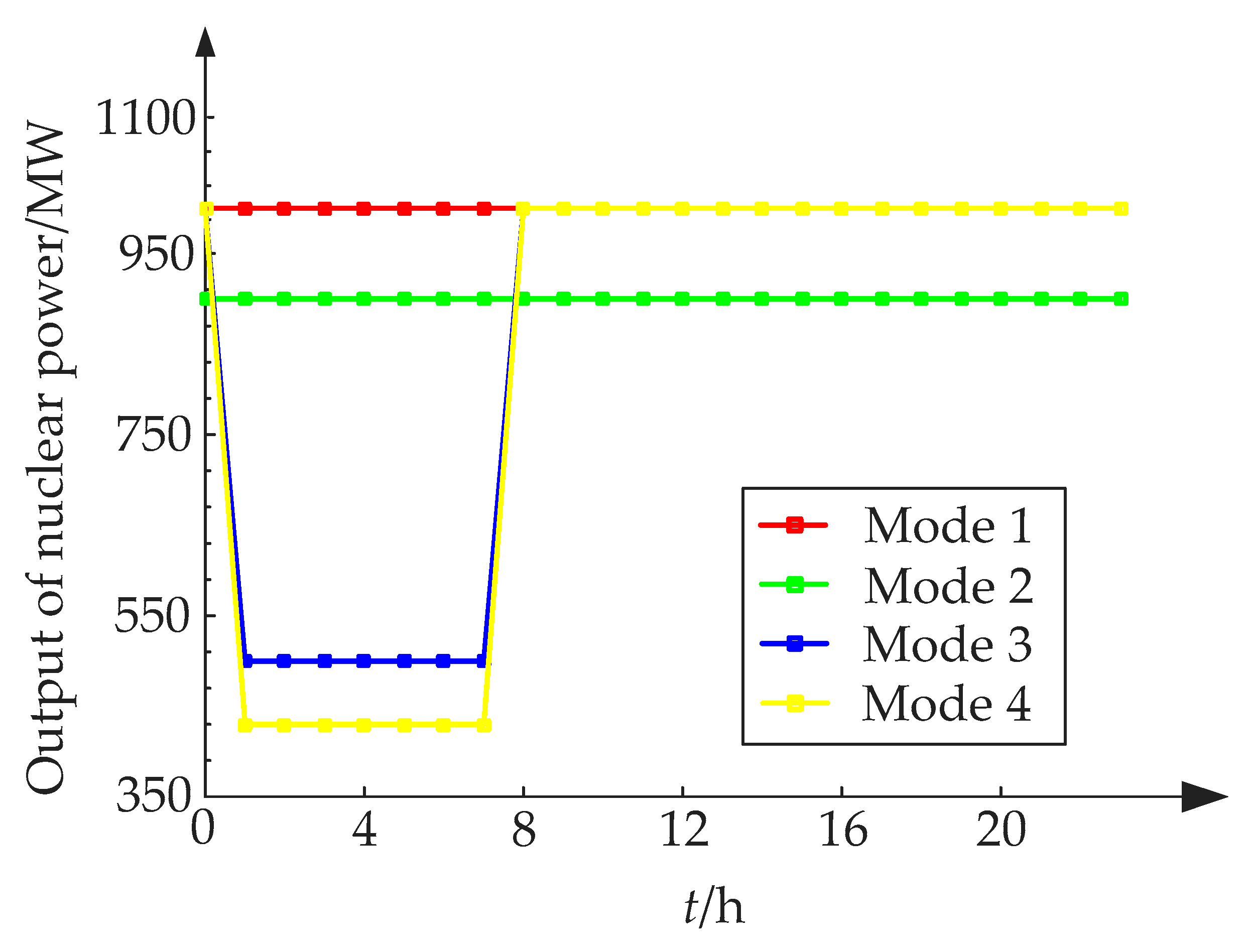
5.3. Effect of Daily Peak Shaving Mode on the Dispatching Optimization Results
5.4. Analysis of Abandoned Wind Cost Coefficient
6. Conclusions
- Wind power output matches the peak shaving characteristics of nuclear power. Only when the negative peak-shaving characteristic of wind power reaches a certain degree can nuclear power be required to participate in daily peak-shaving, thus avoiding frequent participation of nuclear power units in daily peak-shaving and realizing the economic dispatching of the system.
