Next Article in Journal
Climate Vulnerability in Rainfed Farming: Analysis from Indian Watersheds
Previous Article in Journal
Evaluation of the Potential Change to the Ecosystem Service Provision Due to Industrialization
 
 
Font Type:
Arial Georgia Verdana
Font Size:
Aa Aa Aa
Line Spacing:
Column Width:
Background:
Article

Opportunities of Sustainable Development of the Industry of Upholstered Furniture in Romania. A Case Study

1
Department of Management and Economic Engineering, Technical University of Cluj-Napoca, B-dul Muncii 103-105, Cluj-Napoca 400641, Romania
2
Department of Design Engineering and Robotics, Technical University of Cluj-Napoca, B-dul Muncii 103-105, Cluj-Napoca 400641, Romania
3
“Gheorghe Asachi” Technical University of Iaşi, Iași 700050, Romania
4
Department of Modern Languages and Communication, Technical University of Cluj-Napoca, B-dul Muncii 103-105, Cluj-Napoca 400641, Romania
*
Author to whom correspondence should be addressed.
Sustainability 2018, 10(9), 3356; https://doi.org/10.3390/su10093356
Submission received: 14 August 2018 / Revised: 12 September 2018 / Accepted: 13 September 2018 / Published: 19 September 2018
(This article belongs to the Section Environmental Sustainability and Applications)

Abstract

Wood is used as a raw material in various industries, including the production of furniture, which puts pressure on the exploitation of the forests and the continuous reduction of their surfaces, with undesirable effects on the environment. The paper provides a way of sustainably manufacturing furniture by replacing wood with composite materials based on natural fibers obtained from fast-growing renewable crops (hemp, willow, flax, etc.) and at the same time a method of assessing the forest areas which can be saved from cutting. The method’s algorithm is based on the estimation of forest area that ensures the annual consumption of wood for the production of furniture, both in the conventional production of furniture and in the unconventional one, where part of the products is made of composites. The agricultural areas required to be cultivated with technical plants to provide the natural fibers necessary for the wood replacement composite were also determined. The case study, based on the data of an upholstered furniture company, shows that replacing only part of the wood for the production of furniture can save about 3000 hectares of beech forests per year and the necessary plant fibers can be obtained from a surface area about 10 to 100 times smaller.

1. Introduction

The Cambridge dictionary defines sustainability as: “The idea that goods and services should be produced in ways that do not use resources that cannot be replaced and that do not damage the environment”. The sustainable development is the development that meets the needs of the present without compromising the ability of future generations to meet their own needs.
Sustainable development is based on economic, environmental and social pillars. In other words, sustainable development refers to the ability of an economy to sustain a given level of production for an unlimited period of time, while at the same time ensuring that the quality level of the environment, the natural resources and the ability of social systems to function at the same levels are maintained.
A major problem that affects the quality of the environment is related to greenhouse gas emissions; of CO2 in particular.
The main reason for reducing the CO2 levels has to do with CO2 being considered the main cause of global warming. Based upon the distance from the Sun, the Earth’s average surface temperature should be −18 °C, but in fact, it is 15 °C, mainly due to CO2 emissions and other greenhouse gases. If no measure is taken in the near future, a high level of CO2 will lead to a warmer Earth, will affect the plants, and will melt glaciers, which will thus increase the sea level.
As shown by a United Nations report, tree cutting is responsible for 25% of all greenhouse gases, while industry and transport produce only 14% of total amount of greenhouse gases. World Wildlife Fund officials say that globally there is a forest area of a size of about 36 football fields which is cut every minute [1].
According to the World Meteorological Organization, 2016 was the first year when the CO2 atmospheric concentration had risen above the level of 400 ppm all year around [2], while in 1958, when the measurements started, the atmosphere contained 315 CO2 molecules for every million molecules of gaseous atmosphere.
In order to reduce the risk of global warming, the Kyoto Protocol was signed in 1998. The Kyoto Protocol involves the reduction of the greenhouse gas emissions by 5.2% by 2012 compared to 1990 levels. In 2008, the European Union (EU) raised the established level for the reduction of CO2 emission to 20% by 2020, as compared to 1990 levels, together with an objective of obtaining 20% of energy from renewable energy.
The Paris Treaty took place in 2015, which set the creation of a union that will provide its citizens with a safe, sustainable, competitive and affordable energy as an EU priority.
Measures to limit the illegal deforestation also must be implemented. Europe has begun to fund special programs to reduce carbon emissions, while taking measures to reduce the impact of human activities on the climate, allowing for a shift to a low-carbon economy. Thus, in 2003, the Forest Law Enforcement, Governance and Trade (FLEGT) Action Plan was adopted, which provides for a series of measures to eliminate illegal timber exploitation from the EU market, to supply legally harvested timber, and to promote responsibly manufactured wood products. The Action Plan is based on the EU Regulation on Wood (EUTR) and the Voluntary Partnership Agreements.
The EUTR was adopted in 2010, with application to all EU countries, and it prohibits illegally exploited timber and its derived products from being placed on the European market. Also, two other acts of legislation were been adopted: Delegated Regulation (EU) No. 363/2012 of the Commission (refers to the procedural rules for the recognition of monitoring organizations) [3] and Implementing Regulation (EU) No. 607/2012 and EUTR.
The forest must, therefore, be protected in order for it to manifest and develop its beneficial roles, such as earth formation, influence upon climate, soil and agricultural crops protection, helping to regulate water flows, the influence on human health, an esthetic role and the social one. Approximately 30% of the world’s population uses biofuels essentially composed of firewood for cooking and heating of homes, while the workforce employed in forestry around the world includes about 12.9 million people (FAO, Rome, Italy, 2007) [4].
It is interesting to see how the forested area has evolved over time in Romania. Starting from an area of 8,500,000 ha owned by the historical regions of Romania in the year 1800 (36% of the total territory), the forested area diminished, reaching, according to the National Institute of Statistics (INS), a surface of 6,558,957 ha (27.2% of the area of the country). Based on this percentage, Romania ranks 12th among the European countries for being below the average percentage of 31%, which represents the level of European forested areas [5]. From the point of view of the current forest structure in Romania, there is a large diversity of tree species. According to the National Forestry Inventory (IFN), the most spread type of tree in 2016 was the beech, which represented more than 31% of the total of number of the existent species, followed by softwood coniferous trees—the spruce, with a percentage of 20%, and other types of hard deciduous trees (the European hornbeam, the Black locust, the ash, and the sycamore), with 19% [6].
At the same time, the amount of carbon dioxide absorbed by forests in Romania is of equal interest, and so is the evolution of the emission levels. The Joint Research Center found an increase in the levels of CO2 stored in the forests in Romania, up to 37,790 kt/year in 2007, followed by a decrease to 29,552 kt/year in 2018 [5]. After 1989, there was a noticed a reduction in the levels of the equivalent CO2, mainly due to decreased industrial production in Romania but even so industry was the main source of CO2 emissions in 2015, with 29,721 kt [7].
Woodworking, which uses the local raw material, has a solid tradition in Romania. The wood harvested is channeled to the industry of primary manufacturing, to that of lumber, and subsequently, to a number of industrial branches, such as that of furniture, of boards (particle boards and sterling boards), of the wood veneers, of constructions, of wooden houses, and of inner and outer design. It can be noticed that in 2011, out of the total amount of wood harvested, 1.9% was used in the furniture industry. From the total amount of wood used in the furniture industry, a proportion of 12.7% was used to make upholstered furniture [8]. Furthermore, the furniture consumption has increased at an annual rate of 4.75% in 2011–2016.
In order to avoid the excessive deforestation for industry-related purposes, it is important to develop materials that can replace wood. Thus, the production of furniture from different renewable materials is one of the venues of research and development of research centers and companies that focus on this particular field. In a paper [9], Wang suggested a number of materials that can be used in order to manufacture furniture. Thus, the author presents both the traditional version of furniture, the one made of wood, and products made of metal, plastic, textiles, glass, expanded polypropylene, and composite materials. In Reference [10], the author conducted a study meant to capture the attitude of German citizens regarding the use of different types of materials in the furniture industry. The study showed that the most traditional materials that were familiar to the subjects were wood, followed by medium density fiberboard (MDF) and beehive-type structures. Reference [11] presents and tests materials made from natural fibers (flax, hemp and jute) to be used in order to produce a number of boards, as part of the process of finding feasible solutions for the replacement of the traditional materials. The study showed that the fact that the materials had a reliable and predictable mechanical behavior and they can be considered a solution to the replacement of wood.
The alternative provided by composite materials made from natural fibers has the advantage of using sources that are produced yearly, and which can be recycled, as opposed to the composite materials based on carbon fiber or glass.
Having these facts in mind, the main objective of this paper is to demonstrate the possibility of saving forests by replacing wood with composite material. The paper aims to produce a qualitative and quantitative study on the forest area saved if the wood is partially replaced with composite materials based on vegetable fibers and polypropylene.

