Balancing Urban Biodiversity Needs and Resident Preferences for Vacant Lot Management
Abstract
1. Introduction
2. Materials and Methods
2.1. Study Area
2.2. Site Selection
2.3. Vacant Lot Settings and Origins
2.4. Plant and Bird Community
2.5. Residents’ Preference
2.6. Statistical Analyses
3. Results
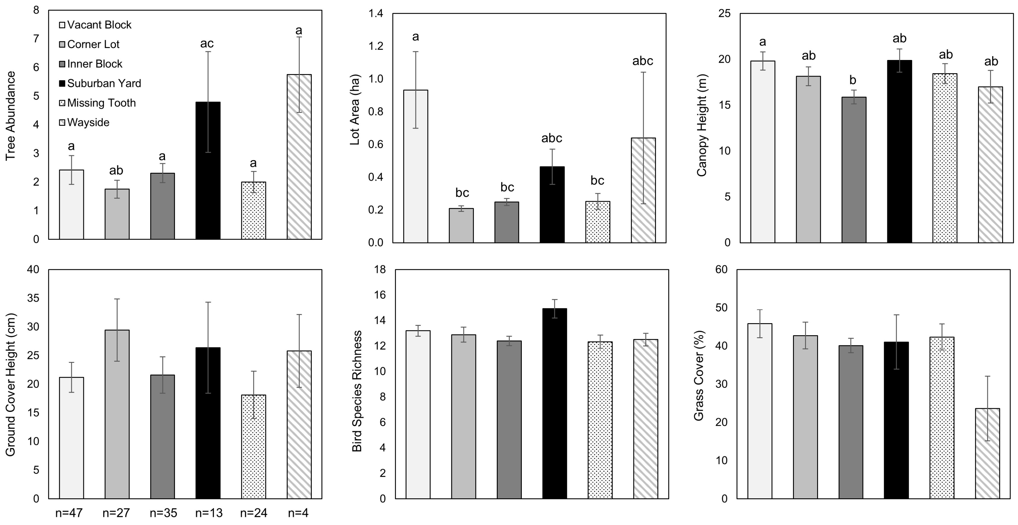
3.1. Vacant Lot Characteristics
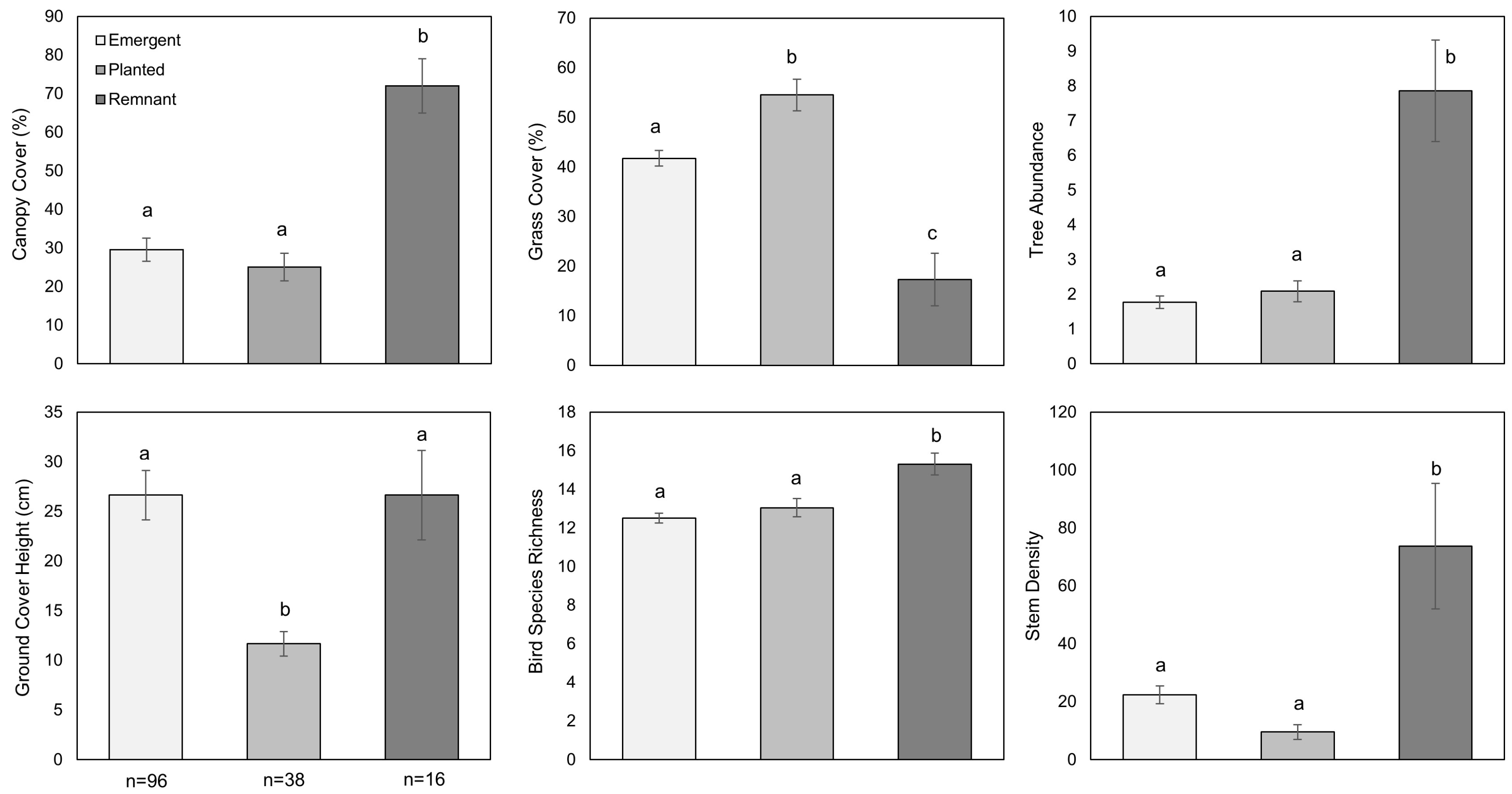
3.2. Vegetation
3.3. Bird Community
3.4. Resident Preferences
3.5. Sustainable Vacant Lots
4. Discussion
5. Conclusions
Supplementary Materials
Author Contributions
Acknowledgments
Conflicts of Interest
Appendix A
| Guild | Species | Suburban Yard | Wayside | |
|---|---|---|---|---|
| Exploiter | Chimney swift | Chaetura pelagica | X | X |
| European starling | Sturnus vulgaris | X | X | |
| House finch | Carpodacus mexicanus | X | X | |
| House sparrow | Passer domesticus | X | X | |
| Mourning dove | Zenaida macroura | X | X | |
| Rock dove | Columba livia | X | X | |
| Adaptor | American crow | Crovus brachyrhynchos | X | |
| American goldfinch | Carduelis tristis | X | ||
| American robin | Turdus migratorius | X | X | |
| Barn swallow | Hirundo rustica | X | ||
| Blue jay | Cyanocitta cristata | X | X | |
| Brown-headed cowbird | Molothrus ater | X | ||
| Carolina wren | Thryothorus ludovicianus | X | X | |
| Chipping sparrow | Spizella passerina | X | ||
| Common grackle | Quiscalus quiscula | X | X | |
| Common yellowthroat | Geothlypis trichas | X | ||
| Eastern kingbird | Tyrannus tryannus | X | ||
| Fish crow | Corvus ossifragus | X | ||
| Gray catbird | Dumetella carolinensis | X | X | |
| House wren | Troglodytes aedon | X | ||
| Indigo bunting | Passerina cyanea | X | X | |
| Northern cardinal | Cardinalis cardinalis | X | X | |
| Northern mockingbird | Mimus polyglottos | X | X | |
| Ring-billed gull | Larus delawarensis | X | X | |
| Ruby-throated hummingbird | Archilochus colubris | X | ||
| Song sparrow | Melospiza melodia | X | X | |
| Avoider | American redstart | Setophaga ruticilla | X | |
| Blue-gray gnatcatcher | Polioptila caerulea | X | ||
| Carolina chickadee | Poecile carolinensis | X | X | |
| Downy woodpecker | Picoides pubescens | X | ||
| Eastern towhee | Pipilo erythrophthalmus | X | ||
| Eastern wood-peewee | Contopus virens | X | ||
| Hairy woodpecker | Leuconotopicus villosus | X | ||
| Northern flicker | Colaptes auratus | X | ||
| Northern parula | Setophaga americana | X | ||
| Red-bellied woodpecker | Melanerpes carolinus | X | X | |
| Tufted titmouse | Baeolophus bicolor | X | X | |
| White-breasted nuthatch | Sitta carolinensis | X | ||
| Wilson’s warbler | Cardellina pusilla | X | ||
| Wood thrush | Hylocichla mustelina | X | ||
| Yellow-billed cuckoo | Coccyzus americanus | X | ||
| Species | Emergent | Planted | Remnant | |
|---|---|---|---|---|
| Balsam fir | Abies balsamea | X | ||