- Participation of wind and nuclear in peak shaving can reduce peak shaving pressure of conventional units, avoid frequent start-stop of conventional units and coordinated dispatching of wind and nuclear units can take into account peak shaving flexibility and cost, improve dispatching economy of the power system and reduce wind abandonment.
- Daily load tracking mode is used to participate in daily peak shaving for nuclear power units and the method of subdividing the depth of peak shaving is used to accurately optimize the output of nuclear power, which can effectively reduce the total operation cost of the system.
- With the development of wind power technology, the abandoned wind cost is getting smaller and smaller. The cooperation between wind power and nuclear power can reduce the pressure of nuclear power plant for peak-shaving demand of the power system and promote the operation economy.
Author Contributions
Funding
Acknowledgments
Conflicts of Interest
Nomenclature
| Parameters | |
| nT, nCC, nW,on, nW,off | number of coal-fired units, gas-steam combined cycle units, onshore wind farms and offshore wind farms respectively |
| nN, nPS | number of nuclear power units and pumped storage units |
| MCC, | all mode sets of combined cycle units and modes that can be transformed in y mode |
| aiT, biT, ciT | fuel cost coefficient of coal-fired unit i |
| , | gas cost coefficient of combined cycle unit i in y mode |
| , | operation cost constant of the equivalent nuclear power unit and the cost coefficient of nuclear fuel |
| , | operation cost constant term and the rated output of the nuclear power unit i |
| , | cost of generating electricity and pumping water for pumped storage unit i |
| pW,on, pW,off | cost coefficient of wind power abandonment on land and offshore |
| , | abandoned onshore and offshore wind power respectively |
| pN | peak shaving cost coefficient of nuclear power |
| fuel cost coefficient of nuclear power peak shaving | |
| safety cost coefficient of nuclear power peak shaving | |
| nuclear power safety value coefficient which balances nuclear power peak shaving safety and economy | |
| Ru,t, Rd,t | positive and negative spinning reserve capacity of the system during t period |
| Lu%, Wu,on%, Wu,off% | positive spinning reserve coefficient for load, onshore wind power and offshore wind power, respectively |
| Ld%, Wd,on%, Wd,off% | negative spinning reserve coefficient for load, onshore wind power and offshore wind power, respectively |
| , | maximum and minimum technical output of the coal-fired unit i |
| , | increasing and falling climbing rates of coal-fired unit i |
| T10 | spinning reserve response time, here takes 10 min |
| , | maximum and minimum technical output of combined cycle unit i in y mode |
| rated power operation mark of nuclear power unit at t time | |
| low power operation mark of the nuclear power unit under the m-th grade peak shaving depth at t time | |
| operation mark for power up (or down) of the nuclear power unit under the m-th grade peak shaving depth at t time | |
| , | full-power minimum continuous running time and low-power minimum continuous running time of nuclear power respectively |
| , , | output of coal-fired unit i, pumped storage unit i and combined cycle unit i during t period |
