Optimization of Degradation Kinetics towards O-CP in H3PW12O40/TiO2 Photoelectrocatalytic System
Abstract
:1. Introduction
2. Material and Methods
2.1. Catalyst Preparation
2.2. Photoelectrocatalytic Degradation
3. Results and Discussion
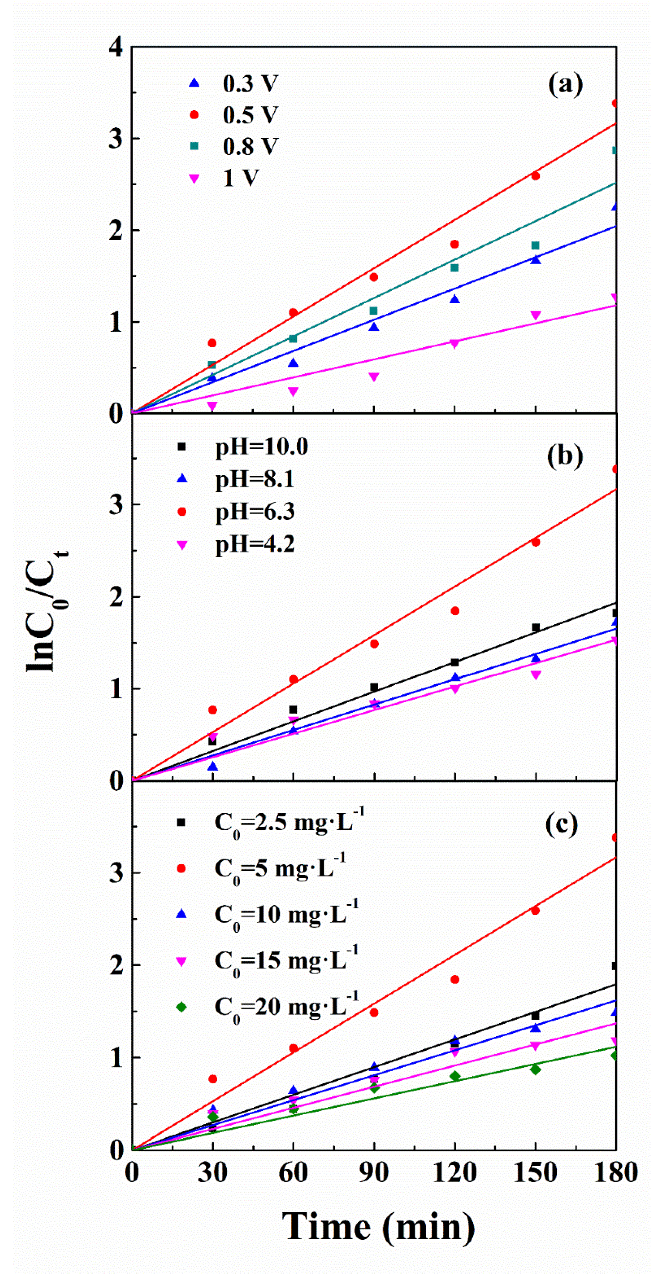
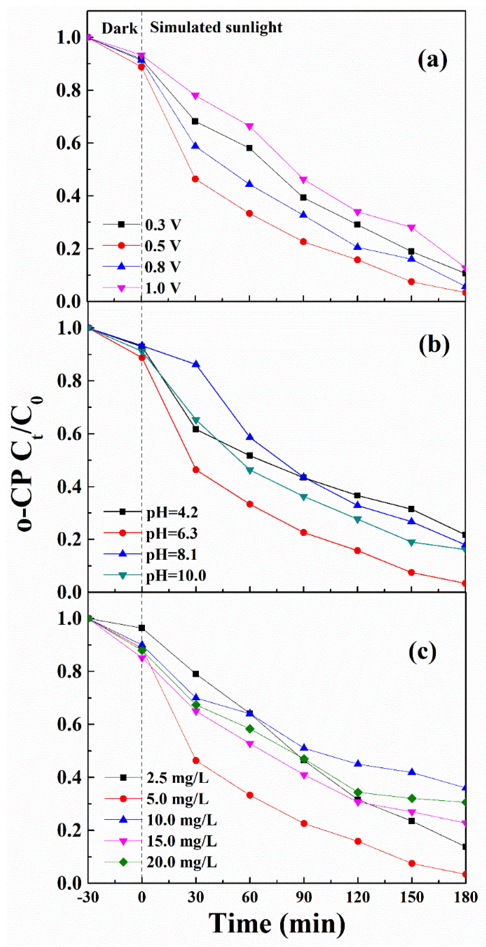
3.1. Optimization of Photoelectrocatalytic Degradation Kinetics
3.2. The Photoelectrocatalytic Degradation Kinetics
3.3. The Kinetics of H3PW12O40/TiO2 Composite Film and TiO2 Film in the Photoeletrocatalytic System
3.4. The Photoelectrocatalytic Degradation Path
4. Conclusions
Author Contributions
Funding
Conflicts of Interest
References
- Fujishima, A.; Rao, T.N.; Tryk, D.A. Titanium dioxide photocatalysis. J. Photochem. Photobiol. C Photochem. Rev. 2000, 1, 1–21. [Google Scholar] [CrossRef]
- Wang, X.; Zhao, H.M.; Quan, X.; Zhao, Y.Z.; Chen, S. Visible light photoelectrocatalysis with salicylic acid-modified TiO2 nanotube array electrode for p-nitrophenol degradation. J. Hazard. Mater. 2009, 1, 547–552. [Google Scholar] [CrossRef] [PubMed]
- Zhao, Y.; Chang, W.K.; Huang, Z.D.; Feng, X.G.; Ma, L.; Qi, X.X.; Li, Z.H. Enhanced removal of toxic Cr(VI) in tannery wastewater by photoelectrocatalysis with synthetic TiO2 hollow spheres. Appl. Surf. Sci. 2017, 405, 102–110. [Google Scholar] [CrossRef]
- Shaban, S.; Asgari, G.; Aliabadi, M. Photocatalytic removal of 1-naphthol from aqueous solutions using TiO2 nanocatalyst. Fresenius Environ. Bull. 2015, 24, 1032–1038. [Google Scholar]
- Singh, J.; Khan, S.A.; Shah, J.; Kotnala, R.K.; Mohapatra, S. Nanostructured TiO2 thin films prepared by RF magnetron sputtering for photocatalytic applications. Appl. Surf. Sci. 2017, 422, 953–961. [Google Scholar] [CrossRef]
- Cristina, B.; Dana, P.; Ciprian, S.; Ovidiu, L.; Mihaela, C.; Anca, D. Ultrasound assisted sol-gel TiO2 powders and thin films for photocatalytic removal of toxic pollutants. Ceram. Int. 2017, 11, 7963–7969. [Google Scholar]
- Murgolo, S.; Yargeau, V.; Gerbasi, R.; Visentin, F.; Habra, N.E.; Lacchetti, I.; Carere, M.; Curri, M.L.; Mascolo, G. A new supported TiO2 film deposited on stainless steel for the photocatalytic degradation of contaminants of emerging concern. Chem. Eng. J. 2017, 318, 103–111. [Google Scholar] [CrossRef]
- Gaya, U.I.; Abdullah, A.H. Heterogeneous photocatalytic degradation of organic contaminants over titanium dioxide: A review of fundamentals, progress and problems. J. Photochem. Photobiol. C Photochem. Rev. 2008, 9, 1–12. [Google Scholar] [CrossRef]
