Aesthetic Experience as an Essential Factor to Trigger Positive Environmental Consciousness
Abstract
:1. Introduction
2. Environmental Attitude, Behavioral Intention, and Behavior in Traditional Social Science
3. Aesthetic Experience and Environmental Protection
3.1. Nature as a Source of Aesthetic Experience
3.2. Relationship between Environmental Aesthetics and Environmental Ethics
4. Method
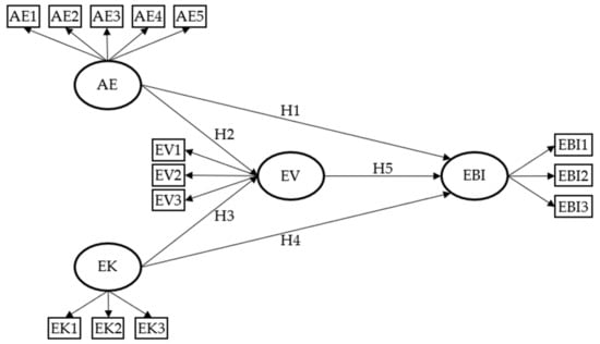
4.1. Development of Hypothesized Model
4.2. Data Collection and Scale Construction
4.3. Data Processing
5. Results
5.1. Participant Demographics
5.2. Reliability and Validity Analysis for Each Latent Construct
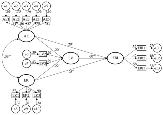
5.3. Analysis of the Structural Model
6. Discussion
6.1. Environmental Knowledge Emphasized by Traditional Models Was Conducive to Predicting Behavioral Intentions
6.2. Aesthetic Experience Proved to be an Effective Dimension in the Environmental Attitude Model
6.3. Complementary Influences and Interaction of Rational Cognition and Emotional Perception
7. Conclusions
Acknowledgments
Author Contributions
Conflicts of Interest
References
- Allport, G.W. Attitudes. In Handbook of Social Psychology; Murchison, C., Ed.; Clark University Press: Worcester, MA, USA, 1935; pp. 798–844. [Google Scholar]
- Kaiser, F.G.; Ranney, M.; Hartig, T.; Bowler, P.A. Ecological behavior, environmental attitude, and feelings of responsibility for the environment. Eur. Psychol. 1999, 4, 59. [Google Scholar] [CrossRef]
- Kollmuss, A.; Agyeman, J. Mind the gap: Why do people act environmentally and what are the barriers to pro-environmental behavior? Environ. Educ. Res. 2002, 8, 239–260. [Google Scholar] [CrossRef]
- Ramsey, C.E.; Rickson, R.E. Environmental knowledge and attitudes. J. Environ. Educ. 1976, 8, 10–18. [Google Scholar] [CrossRef]
- Otto, S.; Pensini, P. Nature-based environmental education of children: Environmental knowledge and connectedness to nature, together, are related to ecological behavior. Global Environ. Chang. 2017, 47, 88–94. [Google Scholar] [CrossRef]
- Hargrove, E.C. Foundations of Environmental Ethics; Prentice-Hall: Englewood Cliffs, NJ, USA, 1989. [Google Scholar]
- Callicott, J.B. Companion to a Sand County Almanac: Interpretive & Critical Essays; University of Wisconsin Press: Madison, WI, USA, 1987. [Google Scholar]
- Callicott, J.B. In Defense of the Land Ethic: Essays in Environmental Philosophy, Albany; State University of New York Press: New York, NY, USA, 1989. [Google Scholar]
- Leopold, A. A Sand County Almanc and Sketches Here and There; Oxford University Press: New York, NY, USA, 1949. [Google Scholar]
- Rolston III, H. From beauty to duty: Aesthetics of nature and environmental ethics. In Environment and the Arts: Perspectives on Environmental Aesthetics; Berleant, A., Ed.; Ashgate: Burlington, VT, USA, 2002; pp. 127–141. [Google Scholar]
- Rolston III, H. Environmental Ethics: Duties to and Values in the Natural World; Temple University Press: Philadelphia, PA, USA, 1988. [Google Scholar]
- Rolston III, H. Disvalues in nature. Monist 1992, 75, 250–278. [Google Scholar] [CrossRef]
- Rolston III, H. Aesthetic experience in forests. J. Aesthet. Art Crit. 1998, 56, 157–166. [Google Scholar] [CrossRef]
- Vanstockem, J.; Vranken, L.; Bleys, B.; Somers, B.; Hermy, M. Do Looks Matter? A Case Study on Extensive Green Roofs Using Discrete Choice Experiments. Sustainability 2018, 10, 309. [Google Scholar] [CrossRef]