| power generation dispatching output of the pumped storage unit i | |
| , | upper and lower limit of |
| , | storage capacity of the upper and lower reservoir at t time |
| , , , | upper and lower limit of and , respectively |
| the system load at t time | |
| , | minimum technical output of combined cycle unit i in y mode and the output of higher than during t period |
| , | the predictive and dispatching output of the i-th onshore wind farm respectively |
| , | the predictive and dispatching output of the i-th offshore wind farm respectively |
| , | dispatching output and rated output of the nuclear power unit |
| , | increasing and falling climbing rate of combined cycle unit i in y mode |
| , | maximum generating power and fixed pumping power of pumped storage unit i |
| , | the minimum running time and the minimum downtime of coal-fired unit i |
| , | increasing and falling climbing rates of combined cycle unit i during mode conversion, respectively |
| , | minimum running time and minimum downtime of combined cycle unit i in y mode |
| minimum output allowed by the equivalent nuclear power unit | |
| Variables | |
| C | total operation cost |
| CT, CCC, CNuc, CPS | operation cost of coal-fired units, gas-steam combined cycle units, nuclear power units and pumped storage units, respectively |
| conversion cost of the combined cycle unit i from mode y to mode z | |
| 0–1 variable whose value is 1 when the combined cycle unit i is running during t period | |
| 0–1 variable whose value is 1 when combined cycle unit i transforms from mode y to mode z | |
| 0–1 variable whose value is 1 when pumped storage unit i changes from power generation state to stop state during t period | |
| 0–1 variable whose value is 1 when pumped storage unit i is pumping water | |
| CWind | cost of wind power abandonment |
| start-stop cost of coal-fired units | |
| 0–1 variable whose value is 1 when the coal-fired unit i is running during t period | |
| , | 0–1 variable indicating start-up and shut-down of coal-fired unit in t period |
| 0–1 variable whose value is 1 when pumped storage unit i changes from stop state to power generation state during t period | |
| 0–1 variable whose value is 1 when pumped storage unit i is generating power | |
References
- Ge, W.C.; Sun, P.; Li, J.J.; Zhang, T.; Zhang, Q.; Wang, C. Research on economic operation of multi-source peak-shaving involving nuclear power. In Proceedings of the 2018 International Conference on Smart Grid and Electrical Automation (ICSGEA), Changsha, China, 9–10 June 2018; pp. 46–49. [Google Scholar]
- Feng, Z.-K.; Niu, W.-J.; Cheng, C.-T.; Zhou, J.-Z. Peak shaving operation of hydro-thermal-nuclear plants serving multiple power grids by linear programming. Energy 2017, 135, 210–219. [Google Scholar] [CrossRef]
- Wang, C.; Lu, Z.; Qiao, Y. A Consideration of the Wind Power Benefits in Day-Ahead Scheduling of Wind-Coal Intensive Power Systems. IEEE Trans. Power Syst. 2013, 28, 236–245. [Google Scholar] [CrossRef]
- Cany, C.; Mansilla, C.; Mathonnière, G.; Da Costa, P. Nuclear power supply: Going against the misconceptions. Evidence of nuclear flexibility from the French experience. Energy 2018, 151, 289–296. [Google Scholar] [CrossRef]