| Box elder | Acer negundo | X | X | X |
| Norway maple * | Acer platanoides | X | X | X |
| Red maple | Acer rubrum | X | X | X |
| Silver maple | Acer saccharinum | X | X | X |
| Sugar maple | Acer saccharum | X | X | |
| Horse chestnut * | Aesculus hippocastanum | X | ||
| Tree of heaven * | Ailanthus altissima | X | X | |
| American hornbeam | Carpinus caroliniana | X | ||
| Bitternut hickory | Carya cordiformis | X | X | X |
| Pignut hickory | Carya glabra | X | X | |
| Shagbark hickory | Carya ovata | X | ||
| Mockernut hickory | Carya tomentosa | X | ||
| Southern catalpa | Catalpa bignonioides | X | ||
| Northern catalpa | Catalpa speciosa | X | ||
| Common hackberry | Celtis occidentalis | X | X | X |
| Eastern redbud | Cercis canadensis | X | X | |
| Atlantic white cedar | Chamaecyparis thyoides | X | ||
| Flowering dogwood | Cornus florida | X | ||
| Persimmon | Diospyros virginiana | X | X | |
| American beech | Fagus grandifolia | X | X | |
| Green ash | Fraxinus pennsylvanica | X | X | X |
| Ginkgo * | Ginkgo biloba | X | ||
| Honeylocust | Gleditsia triacanthos | X | X | X |
| American holly | Ilex opaca | X | X | |
| Black walnut | Juglans nigra | X | X | X |
| Common juniper | Juniperus communis | X | ||
| Eastern red cedar | Juniperus virginiana | X | X | |
| Crapemyrtle * | Lagerstroemia indica | X | ||
| Tamarack | Larix laricina | X | ||
| Sweetgum | Liquidambar styraciflua | X | ||
| Tuliptree | Liriodendron tulipifera | X | X | X |
| Osage-orange | Maclura pomifera | X | X | |
| Southern magnolia | Magnolia grandiflora | X | ||
| Sweetbay | Magnolia virginiana | X | X | |
| Chinese magnolia * | Magnolia x soulangiana | X | ||
| Apple | Malus spp. | X | ||
| White mulberry * | Morus alba | X | X | X |
| Paper mulberry * | Morus papyrifera | X | ||
| Blackgum | Nyssa sylvatica | X | X | |
| Princesstree * | Paulownia tomentosa | X | X | |
| Norway spruce * | Picea abies | X | X | |
| Shortleaf pine | Pinus echinata | X | ||
| Austrian pine * | Pinus nigra | X | ||
| Eastern white pine | Pinus strobus | X | X | |
| American sycamore | Platanus occidentalis | X | X | X |
| Cherry plum * | Prunus cerasifera | X | ||
| Black cherry | Prunus serotina | X | X | X |
| Callery pear * | Pyrus calleryana | X | X | X |
| White oak | Quercus alba | X | X | X |
| Southern red oak | Quercus falcata | X | X | |
| Pin oak | Quercus palustris | X | ||
| Willow oak | Quercus phellos | X | X | |
| Red oak | Quercus rubra | X | X | X |
| Black oak | Quercus velutina | X | ||
| Black locust | Robinia pseudoacacia | X | X | X |
| Arborvitae | Thuja occidentalis | X | ||
| American basswood | Tilia americana | X | X | |
| Eastern hemlock | Tsuga canadensis | X | ||
| Chinese elm * | Ulmus parvifolia | X | ||
| Siberian elm * | Ulmus pumila | X | ||


References
