Clays of Different Plasticity as Materials for Landfill Liners in Rural Systems of Sustainable Waste Management
Abstract
1. Introduction
2. Materials and Methods
3. Results
4. Conclusions
- According to the popular requirements regarding the sealing capabilities of the earthen liner, all of the tested clayey substrates were found to be applicable to the construction of a compacted clay liner for sustainable rural waste landfill, both as a bottom liner or as a part of a properly designed and constructed multilayered top cover also supported by artificial membranes.
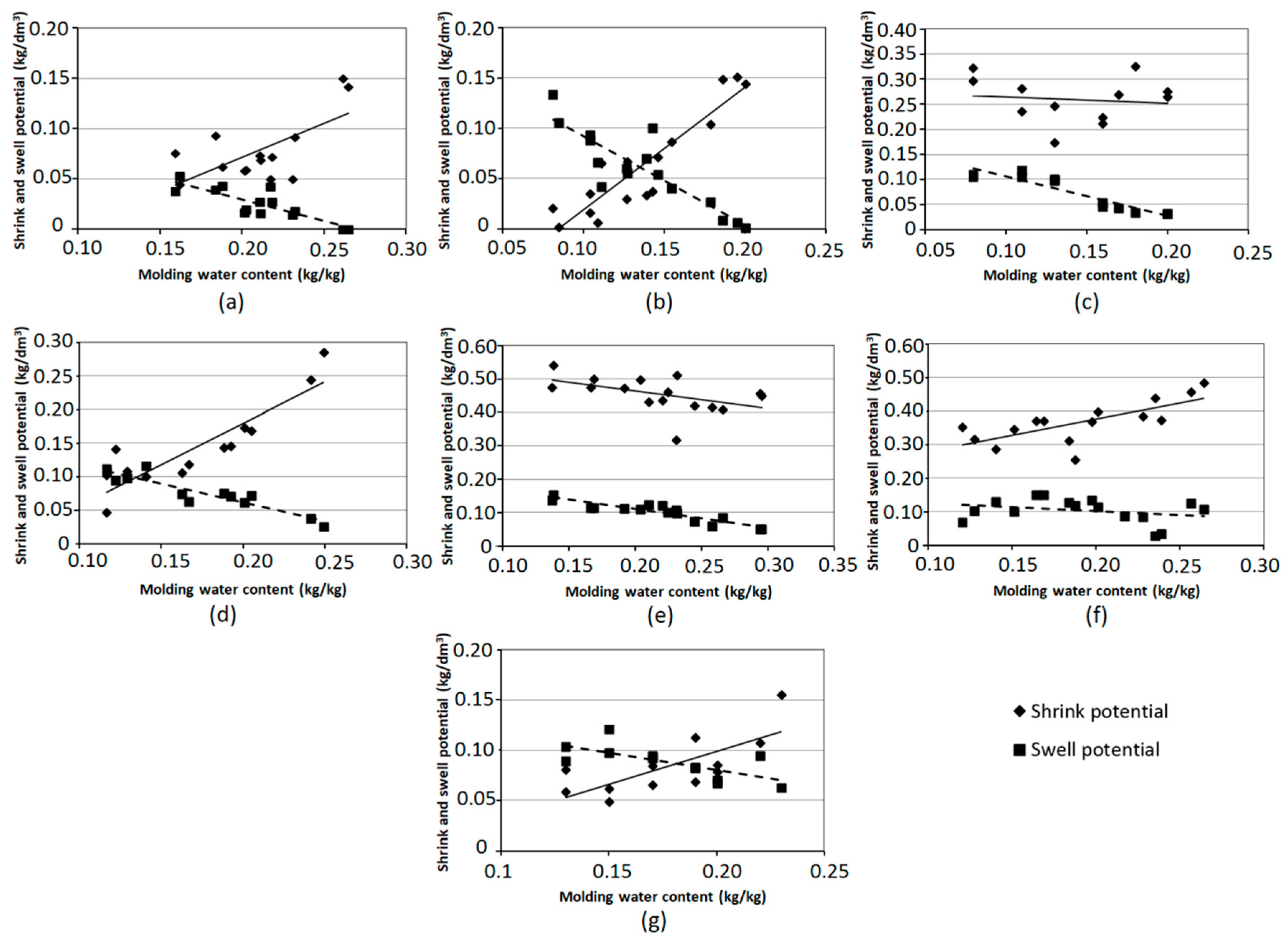
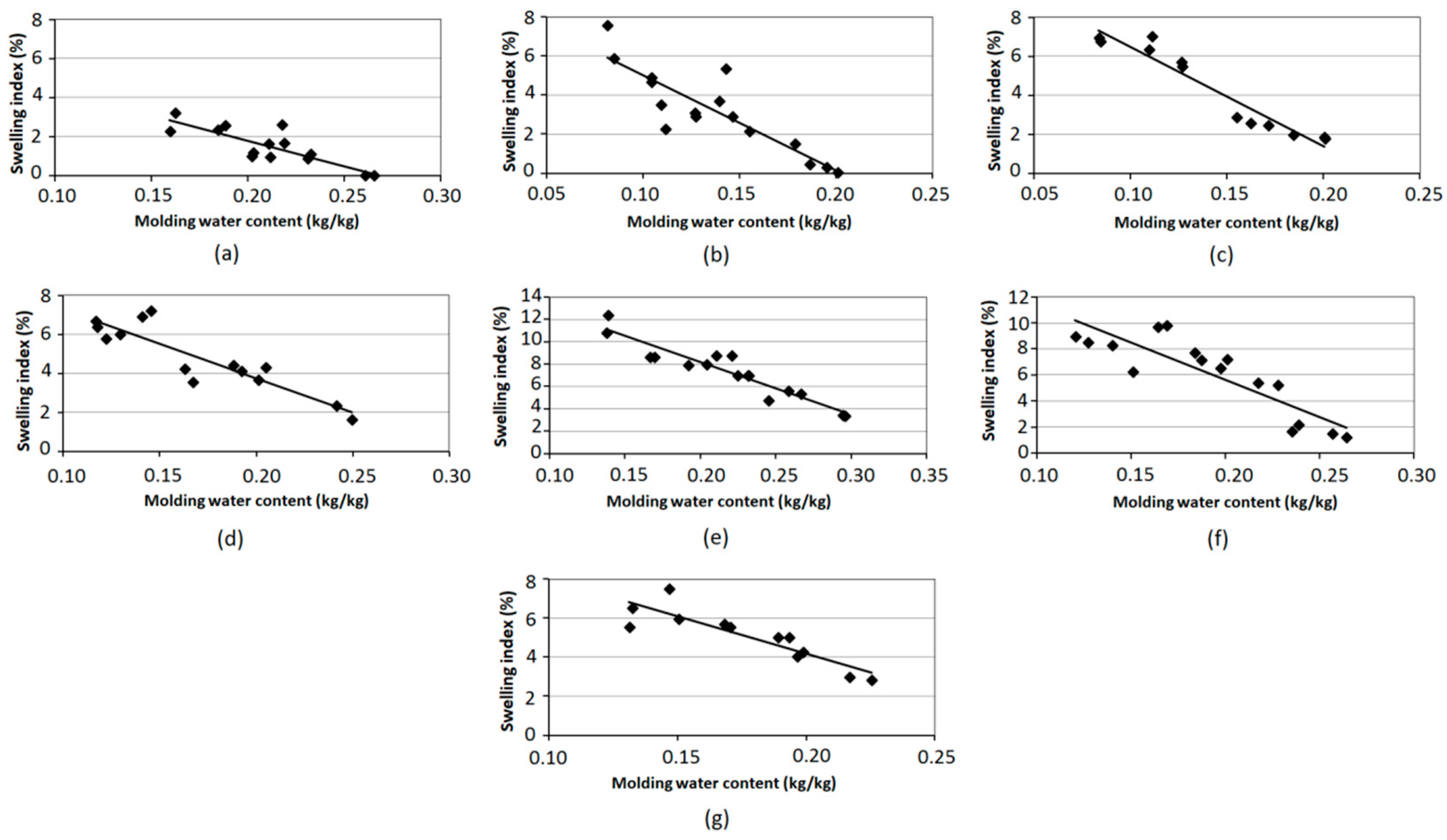
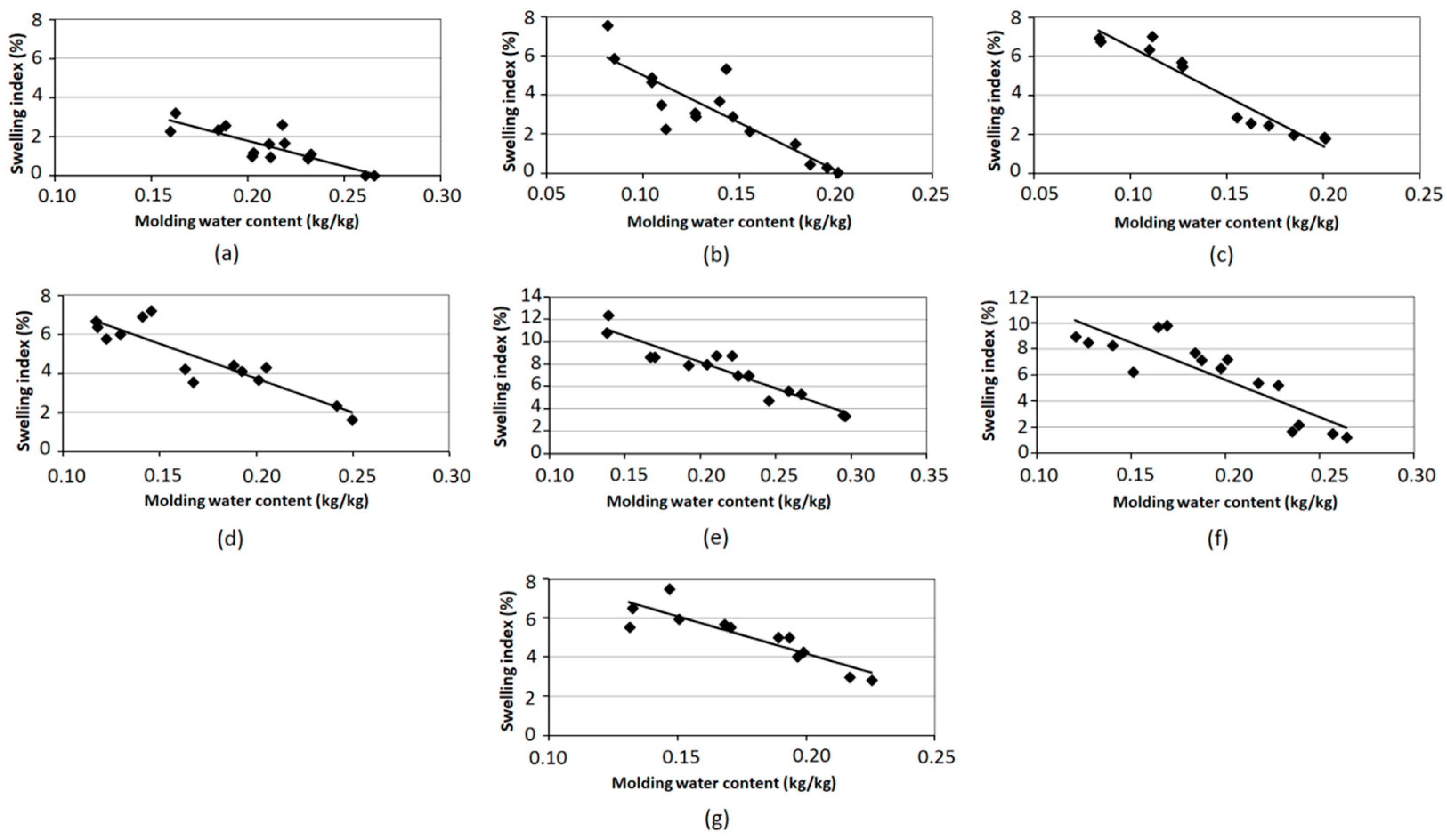
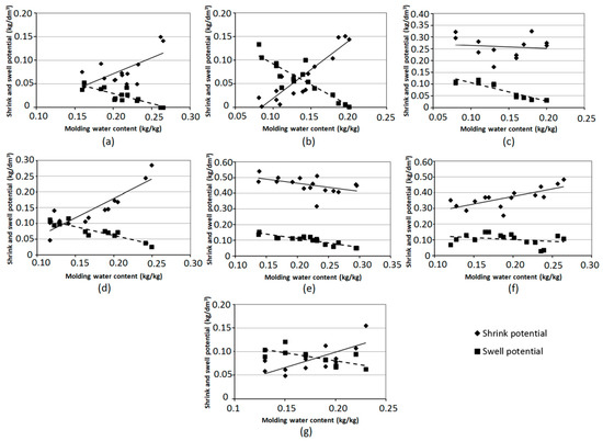
- However, the applied clay material particle composition and molding conditions should be selected very carefully because they may trigger the future behavior of the compacted clay liner e.g., define not only the saturated hydraulic conductivity but also the swell and shrink potentials, and resistance against cycles of drying and wetting determined by the appearance of cracking. Our studies showed that low applied molding water contents, dry of optimum, prevented in most cases the reduction of saturated hydraulic conductivity to values lower than 1.0 × 10−9 m/s.