- Li, H.; Lu, Z.; Qiao, Y.; Wang, W. Risk assessment of power system with high penetration of wind power considering negative peak shaving and extreme weather conditions. In Proceedings of the 2014 IEEE PES General Meeting|Conference & Exposition, National Harbor, MD, USA, 27–31 July 2014; pp. 1–5. [Google Scholar]
- Antenucci, A.; Sansavini, G. Gas-Constrained Secure Reserve Allocation with Large Renewable Penetration. IEEE Trans. Sustain. Energy 2018, 9, 685–694. [Google Scholar] [CrossRef]
- Eliasi, H.; Menhaj, M.; Davilu, H. Robust nonlinear model predictive control for nuclear power plants in load following operations with bounded xenon oscillations. Nucl. Eng. Des. 2011, 241, 533–543. [Google Scholar] [CrossRef]
- Lee, H.; Cha, W.C. Virtual Reality-Based Ergonomic Modeling and Evaluation Framework for Nuclear Power Plant Operation and Control. Sustainability 2019, 11, 2630. [Google Scholar] [CrossRef]
- Chen, K.S.; Lin, K.P.; Yan, J.X.; Hsieh, W.L. Renewable Power Output Forecasting Using Least-Squares Support Vector Regression and Google Data. Sustainability 2019, 11, 3009. [Google Scholar] [CrossRef]
- Kang, M.Y.; Jeong, Y.; Jung, Y. Assessment Methodology of Practical Configuration Management (CM) for Sustainable Nuclear Power Plants (NPPs). Sustainability 2019, 11, 2391. [Google Scholar] [CrossRef]
- Kim, H.J.; Yu, J.J.; Yoo, S.H. Does Combined Heat and Power Play the Role of a Bridge in Energy Transition? Evidence from a Cross-Country Analysis. Sustainability 2019, 11, 1035. [Google Scholar] [CrossRef]
- Zou, Y.; Zou, S.; Niu, C. The Optimization of Emergency Evacuation from Nuclear Accidents in China. Sustainability 2018, 10, 2737. [Google Scholar] [CrossRef]
- Kudiyarasan, S.; Sivakumar, P. Modern Analysis of Power Flow and Network Stability of Transmission Lines for Nuclear Power Dispatch. Int. J. Sci. Technol. Soc. 2019, 7, 21–32. [Google Scholar] [CrossRef]
- Neyestani, M.; Farsangi, M. Optimization of the Economic Dispatch problem by considering the emission dispatch with using the AMPSO. Adv. Model. Anal. C 2018, 73, 60–71. [Google Scholar] [CrossRef]
- Ciornei, I.; Kyriakides, E. Recent methodologies and approaches for the economic dispatch of generation in power systems. Int. Trans. Electr. Energy Syst. 2013, 23, 1002–1027. [Google Scholar] [CrossRef]
- Dhillon, J.; Jain, S.K. Multi-Objective Generation and Emission Dispatch Using NSGA-II. Int. J. Eng. Technol. 2011, 3, 460–466. [Google Scholar] [CrossRef]
- Gao, C.W.; Li, Y. Evolution of China’s power dispatch principle and the new energy saving power dispatch policy. Energy Policy 2010, 38, 7346–7357. [Google Scholar]
- Barcelo, W.; Rastgoufard, P. Dynamic economic dispatch using the extended security constrained economic dispatch algorithm. IEEE Trans. Power Syst. 1997, 12, 961–967. [Google Scholar] [CrossRef]
- Abdelaziz, A.; Ali, E.; Elazim, S.A. Implementation of flower pollination algorithm for solving economic load dispatch and combined economic emission dispatch problems in power systems. Energy 2016, 101, 506–518. [Google Scholar] [CrossRef]
- Khalid, M. Wind Power Economic Dispatch—Impact of Radial Basis Functional Networks and Battery Energy Storage. IEEE Access 2019, 7, 36819–36832. [Google Scholar] [CrossRef]