- Barron, P.; Mariani, M. Terrain Vague: Interstices at the Edge of the Pale; Routledge: New York, NY, USA, 2013. [Google Scholar]
- Rupprecht, C.D.D.; Byrne, J.A.; Garden, J.G.; Hero, J.-M. Informal urban green space: A trilingual systematic review of its role for biodiversity and trends in the literature. Urban For. Urban Green. 2015, 14, 883–908. [Google Scholar] [CrossRef]
- Newman, G.D.; Bowman, A.O.M.; Lee, R.J.; Kim, B. A current inventory of vacant urban land in America. J. Urban Design 2016, 21, 302–319. [Google Scholar] [CrossRef]
- Bowman, A.O.M.; Pagano, M.A. Terra Incognita: Vacant Land and Urban Strategies; Georgetown University Press: Washington, DC, USA, 2004. [Google Scholar]
- Kim, G. The public value of urban vacant land: Social responses and ecological value. Sustainability 2016, 8, 486. [Google Scholar] [CrossRef]
- Meffert, P.J.; Dziock, F. What determines occurrence of threatened bird species on urban wastelands? Biol. Conserv. 2012, 153, 87–96. [Google Scholar] [CrossRef]
- Haase, D.; Haase, A.; Rink, D. Conceptualizing the nexus between urban shrinkage and ecosystem services. Landsc. Urban Plan. 2014, 132, 159–169. [Google Scholar] [CrossRef]
- Rega-Brodsky, C.C.; Nilon, C.H. Forest cover is important across multiple scales for bird communities in vacant lots. Urban Ecosyst. 2016, 20, 561–571. [Google Scholar] [CrossRef]
- Burkholder, S. The new ecology of vacancy: Rethinking land use in shrinking cities. Sustainability 2012, 4, 1154–1172. [Google Scholar] [CrossRef]
- Bonthoux, S.; Brun, M.; Di Pietro, F.; Greulich, S.; Bouché-Pillon, S. How can wastelands promote biodiversity in cities? A review. Landsc. Urban Plan. 2014, 132, 79–88. [Google Scholar] [CrossRef]
- Hofmann, M.; Westermann, J.R.; Kowarik, I.; van der Meer, E. Perceptions of parks and urban derelict land by landscape planners and residents. Urban For. Urban Green. 2012, 11, 303–312. [Google Scholar] [CrossRef]
- Kremer, P.; Hamstead, Z.A.; McPhearson, T. A social–ecological assessment of vacant lots in New York City. Landsc. Urban Plan. 2013, 120, 218–233. [Google Scholar] [CrossRef]
- Nassauer, J.I.; Raskin, J. Urban vacancy and land use legacies: A frontier for urban ecological research, design, and planning. Landsc. Urban Plan. 2014, 125, 245–253. [Google Scholar] [CrossRef]
- Kowarik, I. Urban wilderness: Supply, demand, and access. Urban For. Urban Green. 2018, 29, 336–347. [Google Scholar] [CrossRef]
- Spirn, A.W.; Pollio, M. Vacant Land: A Resource for Reshaping Urban Neighborhoods; West Philadelphia Landscape Plan, Department of Landscape Architecture and Regional Planning, University of Pennsylvania: Philadelphia, PA, USA, 1991. [Google Scholar]
- Johnson, A.L.; Tauzer, E.C.; Swan, C.M. Human legacies differentially organize functional and phylogenetic diversity of urban herbaceous plant communities at multiple spatial scales. Appl. Veg. Sci. 2015, 18, 513–527. [Google Scholar] [CrossRef]