- Our studies showed that clay materials of high plasticity index, approx. greater than 30%, allowed very good sealing capabilities but showed high shrinkage potentials, horizontal deformation during shrinkage as well as susceptibility for desiccation, triggering the increase in permeability and were unable to regain their initial hydraulic conductivity after rewetting.
- Application of the low plasticity substrates or medium plasticity materials, of plasticity index values even lower than 20%, with the significant share of sand, even in range between 50–75%, may allow for retaining at least partial sealing capabilities after repeated drying and rewetting and should improve the sustainability of the compacted clay liner in case of top capping failure.
- The durability and environmental sustainability of a local, rural waste landfill, isolated by the affordable compacted earthen liners utilizing local materials is in our opinion possible but strongly related to the proper choice of process parameters during CCL construction for the given clayey substrate. In our opinion, the locally available materials should be carefully studied considering not only their particle size distributions and coefficients of saturated hydraulic conductivity after compaction, but also their shrink and swell capabilities and resistance to desiccation cracking. The performed tests may help to select the most suitable molding water content for the individual material, allowing not only achieving the required sealing capabilities but also limiting swell and shrink potentials as well as diminishing vulnerability of the liner to increase in the hydraulic conductivity caused by drying and rewetting.
- The presented studies should be continued and should include studies of a greater number of locally available clay substrates as well as tests of applicability of various additives, including products of sustainable recycling of different types of municipal or industrial wastes.
Author Contributions
Funding
Conflicts of Interest
References
- Batool, S.A.; Ch, M.N. Municipal solid waste management in Lahore city district, Pakistan. Waste Manag. 2009, 29, 1971–1981. [Google Scholar] [CrossRef] [PubMed]
- Sharholy, M.; Ahmad, K.; Mahmood, G.; Trivedi, R.C. Municipal solid waste management in Indian cities—A review. Waste Manag. 2008, 28, 459–467. [Google Scholar] [CrossRef] [PubMed]
- Al-Khatib, I.S.; Monou, M.; Abu Zahra, A.S.F.; Shaheen, H.Q.; Kassinos, D. Solid waste characterization, quantification and management practices in developing countries. A case study: Nablus district—Palestine. J. Environ. Manag. 2010, 97, 1131–1138. [Google Scholar] [CrossRef] [PubMed]
- Othman, S.N.; Noor, Z.Z.; Abba, A.H.; Yusuf, R.O. Review of life cycle assessment of integrated solid waste management in some Asian countries. J. Clean. Prod. 2013, 43, 251–262. [Google Scholar] [CrossRef]
- Widomski, M.K.; Gleń, P.; Łagód, G.; Jaromin-Gleń, K. Sustainable development of one of the poorest province of the European Union: Lublin Voivodeship, Poland—Attempt of assessment. Probl. Sustain. Dev. 2015, 2, 137–149. [Google Scholar]
- Widomski, M.K.; Gleń, P.; Łagód, G. Sustainable landfilling as final step of municipal waste management system. Probl. Sustain. Dev. 2017, 1, 147–155. [Google Scholar]
- Allen, A. Containment landfills: The myth of sustainability. Eng. Geol. 2000, 60, 3–19. [Google Scholar] [CrossRef]
- Shekdar, A.V. Sustainable solid waste management: An integrated approach for Asian countries. J. Waste Manag. 2009, 29, 1438–1448. [Google Scholar] [CrossRef] [PubMed]
- Pires, A.; Martinho, G.; Chang, N.B. Solid waste management in European countries: A review of system analysis techniques. J. Environ. Manag. 2011, 92, 1033–1050. [Google Scholar] [CrossRef] [PubMed]
- Ozbay, I. Evaluation of municipal solid waste management practices for an industrialized city. Pol. J. Environ. Stud. 2015, 24, 637–644. [Google Scholar] [CrossRef]