- Yang, Y.; Wu, Q.Y.; Guo, Y.H.; Hu, C.W.; Wang, E.B. Efficient degradation of dye pollutants on nanoporous polyoxotungstate-anatase composite under visible-light irradiation. J. Mol. Catal. A Chem. 2005, 225, 203–212. [Google Scholar] [CrossRef]
- Li, D.F.; Guo, Y.H.; Hu, C.W.; Jiang, C.J.; Wang, E.B. Preparation, Characterization and photocatalytic property of the PW11O397−/TiO2 composite film towards azo-dye degradation. J. Mol. Catal. A Chem. 2004, 207, 183–193. [Google Scholar] [CrossRef]
- Li, L.; Wu, Q.; Guo, Y.H.; Hu, C.W. Nanosize and bimodal porous polyoxotungstate-anatase TiO2 composites: Preparation and photocatalytic degradation of organophosphorus pesticide using visible-light excitation. Microporous Mesoporous Mater. 2005, 87, 1–9. [Google Scholar] [CrossRef]
- Li, J.H.; Kang, W.L.; Yang, X.; Yu, X.D.; Xu, L.L.; Guo, Y.H.; Fang, H.B.; Zhang, S.D. Mesoporous titania-based H3PW12O40 composite by a block copolymer surfactant-assisted templating route: Preparation, characterization, and heterogeneous photocatalytic properties. Desalination 2010, 255, 107–116. [Google Scholar] [CrossRef]
- Lu, N.; Zhao, Y.H.; Liu, H.B.; Guo, Y.H.; Yuan, X.; Xu, H.; Peng, H. Design of polyoxometallate-titania composite film (H3PW12O40/TiO2) for the degradation of an aqueous dye Rhodamine B under the simulated sunlight irradiation. J. Hazard. Mater. 2012, 199, 1–8. [Google Scholar] [CrossRef] [PubMed]
- Lu, N.; Lu, Y.; Liu, F.Y.; Zhao, K.; Yuan, X.; Zhao, Y.H.; Li, Y.; Qin, H.W.; Zhu, J. H3PW12O40/TiO2 catalyst-induced photodegradation of bisphenol A (BPA): Kinetics, toxicity and degradation pathways. Chemosphere 2013, 91, 1266–1272. [Google Scholar] [CrossRef] [PubMed]
- Li, K.X.; Yang, X.; Guo, Y.N.; Ma, F.Y.; Li, H.C.; Chen, L.; Guo, Y.H. Design of mesostructured H3PW12O40-titania materials with controllable structural orderings and pore geometries and their simulated sunlight photocatalytic activity towards diethyl phthalate degradation. Appl. Catal. B Environ. 2010, 99, 364–375. [Google Scholar] [CrossRef]
- Xu, L.; Yang, X.; Guo, Y.H.; Ma, F.Y.; Guo, Y.N.; Yuan, X.; Huo, M.X. Simulated sunlight photodegradation of aqueous phthalate esters catalyzed by the polyoxotungstate/titania nanocomposite. J. Hazard. Mater. 2010, 15, 1070–1077. [Google Scholar] [CrossRef]
- Seferlis, A.K.; Neophytides, S.G. On the kinetics of photoelectrocatalytic water splitting on nanocrystalline TiO2 films. Appl. Catal. B Environ. 2013, 132-133, 543–552. [Google Scholar] [CrossRef]