- Mathey, J.; Arndt, T.; Banse, J.; Rink, D. Public perception of spontaneous vegetation on brownfields in urban areas—results from surveys in Dresden and Leipzig (Germany). Urban For. Urban Green. 2018, 29, 384–392. [Google Scholar] [CrossRef]
- Németh, J.; Langhorst, J. Rethinking urban transformation: Temporary uses for vacant land. Cities 2014, 40, 143–150. [Google Scholar] [CrossRef]
- Zipperer, W.C. Species composition and structure of regenerated and remnant forest patches within an urban landscape. Urban Ecosyst. 2002, 6, 271–290. [Google Scholar] [CrossRef]
- Kim, G.; Miller, P.; Nowak, D. The value of green infrastructure on vacant and residential land in Roanoke, Virginia. Sustainability 2016, 8, 296. [Google Scholar] [CrossRef]
- Bastin, L.; Thomas, C.D. The distribution of plant species in urban vegetation fragments. Landsc. Ecol. 1999, 14, 493–507. [Google Scholar] [CrossRef]
- Johnson, A.L.; Borowy, D.; Swan, C.M. Land use history and seed dispersal drive divergent plant community assembly patterns in urban vacant lots. J. Appl. Ecol. 2018, 55, 451–460. [Google Scholar] [CrossRef]
- Accordino, J.; Johnson, G.T. Addressing the vacant and abandoned property problem. J. Urban Aff. 2000, 22, 301–315. [Google Scholar] [CrossRef]
- Nassauer, J.I. Messy ecosystems, orderly frames. Landsc. J. 1995, 14, 161–170. [Google Scholar] [CrossRef]
- Anderson, E.C.; Minor, E.S. Vacant lots: An underexplored resource for ecological and social benefits in cities. Urban For. Urban Green. 2017, 21, 146–152. [Google Scholar] [CrossRef]
- Rega-Brodsky, C.C.; Nilon, C.H. Vacant lots as a habitat resource: Nesting success and body condition of songbirds. Ecosphere 2016, 7, 1–11. [Google Scholar] [CrossRef]
- Aronson, M.F.J.; Lepczyk, C.A.; Evans, K.L.; Goddard, M.A.; Lerman, S.B.; MacIvor, J.S.; Nilon, C.H.; Vargo, T. Biodiversity in the city: Key challenges for urban green space management. Front. Ecol. Environ. 2017, 15, 189–196. [Google Scholar] [CrossRef]
- Lerman, S.B.; Contosta, A.R.; Milam, J.; Bang, C. To mow or to mow less: Lawn mowing frequency affects bee abundance and diversity in suburban yards. Biol. Conserv. 2018, 221, 160–174. [Google Scholar] [CrossRef]
- Lindemann-Matthies, P.; Junge, X.; Matthies, D. The influence of plant diversity on people’s perception and aesthetic appreciation of grassland vegetation. Biol. Conserv. 2010, 143, 195–202. [Google Scholar] [CrossRef]
- Lindemann-Matthies, P.; Marty, T. Does ecological gardening increase species richness and aesthetic quality of a garden? Biol. Conserv. 2013, 159, 37–44. [Google Scholar] [CrossRef]
- Unterweger, P.A.; Schrode, N.; Betz, O. Urban nature: Perception and acceptance of alternative green space management and the change of awareness after provision of environmental information. A chance for biodiversity protection. Urban Sci. 2017, 1, 24. [Google Scholar] [CrossRef]