- Kim, S.; An, K. Exploring Psychological and Aesthetic Approaches of Bio-Retention Facilities in the Urban Open Space. Sustainability 2017, 9, 2067. [Google Scholar] [CrossRef]
- Carroll, N. On being moved by nature: Between religion and natural history. In Landscape, Natural Beauty and the Arts; Kemal, S., Gaskell, I., Eds.; Cambridge University Press: Cambridge, UK, 1995; pp. 244–266. [Google Scholar]
- Bettinghaus, E.P. Health promotion and the knowledge-attitude-behavior continuum. Prev. Med. 1986, 15, 475–491. [Google Scholar] [CrossRef]
- Schwartz, N.E. The Relationship of Nutrition Education to Subsequent Knowledge, Attitudes, and Practices of Ohio High School Graduates. Ph.D. Thesis, The Ohio State University, Columbus, OH, USA, 1973. [Google Scholar]
- Smith, M.B. The personal setting of public opinions: A study of attitudes toward Russia. Public Opin. Q. 1947, 11, 507–523. [Google Scholar] [CrossRef]
- Breckler, S.J. Empirical validation of affect, behavior, and cognition as distinct components of attitude. J. Pers. Soc. Psychol. 1984, 47, 1191. [Google Scholar] [CrossRef] [PubMed]
- Grob, A. A structural model of environmental attitudes and behaviour. J. Environ. Psychol. 1995, 15, 209–220. [Google Scholar] [CrossRef]
- Fishbein, M.; Ajzen, I. Belief, Attitude, Intention and Behavior: An Introduction to Theory and Research; Addison-Wesley: Reading, MA, USA, 1975. [Google Scholar]
- Ajzen, I. From intentions to actions: A theory of planned behavior. In Action-control: From Cognitions to Behavior; Kuhland, J., Beckman, J., Eds.; Springer: Heidelberg, Germany, 1985; pp. 11–39. [Google Scholar]
- Hines, J.M.; Hungerford, H.R.; Tomera, A.N. Analysis and synthesis of research on responsible environmental behavior: A meta-analysis. J. Environ. Educ. 1987, 18, 1–8. [Google Scholar] [CrossRef]
- Stern, P.C.; Dietz, T.; Abel, T.; Guagnano, G.A.; Kalof, L. A value-belief-norm theory of support for social movements: The case of environmentalism. Hum. Ecol. Rev. 1999, 6, 81. [Google Scholar]
- Schwartz, S.H. Normative influences on altruism. Adv. Exp. Soc. Psychol. 1977, 10, 221–279. [Google Scholar]
- Bang, H.K.; Ellinger, A.E.; Hadjimarcou, J.; Traichal, P.A. Consumer concern, knowledge, belief, and attitude toward renewable energy: An application of the reasoned action theory. Psychol. Market. 2000, 17, 449–468. [Google Scholar] [CrossRef]
- Cordano, M.; Frieze, I.H. Pollution reduction preferences of US environmental managers: Applying Ajzen's theory of planned behavior. Acad. Manag. J. 2000, 43, 627–641. [Google Scholar] [CrossRef]
- Han, H.; Hsu, L.T.J.; Sheu, C. Application of the theory of planned behavior to green hotel choice: Testing the effect of environmental friendly activities. Tour. Manag. 2010, 31, 325–334. [Google Scholar] [CrossRef]
- Oreg, S.; Katz-Gerro, T. Predicting proenvironmental behavior cross-nationally: Values, the theory of planned behavior, and value-belief-norm theory. Environ. Behav. 2006, 38, 462–483. [Google Scholar] [CrossRef]
- Hammermeister, K. The German Aesthetic Tradition; Cambridge University Press: Cambridge, UK, 2002. [Google Scholar]
- Kant, I. Critique of Judgment; Pluhar, W.S., Translator; Hackett Publishing Co.: Indianapolis, IN, USA; Cambridge, UK, 1987; (Original work published 1790). [Google Scholar]