2. Analysis of Production Capacity of Plants Suitable for the Manufacturing of Composite Material

Wood is considered to be one of the least productive materials, given the fact that trees have a slow speed of yearly growth and it takes a lot of time for them to reach the best sizes for harvesting. The bibliographical source Reference [12] shows facts related to deciduous forests and forests of oak. A good productivity was achieved if the trees are not cut before they reach 75 to 80 years and the maximum productivity was reached at the age of about 100 to 140 years, depending on the species and type. For example, a beech needs 30 to 75 years (depending on the class of relative production) to reach an approximate height of 15 m. In the case of a Grayish oak, the same height of about 15 m can be achieved at an age which ranges from 30 to 100 years. Facts regarding the wood production granted by the beech stands, grouped by classes of relative production, at a span of growth of 75 years, are illustrated in Table 1 [12].
Considering the average yearly production for the 3rd class of relative production of 5.02 m3/ha/year and the medium density of beech wood of 750 kg/m3 [13], it can be noticed that a hectare of beech forest ensures an annual growth of only 3765 kg.
For economic reasons, as well as reasons related to the protection of the environment, the companies that make furniture are concerned with finding solutions to replace wood and reduce the amount of wood used in the production of furniture. Applying alternative solutions to the use of wood can have a positive impact on the environment, as it can save considerable areas from deforestation.
A way to reduce the consumption of wood in the furniture industry is to replace it with composite materials achieved from natural fibers obtained from technical plants such as hemp, flax, elephant grass, willow, and poplar.
Significant research regarding the usage of these plants as alternatives to replace wood has been conducted in different areas, such as the furniture industry, the construction industry, and energy production. This raises the question of whether there is the right capacity to ensure the required amount of technical plants for the above-mentioned purpose. In order to answer this question, a number of factors should be considered, such as the existence of appropriate agricultural lands, the climate conditions, the rhythm of growth of the plants, the life cycle and the production capacity of such cultures.
Intensive research has been conducted regarding the production capacity of the cultures of technical plants (also known as energetic plants, due to their potential to produce energy), the selection of the most productive types, and the creation of new types, adapted to specific soil and climate conditions.
Among the plants that have been investigated in terms of their potential to produce biomass count the poplar, the short-rotation willow, and the maritime pine [14,15]. There is a constant quest for the most productive energetic plants, the ones that have a fast rhythm of growth, and those that have an intense production per surface unit [16,17].
In what follows, the main characteristics of the technical plants mentioned above are listed, based on their productivity, the life cycle of the cultures, and the harvesting lapse of time. These facts will be used in a further chapter in order to determine the necessary agricultural areas to ensure the amount of natural fiber for the composite material to replace the wood.
Willow has different types. The Swedish willow (Salix viminalis energo) is one of them. It has a rapid growth of about 3 to 4 cm per day. A plantation lives 25 to 30 years. In the first year of life, the production is low, about 10 t/ha, and in the next years the yearly production is of about 40 to 45 t/ha (based on Swedish evidence), and of 50 to 60 t/ha, in Hungary [18].
Considering that a plantation of the energetic willow has a life cycle of about 25 years, a production of 10 t/ha in the first years, and of about 40 t/ha in the next 24 years, this results in an average yearly production of fiber mass equal to:
( 10,000 + 24 × 40,000 ) / 25 = 38,800   [ kg / ha / year ] .
Hemp is a fibrous plant that has a life cycle of one year. The production differs from type to type. Statistical data is known in relation to two types of hemp for fiber, created and studied in Romania. One of them is the type of hemp named “Dacia Secuieni”, which was created by Agricultural Research Center of Secuieni. It achieved, in three years of testing in the State Institute for Variety Testing and Registration network, a production of 12,581 kg/ha stalks and a production of fiber of 3403 kg/ha [19].
The second type of type hemp for fiber production was created and developed by the Research and Agricultural Development Center Lovrin. In the case of this type, the production of stalks can reach 9 to 11 t/ha and that of fiber, 2 to 3 t/ha [20].
Considering the above-mentioned facts, a yearly production of stalks of hemp can be estimated as follows:
( 12,000 + 10,000 ) / 2 = 11,000   [ kg / ha / year ] .
Among the plants with a tall stalk, the poplar (Populus) is among the most fast-growing ones. The poplar does not require special care and it can grow almost anywhere. Under the conditions of areas that have a productivity that ranges from middle to low, the culture of poplar can bring after the first cycle an average overall biomass production, which does not include the component parts, of about 35 to 40 t/ha in 4 years, and of 55 to 60 t/ha after 5 years of vegetation, for a density of plantation of 2667 pieces per ha. The last season of vegetation brings an additional amount of the total biomass of 35%, which leads, after 5 years of vegetation, to a production of about 11 to 12 t/ha/year [15]. The biomass of the branches represents about 18 to 20% of the total biomass, regardless of the vegetation year in which the harvest is completed.
One can consider an average yearly production of about 10,000 kg/ha, regardless of the moment of harvest (4 or 5 years after the plantation).
The culture of the elephant grass (Myschantus) is little known in Romania. The plants that belong to the Myschantus family are plants of rapid growth, resistant to winters. The most cultivated type is Myschantus giganteus, a perennial plant that grows on any type of land. The cultivation conditions are similar to those of corn. A culture of this type can be exploited for about 20 to 25 years. The culture of the elephant grass has a gradual growth. In its first year of life, the growth is about 1 m, and there is no production. In the second year, the plant reaches a height of 2 m and ensures a feeble capacity of production but in the third year, the plant reaches a height of about 3 to 4 m and the production reaches a maximum of about 17,000 kg/ha. The plant loses its leaves in winter and it is to be harvested in spring, while dry, at a humidity of about 10 to 15% [21].
Considering that the life cycle of the plant is of about 20 years, that the first crop, of about 8500 kg/ha, is obtained in the spring of the third year, and that beginning with the fourth year of cultivation, a yearly production of about 17,000 kg/ha is obtained, there results an average yearly production for the 20 years equal to:
( 8500 + 17 × 17,000 ) / 20 = 14,875   [ kg / ha / year ] .
The data presented above indicate that all these technical plants ensure an average yearly production that is superior to the deciduous and coniferous forests. In addition to this, they can be cultivated in very good conditions both in Romania and other European countries. The composite materials obtained from plants of this type, when mixed with other materials that play the role of a matrix (such as the polyethylene), can adequately replace the wood used in the manufacturing of the resistance structure of pieces of upholstered furniture (chairs, armchairs, sofas) (see Section 4).