- Northam, R.M. Vacant urban land in the American city. Land Econ. 1971, 47, 345–355. [Google Scholar] [CrossRef]
- Qiu, L.; Lindberg, S.; Nielsen, A.B. Is biodiversity attractive?—On-site perception of recreational and biodiversity values in urban green space. Landsc. Urban Plan. 2013, 119, 136–146. [Google Scholar] [CrossRef]
- Gobster, P.H.; Nassauer, J.I.; Daniel, T.C.; Fry, G. The shared landscape: What does aesthetics have to do with ecology? Landsc. Ecol. 2007, 22, 959–972. [Google Scholar] [CrossRef]
- U.S. Census Bureau. State and County Quickfacts; U.S. Department of Commerce: Washington, DC, USA, 2014.
- Pallagst, K.; Wiechmann, T.; Martinez-Fernandez, C. Shrinking Cities: International Perspectives and Policy Implications; Routledge: New York, NY, USA, 2015. [Google Scholar]
- Housing and Urban Renewal; Chapter 13 § 11; Baltimore City Department of Legislative Reference: Baltimore, MD, USA, 2017.
- Hayward, M.E.; Belfoure, C. The Baltimore Rowhouse; Princeton Architectural Press: New York, NY, USA, 1999. [Google Scholar]
- Zipperer, W.; Sisinni, S.; Pouyat, R.; Foresman, T. Urban tree cover: An ecological perspective. Urban Ecosyst. 1997, 1, 229–246. [Google Scholar] [CrossRef]
- Angelstam, P.; Roberge, J.-M.; Lõhmus, A.; Bergmanis, M.; Brazaitis, G.; Breuss, M.; Edenius, L.; Kosinski, Z.; Kurlavicius, P.; Lārmanis, V.; et al. Habitat modelling as a tool for landscape-scale conservation—A review of parameters for focal forest birds. Ecol. Bull. 2004, 51, 427–453. [Google Scholar]
- Sandström, U.G.; Angelstam, P.; Mikusiński, G. Ecological diversity of birds in relation to the structure of urban green space. Landsc. Urban Plan. 2006, 77, 39–53. [Google Scholar] [CrossRef]
- James, F.C.; Shugart, H.H. A quantitative method of habitat description. Audubon Field Notes 1970, 24, 727–736. [Google Scholar]
- Baltimore Office of Sustainability. Vacant Land Cover; Baltimore Office of Sustainability: Baltimore, MD, USA, 2012. [Google Scholar]
- Bibby, C.J.; Burgess, N.D.; Hill, D.A. Bird Census Techniques, 2nd ed.; Academic Press Limited: Cambridge, MA, USA, 2000. [Google Scholar]
- Goodman, L.A. Snowball sampling. Ann. Math. Stat. 1961, 32, 148–170. [Google Scholar] [CrossRef]
- Nassauer, J.I. Care and stewardship: From home to planet. Landsc. Urban Plan. 2011, 100, 321–323. [Google Scholar] [CrossRef]
- Kaplan, R.; Kaplan, S.; Brown, T. Environmental preference: A comparison of four domains of predictors. Environ. Behav. 1989, 21, 509–530. [Google Scholar] [CrossRef]
- McCune, B.; Mefford, M.J. PC-ORD. Multivariate Analysis of Ecological Data; Version 7; MjM Software Design: Gleneden Beach, OR, USA, 2016. [Google Scholar]
- R Core Team. R: A Language and Environment for Statistical Computing; R Foundation for Statistical Computing: Vienna, Austria, 2016; Available online: https://www.R-project.org (accessed on 18 April 2018).