- Luka, S.; Andrej, P.; Blaž, L.; Miran, Č. Mechanism and kinetics of phenol photocatalytic, electrocatalytic and photoelectrocatalytic degradation in a TiO2-nanotube fixed-bed microreactor. Chem. Eng. J. 2016, 303, 292–301. [Google Scholar]
- Bennani, Y.; Appel, P.; Rietveld, L.C. Optimisation of parameters in a solar light-induced photoelectrocatalytic process with a TiO2/Ti composite electrode prepared by paint-thermal decomposition. J. Photochem. Photobiol. A Chem. 2015, 305, 83–92. [Google Scholar] [CrossRef]
- Liu, B.C.; Li, J.H.; Zhou, B.X.; Zheng, Q.; Bai, J.; Zhang, J.L.; Liu, Y.B.; Cai, W.M. Kinetics and mechanisms for photoelectrochemical degradation of glucose on highly effective self-organized TiO2 nanotube arrays. Chin. J. Catal. 2010, 2, 163–170. [Google Scholar] [CrossRef]
- Guzman, M.I.; Martin, S.T. Photo-production of lactate from glyoxylate: How minerals can facilitate energy storage in a prebiotic world. Chem. Commun. 2010, 46, 2265–2267. [Google Scholar] [CrossRef] [PubMed]
- Xu, F.Y.; Zhang, J.J.; Zhu, B.C.; Yu, J.G.; Xu, J.S. CuInS2 sensitized TiO2 hybrid nanofibers for improved photocatalytic CO2 reduction. Appl. Catal. B Environ. 2018, 230, 194–202. [Google Scholar] [CrossRef]
- Chen, W.; Wang, Y.H.; Shangguan, W.F. Metal (oxide) modified (M=Pd, Ag, Au and Cu) H2SrTa2O7 for photocatalytic CO2 reduction with H2O: The effect of cocatalysts on promoting activity toward CO and H2 evolution. Int. J. Hydrog. Energy 2019, 44, 4123–4132. [Google Scholar] [CrossRef]
- Zhou, R.X.; Guzman, M.I. CO2 reduction under periodic illumination of ZnS. J. Phys. Chem. C 2014, 118, 11649–11656. [Google Scholar] [CrossRef]
- Baran, T.; Wojtyła, S.; Dibenedetto, A.; Aresta, M.; Macyk, W. Zinc sulfide functionalized with ruthenium nanoparticles for photocatalytic reduction of CO2. Appl. Catal. B Environ. 2015, 178, 170–176. [Google Scholar] [CrossRef]
- Aguirre, M.E.; Zhou, R.X.; Eugene, A.J.; Guzman, M.I.; Grela, M.A. Cu2O/TiO2 heterostructures for CO2 reduction through a direct Z-scheme: Protecting Cu2O from photocorrosion. Appl. Catal. B Environ. 2017, 217, 485–493. [Google Scholar] [CrossRef]
- Zhou, R.X.; Guzman, M.I. Photocatalytic reduction of fumarate to succinate on ZnS mineral surfaces. J. Phys. Chem. C 2016, 120, 7349–7357. [Google Scholar] [CrossRef]
- Murphy, C.J.; Buriak, J.M. Best practices for the reporting of colloidal inorganic nanomaterials. Chem. Mater. 2015, 27, 4911–4913. [Google Scholar] [CrossRef]