- Zhang, D.Q.; Tan, S.K.; Gersberg, R.M. Municipal solid waste management in China: Status, problems and challenges. J. Environ. Manag. 2010, 91, 1623–1633. [Google Scholar] [CrossRef] [PubMed]
- Ngoc, U.N.; Schnitzer, H. Sustainable solutions for solid waste management in Southeast Asian countries. Waste Manag. 2009, 29, 1982–1995. [Google Scholar] [CrossRef] [PubMed]
- Wagner, J. Incentivizing sustainable waste management. Ecol. Econ. 2011, 70, 585–594. [Google Scholar] [CrossRef]
- Zurbrüg, C.; Gfrerer, M.; Ashadi, H.; Brenner, W.; Küper, D. Determinants of sustainability in solid waste management—The Gianyar Waste. Waste Manag. 2012, 32, 2126–2133. [Google Scholar] [CrossRef] [PubMed]
- Brogaard, L.K.; Stentsoe, S.; Willumsen, H.C.; Christensen, T.H. Quantifying capital goods for waste landfilling. Waste Manag. Res. 2013, 31, 555–598. [Google Scholar] [CrossRef] [PubMed]
- Horn, R.; Stępniewski, W. Modification of mineral liner to improve its long-term stability. Int. Agrophys. 2004, 18, 317–323. [Google Scholar]
- Laner, D.; Crest, M.; Schraff, H.; Morris, J.W.F.; Barlaz, M.A. A review of approaches for the long-term management of municipal solid waste landfills. Waste Manag. 2012, 32, 498–512. [Google Scholar] [CrossRef] [PubMed]
- EU. Council Directive 99/31/EC of 26 April 1999 on the Landfill of Waste; Council of the European Union: Brussels, Belgium, 1999. [Google Scholar]
- Bagchi, A. Design, Construction and Monitoring of Sanitary Landfill; John Wiley & Sons: New York, NY, USA, 1990; ISBN 9780471613862. [Google Scholar]
- Simon, F.G.; Müller, W.W. Standard and alternative landfill capping design in Germany. Environ. Sci. Policy 2004, 7, 277–290. [Google Scholar] [CrossRef]
- Laner, D.; Fellner, J.; Brunner, P.H. Future landfill emissions and the effect of final cover installation—A case study. Waste Manag. 2011, 31, 1522–1531. [Google Scholar] [CrossRef] [PubMed]
- Aldaeef, A.A.; Rayhani, M.T. Hydraulic performance of Compacted Clay Liners (CCLs) under combined temperature and leachate exposures. Waste Manag. 2014, 34, 2548–2560. [Google Scholar] [CrossRef] [PubMed]
- Yang, N.; Damgaard, A.; Lu, F.; Shao, L.M.; Brogaard, L.K.S.; He, P.J. Environmental impact assessment on the construction and operation of municipal solid waste sanitary landfills in developing countries: China case study. Waste Manag. 2014, 34, 929–937. [Google Scholar] [CrossRef] [PubMed]
- Benson, C.H.; Trast, J.M. Hydraulic conductivity of thirteen compacted clays. Clays Clay Miner. 1995, 46, 669–681. [Google Scholar] [CrossRef]
- Zhang, S.L.; Grip, H.; Lovdahl, L. Effect of soil compaction on hydraulic properties of two loess soils in China. Soil Tillage Res. 2006, 90, 117–125. [Google Scholar] [CrossRef]
- Daniel, D.E.; Wu, Y.K. Compacted clay liners and covers for arid sites. J. Geotech. Geoenviron. ASCE 1993, 119, 223–237. [Google Scholar] [CrossRef]
- Daniel, D.E.; Koerner, R.M. Waste Containment Facilities. Guidance for Construction, Quality Assurance and Quality Control of Liner and Cover Systems; ASCE Press: New York, NY, USA, 1995; ISBN 978-0-7844-0859-9. [Google Scholar]
- Rowe, R.K.; Quigley, R.M.; Booker, J.R. Clayey Barrier Systems for Waste Disposal Facilities; CRC Press, Taylor and Francis: Boca Raton, FL, USA, 1997; ISBN 9780419226000. [Google Scholar]
- Wysokiński, L. (Ed.) Principles of Assessing the Suitability of Cohesive Soils of Poland for the Construction of Mineral Insulating Barriers; ITB, Ministry of Environment: Warsaw, Poland, 2007; ISBN 978-83-249-1125-7. (In Polish)
- Regulation of the Minister of Environment of 30 April 2013 about Landfilling of Wastes; Journal of Laws from 2013 item 523; Sejm of the Republic of Poland: Warsaw, Poland, 2013. (In Polish)
- German Landfill Ordinance, Deponieverordnung—DepV: Degree on Landfills (Ordinance to Simplify the Landfill Law)—Germany; In the form of the resolution of the Federal Cabinet dated 27 April 2009; Bundesministers für Land-und Forstwirtschaft, Umwelt und Wasserwirtschaft: Bonn, Germany, 2009.