- Basu, M. Multi-area dynamic economic emission dispatch of hydro-wind-thermal power system. Renew. Energy Focus 2019, 28, 11–35. [Google Scholar] [CrossRef]
- Ha, C.H.; Kim, J.H.; Lee, S.J.; Seong, P.H. Investigation on relationship between information flow rate and mental workload of accident diagnosis tasks in NPPs. IEEE Trans. Nucl. Sci. 2006, 53, 1450–1459. [Google Scholar]
- Aizpurua, J.I.; McArthur, S.D.J.; Stewart, B.G.; Lambert, B.; Cross, J.G.; Catterson, V.M.; Unanue, J.I.A. Adaptive Power Transformer Lifetime Predictions Through Machine Learning and Uncertainty Modeling in Nuclear Power Plants. IEEE Trans. Ind. Electron. 2019, 66, 4726–4737. [Google Scholar] [CrossRef]
- Taljan, G.; Canizares, C.; Fowler, M.; Verbic, G. The Feasibility of Hydrogen Storage for Mixed Wind-Nuclear Power Plants. IEEE Trans. Power Syst. 2008, 23, 1507–1518. [Google Scholar] [CrossRef]
- Shortt, A.; Kiviluoma, J.; O’Malley, M. Accommodating Variability in Generation Planning. IEEE Trans. Power Syst. 2013, 28, 158–169. [Google Scholar] [CrossRef]
- Loisel, R.; Alexeeva, V.; Zucker, A.; Shropshire, D. Load-following with nuclear power: Market effects and welfare implications. Prog. Nucl. Energy 2018, 109, 280–292. [Google Scholar] [CrossRef]
- Zhang, T.; Ma, X.D.; Zhu, Y.; Wang, G.; Ye, P. A Research Summary on Combined Peaking Load Strategies of Nuclear Power Plant. Adv. Mater. Res. 2014, 986, 196–201. [Google Scholar] [CrossRef]
- Dong, Z.; Feng, J.; Huang, X. Nonlinear Observer-Based Feedback Dissipation Load-Following Control for Nuclear Reactors. IEEE Trans. Nucl. Sci. 2009, 56, 272–285. [Google Scholar] [CrossRef]
- Ge, F.; Lin, Y.; Ju, Y.; Qi, Z. Unit commitment considering the characteristics of nuclear and wind power. In Proceedings of the 2018 International Conference on Power System Technology (POWERCON), Guangzhou, China, 6–8 November 2018; pp. 4765–4771. [Google Scholar]
- Ma, C.; Jiang, Z.; Zhang, P.; Gao, W.; Liu, W. Economic analysis of wind power accommodation considering operation modes of nuclear power plants. In Proceedings of the IECON 2017—43rd Annual Conference of the IEEE Industrial Electronics Society, Beijing, China, 29 October–1 November 2017; pp. 2467–2472. [Google Scholar]
- Hou, W.T.; Wei, H. A multi-source coordinated short-term dispatch model considering the dispatchability of nuclear power plants. Trans. China Electrotech. Soc. 2018, 33, 2873–2882. [Google Scholar]
- Liu, W.Y.; Wen, J.; Xie, C.; Wang, W.; Liang, C. Multi-objective optimal method considering wind power accommodation based on source-load coordination. Proc. CSEE 2015, 35, 1079–1088. [Google Scholar]
- Wang, Y.; Chen, H.; Xuan, P.; Hua, D. A robust scheduling with multiple types of power sources based on optimal scenario set. Power Syst. Technol. 2016, 40, 354–362. [Google Scholar]
- Jiang, R.; Wang, J.; Guan, Y. Robust Unit Commitment with Wind Power and Pumped Storage Hydro. IEEE Trans. Power Syst. 2012, 27, 800–810. [Google Scholar] [CrossRef]
- Meus, J.; Poncelet, K.; Delarue, E. Applicability of a Clustered Unit Commitment Model in Power System Modeling. IEEE Trans. Power Syst. 2018, 33, 2195–2204. [Google Scholar] [CrossRef]
- Chen, Y.; Liu, F.; Liu, B.; Wei, W.; Mei, S. An Efficient MILP Approximation for the Hydro-Thermal Unit Commitment. IEEE Trans. Power Syst. 2016, 31, 3318–3319. [Google Scholar] [CrossRef]