3. Method of Determining the Forested Area That is Saved by Replacing the Wood Used in the Upholstered Furniture with Composite Material

As mentioned in Section 2, composite material based on natural fibers is appropriate to replace some elements in the structure of upholstered furniture that are conventionally made of wood. In this context, it is useful to find a method to determine the wood area that would be saved by replacing or reducing the wood used to make the above-mentioned structures.
The symbols in Table 2 will be used.
Based on the range of upholstered furniture products, the conventional use of wood (without composite), and the production volumes for each of them, the yearly use of wood was estimated and marked NL.
Then the volume of wood mass that has to be harvested was determined, taking into account the efficiency, ηL, of changing the harvested wood into a finite product as follows:
V L = N L η L .
The area of forest from which the required amount of wood is harvested is:
S P = V L C A L .
By applying the two formulae, there was calculated the area of forest to ensure, by its yearly production, the amount of matter needed, both in the case of the conventional manufacturing of the products and in that of non-conventional manufacturing. The difference between the two calculated values shows the area that is saved from deforestation in the case of replacing wood with composite material.
On the other hand, questions have been asked regarding the possibility of obtaining the composite material that replaces wood under better conditions, at least from the point of view of the necessary cultivated areas to be used.
Thus, the necessary amount of natural fiber to achieve the products in a non-conventional way is determined as follows:
N F V = N C × p F V / η F N .
The agricultural area to be cultivated yearly in order to produce the natural fibers:
S F V = N F N C A F V .