- Sergi, G.S.; Enric, B. Applied photoelectrocatalysis on the degradation of organic pollutants in wastewaters. J. Photoch. Photobio. C 2017, 31, 1–35. [Google Scholar]
- Luo, J.; Wang, Y.B.; Cao, D.; Xiao, K.; Guo, T.; Zhao, X. Enhanced photoelectrocatalytic degradation of 2,4-dichlorophenol by TiO2/Ru-IrO2 bifacial electrode. Chem. Eng. J. 2018, 343, 69–77. [Google Scholar] [CrossRef]
- Akbal, F.; Onar, A.N. Photocatalytic degradation of phenol. Environ. Monit. Assess. 2003, 83, 295–302. [Google Scholar] [CrossRef] [PubMed]
- Yang, L.; Yu, L.E.; Ray, M.B. Degradation of paracetamol in aqueous solutions by TiO2 photocatalysis. Water Res. 2008, 42, 3480–3488. [Google Scholar] [CrossRef] [PubMed]
- Adewuyi, Y.G. Sonochemistry in environmental remediation. 2. Heterogeneous sonophotocatalytic oxidation processes for the treatment of pollutants in water. Environ. Sci. Technol. 2005, 39, 8557–8570. [Google Scholar] [CrossRef] [PubMed]
- Anjum, M.; Oves, M.; Kumar, R.; Barakat, M.A. Fabrication of ZnO-ZnS@polyaniline nanohybrid for enhanced photocatalytic degradation of 2-chlorophenol and microbial contaminants in wastewater. Int. Biodeterior. Biodegrad. 2017, 119, 66–77. [Google Scholar] [CrossRef]
- Chan, Y.C.; Chen, J.N.; Lu, M.C. Intermediate inhibition in the heterogeneous UV-catalysis using a TiO2 suspension system. Chemosphere 2001, 45, 29–35. [Google Scholar] [CrossRef]
- Hoque, M.A.; Guzman, M.I. Photocatalytic activity: Experimental features to report in heterogeneous photocatalysis. Materials 2018, 11, 1990. [Google Scholar] [CrossRef] [PubMed]
- Liu, Y.P.; Li, Y.H.; Peng, F.; Lin, Y.; Yang, S.Y.; Zhang, S.S.; Wang, H.J.; Cao, Y.H.; Yu, H. 2H- and 1T- mixed phase few-layer MoS2 as a superior to Pt co-catalyst coated on TiO2 nanorod arrays for photocatalytic hydrogen evolution. Appl. Catal. B Environ. 2019, 241, 236–245. [Google Scholar] [CrossRef]











| Influence Factor | Conditions | Initial Rate r0 (mg·L−1·min−1) | Apparent Constant K’ (min−1) | Kinetics Equations ln(C0/C) = K’t | R2 |
|---|---|---|---|---|---|
| Impressed voltage | 0.3 V | 0.055 | 0.011 | y = 0.011x | 0.991 |
| 0.5 V | 0.090 | 0.018 | y = 0.018x | 0.991 | |
| 0.8 V | 0.071 | 0.014 | y = 0.014 | 0.983 | |
| 1.0 V | 0.035 | 0.008 | y = 0.007x | 0.973 | |
| Solution pH | pH = 4.2 | 0.045 | 0.009 | y = 0.009x | 0.982 |
| pH = 6.3 | 0.090 | 0.018 | y = 0.018x | 0.991 | |
| pH = 8.1 | 0.045 | 0.009 | y = 0.009x | 0.996 | |
| pH = 10.0 | 0.055 | 0.011 | y = 0.011x | 0.995 | |
| Initial concentration | 2.5 mg·L−1 | 0.028 | 0.011 | y = 0.010x | 0.988 |