- EPA. Solid Waste Disposal Facility Criteria; Technical manual 530-R-93-017; US Environmental Protection Agency: Washington, DC, USA, 1993.
- NRA. Earthworks to Landfill Sites; National Rivers Authority North West Region: Bristol, UK, 1995. [Google Scholar]
- Basma, A.A.; Al-Homoud, A.S.; Malkawi, A.I.H.; Al-Bashebsheh, M.A. Swelling-shrinkage behavior of natural expansive clays. Appl. Clay Sci. 1996, 11, 211–227. [Google Scholar] [CrossRef]
- Kalkan, E. Impact of wetting-drying cycles on swelling behavior of clayey soils modified by silica fume. Appl. Clay Sci. 2011, 52, 345–352. [Google Scholar] [CrossRef]
- Yesiller, N.; Miller, C.J.; Inci, G.; Yaldo, K. Desiccation and cracking of three compacted landfill liner soils. Eng. Geol. 2000, 57, 105–121. [Google Scholar] [CrossRef]
- Peng, X.; Horn, R.; Peth, S.; Smucker, A. Quantification of soil shrinkage in 2D by digital image processing of soil surface. Soil Tillage Res. 2006, 91, 173–180. [Google Scholar] [CrossRef]
- Gebhardt, S.; Fleige, H.; Horn, R. Anisotropic shrinkage of mineral and organic soils and its impact on soil hydraulic properties. Soil Tillage Res. 2012, 125, 96–104. [Google Scholar] [CrossRef]
- Albrecht, B.A.; Benson, C.H. Effect of desiccation on compacted natural clay. J. Geotech. Geoenviron. 2001, 127, 67–75. [Google Scholar] [CrossRef]
- Widomski, M.K.; Stępniewski, W.; Horn, R.; Bieganowski, A.; Gazda, L.; Franus, M.; Pawlowska, M. Shrink-swell potential, hydraulic conductivity and geotechnical properties of two clay materials for landfill liner construction. Int. Agrophys. 2015, 29, 365–375. [Google Scholar] [CrossRef]
- He, J.; Wang, Y.; Li, Y.; Ruan, X.C. Effects of leachate infiltration and desiccation cracks on hydraulic conductivity of compacted clay. Water Sci. Eng. 2015, 8, 151–157. [Google Scholar] [CrossRef]
- Holtz, R.D.; Kovacs, W.D. An Introduction to Geotechnical Engineering; Prentice Hall: Englewood Cliffs, NJ, USA, 1981; ISBN 978-0132496346. [Google Scholar]
- Dörner, J.; Dec, D.; Peng, X.; Horn, R. Change of shrinkage behavior of an Andisol in southern Chile: Effects of land use and wetting/drying cycles. Soil Tillage Res. 2009, 106, 45–53. [Google Scholar] [CrossRef]
- Fernandes, M.; Denis, A.; Fabre, R.; Lataste, J.F.; Chretien, M. In situ study of the shrinkage of a clay soil cover over several cycles of drought-rewetting. Eng. Geol. 2015, 192, 63–75. [Google Scholar] [CrossRef]
- Lu, H.; He, W.; Liao, Z.W.; Chen, W. The swelling, shrinkage and cracking properties of compacted clay. Electron. J. Geotech. Eng. 2013, 18, 1037–1044. [Google Scholar]
- Whalley, W.R.; Matthews, G.P.; Ferraris, S. The effect of compaction and shear deformation of saturated soil on hydraulic conductivity. Soil Tillage Res. 2012, 125, 23–29. [Google Scholar] [CrossRef]
- Puppala, A.J.; Manosuthikij, T.; Chittoori, B.C. Swell and shrinkage characterizations of unsaturated expansive clays from Texas. Eng. Geol. 2013, 164, 187–194. [Google Scholar] [CrossRef]
- Researches of Soil Samples; PN-B-04481; Polish Committee for Standardization: Warsaw, Poland, 1988. (In Polish)
- Geotechnical Investigation and Testing. Laboratory testing of soil. In Part 12: Determination of Atterberg Limits; PKN-CEN ISO/TS 17892-12; Polish Committee for Standardization: Warsaw, Poland, 2009. (In Polish) [Google Scholar]
- ASTM. Standard Test Method for Total Evaporable Moisture Content of Aggregate by Drying; ASTM C566-13; ASTM: West Conshohocken, PA, USA, 2013. [Google Scholar]
- BAT. In Situ Permeability Measurement with the BAT Permeameter; BAT Geosystems AB: Vallentuna, Sweden, 2006. [Google Scholar]
- Coefficient of Permeability—Falling Head Method; FM 5-513; Florida Department of Transportation: Tallahassee, FL, USA, 2000.