4. Case Study of a Romanian Company That Produces Upholstered Furniture

4.1. The Development of Composite Material Based on Natural Fibers

Most upholstered products contain a resistance structure in the form of a wooden frame. Wood is an excellent material from a functional, ecological and esthetic standpoint, but its excessive exploitation damages the environment, which determined many countries to adopt specific laws that regulate forest exploitation. That is why the manufacturers of mass-produced items that contain wood, including the producers of furniture, look for solutions to replace wood with other recyclable products that show advantages in terms of productivity and general cost of the product.
Under these circumstances, a company named Marbor (the name is fictitious) that produces upholstered furniture in Romania (1850 employees, the furniture company that ranks in 2nd place in Romania based on its turnover), which uses about 75,000 m3 of wood in the form of lumber and boards each year, developed its own composite material, using an innovative procedure and a new facility, for which it applied for a patent at national and international levels (RO2016 00160; WO2017153870).
The composite material for thermoforming, developed and used by Marbor, in order to make reference items for the resistance structure of upholstered furniture (chairs, armchairs, sofa sides) was made from a natural fiber composite (hemp, flax, jute, willow, and poplar) in a percentage that ranges from 50 to 60% of the total weight of the mixture, with thermoplastic fibers (polypropylene PP) in a percentage that ranges from 40 to 50%. There were used PP fibers with a length of 40 to 60 mm and a linear density of 7 to 16 DEN, natural fibers that have a degree of shredding of 70 to 80 DEN and a length that varies from 5 to 100 mm.
The composite material implies the sound mixture of the two categories of fiber (the natural one, meant to harden the structure, and the thermoplastic ones, meant to ensure the molding), as well as the right use of the amount of fiber, based on a recipe specific to the requirements of the product. A mixture was obtained that was mechanically consolidated (Figure 1) in a fiber layer (nonwoven material). The nonwoven material was cut in accordance with the shapes of the piece, heated to a temperature above the melting temperature of PP in a press with heated platens and transferred to a mold, pressed, and cooled, which resulted in a piece that was hardened through the thermoforming procedure.
The company for which the current case study was completed produces and uses composite material made of 50% hemp fibers and 50% polypropylene; a formula which will serve as a calculation basis for the calculations in Section 4.4. The company has a capacity of production of 1000 t/year composite material and it took measures to enlarge its capacity of production to 10,000 t/year.
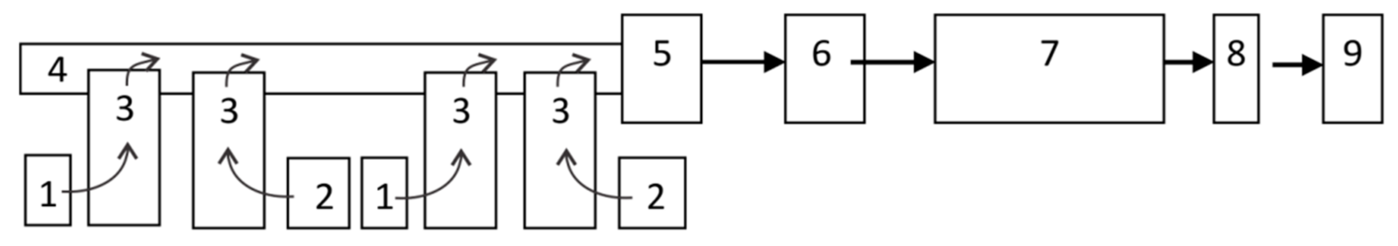
The installation for the obtainment of the composite material (Figure 2) under the form of a mechanically hardened fiber layer consists of the feeding boxes (3) equipped with regulating scales for the natural fibers (1) and the thermoplastic ones (2), which were rhythmically transferred to the conveyor belt (4), and directed to the unraveling and mixing devices (5) and (6). The mixture was transferred to box (7), with an oscillation wall for the formation of the fiber layer to be hardened with two or three weaving machines (8) and finally, the fiber layer was mechanically hardened and rolled in stacks by means of device (9).
The procedure for thermoforming (Figure 3) consists of the following stages:
  • Cutting out the material, by overlapping different layers of fiber material and cutting them according to the outline of the desired shape
  • Hitting the material between the heated platens of a thermal press at a temperature that ranged from 200 to 220 °C
  • Transfer the heated material in a mold mounted in the hydraulic press, pressing and cooling it in view of its hardening
  • Cutting the outline of the finished part with a robot or another device
  • Grinding the resultant waste for reusing it.
Other methods of transforming the thermoplastic composite into finite products include injection in molds, which leads to complex pieces, or the extrusion in different profiles. These two ways, while ensuring advantages in terms of the surface quality of the products obtained, require a minute grinding of the hardening natural fibers, which leads to a decrease of their mechanical properties, to a more significant specific consumption, and higher costs.
The mechanical properties of the composite material created by Marbor were studied in view of its appropriate description [22].
The mechanical properties of the material were assessed based on the following parameters of the material:
-
Resistance to tear
-
elongation when torn
-
the elasticity module
-
Poisson’s coefficient.
In order to determine the material parameters, a uniaxial tensile trial was used, in accordance with ASTM D 3039/D 3039M–80. In order to complete the trials, a universal machine Zwick Roell Z 150 was used for the mechanical tests of the materials. The control of the machine, the collection of the data and processing of the results were completed by means of a computer, using a program called testXpert II. The stress-strain curves and the calculation of the characteristic sizes (Figure 4) were completed using the program of the machine.
The mechanical parameters of the composite material that has 50% hemp fiber and 50% polypropylene are shown in Table 3 [22].
The symbols in Table 3 represent the following:
  • L—the longitudinal direction (in the sense of the advancement of the weaving machines);
  • D—the diagonal direction, at 45° to the longitudinal direction;
  • T—the cross direction (transversal), at 90° to the longitudinal direction;
  • H—the thickness of the sample;
  • σM—the mechanical strength;
  • σB—the tensile strength at breakage;
  • εM—the uniform elongation (the maximum tension);
  • εB—the total elongation.
By comparing the εM values in Table 3, it can be noticed that the highest values appear when the samples were taken parallel to the longitudinal direction (L) and the lowest values appear when the samples were collected on the crosswise (T). At the same time, the higher the number of layers, the better the resistance of the material, which can be explained by the fact that the mixture of the natural and thermoplastic fibers was not homogeneous and by overlapping different layers the material became more homogeneous in its cross-section. As shown in Table 3, for a product made of more than four overlapping layers, σM acquires values of more than 18 MPa.
The nonwoven composite material had a thickness of 5 to 6 mm and by the superposition of four layers, after the thermoforming process, resulted in a thickness of the item that ranged from 2 to 2.15 mm. For the majority of the applications, the company used shapes made from six to 16 superposed layers, which resulted in a thickness that ranged from 3 to 6 mm. Most of the company’s products have thicknesses between 3 and 6 mm that are obtained by overlaying six to 16 layers.

4.2. The Redesign of the Parts to Be Made of Composite Materials

The problems related to the design of the parts in the resistance structure of the upholstered products in view of manufacturing natural fiber composite materials were examined in References [23,24].
The company at stake is interested in replacing the wood items from the resistance structure of the upholstered material without affecting the outer layout of the product and its functional requirements. In this context, it is necessary to redesign the items, in view of their manufacturing based on composite material, through thermoforming, using a method presented in Figure 5.
When a 3D model of the assembly exists, the scanning process is not necessary. The removal of the comfort layer (wadding, sponge) resulted in the production of the outer layer of the part to be made, not by assembling reference parts made of wood (board or lumber), but by reference parts thermoformed from composite materials.
In general, the number of the component reference items was significantly reduced and so was their weight. A relevant example in this sense is the redesign of a sofa side. In the wooden version (Figure 6), the side had 21 reference items [24], while in the redesigned one, the number of the reference items was reduced to 2 (Figure 7). In the final version, after the finite element analysis (FEA) and optimization, an amount of 3.95 kg from the sofa side was replaced by two reference items made of the natural fiber composite, which had a total weight of 1.65 kg.
After being covered with the comfort layer (Figure 8), the two sides were tested and they complied with the standardized tests, with a vertical stress of 700 N and of lateral stress, of 350 N. The test was completed in the company’s specialized laboratory and the product complied with the required static and stress standards.
Another two products of upholstered furniture, manufactured by Marbor company, containing reference items (parts) of natural fiber composite material, are shown in Figure 9.

