Investigation of Mineral-Processing Wastewater Recycling Processes: A Pilot Study
Abstract
1. Introduction
2. Materials and Methods
2.1. Mineral-Processing Wastewater Treatment Pilot System
2.2. Characterization of the Mineral-Processing Wastewater
2.3. Wastewater Treatment Operating Conditions
2.4. Characterization of Treated Water and Sludge
- r: specific resistance (m/kg)
- b: slope of the filtrate volume vs. time/filtrate volume curve
- µ: filtrate viscosity (N·s/m2)
- C: concentration of slurry (kg/m3)
- A: filter area (m2)
- P: applied pressure (N/m2)
- V: volume of filtrate (m3)
3. Results and Discussion
3.1. Treated Water Quality
3.2. Dewaterability of the Sludge
3.3. Stability of the Flocculent
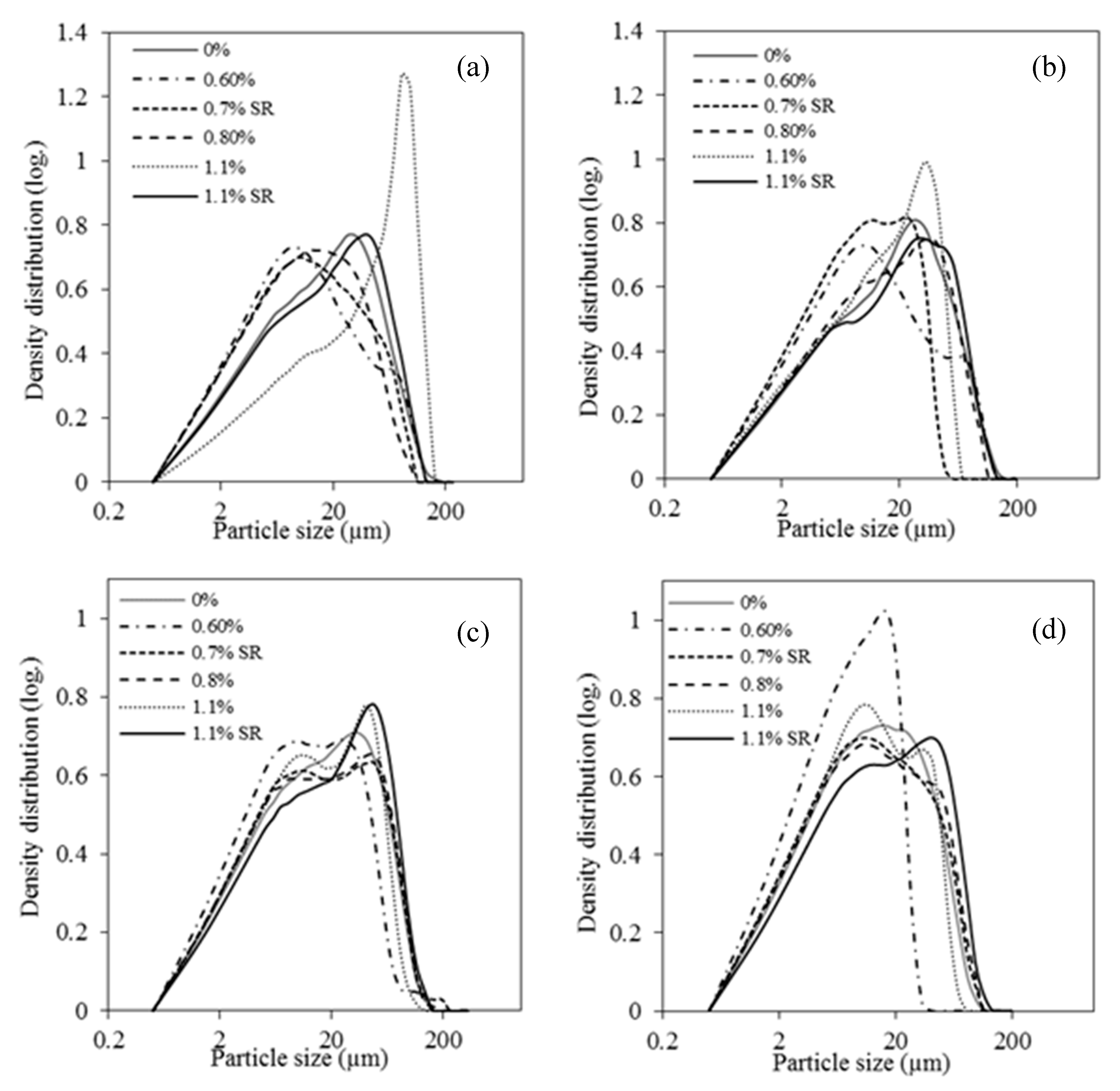
3.4. Particle Size Distribution of the Sludge
4. Conclusions
Author Contributions
Funding
Conflicts of Interest
References
- Gunson, A.J.; Klein, B.; Veiga, M.; Dunbar, S. Reducing mine water requirements. J. Clean. Prod. 2012, 21, 71–82. [Google Scholar] [CrossRef]
- Rubio, J.; Souza, M.L.; Smith, R.W. Overview of flotation as a wastewater treatment technique. Miner. Eng. 2002, 15, 139–155. [Google Scholar] [CrossRef]
- Teh, C.Y.; Budiman, P.M.; Shak, K.P.Y.; Wu, T.Y. Recent advancement of coagulation-flocculation and its application in wastewater treatment. Ind. Eng. Chem. Res. 2016, 55, 4363–4389. [Google Scholar] [CrossRef]
- Choy, S.Y.; Prasad, K.M.N.; Wu, T.Y.; Raghunandan, M.E.; Ramanan, R.N. Utilization of plant-based natural coagulants as future alternatives towards sustainable water clarification. J. Environ. Sci. 2014, 26, 2178–2189. [Google Scholar] [CrossRef] [PubMed]
- Pearse, M.J. Historical use and future development of chemicals for solid–liquid separation in the mineral processing industry. Miner. Eng. 2003, 16, 103–108. [Google Scholar] [CrossRef]
- Johnson, P.D.; Girinathannair, P.; Ohlinger, K.N.; Ritchie, S.; Teuber, L.; Kirby, J. Enhanced removal of heavy metals in primary treatment using coagulation and flocculation. Water Environ. Res. 2008, 80, 472–479. [Google Scholar] [CrossRef] [PubMed]
- Lee, K.; Lee, D.; Lieu, A. Trace metal removal with precipitated solids from uranium mine effluent at Cameco’s Key Lake operation. In Water in Mineral Processing; Drelich, J., Ed.; Society for Mining, Metallurgy, and Exploration, Inc.: Englewood, CO, USA, 2012; ISBN 978-0-87335-349-6. [Google Scholar]
- Chen, T.; Xu, Y.; Wang, D.; Shi, W.; Cui, F. The impact of recycling sludge on water quality in coagulation for treating low-turbidity source water. Desalination Water Treat. 2016, 27, 14433–14442. [Google Scholar] [CrossRef]
- Dahlstrom, D.A. Liquid-solid separation. In Principles of Mineral Processing; Fuerstenau, M.C., Ed.; Society for Mining, Metallurgy, and Exploration, Inc.: Englewood, IL, USA, 2003; pp. 307–336. [Google Scholar]