- ASTM. Standard Test Method for Measurement of Hydraulic Conductivity of Porous Material Using a Rigid-Wall Compaction-Mold Permeameter; ASTM D5856-95; ASTM: West Conshohocken, PA, USA, 2007. [Google Scholar]
- ASTM. Standard Test Methods for Laboratory Compaction Characteristics of Soil Using Standard Effort (12,400 ft-lbf/ft3 (600 kN-m/m3)); ASTM D698-12e1; ASTM: West Conshohocken, PA, USA, 2007. [Google Scholar]
- Peng, X.; Horn, R.; Smucker, A. Pore shrinkage dependency of inorganic and organic soils on wetting and drying cycles. Soil Sci. Soc. Am. J. 2007, 71, 1095–1104. [Google Scholar] [CrossRef]
- Grossman, R.H.; Brasher, B.R.; Franzmeier, D.P.; Walker, J.L. Linear extensibility as calculated from natural-clod bulk density measurements. Soil Sci. Soc. Am. Proc. 1968, 32, 570–573. [Google Scholar] [CrossRef]
- Bronswijk, J.J.B. Shrinkage geometry of a heavy clay soil at various stresses. Soil Sci. Soc. Am. J. 1990, 54, 1500–1502. [Google Scholar] [CrossRef]
- Parker, J.C.; Amos, D.F.; Kaster, D.L. Evaluation of several methods of estimating soil volume change. Soil Sci. Soc. Am. J. 1977, 41, 1059–1064. [Google Scholar] [CrossRef]
- Bauer, B.; Taubner, H.; Tippkötter, R. The measurement of mechanical and hydraulic consolidation of clayey substrates using an improved Proctor method. Wasser Boden 2001, 53, 27–29. (In German) [Google Scholar]
- EPA. Draft Environmental Guidelines: Solid Waste Landfills, 2nd ed.; US Environmental Protection Agency: Washington, DC, USA, 2015.
- Stępniewski, W.; Pawłowska, M.; Gazda, L.; Widomski, M.K.; Franus, M.; Depta, M. Cohesive soils of Lublin Region Suitable for Mineral Sealing Lines and Other Engineering Applications; Wyd. Politechniki Lubelskiej: Lublin, Poland, 2015; ISBN 978-83-7947-117-1. (In Polish) [Google Scholar]
- Ladd, C.C.; Lambre, T.W. The identification of behavior of compacted expansive clays. In Proceedings of the 5th International Conference in Soil Mechanics and Foundation Engineering, Paris, French, 17–22 July 1961. [Google Scholar]
- Bain, J.A. A plasticity chart as an aid to the identification and assessment of industrial clays. Clay Miner. 1971, 9, 1–17. [Google Scholar] [CrossRef]
- Chen, F.D. Foundations of Expansive Soils; Elsevier Science Company Inc.: Amsterdam, The Netherlands, 1988; ISBN 978-0444569622. [Google Scholar]
- ASTM. Standard Practice for Classification of Soils for Engineering Purposes (Unified Soil Classification System); ASTM D2487-11; ASTM: West Conshohocken, PA, USA, 2011. [Google Scholar]









| Ch | G | J | Ma | Me | P | Z | ||
|---|---|---|---|---|---|---|---|---|
| Particle composition | Sand (%) | 54 | 74 | 43 | 56 | 5 | 29 | 41 |
| Silt (%) | 36 | 7 | 26 | 40 | 55 | 35 | 35 | |
| Clay (%) | 10 | 19 | 31 | 14 | 40 | 36 | 24 | |