4.3. Recycling the Waste and the Products Made of Natural Fiber Composites

While numerous studies were completed regarding the use of the thermoset composite materials hardened with carbon fiber or glass, little is known about the use of the thermoplastic materials with natural fibers [25,26].
A major problem of the thermoset composites (carbon fibers, glass and matrices of epoxy raisin) is that they cannot be recycled. In contrast, the thermoplastic composites, which use natural fibers as a hardening material can be recycled at the end of their life cycle. Renouard [27] showed that biocomposites offer a major advantage: They reduce significantly the impact on the environment, due to their reduced density, as compared to conventional materials and to the superior mechanical properties of their constituent materials. Moreover, these materials showed good mechanical properties after recycling cycles, which validates the scenario of withdrawing the products from the market in other ways than those used in the case of the classical composite materials (burning or dumping). In Reference [27], the authors studied two potential ways of recycling the waste of the material composites made from flax and polypropylene.
In an initial version, the waste was unraveled and added again, at different fractions of weight, to the virgin nonwoven composite materials. Using up to 30% of the waste of the reincorporated waste, good mechanical achievements were obtained (comparable to the virgin material) for the recycled nonwoven materials. The second version of recycling studied consisted of the mincing of the wasted materials and their use in injection operations. Their good rheological behavior during the extrusion offered the possibility of obtaining competitive products in terms of their layout and physical and mechanical properties.
The environmentally friendly characteristics of the composite materials are given to the same extent by the biodegradable property of the natural fiber, by the fact that they were derived from renewable sources, and by the recycling opportunities of the composite materials suggested by the authors of the current paper. The complete use of the stem plants and of the young branches of willow or poplar after the grinding and individuation of the fibers from the stalks allows a complete and superior usage of the raw material in the finite product. The reference items in an upholstered product made of composite material had less mass than the traditional ones obtained from particle board, wood or polyurethane and, consequently, they had a much lower production cost.
The recycling and use of the waste resulted from the process of transformation of the natural fiber composite material, has a twofold importance and significance; an economic and an ecological one. From an economic point of view, the production waste represents a costless raw material for new destinations of composite materials. From an ecological perspective, saving the waste has a positive impact on the “health of nature” and on that of people.
In Figure 10 and Figure 11, the authors suggest two ways of recycling the waste: One for the nonwoven waste that results from the cutting stage, and one for the waste resulting from the thermoforming process.
The nonwoven waste (about 20% of the total material cut) resulting from the cutting process can be recycled the most easily. It will be unraveled, rolled in stacks and reinserted in the process of obtaining the fiber layer, on the conveyor belt (4) (Figure 2).
The thermoformed waste (about 15% of the weight of the part), resulted from the cutting of the pieces after they were taken out from the mold, was the most difficult to recycle. Recycling it involved grinding it, followed by a minute refining, and then inserting the resultant material into a granulation process to be used in the injection and the extrusion. During the granulation process, virgin PP and additives were added in order to make the material more fluid.
The second method of recycling will be used when the products are withdrawn from the market, at the end of their life cycle.
Research has proven the effectiveness of the solutions both in terms of economic benefits (reduction in the time per cycle and increased productivity, reduction of costs and better quality of the products) and sustainability-related aspects (the replacement of wood with composite materials made from renewable natural fibers, the total recycling of the waste, the possibility to recycle the products when they are withdrawn from the market).

4.4. Implications of the Reduction of the Mass of Wood by Redesigning the Products

As shown in Section 4.1, Section 4.2 and Section 4.3, the idea of totally or partially replacing the wood material with composite material in the resistance structure of the upholstered products is a feasible one. The composite material based on fibers of hemp mixed with polypropylene has physical and mechanical properties that comply with the manufacturing requirements of the process of thermoforming of the reference items and the resistance to stress.
The Marbor company currently produces and sells a type of chair whose resistance structure is made completely of composite material based on hemp fibers and polypropylene.
At present, the Marbor company, in partnership with the Technical University of Cluj-Napoca, is completing research and experimental realization of composite materials for a number of side sofas.
At the same time, the Marbor company has conducted research that focused on the replacement of other types of products with composite materials for the resistance structure.
In what follows the paper aims to estimate the reduction of the consumption of wood mass and, implicitly, the reduction of the forest areas to be saved from deforestation, within a scenario that considers the use of composite materials based on natural fibers of different types. The method applied and the work hypotheses are as follows:
-
From the portfolio of upholstered products made by the Marbor company, a set of products or reference items were selected that used a significant amount of wood mass that can be replaced by composite material. For reasons related to the confidentiality of the data, the reference to these products (chairs, armchairs, or sofa sides) is made by means of names such as “P1”, “P2”, and so on;
-
the amount of wood in the structure of these products was determined if manufactured using the conventional technology (without composite material);
-
the amount of wood in the structure of these products was determined if manufactured using the new, non-conventional technology (by using a composite material in the reference items that allow this);
-
the amount of composite material to replace the wood material was estimated (determined);
-
the amount of necessary natural fiber by considering a proportion of 50% of natural fiber in the recipe of the composite material was determined;
-
considering the yearly volumes of production, the amount of wood material that could be saved by replacing it with composite material was determined;
-
the area of forest that could be saved from deforestation by considering the average yearly production of beech was determined. The company uses mainly fag wood, as a result of its geographical positioning and of the number of beech forests in Romania;
-
the areas of land to ensure the needed quantity of natural fibers of different types (hemp, flax, elephant grass, willow, and poplar) were determined.
-
Table 4 shows data regarding the consumption of wood in the conventional and non-conventional versions, the consumption of composite material and the yearly volume of production for six types of products. The consumption of wood for each type of product is determined by weighing the products or based on the technical specifications of the design. The replacement of wood with composite material implies the redesign of the pieces and the computer-aided design (CAD) applications allow the estimation of the consumption of composite material. At the same time, there is a possibility to estimate by analogy with other similar reference items made by the company.
If we refer to product P1 (chair), it should be mentioned that the company produces more types of chairs, which differ slightly in terms of structure and size. By P1 we marked a model of a representative chair, average in terms of wood and composite consumption. The reference items in which wood was replaced were the seat and the chair back.
In the case of the products P2–P4 (armchairs), the replaced elements were the seat, the back, and the arms, with a single reference item from composite material that replaced all of them.
In the case of the products P5 and P6 (sofa side), all the wooden reference items that were part of the sofa were replaced. According to Table 4, the replacement of the wooden reference items mentioned above with reference items from composite material results in a total saving of wood mass:
Δ N L = 663,800   kg .
The yearly needed amount of composite material is:
N F V = 2,429,000   kg .
The volume, VL, of beech (timber) wood was determined considering a density of ρL = 750 kg/m3 [13] and an effectiveness, ηL, of obtaining lumber from beech timber of about 60% [28,29]:
V L = Δ N L ρ L η L = 14,808   [ m 3 ] .
At a yearly production of 5.02 m3/ha/year of beech wood, the yearly decreased production of wood saves an area of forest that is equal to:
V L 5.02 = 2949   [ ha ] .
Reconsidering the situation from the perspective of the necessary amount of natural fiber composite, the area of land to be cultivated and the advantages/disadvantages of this approach should be estimated. More types of technical plants that produce natural fibers, such as hemp, flax, elephant grass, willow, and poplar could be taken into consideration.
Table 5 shows briefly the data related to the yearly production of different types of fiber plants (dry matter). At the same time, Table 5 contains information regarding the effectiveness of the plant processing for fiber (the extent of the initial amount of dry stalks to be found in the composite material), experimentally determined by the Marbor company.
By applying the Formulae (6) and (7) (Section 3) and considering the consumption of composite material per product unit (see Table 4), at a proportion of natural fiber mass in the recipe of composite material of pFV = 50%, there was determined the amount of natural fiber and of land to be cultivated with technical plants in order to meet with the demand of the company (under the circumstances of the same volume of finite products).
The results are shown in Table 6.