- Park, J.H.; Oh, C.; Han, Y.S.; Ji, S.W. Optimizing the addition of flocculants for recycling mineral processing wastewater. Geosyst. Eng. 2016, 19, 83–88. [Google Scholar] [CrossRef]
- Weiner, R.F.; Matthews, R. Environmental Engineering; Elsevier Science: Burlington, MA, USA, 2003; pp. 205–222. [Google Scholar]
- Ministry of Environment. Enforcement Decree of the Water Quality and Aquatic Ecosystem Conservation Act; Ministry of Government Legislation: Seoul, Korea, 2018.
- Dash, M.; Dwari, R.K.; Biswal, S.K.; Reddy, P.S.R.; Chattopadhyay, P.; Mishra, B.K. Studies on the effect of flocculant adsorption on the dewatering of iron ore tailings. Chem. Eng. J. 2011, 173, 318–325. [Google Scholar] [CrossRef]
- Ofir, E.; Oren, Y.; Adin, A. Electroflocculation: The effect of zeta-potential on particle size. Desalination 2007, 204, 33–38. [Google Scholar] [CrossRef]
- Clogston, J.D.; Patri, A.K. Zeta potential measurement. In Characterization of Nanoparticles Intended for Drug Delivery; McNeil, S.E., Ed.; Humana Press: New York, NY, USA, 2011; pp. 63–70. [Google Scholar]
- Yu, J.; Wang, D.; Ge, X.; Yan, M.; Yang, M. Flocculation of kaolin particles by two typical polyelectrolytes: A comparative study on the kinetics and floc structures. Colloids Surf. Physicochem. Eng. Asp. 2006, 290, 288–294. [Google Scholar] [CrossRef]
- Li, X.Y.; Yang, S.F. Influence of loosely bound extracellular polymeric substances (EPS) on the flocculation, sedimentation and dewaterability of activated sludge. Water Res. 2007, 41, 1022–1030. [Google Scholar] [CrossRef] [PubMed]
- Jin, B.; Wilén, B.M.; Lant, P. Impacts of morphological, physical and chemical properties of sludge flocs on dewaterability of activated sludge. Chem. Eng. J. 2004, 98, 115–126. [Google Scholar] [CrossRef]
- Wilén, B.M.; Jin, B.; Lant, P. Impacts of structural characteristics on activated sludge floc stability. Water Res. 2003, 37, 3632–3645. [Google Scholar] [CrossRef]
- Neyens, E.; Baeyens, J. A review of thermal sludge pre-treatment processes to improve dewaterability. J. Hazard. Mater. 2003, 98, 51–67. [Google Scholar] [CrossRef]
- Yuan, H.; Zhu, N.; Song, F. Dewaterability characteristics of sludge conditioned with surfactants pretreatment by electrolysis. Bioresour. Technol. 2011, 102, 2308–2315. [Google Scholar] [CrossRef] [PubMed]
- Liss, S.N.; Liao, B.Q.; Droppo, I.G.; Allen, D.G.; Leppard, G.G. Effect of solids retention time on floc structure. Water Sci. Technol. 2002, 46, 431–438. [Google Scholar] [CrossRef] [PubMed]
- Pollice, A.; Laera, G.; Saturno, D.; Giordano, C. Effects of sludge retention time on the performance of a membrane bioreactor treating municipal sewage. J. Membr. Sci. 2008, 317, 65–70. [Google Scholar] [CrossRef]
- Biggs, C.A.; Lant, P.A. Activated sludge flocculation: On-line determination of floc size and the effect of shear. Water Res. 2000, 34, 2542–2550. [Google Scholar] [CrossRef]