- EUR. The European Utility Requirement (EUR) Document; Revision C; EUR: Budapest, Hungary, 2001; Volume 2. [Google Scholar]
- Morales-Espana, G.; Correa-Posada, C.M.; Ramos, A. Tight and compact MIP formulation of configuration-based combined-cycle units. IEEE Trans. Power Syst. 2016, 31, 1350–1359. [Google Scholar] [CrossRef]
- IRENA. Renewable Power Generation Costs in 2017; International Renewable Energy Agency: Abu Dhabi, United Arab Emirates, 2019. [Google Scholar]
- Zhao, J.; Liu, D.C.; Yang, N.; Sun, W. Operation mode and benefits of nuclear power plant participating in peak load regulation of power system. Power Syst. Technol. 2012, 36, 250–255. [Google Scholar]
- Hetzer, J.; Yu, D.C.; Bhattarai, K. An Economic Dispatch Model Incorporating Wind Power. IEEE Trans. Energy Convers. 2008, 23, 603–611. [Google Scholar] [CrossRef]
- Wang, J.; Zhao, J.; Ye, X.; Liu, D.; Weng, Y.; Wang, L.; Wang, H. Safety constraints and optimal operation of large-scale nuclear power plant participating in peak load regulation of power system. IET Gener. Transm. Distrib. 2017, 11, 3332–3340. [Google Scholar] [CrossRef]
- Jabr, R.; Pal, B.; Jabr, R. Intermittent wind generation in optimal power flow dispatching. IET Gener. Transm. Distrib. 2009, 3, 66–74. [Google Scholar] [CrossRef]













| Unit Capacity/MW | Number of Units | Operation Cost Coefficient | Start-Up Cost/$ | Downtime Cost/$ | Output Upper (Lower) Limit/MW | Minimum Startup (Downtime)/h | Climbing Rate/(MW/h) | ||
|---|---|---|---|---|---|---|---|---|---|
| a/($/h) | b/($/(MW·h)) | c/($/(MW·h)2) | |||||||
| 60 | 3 | 689.55 | 27.08 | 0.00431 | 8358.21 | 2089.55 | 60 (27) | 4 (3) | 18 |
| 120 | 5 | 710.45 | 17.24 | 0.00220 | 16,716.42 | 4179.10 | 120 (54) | 4 (3) | 36 |
| 125 | 3 | 731.34 | 17.34 | 0.00209 | 17,412.99 | 4353.28 | 125 (56) | 4 (3) | 38 |
| 390 | 17 | 1044.78 | 16.91 | 0.00050 | 54,328.36 | 13,582.09 | 390 (176) | 6 (4) | 117 |
| Unit Capacity/MW | Number of Units | Mode | Conversion Cost between Modes/$ | Operation Cost Coefficient | Output Upper (Lower) Limit/MW | Minimum Startup Time (Downtime)/h | Climbing Rate/(MW/h) | |||||
|---|---|---|---|---|---|---|---|---|---|---|---|---|
| M0 | M1 | M2 | M3 | M4 | a/($/h) | b/($/(MW·h)) | ||||||
| 180 | 1 | M0 | 0 | 433.43 | 1550.9 | 0 | 0 | 0 | 0 | 0 (0) | 3 (3) | 0 |
| M1 | 516.42 | 0 | 1503.28 | 602.54 | 0 | 133.73 | 13.7 | 63 (14) | 3 (3) | 16.2 | ||
| M2 | 1668.06 | 1334.33 | 0 | 0 | 960.9 | 265.27 | 13.7 | 126 (29) | 3 (3) | 32.4 | ||
| M3 | 0 | 587.01 | 0 | 0 | 983.58 | 213.11 | 11.33 | 90 (22) | 3 (3) | 22.8 | ||
| M4 | 0 | 0 | 1044.93 | 855.67 | 0 | 358.49 | 9.72 | 180 (45) | 3 (3) | 45 | ||
| 300 | 1 | M0 | 0 | 722.39 | 2584.78 | 0 | 0 | 0 | 0 | 0 (0) | 3 (3) | 0 |
| M1 | 860.75 | 0 | 2505.37 | 1004.18 | 0 | 222.63 | 13.7 | 105 (24) | 3 (3) | 27 | ||
| M2 | 2780.15 | 2224.03 | 0 | 0 | 1601.49 | 442.12 | 13.7 | 210 (48) | 3 (3) | 54 | ||
| M3 | 0 | 978.36 | 0 | 0 | 1639.25 | 355.18 | 11.33 | 150 (36) | 3 (3) | 38 | ||
| M4 | 0 | 0 | 1741.64 | 1426.12 | 0 | 597.49 | 9.72 | 300 (75) | 3 (3) | 75 | ||
| Unit Capacity/MW | Number of Units | Power Generation Start-up Cost/$ | Pumping Start-up Cost/$ | Output Upper (Lower) Limit/MW | Pumping Power/MW | Unit Efficiency |
|---|---|---|---|---|---|---|