5. Discussion

The paper shows one way to turn furniture making into a sustainable industry and to improve the quality of the natural environment by protecting extensive land from deforestation. Reducing tree cutting was made possible by replacing wood with composite materials that contain over 50% natural fibers (flax, hemp, willow etc.). The authors’ experience in developing products made of natural-fiber based composite materials proves that wood can be replaced in a sustainable fashion with natural fibers, which can be obtained from fast-growing and annually harvestable crops.
Reducing the cutting of trees would to lead to the maturation of forests and their activity and if authorities would take adequate measures, forests would even expand. Forests contribute in a decisive way to the reduction of greenhouse gases, especially by absorbing carbon dioxide, besides improving many other climate parameters (precipitation levels, wind direction and speed, and temperature).
Furthermore, in addition to saving wood consumption and the forests, the natural fibers which replace the wood are derived from sustainable crops that have an annual growth of up to 10 times that of forests.
Therefore, saving forests combined with the additional working of agricultural land which would supply the natural fibers, would further increase the absorption of the carbon dioxide, reduce the rate of global warming, and lead to a better quality of the natural environment.
The fact that forests are important in reducing greenhouse gases is proven by the 29 million tonnes of CO2 absorbed annually by the forests in Romania.
Because of the importance of managing the “forest economy”, Section 3 of the paper presents a method for calculating the forest-saving and the required land for fibrous plants, which substitutes the wood. This method is simple, original, has a scientific approach, and is based on a well-designed and supported algorithm.
Nevertheless, one question arises: If wood is replaced by natural fibers, will not the fibrous plant crops occupy too much land? As if this is the case, fibrous crops could end up competing with farming land intended for growing food. However, fibrous crops have a much higher output than forests. The following data support these claims: Willow can supply 40–60 t/ha/year, while beech produces at best 6 t/year/ha (2.67–7.78 t/ha/year).
Applying the proposed model to the case study shows that almost 3000 hectares/year of forest could be saved solely in the case of the studied company. Natural fibers, which are necessary to produce the composite materials, could be obtained from 123 hectares of hemp, 152 hectares of poplar, 225 hectares of flax, or 39 hectares of willow. The last of the options, willow, is best suited to the company, since the landscape and climate are favorable with numerous streams and ponds, which result in damp land and which have little or no crops at present.

6. Conclusions

The aim of the paper was to offer a solution for the sustainable development of the furniture industry by replacing wood with products obtained by thermoforming composites with reinforcing plant fibers, which would lead to saving forests and improving the natural environment. The proposed method for evaluating the material quantities and the surfaces necessary to grow the fibrous plants, which would replace the wood, was validated by applying it to a case study. The raw material produced by 2949 hectares of beech annually could be saved by the Marbor furniture company’s partial replacement of the wood it uses with natural fibers that can be obtained by harvesting 39 hectares of willow or, 225 hectares of flax. If the Romanian furniture making industry replace 50% of the wood it uses with composite material, 30,000 hectares of forest would be saved annually and it would require the planting of 1400 hectares of fibrous plants when considering an average yield of i = 2 × 2949/(39 + 225) = 22.34 (t/ha/year).

Author Contributions

All authors contributed to the research presented in this work. Their contributions are presented below. Conceptualization, E.C., C.C.; Data Curation, L.S.; Formal analysis, F.L.; Writing-Original Draft Preparation, E.-M.C., C.C., E.C., C.-E.P. and D.-C.J.; Writing-Review & Editing, E.C.

Funding

This work was supported by a grant of the Romanian National Authority for Scientific Research and Innovation, CNCS/CCCDI—UEFISCDI, project number PN-III-P2-2.1-PTE-2016-0179, within PNCDI III.

Conflicts of Interest

The authors declare no conflicts of interest.