- Burke, E. A Philosophical Enquiry into the Origin of Our Ideas of the Sublime and Beautiful; Oxford University Press: Oxford, UK, 1757. [Google Scholar]
- Carlson, A. Nature and Landscape: An Introduction to Environmental Aesthetics; Columbia University Press: New York, NY, USA, 2009. [Google Scholar]
- Hepburn, R. Contemporary aesthetics and the neglect of natural beauty. In The Aesthetics of Natural Environments; Carlson, A., Berleant, A., Eds.; Broadview Press: Peterborough, ON, Canada, 2004; pp. 44–62. [Google Scholar]
- Hepburn, R. ‘Being’ as a concept of aesthetics. Br. J. Aesthet. 1968, 8, 138–146. [Google Scholar] [CrossRef]
- Godlovitch, S. Offending against nature. Environ. Values 1998, 7, 131–150. [Google Scholar] [CrossRef]
- Hepburn, R. Landscape and the metaphysical imagination. In The Aesthetics of Natural Environments; Carlson, A., Berleant, A., Eds.; Broadview Press: Peterborough, ON, Canada, 2004; pp. 127–140. [Google Scholar]
- Lu, D.; Liu, Y.; Lai, I.; Yang, L. Awe: An Important Emotional Experience in Sustainable Tourism. Sustainability 2017, 9, 2189. [Google Scholar] [CrossRef]
- de Lacy, P.; Shackleton, C. Aesthetic and Spiritual Ecosystem Services Provided by Urban Sacred Sites. Sustainability 2017, 9, 1628. [Google Scholar] [CrossRef]
- Schultz, P.W.; Shriver, C.; Tabanico, J.J.; Khazian, A.M. Implicit connections with nature. J. Environ. Psychol. 2004, 24, 31–42. [Google Scholar] [CrossRef]
- Mayer, F.S.; Frantz, C.M. The connectedness to nature scale: A measure of individuals’ feeling in community with nature. J. Environ. Psychol. 2004, 24, 503–515. [Google Scholar] [CrossRef]
- Perrin, J.L.; Benassi, V.A. The connectedness to nature scale: A measure of emotional connection to nature? J. Environ. Psychol. 2009, 29, 434–440. [Google Scholar] [CrossRef]
- Brady, E. Imagination and the aesthetic appreciation of nature. J. Aesthet. Art Crit. 1998, 56, 139–147. [Google Scholar] [CrossRef]
- Geiger, S.M.; Otto, S.; Schrader, U. Mindfully green and healthy: An indirect path from mindfulness to ecological behavior. Front. Psychol. 2017, 8, 02306. [Google Scholar] [CrossRef] [PubMed]
- Knight, A.J. “Bats, snakes and spiders, Oh my!” How aesthetic and negativistic attitudes, and other concepts predict support for species protection. J. Environ. Psychol. 2008, 28, 94–103. [Google Scholar] [CrossRef]
- Kane, A.; Wolter, K.; Neser, W.; Kotze, A.; Naidoo, V.; Monadjem, A. Home range and habitat selection of Cape Vultures Gyps coprotheres in relation to supplementary feeding. Bird Study 2016, 63, 387–394. [Google Scholar] [CrossRef]
- Saito, Y. The aesthetics of unscenic nature. J. Aesthet. Art Crit. 1998, 56, 101–111. [Google Scholar] [CrossRef]
- Lee, L.-H. Perspectives on landscape aesthetics for the ecological conservation of wetlands. Wetlands 2017, 37, 381–389. [Google Scholar] [CrossRef]
- Manesi, Z.; Van Lange, P.A.; Pollet, T.V. Butterfly eyespots: Their potential influence on aesthetic preferences and conservation attitudes. PLoS ONE 2015, 10, e0141433. [Google Scholar] [CrossRef] [PubMed]
- Gobster, P.H.; Nassauer, J.I.; Daniel, T.C.; Fry, G. The shared landscape: What does aesthetics have to do with ecology? Landsc. Ecol. 2007, 22, 959–972. [Google Scholar] [CrossRef]
- Barr, S. Factors influencing environmental attitudes and behaviors: A UK case study of household waste management. Environ. Behav. 2007, 39, 435–473. [Google Scholar] [CrossRef]