- Weber, R.P. Basic Content Analysis; Sage: Newbury Park, CA, USA, 1990. [Google Scholar]
- Huang, R. RQDA: R-Based Qualitative Data Analysis; R Package Version 0.2-7; Sage Publications: Thousand Oaks, CA, USA, 2014. [Google Scholar]
- Blair, R.B. Land use and avian species diversity along an urban gradient. Ecol. Appl. 1996, 6, 506–519. [Google Scholar] [CrossRef]
- Schwarz, K.; Fragkias, M.; Boone, C.G.; Zhou, W.; McHale, M.; Grove, J.M.; O’Neil-Dunne, J.; McFadden, J.P.; Buckley, G.L.; Childers, D.; et al. Trees grow on money: Urban tree canopy cover and environmental justice. PLoS ONE 2015, 10, e0122051. [Google Scholar] [CrossRef] [PubMed]
- Holtan, M.T.; Dieterlen, S.L.; Sullivan, W.C. Social life under cover: Tree canopy and social capital in Baltimore, Maryland. Environ. Behav. 2014, 47, 502–525. [Google Scholar] [CrossRef]
- Battaglia, M.; Buckley, G.L.; Galvin, M.; Grove, J.M. It’s not easy going green: Obstacles to tree-planting programs in East Baltimore. Cities Environ. 2014, 7, 6. [Google Scholar]
- Carbó-Ramírez, P.; Zuria, I. The value of small urban greenspaces for birds in a Mexican city. Landsc. Urban Plan. 2011, 100, 213–222. [Google Scholar] [CrossRef]
- Ferenc, M.; Sedláček, O.; Fuchs, R. How to improve urban greenspace for woodland birds: Site and local-scale determinants of bird species richness. Urban Ecosyst. 2014, 17, 625–640. [Google Scholar] [CrossRef]
- MacGregor-Fors, I. Relation between habitat attributes and bird richness in a western Mexico suburb. Landsc. Urban Plan. 2008, 84, 92–98. [Google Scholar] [CrossRef]
- Barth, B.J.; FitzGibbon, S.I.; Wilson, R.S. New urban developments that retain more remnant trees have greater bird diversity. Landsc. Urban Plan. 2015, 136, 122–129. [Google Scholar] [CrossRef]
- Dearborn, D.C.; Kark, S. Motivations for conserving urban biodiversity. Conserv. Biol. 2010, 24, 432–440. [Google Scholar] [CrossRef] [PubMed]
- Lindenmayer, D.B.; Franklin, J.F.; Fischer, J. General management principles and a checklist of strategies to guide forest biodiversity conservation. Biol. Conserv. 2006, 131, 433–445. [Google Scholar] [CrossRef]
- Ulrich, R.S. Human responses to vegetation and landscapes. Landsc. Urban Plan. 1986, 13, 29–44. [Google Scholar] [CrossRef]
- Kuo, F.E.; Sullivan, W.C.; Coley, R.L.; Brunson, L. Fertile ground for community: Inner-city neighborhood common spaces. Am. J. Community Psychol. 1998, 26, 823–851. [Google Scholar] [CrossRef]
- Bjerke, T.; Østdahl, T.; Thrane, C.; Strumse, E. Vegetation density of urban parks and perceived appropriateness for recreation. Urban For. Urban Green. 2006, 5, 35–44. [Google Scholar] [CrossRef]
- Ode, Å.; Fry, G.; Tveit, M.S.; Messager, P.; Miller, D. Indicators of perceived naturalness as drivers of landscape preference. J. Environ. Manag. 2009, 90, 375–383. [Google Scholar] [CrossRef] [PubMed]
- Stankey, G.H.; Shindler, B. Formation of social acceptability judgments and their implications for management of rare and little-known species. Conserv. Biol. 2006, 20, 28–37. [Google Scholar] [CrossRef] [PubMed]
- Shindler, B.A.; Brunson, M.; Stankey, G.H. Social Acceptability of Forest Conditions and Management Practices: A Problem Analysis; Gen. Tech. Rep. PNW-GTR-537; U.S. Department of Agriculture, Forest Service, Pacific Northwest Research Station: Portland, OR, USA, 2002.