| Soil texture type | Sandy loam | Sandy loam | Clay loam | Sandy loam | Silty clay | Clay loam | Loam | |
| Solid particle density (Mg/m3) | 2.84 | 2.86 | 2.74 | 2.76 | 2.79 | 2.61 | 2.76 | |
| Non-swelling clay minerals (K + Ch) 1 (%) | 19 | 20 | 8 | 10 | 28 | 22 | 20 | |
| Swelling clay minerals (I + S) 1 (%) | 41 | 30 | 22 | 40 | 52 | 48 | 40 | |
| Ratio of non-swelling to swelling clay minerals (K + Ch)/(I + S) 1 | 0.46 | 0.66 | 0.36 | 0.25 | 0.55 | 0.45 | 0.50 | |
| Quartz and feldspars (%) | 30 | 50 | 69 | 40 | 12 | 29.5 | 39 | |
| Plastic limit (%) | 23 | 15 | 15 | 27 | 28 | 23 | 21 | |
| Liquid limit (%) | 42 | 27 | 37 | 51 | 66 | 53 | 42 | |
| Plasticity index (%) | 19 | 12 | 22 | 24 | 38 | 29 | 21 | |
| Saturated hydraulic conductivity in situ, ±SD (m/s) | 1.04 × 10−9 ± 1.6 × 10−10 | 4.73 × 10−10 ± 1.5 × 10−11 | 1.16 × 10−10 ± 1.3 × 10−11 | 1.00 × 10−10 ± 1.9 × 10−11 | 2.05 × 10−10 ± 1.6 × 10−11 | 2.51 × 10−10 ± 1.4 × 10−11 | 5.81 × 10−10 ± 9.9 × 10−11 | |
| Substrate | Mean rs (−) ±SD | Deformation Type | Mean COLE (−) ±SD | Shrinkage Potential |
|---|---|---|---|---|
| Chotylow | 2.48 ± 0.41 | predominant vertical | 0.022 ± 0.004 | low |
| Gawlowka | 2.22 ± 0.26 | predominant vertical | 0.024 ± 0.008 | low |
| Jelen | 2.81 ± 0.45 | predominant vertical | 0.057 ± 0.009 | moderate |
| Markowicze | 3.79 ± 0.27 | predominant horizontal | 0.035 ± 0.011 | moderate |
| Mejznerzyn | 3.14 ± 0.31 | predominant horizontal | 0.107 ± 0.015 | very high |
| Pawlow | 2.68 ± 0.30 | predominant vertical | 0.085 ± 0.012 | high |
| Zgorznica | 2.15 ± 0.23 | predominant vertical | 0.026 ± 0.004 | low |
© 2018 by the authors. Licensee MDPI, Basel, Switzerland. This article is an open access article distributed under the terms and conditions of the Creative Commons Attribution (CC BY) license (http://creativecommons.org/licenses/by/4.0/).
Share and Cite
Widomski, M.K.; Stępniewski, W.; Musz-Pomorska, A. Clays of Different Plasticity as Materials for Landfill Liners in Rural Systems of Sustainable Waste Management. Sustainability 2018, 10, 2489. https://doi.org/10.3390/su10072489
Widomski MK, Stępniewski W, Musz-Pomorska A. Clays of Different Plasticity as Materials for Landfill Liners in Rural Systems of Sustainable Waste Management. Sustainability. 2018; 10(7):2489. https://doi.org/10.3390/su10072489
Chicago/Turabian StyleWidomski, Marcin Konrad, Witol Stępniewski, and Anna Musz-Pomorska. 2018. "Clays of Different Plasticity as Materials for Landfill Liners in Rural Systems of Sustainable Waste Management" Sustainability 10, no. 7: 2489. https://doi.org/10.3390/su10072489
APA StyleWidomski, M. K., Stępniewski, W., & Musz-Pomorska, A. (2018). Clays of Different Plasticity as Materials for Landfill Liners in Rural Systems of Sustainable Waste Management. Sustainability, 10(7), 2489. https://doi.org/10.3390/su10072489