References

  1. World Wild Life. Available online: https://www.worldwildlife.org/threats/deforestation (accessed on 10 July 2018).
  2. Betts, R.; Jones, C.; Knight, J.; Keeling, R.; Kennedy, J. El Niño and a record CO2 rise. Nat. Clim. Chang. 2016, 6, 806–810. [Google Scholar] [CrossRef]
  3. Access to European Union Law. Available online: http://eur-lex.europa.eu/legal-content/RO/TXT/?uri=CELEX:32012R0363 (accessed on 10 July 2018).
  4. State of the World’s Forests 2007. Available online: http://www.fao.org/3/a-a0773e.pdf (accessed on 10 July 2018).
  5. Institutul National de Statistica. Anuarul Statistic al Romaniei—Serii de Date 1990–2016; Institutul National de Statistica: Buchuresht, Romania, 2018; p. 526. [Google Scholar]
  6. Institutul National de Statistica. Statistica activităţilor din silvicultură in anul 2016. Available online: http://www.insse.ro/cms/sites/default/files/field/publicatii/statistica_activitatilor_din_silvicultura_in_anul_2016.pdf (accessed on 18 July 2018).
  7. Ministry of Environment, Water and Forests. Romania’s Greenhouse Gas Inventory 1989–2013. National Inventory Report. Available online: http://www.mmediu.ro/app/webroot/uploads/files/NGHGI-NIR-2015-v.1.pdf (accessed on 10 July 2018).
  8. Industria mobilei din Romania. Available online: https://biblioteca.regielive.ro/ referate/contabilitate/industria-mobilei-din-romania-11117.html (accessed on 11 July 2018).
  9. Wang, J.; Zhang, L.; Liu, X. Material Application and Innovation in Furniture Design. In Proceedings of the 2009 IEEE 10th International Conference on Computer—Aided Industrial Design Conceptual Design, Wenzhou, China, 26–29 November 2009. [Google Scholar]
  10. Knauf, M. Understanding the consumer: Multi-modal market research on consumer attitudes in Germany towards lightweight furniture and lightweight materials in furniture design. Eur. J. Wood Wood Prod. 2015, 73, 259–270. [Google Scholar] [CrossRef]
  11. Bambach, M.R. Compression strength of natural fibre composite plates and sections of flax, jute and hemp. Thin-Walled Struct. 2017, 119, 103–113. [Google Scholar] [CrossRef]
  12. Giurgiu, V.; Draghiciu, D. Modele Matematico-Auxologice Si Tabele de Productie Pentru Arborete; Regia nationala a padurilor-Romsilva, Ceres: Bucuresti, Romania, 2004; pp. 137–221. [Google Scholar]
  13. Gryc, V.; Vavrčík, H.; Gomola, Š. Selected properties of European beech (Fagus sylvatica L.). J. For. Sci. 2008, 54, 418–425. [Google Scholar] [CrossRef]
  14. Alvarez-Alvarez, P.; Pizarro, C.; Barrio-Anta, M.; Camara-Obregon, A.; Bueno, J.L.M.; Alvarez, A.; Gutierrez, I.; Burslem, D.F.R.P. Evaluation of Tree Species for Biomass Energy Production in Northwest Spain. Forests 2018, 9, 160. [Google Scholar] [CrossRef]
  15. Dănilă, I.C.; Avăcăriței, D.; Nuțu, A.P.; Savin, A.; Duduman, M.L.; Bouriaud, O.; Bouriaud, L. Productivitatea clonelor de plop hibrid instalate în culturi intensive în nord-estul României. Bucov. For. 2016, 16, 73–85. [Google Scholar] [CrossRef]
  16. Barton-Pudlik, J.; Czaja, K. Fast-growing willow (Salix viminalis) as a filler in polyethylene composites. Compos. Part B Eng. 2018, 143, 68–74. [Google Scholar] [CrossRef]
  17. Niemczyk, M.; Kaliszewski, A.; Jewiarz, M.; Wrobel, M.; Mudryk, K. Productivity and biomass characteristics of selected poplar (Populus spp.) cultivars under the climatic conditions of northern Poland. Biomass Bioenergy 2018, 111, 46–51. [Google Scholar] [CrossRef]
  18. AgroRomania, Comunitatea Agricultorilor. Available online: http://agroromania.manager.ro/articole/stiri/salcia-energetica-merita-sau-nu-afacere-sau-eapa-10827.html (accessed on 29 June 2018).
  19. Gazeta de Agricultura. Available online: https://www.gazetadeagricultura.info/plante/plante-tehnice/18555-semanatul-canepii-pentru-fibra.html (accessed on 18 June 2018).
  20. Canepa Romaneasca. Available online: http://www.canepa-romaneasca.ro/technology.htm (accessed on 18 June 2018).
  21. Agrointeligenta. Available online: http://agrointel.ro/92623/cum-se-cultiva-iarba-elefantului-noua-cultura-eligibila-la-plata-pe-inverzire/ (accessed on 29 June 2018).
  22. Ciupan, E.; Lăzărescu, L.; Filip, I.; Ciupan, C.; Câmpean, E.; Cionca, I.; Pop, E. Characterization of a thermoforming composite material made from hemp fibers and polypropylene. In Proceedings of the 13th Modern Technologies in Manufacturing, Cluj-Napoca, Romania, 12–13 October 2017. [Google Scholar]
  23. Ciupan, C.; Pop, E.; Filip, I.; Ciupan, E.; Câmpean, E.; Cionca, I.; Hereş, V. A new approach of the design process for replacing wooden parts of furniture. In Proceedings of the 13th Modern Technologies in Manufacturing, Cluj-Napoca, Romania, 12–13 October 2017. [Google Scholar]
  24. Ciupan, C.; Steopan, M.; Pop, E.; Campean, E.; Filip, I.; Ciupan, E. Comparative analysis of different ribs used to rigidize the resistance structure of a sofa side made of composite materials based on vegetable fibers. Acta Tehnica Napoc. 2018, 61, 39–44. [Google Scholar]
  25. Iancau, H.; Bere, P.; Borzan, M.; Hancu, L.; Crai, A. The influence of reinforced materials and manufacturing procedures on the mechanical characteristics of polymeric composite materials. Mater. Plast. 2008, 45, 251–256. [Google Scholar]
  26. Panaitescu, D.M.; Nicolae, C.A.; Vuluga, Z.; Vitelaru, C.; Sanporean, C.G.; Zaharia, C.; Florea, D.; Vasilievici, G. Influence of hemp fibers with modified surface on polypropylene composites. J. Ind. Eng. Chem. 2016, 37, 137–146. [Google Scholar] [CrossRef]
  27. Renouard, N.; Merotte, J.; Kervoelen, A.; Behlouli, K.; Baley, C.; Bourmaud, A. Exploring two innovative recycling ways for poly-(propylene)-flax non wovens wastes. Polym. Degrad. Stab. 2017, 142, 89–101. [Google Scholar] [CrossRef]
  28. Forum SAGA. Available online: http://www.sagasoft.ro/forum/viewtopic.php?p=88145 (accessed on 18 June 2018).
  29. Scritube. Available online: http://www.scritub.com/diverse/TEHNOLOGIA-CHERESTELEI21333.php (accessed on 18 June 2018).
Figure 1. The principle schematic of the flow for obtaining and consolidating the composite material in products.
Figure 1. The principle schematic of the flow for obtaining and consolidating the composite material in products.
Sustainability 10 03356 g001
Figure 2. The overall schematic of the installation for obtaining the composite material in the form of a fiber layer.
Figure 2. The overall schematic of the installation for obtaining the composite material in the form of a fiber layer.
Sustainability 10 03356 g002
Figure 3. Thermoforming process.
Figure 3. Thermoforming process.
Sustainability 10 03356 g003
Figure 4. Stress-strain diagram.
Figure 4. Stress-strain diagram.
Sustainability 10 03356 g004
Figure 5. The method of redesigning the parts [23].
Figure 5. The method of redesigning the parts [23].
Sustainability 10 03356 g005
Figure 6. Wooden sofa side [23].
Figure 6. Wooden sofa side [23].
Sustainability 10 03356 g006
Figure 7. Sofa side from composite material.
Figure 7. Sofa side from composite material.
Sustainability 10 03356 g007
Figure 8. Sofa side with comfort a layer from composite (left), from wood (right).
Figure 8. Sofa side with comfort a layer from composite (left), from wood (right).
Sustainability 10 03356 g008
Figure 9. Armchair (a) and chair (b) made from the composite material.
Figure 9. Armchair (a) and chair (b) made from the composite material.
Sustainability 10 03356 g009
Figure 10. The recycling of the nonwoven waste.
Figure 10. The recycling of the nonwoven waste.
Sustainability 10 03356 g010
Figure 11. The recycling of the thermoformed waste.
Figure 11. The recycling of the thermoformed waste.
Sustainability 10 03356 g011
Table 1. The production of the beech stands by classes of production.
Table 1. The production of the beech stands by classes of production.
Class of Relative ProductionProduction after 75 Years of Growth (m3/ha)Average Yearly Production (m3/ha)
I5847.78
II4776.36
III3775.02
IV2893.85
V2002.67
Mean385.45.13
Table 2. Symbols.
Table 2. Symbols.
SymbolMeaningUnit of Measurement
NLThe yearly amount of wood necessary for the production of upholstered furniturem3
ηLThe production yield of the usage of the harvested wood in finite products (lumber)%
VLThe volume of the wood mass harvestedm3
CALThe forest’s yearly production of wood massm3/ha/year
SPThe area that is deforested to ensure the necessary amount of woodha
NCThe necessary yearly amount of natural fiber composite materialkg
pFVThe proportion of the natural fiber in the recipe of composite material%
NFVThe yearly necessary amount of natural fibers needed for the production of upholstered furniturekg
ηFNThe production yield of changing the natural fiber into finite products%
CAFVThe yearly production of natural fiber, including stalk (dry matter)kg/ha/year
SFVThe amount of land that is needed to produce the natural fibersha
Table 3. The tensile properties of the thermoformed composite material.
Table 3. The tensile properties of the thermoformed composite material.
Layout of LayersLayout of SamplesAverage Values—Layout of SamplesAverage Values—Layout of Layers
σM (MPa)εM (%)σB (MPa)εB (%)σM (MPa)εM (%)σB (MPa)εB (%)
12345678910
LLLL15.12.415.12.411.772.209.532.27
T9.52.27.582.4
D10.725.912
LTLL13.92.512.52.612.332.4710.042.60
T11.52.59.362.5
D11.62.48.262.7
LLLLL23.83.223.83.218.302.9717.773.00
T15.42.913.83
D15.72.815.72.8
LTLTL16.72.916.72.919.102.9519.102.95
D21.5321.53
Table 4. Data regarding the material consumption and the yearly volumes of production.
Table 4. Data regarding the material consumption and the yearly volumes of production.
Type of ProductWood Consumption in the Conventional Version (kg/piece)Wood Consumption in the Nonconventional Version (kg/piece)Consumption of Composite Material (kg/piece)Yearly Volume of Production (pieces)
P1 (chair)7.511.724,000
P2 (armchair)9.32.344800
P3 (armchair)8.02.3436,000
P4 (armchair)9.652.3540,000
P5 (sofa side)3.9501.65500,000
P6 (sofa side)501.5800,000
Table 5. Yearly production of the cultures of technical plants.
Table 5. Yearly production of the cultures of technical plants.
Type of PlantYearly Production (kg/ha)The Effectiveness of Transformation into Fiber (%)
Hemp11,00090
Elephant grass14,87570
Willow38,80080
Poplar10,00080
Flax600090
Table 6. The necessary amount of natural fiber and of land to be cultivated.
Table 6. The necessary amount of natural fiber and of land to be cultivated.
The Necessary Amount of Natural Fiber (kg)Type of PlantCultivated Area (ha)
1,214,500Hemp123
Elephant grass117
Willow39
Poplar152
Flax225