- Frick, J.; Kaiser, F.G.; Wilson, M. Environmental knowledge and conservation behavior: Exploring prevalence and structure in a representative sample. Pers. Individ. Dif. 2004, 37, 1597–1613. [Google Scholar] [CrossRef]
- Gifford, R.; Nilsson, A. Personal and social factors that influence pro-environmental concern and behaviour: A review. Int. J. Psychol. 2014, 49, 141–157. [Google Scholar] [CrossRef] [PubMed]
- Kaiser, F.G.; Wölfing, S.; Fuhrer, U. Environmental attitude and ecological behaviour. J. Environ. Psychol. 1999, 19, 1–19. [Google Scholar] [CrossRef]
- Raymond, C.M.; Brown, G.; Robinson, G.M. The influence of place attachment, and moral and normative concerns on the conservation of native vegetation: A test of two behavioural models. J. Environ. Psychol. 2011, 31, 323–335. [Google Scholar] [CrossRef]
- Stamatopoulou, D. Integrating the philosophy and psychology of aesthetic experience: Development of the Aesthetic Experience Scale. Psychol. Rep. 2004, 95, 673–695. [Google Scholar] [CrossRef] [PubMed]
- Popper, K.R. The Logic of Scientific Discovery; Harper & Row: New York, NY, USA, 1959. [Google Scholar]
- Boomsma, A.; Hoogland, J.J. The robustness of LISREL modeling revisited. Structural equation models: Present and future. A Festschrift in Honor of Karl Jöreskog 2001, 2, 139–168. [Google Scholar]
- Iacobucci, D. Structural equations modeling: Fit indices, sample size, and advanced topics. J. Consum. Psychol. 2010, 20, 90–98. [Google Scholar] [CrossRef]
- Hair, J.F.; Black, B.; Babin, B.; Anderson, R.E. Multivariate Data Analysis, 7th ed.; Prentice Hall: Upper Saddle River, NJ, USA, 2010. [Google Scholar]
- Gliem, J.; Gliem, R. Calculating, Interpreting, and Reporting Cronbach’s Alpha Reliability Coefficient for Likert-Type Scales. In Proceedings of the 2003 Midwest Research to Practice Conference in Adult, Continuing and Community Education, The Ohio State University, Columbus, OH, USA, 8–10 October 2003. [Google Scholar]
- Bagozzi, R.P.; Yi, Y. Specification, evaluation, and interpretation of structural equation models. J. Acad. Mark. Sci. 2012, 40, 8–34. [Google Scholar] [CrossRef]
- Onel, N.; Mukherjee, A. Consumer knowledge in pro-environmental behavior: An exploration of its antecedents and consequences. World J. Sci. Technol. Sustain. Dev. 2016, 13, 328–352. [Google Scholar] [CrossRef]
- Salvaggio, M.; Futrell, R.; Batson, C.D.; Brents, B.G. Water scarcity in the desert metropolis: How environmental values, knowledge and concern affect Las Vegas residents’ support for water conservation policy. J. Environ. Plann. Manag. 2014, 57, 588–611. [Google Scholar] [CrossRef]
- Fryxell, G.E.; Lo, C.W. The influence of environmental knowledge and values on managerial behaviours on behalf of the environment: An empirical examination of managers in China. J. Bus. Ethics 2003, 46, 45–69. [Google Scholar] [CrossRef]
- Zareie, B.; Navimipour, N.J. The impact of electronic environmental knowledge on the environmental behaviors of people. Comput. Hum. Behav. 2016, 59, 1–8. [Google Scholar] [CrossRef]
- Bagozzi, R.P.; Dabholkar, P.A. Consumer recycling goals and their effect on decisions to recycle: A means-end chain analysis. Psychol. Market. 1994, 11, 313–340. [Google Scholar] [CrossRef]
- Todd, A.M. The aesthetic turn in green marketing: Environmental consumer ethics of natural personal care products. Ethics Environ. 2004, 9, 86–102. [Google Scholar] [CrossRef]