- Fitria, D.; Scholz, M.; Swift, G.M.; Hutchinson, S.M. Impact of sludge floc size and water composition on dewaterability. Chem. Eng. Technol. 2014, 37, 471–477. [Google Scholar] [CrossRef]
- Higgins, M.J.; Novak, J.T. Dewatering and settling of activated sludges: The case for using cation analysis. Water Environ. Res. 1997, 69, 225–232. [Google Scholar] [CrossRef]
- Neyens, E.; Baeyens, J.; Dewil, R. Advanced sludge treatment affects extracellular polymeric substances to improve activated sludge dewatering. J. Hazard. Mater. 2004, 106, 83–92. [Google Scholar] [CrossRef] [PubMed]
- Turchiuli, C.; Fargues, C. Influence of structural properties of alum and ferric flocs on sludge dewaterability. Chem. Eng. J. 2004, 103, 123–131. [Google Scholar] [CrossRef]
- Su, X.; Tian, Y.; Li, H.; Wang, C. New insights into membrane fouling based on characterization of cake sludge and bulk sludge: An especial attention to sludge aggregation. Bioresour. Technol. 2013, 128, 586–592. [Google Scholar] [CrossRef] [PubMed]




| pH | EC | K | Na | Ca | Mg | Fe | Mn | Cu | Pb | Zn | Al | Cr |
| mS/cm | mg/L | |||||||||||
| 8.78 | 1.06 | 36 | 84 | 100 | 6.6 | <0.02 | 0.1 | <0.03 | <0.05 | <0.02 | 0.1 | <0.02 |
| Co | Ni | As | Mo | Pd | Cd | F− | Cl− | Br− | NO3− | PO43− | SO42− | |
| mg/L | ||||||||||||
| <0.03 | <0.01 | <0.05 | 4 | <0.05 | <0.03 | 0.5 | 44 | 0.2 | 123 | <0.5 | 310 | |
| Flocculant dosage | 0.6% | 0.7% SR * | 0.8% | 1.1% | 1.1% SR * |
| Turbidity (NTU) | 71 ± 12 a | 76 ± 8 a | 71 ± 3 a | 68 ± 4 a | 57 ± 6 a |
| Zeta potential (mV) | −16.8 ± 0.8 b | −16.1 ± 1.1 b | −19.4 ± 0.8 c | −18.7 ± 1.3 c | −9.09 ± 0.2 a |
| pH | 8.84 | 8.77 | 8.79 | 8.71 | 8.08 |
| EC (mS/cm) | 1.17 | 1.12 | 1.10 | 1.10 | 1.10 |
© 2018 by the authors. Licensee MDPI, Basel, Switzerland. This article is an open access article distributed under the terms and conditions of the Creative Commons Attribution (CC BY) license (http://creativecommons.org/licenses/by/4.0/).
Share and Cite
Park, J.H.; Han, Y.-S.; Ji, S.-W. Investigation of Mineral-Processing Wastewater Recycling Processes: A Pilot Study. Sustainability 2018, 10, 3069. https://doi.org/10.3390/su10093069
Park JH, Han Y-S, Ji S-W. Investigation of Mineral-Processing Wastewater Recycling Processes: A Pilot Study. Sustainability. 2018; 10(9):3069. https://doi.org/10.3390/su10093069
Chicago/Turabian StylePark, Jin Hee, Young-Soo Han, and Sang-Woo Ji. 2018. "Investigation of Mineral-Processing Wastewater Recycling Processes: A Pilot Study" Sustainability 10, no. 9: 3069. https://doi.org/10.3390/su10093069
APA StylePark, J. H., Han, Y.-S., & Ji, S.-W. (2018). Investigation of Mineral-Processing Wastewater Recycling Processes: A Pilot Study. Sustainability, 10(9), 3069. https://doi.org/10.3390/su10093069