| 5.0 mg·L−1 | 0.090 | 0.018 | y = 0.018x | 0.991 | |
| 10.0 mg·L−1 | 0.090 | 0.009 | y = 0.009x | 0.987 | |
| 15.0 mg·L−1 | 0.120 | 0.008 | y = 0.008x | 0.977 | |
| 20.0 mg·L−1 | 0.120 | 0.006 | y = 0.006x | 0.977 |
| Pollution Concentration | Catalyst | Lamp | Reaction Rate | References |
|---|---|---|---|---|
| 5 mg·L−1 | H3PW12O40/TiO2 ca. 0.045 g·L−1 | 300 W Xenon lamp | 0.087 mg·L−1·min−1 | Our work |
| 5 mg·L−1 | ZnO-ZnS@Polyaniline 0.5 g·L−1 | 104 W White visible light lamp | 0.008 mg·L−1·min−1 | [34] |
| 10 mg·L−1 | TiO2 2 g·L−1 | 1000 W Xenon lamp | 0.478 mg·L−1·min−1 | [35] |
| Conditions | Initial Rate r (mg·L−1·min−1) | Apparent Constant K’(min−1) | Kinetics Equations ln(C0/C) = K’t | R2 |
|---|---|---|---|---|
| Photocatalytic degradation | 0.015 | 0.003 | y = 0.003x | 0.993 |
| Photoelectrocatalytic degradation | 0.090 | 0.018 | y = 0.018x | 0.991 |
| TiO2 film | 0.020 | 0.004 | y = 0.004x | 0.975 |
| H3PW12O40/TiO2 composite film | 0.090 | 0.018 | y = 0.018x | 0.991 |
| Catalyst Type | I0 (mW/cm2) | r (mg·L−1·min−1) | Φ |
|---|---|---|---|
| TiO2 film | 20 | 0.020 | 10.00% |
| H3PW12O40/TiO2 composite film | 28 | 0.090 | 32.14% |
| m/z | Structure | |
|---|---|---|
| o-CP | 126.8 | ![]() |
| Main intermediate products | 142.8 | ![]() |
| 108.3 | ![]() | |
| 124.3 | ![]() |
© 2019 by the authors. Licensee MDPI, Basel, Switzerland. This article is an open access article distributed under the terms and conditions of the Creative Commons Attribution (CC BY) license (http://creativecommons.org/licenses/by/4.0/).
Share and Cite
Li, L.; Jiang, L.; Yang, L.; Li, J.; Lu, N.; Qu, J. Optimization of Degradation Kinetics towards O-CP in H3PW12O40/TiO2 Photoelectrocatalytic System. Sustainability 2019, 11, 3551. https://doi.org/10.3390/su11133551
Li L, Jiang L, Yang L, Li J, Lu N, Qu J. Optimization of Degradation Kinetics towards O-CP in H3PW12O40/TiO2 Photoelectrocatalytic System. Sustainability. 2019; 11(13):3551. https://doi.org/10.3390/su11133551
Chicago/Turabian StyleLi, Lu, Liyan Jiang, Liu Yang, Ju Li, Nan Lu, and Jiao Qu. 2019. "Optimization of Degradation Kinetics towards O-CP in H3PW12O40/TiO2 Photoelectrocatalytic System" Sustainability 11, no. 13: 3551. https://doi.org/10.3390/su11133551
APA StyleLi, L., Jiang, L., Yang, L., Li, J., Lu, N., & Qu, J. (2019). Optimization of Degradation Kinetics towards O-CP in H3PW12O40/TiO2 Photoelectrocatalytic System. Sustainability, 11(13), 3551. https://doi.org/10.3390/su11133551