- de Pinho, J.R.; Grilo, C.; Boone, R.B.; Galvin, K.A.; Snodgrass, J.G. Influence of aesthetic appreciation of wildlife species on attitudes towards their conservation in Kenyan agropastoralist communities. PLoS ONE 2014, 9, e88842. [Google Scholar] [CrossRef] [PubMed]
- Bögeholz, S. Nature experience and its importance for environmental knowledge, values and action: Recent German empirical contributions. Environ. Educ. Res. 2006, 12, 65–84. [Google Scholar] [CrossRef]
- Ford, R.M.; Williams, K.J.; Smith, E.L.; Bishop, I.D. Beauty, belief, and trust: Toward a model of psychological processes in public acceptance of forest management. Environ. Behav. 2014, 46, 476–506. [Google Scholar] [CrossRef]
- Farmer, J.; Knapp, D.; Benton, G.M. An elementary school environmental education field trip: Long-term effects on ecological and environmental knowledge and attitude development. J. Environ. Educ. 2007, 38, 33–42. [Google Scholar] [CrossRef]
- Iared, V.G.; de Oliveira, H.T.; Reid, A. Aesthetic experiences in the Cerrado (Brazilian savanna): Contributions to environmental education practice and research. Environ. Educ. Res. 2017, 23, 1273–1290. [Google Scholar] [CrossRef]
- Fudge, R.S. Imagination and the science-based aesthetic appreciation of unscenic nature. J. Aesthet. Art Crit. 2001, 59, 275. [Google Scholar] [CrossRef]




| LC 1 | α | NCS 2 | TVE 3 | |||
|---|---|---|---|---|---|---|
| OI 1 | Questionnaire Item | M | SD | |||
| AE | 0.93 | 2.694 | ||||
| AE1 | to appreciate a poem more when the form enhances its meaning. | 3.46 | 0.62 | |||
| to realize that the knowledge of weaving increases your enjoyment of tapestry. | ||||||
| to make evaluations of a movie regardless of whether you like it or not. | ||||||
| to appreciate a painting as you realize how its structure is balanced. | ||||||
| to enjoy studying people’s faces. | ||||||
| to realize that the costumes match the meaning of a play, while watching it. | ||||||
| AE2 | to feel fulfilled when surrounded by beautiful things made by you. | 3.58 | 0.60 | |||
| to like a picture because of your color preferences. | ||||||
| to feel distressed because of the disordered landscape. 4 | ||||||
| to cry while watching a film. | ||||||
| to do a painting for your own pleasure. | ||||||
| to find your feet moving in tune with the rhythm of some music. | ||||||
| AE3 | to go away with a smile of pleasure when looking at an everyday scene. | 3.54 | 0.75 | |||
| to forget time when participating in aesthetic activities. | ||||||
| to be tense with expectancy about the final result in aesthetic activities. | ||||||
| to have strong feelings after evaluating your creation. | ||||||
| to feel purified and released after listening to a musical composition. | ||||||
| AE4 | to feel excited when trying to compose music or paint something. | 3.48 | 0.78 | |||
| to enjoy sitting in your room contemplating things made by you. | ||||||
| to feel emotionally enhanced and fulfilled after appreciating an artwork. | ||||||
| to realize that your attempt to apprehend a painting gives you pleasure. | ||||||
| AE5 | to enjoy improvising accompaniments to the songs. | 3.25 | 0.66 | |||
| to realize that the expression in the eyes evokes feelings in you. | ||||||
| to enjoy trying to identify feelings on faces in portraits. | ||||||