- Harrison, C.M.; Burgess, J. Social constructions of nature: A case study of conflicts over the development of rainham marshes. Trans. Inst. Br. Geogr. 1994, 19, 291–310. [Google Scholar] [CrossRef]
- Newman, G.D.; Smith, A.L.; Brody, S.D. Repurposing vacant land through landscape connectivity. Landsc. J. 2017, 36, 37–57. [Google Scholar] [CrossRef]
- Boone, C.G.; Buckley, G.L.; Grove, J.M.; Sister, C. Parks and people: An environmental justice inquiry in Baltimore, Maryland. Ann. Assoc. Am. Geogr. 2009, 99, 767–787. [Google Scholar] [CrossRef]
- Vaughan, K.B.; Kaczynski, A.T.; Wilhelm Stanis, S.A.; Besenyi, G.M.; Bergstrom, R.; Heinrich, K.M. Exploring the distribution of park availability, features, and quality across Kansas City, Missouri by income and race/ethnicity: An environmental justice investigation. Ann. Behav. Med. 2013, 45, 28–38. [Google Scholar] [CrossRef] [PubMed]
- Rigolon, A. A complex landscape of inequity in access to urban parks: A literature review. Landsc. Urban Plan. 2016, 153, 160–169. [Google Scholar] [CrossRef]
- USDA. PLANTS Database. 2018. Available online: https://plants.usda.gov/ (accessed on 13 May 2018).






| Lot Characteristic | Setting | Origin | |||||||
|---|---|---|---|---|---|---|---|---|---|
| Vacant Block | Corner Lot | Inner Block | Suburban Yard | Missing Tooth | Wayside | Emergent | Planted | Remnant | |
| n (%) | 47 (31%) | 27 (18%) | 35 (23%) | 13 (9%) | 24 (16%) | 4 (3%) | 96 (64%) | 38 (25%) | 16 (11%) |
| Lot Area (ha) | 0.93 (0.13) | 0.21 (0.00) | 0.25 (0.01) | 0.46 (0.03) | 0.25 (0.01) | 0.64 (0.06) | 0.39 (0.08) | 0.52 (0.04) | 0.97 (0.06) |
| Ground Cover Height (cm) | 21.18 (1.47) | 29.43 (2.30) | 21.60 (1.54) | 26.36 (2.33) | 18.14 (1.64) | 25.79 (1.03) | 26.64 (1.98) | 11.67 (0.62) | 26.66 (1.47) |
| Artificial Ground Cover (%) | 8.04 (0.97) | 9.88 (1.44) | 10.35 (0.96) | 0.74 (0.11) | 7.86 (1.12) | 7.25 (0.74) | 10.22 (1.22) | 5.24 (0.58) | 3.38 (0.62) |
| Grass Ground Cover (%) | 45.83 (2.04) | 42.73 (1.47) | 40.12 (0.92) | 41.03 (2.09) | 42.35 (1.35) | 23.67 (1.38) | 41.75 (1.24) | 54.51 (1.60) | 17.29 (1.73) |
| Canopy Cover (%) | 29.24 (2.72) | 34.96 (2.53) | 27.49 (1.89) | 38.33 (2.46) | 37.00 (2.53) | 68.86 (3.43) | 29.56 (2.40) | 25.06 (1.80) | 72.04 (2.29) |
| Stem Density (stems/plot) | 19.32 (3.61) | 21.15 (1.54) | 17.10 (1.46) | 47.49 (6.17) | 33.10 (4.18) | 49.21 (2.44) | 22.33 (2.48) | 9.55 (1.25) | 73.72 (7.06) |
| Canopy Height (m) | 19.81 (0.56) | 18.15 (0.43) | 15.89 (0.36) | 19.87 (0.37) | 18.44 (0.44) | 17.00 (0.29) | 17.24 (0.40) | 18.25 (0.44) | 24.83 (0.56) |
| Tree Abundance | 2.42 (0.28) | 1.75 (0.13) | 2.31 (0.16) | 4.79 (0.51) | 2.00 (0.14) | 5.75 (0.21) | 1.77 (0.14) | 2.09 (0.15) | 7.85 (0.47) |
| Average DBH (cm) | 33.66 (2.26) | 36.42 (2.34) | 31.71 (1.95) | 30.54 (1.75) | 36.16 (1.95) | 41.31 (2.30) | 33.20 (2.16) | 36.56 (2.18) | 33.07 (1.44) |
| Tree Species Richness | 1.36 (0.11) | 1.22 (0.08) | 1.34 (0.08) | 2.03 (0.14) | 1.54 (0.10) | 2.17 (0.04) | 1.15 (0.08) | 1.50 (0.09) | 3.04 (0.13) |
| Bird Species Richness | 13.19 (0.23) | 12.89 (0.24) | 12.40 (0.17) | 14.92 (0.21) | 12.33 (0.20) | 12.50 (0.08) | 12.51 (0.20) | 13.05 (0.24) | 15.31 (0.18) |
| Independent Variable | Dependent Variable | F | P |
|---|---|---|---|
| Setting | Lot area (ha) | 3.43 | 0.006 |
| Ground cover height (cm) | 0.88 | 0.50 | |
| Grass ground cover (%) | 1.00 | 0.42 | |
| Artificial ground cover (%) | 1.33 | 0.26 | |