Share and Cite

MDPI and ACS Style

Ciupan, E.; Ciupan, C.; Câmpean, E.-M.; Stelea, L.; Policsek, C.-E.; Lungu, F.; Jucan, D.-C. Opportunities of Sustainable Development of the Industry of Upholstered Furniture in Romania. A Case Study. Sustainability 2018, 10, 3356. https://doi.org/10.3390/su10093356

AMA Style

Ciupan E, Ciupan C, Câmpean E-M, Stelea L, Policsek C-E, Lungu F, Jucan D-C. Opportunities of Sustainable Development of the Industry of Upholstered Furniture in Romania. A Case Study. Sustainability. 2018; 10(9):3356. https://doi.org/10.3390/su10093356

Chicago/Turabian Style

Ciupan, Emilia, Cornel Ciupan, Emilia-Maria Câmpean, Lucia Stelea, Cecilia-Elena Policsek, Florin Lungu, and Daniela-Corina Jucan. 2018. "Opportunities of Sustainable Development of the Industry of Upholstered Furniture in Romania. A Case Study" Sustainability 10, no. 9: 3356. https://doi.org/10.3390/su10093356

APA Style

Ciupan, E., Ciupan, C., Câmpean, E.-M., Stelea, L., Policsek, C.-E., Lungu, F., & Jucan, D.-C. (2018). Opportunities of Sustainable Development of the Industry of Upholstered Furniture in Romania. A Case Study. Sustainability, 10(9), 3356. https://doi.org/10.3390/su10093356

Note that from the first issue of 2016, this journal uses article numbers instead of page numbers. See further details here.

Article Metrics

Back to TopTop