| 300 | 3 | 313.43 | 313.43 | 300 (100) | 300 | 80% |
| Unit Capacity/MW | Number of Units | Operation Cost Coefficient | Peak Shaving Fuel Cost/($/(MW·h)) | |
| a/($/h) | b/($/(MW·h)) | |||
| 900 | 2 | 6882.99 | 9.75 | 2.72 |
| 1000 | 1 | 7647.76 | 9.75 | 2.72 |
| Unit Capacity/MW | Peak Shaving Safety Cost/($/(MW·h)) | Output Upper (Lower) Limit/MW | Minimum Low Power Duration/h | Minimum Full Power Duration/h |
| 900 | 6.61 | 900 (270) | 6 | 6 |
| 1000 | 6.61 | 1000 (300) | 6 | 6 |
| Scene | Abandoned Power/(MW·h) | Number of Start-Stop | ||||
|---|---|---|---|---|---|---|
| Onshore Wind Farm | Offshore Wind Farm | Nuclear Power | Coal-Fired Units | Combined Cycle Units | Pumped Storage Units | |
| 1 | 0 | 0 | 0 | 0 | 0 | 3 |
| 2 | 0 | 0 | 0 | 0 | 0 | 4 |
| 3 | 19.93 | 0 | 3864.70 | 0 | 0 | 4 |
| Model | Total Operation Cost/103$ | Abandoned Power Cost/103$ | Start-Stop Cost/103$ | |||
| 1 | 4284.07 | 0.00 | 215.12 | |||
| 2 | 4235.42 | 110.37 | 17.06 | |||
| 3 | 4153.36 | 49.97 | 5.55 | |||
| 4 | 4149.49 | 51.22 | 0.94 | |||
| Model | Abandoned Power/(MW·h) | Number of Start-Stop | ||||
| Onshore Wind Farm | Offshore Wind Farm | Nuclear Power | Coal-Fired Units | Combined Cycle Units | Pumped Storage Units | |
| 1 | 0 | 0 | 0 | 4 | 8 | 3 |
| 2 | 2162.39 | 0 | 0 | 1 | 4 | 3 |
| 3 | 0 | 0 | 3978.8 | 0 | 2 | 3 |
| 4 | 18.84 | 0 | 3978.8 | 0 | 0 | 3 |
| Mode | Total Operation Cost/103$ | Abandoned Power Cost/103$ | Start-Stop Cost/103$ | |||
| 1 | 4235.42 | 110.37 | 17.06 | |||
| 2 | 4258.31 | 130.12 | 22.33 | |||
| 3 | 4155.97 | 45.70 | 10.16 | |||
| 4 | 4149.49 | 51.22 | 0.94 | |||
| Mode | Abandoned Power/(MW·h) | Number of Start-Stop | ||||
| Onshore Wind Farm | Offshore Wind Farm | Nuclear Power | Coal-Fired Units | Combined Cycle Units | Pumped Storage Units | |
| 1 | 2162.39 | 0 | 0 | 1 | 4 | 3 |
| 2 | 1954.89 | 0 | 2400 | 1 | 8 | 3 |
| 3 | 28.79 | 0 | 3500 | 1 | 2 | 3 |
| 4 | 18.84 | 0 | 3978.8 | 0 | 0 | 3 |
© 2019 by the authors. Licensee MDPI, Basel, Switzerland. This article is an open access article distributed under the terms and conditions of the Creative Commons Attribution (CC BY) license (http://creativecommons.org/licenses/by/4.0/).
Share and Cite
Liu, Q.; Zhao, J.; Shao, Y.; Wen, L.; Wu, J.; Liu, D.; Ma, Y. Multi-Power Joint Peak-Shaving Optimization for Power System Considering Coordinated Dispatching of Nuclear Power and Wind Power. Sustainability 2019, 11, 4801. https://doi.org/10.3390/su11174801
Liu Q, Zhao J, Shao Y, Wen L, Wu J, Liu D, Ma Y. Multi-Power Joint Peak-Shaving Optimization for Power System Considering Coordinated Dispatching of Nuclear Power and Wind Power. Sustainability. 2019; 11(17):4801. https://doi.org/10.3390/su11174801
Chicago/Turabian StyleLiu, Qi, Jie Zhao, Youguo Shao, Libin Wen, Jianxu Wu, Dichen Liu, and Yuhui Ma. 2019. "Multi-Power Joint Peak-Shaving Optimization for Power System Considering Coordinated Dispatching of Nuclear Power and Wind Power" Sustainability 11, no. 17: 4801. https://doi.org/10.3390/su11174801
APA StyleLiu, Q., Zhao, J., Shao, Y., Wen, L., Wu, J., Liu, D., & Ma, Y. (2019). Multi-Power Joint Peak-Shaving Optimization for Power System Considering Coordinated Dispatching of Nuclear Power and Wind Power. Sustainability, 11(17), 4801. https://doi.org/10.3390/su11174801