| Tree species richness | 1.09 | 0.39 | |
| Tree abundance | 2.89 | 0.016 | |
| Tree DBH (cm) | 0.25 | 0.94 | |
| Canopy height (m) | 2.21 | 0.056 | |
| Canopy cover (%) | 1.67 | 0.14 | |
| Stem density | 1.73 | 0.13 | |
| Bird species richness | 2.08 | 0.072 | |
| Origin | Lot area (ha) | 2.58 | 0.079 |
| Ground cover height (cm) | 7.53 | <0.001 | |
| Grass ground cover (%) | 25.56 | <0.001 | |
| Artificial ground cover (%) | 2.15 | 0.12 | |
| Tree species richness | 19.02 | <0.001 | |
| Tree abundance | 40.05 | <0.001 | |
| Tree DBH (cm) | 0.24 | 0.78 | |
| Canopy height (m) | 14.09 | <0.001 | |
| Canopy cover (%) | 18.22 | <0.001 | |
| Stem density | 16.78 | <0.001 | |
| Bird species richness | 8.03 | <0.001 |
| Lot | Preference Rank | Most Preferred (%) | Least Preferred (%) |
|---|---|---|---|
| A | 3.38 (0.12) | 63.6 | 15.9 |
| B | 2.60 (0.13) | 20.5 | 38.6 |
| C | 3.29 (0.10) | 59.1 | 6.8 |
| D | 2.67 (0.11) | 31.8 | 15.9 |
| E | 3.83 (0.08) | 77.3 | 2.3 |
| F | 2.74 (0.14) | 27.3 | 25.0 |
| G | 1.48 (0.12) | 0 | 84.1 |
| H | 2.43 (0.11) | 6.8 | 61.4 |
| Lot Characteristic | Urban Biodiversity | Resident Preferences | |
|---|---|---|---|
| Setting | Vacant Block | + Common, large area | + Features: Trees, shade |
| + Wildlife habitat: Greater canopy cover | |||
| Corner Lot | − Small in area | + Access: Surrounded by rowhomes | |
| − Wildlife habitat: Fewer trees | |||
| Inner Block | − Small in area | + Access: Surrounded by rowhomes | |
| Suburban Yard | + Wildlife habitat: More trees, canopy cover | + Trees, shade + Access: Surrounded by single family homes | |
| Missing Tooth | − Small in area | + Access: Surrounded by rowhomes | |
| Wayside | + Large in total area | − Near busy, dangerous transportation routes | |
| − Narrow lots, edge habitat | |||
| Origin | Emergent | + Common | − Low preference rank |
| + Wildlife habitat: Tall grass | − Association with trash, unwanted pests, illegal activities | ||
| − Lack of visible care with tall grass | |||
| Planted | − Wildlife habitat: Lawn | + High preference rank | |
| + Landscaped lawns | |||
| + Preferred future use (Community gardens, flowers) | |||
| Remnant | + Wildlife habitat: More trees, canopy cover, shrub cover | + High preference rank | |
| + More bird species | + Trees, shade | ||
| − Rare in urban areas | − Less lawn, tall ground cover, dense shrubs | ||
© 2018 by the authors. Licensee MDPI, Basel, Switzerland. This article is an open access article distributed under the terms and conditions of the Creative Commons Attribution (CC BY) license (http://creativecommons.org/licenses/by/4.0/).
Share and Cite
Rega-Brodsky, C.C.; Nilon, C.H.; Warren, P.S. Balancing Urban Biodiversity Needs and Resident Preferences for Vacant Lot Management. Sustainability 2018, 10, 1679. https://doi.org/10.3390/su10051679
Rega-Brodsky CC, Nilon CH, Warren PS. Balancing Urban Biodiversity Needs and Resident Preferences for Vacant Lot Management. Sustainability. 2018; 10(5):1679. https://doi.org/10.3390/su10051679
Chicago/Turabian StyleRega-Brodsky, Christine C., Charles H. Nilon, and Paige S. Warren. 2018. "Balancing Urban Biodiversity Needs and Resident Preferences for Vacant Lot Management" Sustainability 10, no. 5: 1679. https://doi.org/10.3390/su10051679
APA StyleRega-Brodsky, C. C., Nilon, C. H., & Warren, P. S. (2018). Balancing Urban Biodiversity Needs and Resident Preferences for Vacant Lot Management. Sustainability, 10(5), 1679. https://doi.org/10.3390/su10051679