| to feel completely absorbed in a work of art or music. | ||||||
| to have an idea for a painting when seeing a misty light. | ||||||
| to think that a photo is spoilt because the background. | ||||||
| to think about some old myths when looking at the sea. | ||||||
| EK | 0.87 | 76.99 | ||||
| EK1 | Melting of the polar ice caps may result in a flooding of shores and islands. | 4.06 | 0.69 | |||
| EK2 | All living beings (micro-organisms, plants, animals, and humans) are | 4.40 | 0.61 | |||
| interdependent with one another. | ||||||
| Poisonous metals are introduced into the food chain, for instance, via ground water. | ||||||
| EK3 | Fossil fuels (e.g., gas, oil) produce CO2 in the atmosphere when burned. | 4.34 | 0.54 | |||
| Poisonous metals remain in the human body. | ||||||
| World climate will probably massively change if CO2 continues to be emitted into the atmosphere in as huge amounts as it is now. | ||||||
| A reduced number of species may interrupt the food chain, affecting some subsequent species in the chain. | ||||||
| N/A | Ozone near the ground may cause respiration problems. 5 | |||||
| EV | 0.74 | 74.90 | ||||
| EV1 | Animals should have legal rights. | 3.70 | 0.73 | |||
| In general, raising animals in cages should be forbidden. | ||||||
| EV2 | Nature must be preserved because God or another supernatural force is part of | 3.49 | 0.96 | |||
| it, even in its non-living aspects. | ||||||
| For everything that I do, including deeds affecting the environment, I am responsible to a supernatural force, for instance God. | ||||||
| EV3 | All organisms' lives are precious and worth preserving. | 3.70 | 0.73 | |||
| The earth's value does not depend on people; it is valuable in itself. | ||||||
| EBI | 0.70 | 69.07 | ||||
| EBI1 | I support raising parking fees in cities. | 3.13 | 0.91 | |||
| I am ready to pay environmental taxes (e.g., raising fuel or automobile taxes). | ||||||
| EBI2 | I support speed limits on freeways (100/80 kph where freeways cross | 3.33 | 0.75 | |||
| residential areas). | ||||||
| I support efforts to create automobile free inner cities. | ||||||
| I would prefer to drive only if absolutely necessary. | ||||||
| EBI3 | My next automobile will be small and as ecologically sound as possible. | 3.82 | 0.65 | |||
| I will travel by automobile or by airplane during my vacations. |
| Participant Background | n 1 | % | Participant Background (Cont.) | n 1 | % |
|---|---|---|---|---|---|
| Gender | Nationality | ||||
| Male | 145 | 52.7 | Local student | 269 | 98.9 |
| Female | 130 | 47.3 | Overseas Chinese student | 2 | 0.7 |
| Subtotal | 275 | 100 | Foreign student | 1 | 0.4 |
| Age | Subtotal | 272 | 100 | ||
| ≥27 years | 6 | 2.2 | Monthly disposable income (USD) 2 | ||
| 23–26 years | 14 | 5.2 | <100 USD | 23 | 9.4 |
| 19–22 years | 252 | 92.6 | 100–200 USD | 54 | 22.1 |
| Subtotal | 272 | 100 | 200–300 USD | 91 | 37.3 |
| Grade | 300–400 USD | 41 | 16.8 | ||
| Freshman | 78 | 28.6 | >400 USD | 35 | 14.4 |
| Sophomore | 75 | 27.5 | Subtotal | 244 | 100 |
| Junior | 101 | 37.0 | Religious beliefs | ||
| Senior | 18 | 6.6 | Nonreligious | 146 | 53.1 |
| Other | 1 | 0.3 | Religious | 129 | 46.9 |
| Subtotal | 273 | 100 | Subtotal | 275 | 100 |
| Latent Construct | α | CR | AVE | AE | EK | EV | EBI | |
|---|---|---|---|---|---|---|---|---|
| Aesthetic experience (AE) | 0.93 | 0.91 | 0.67 | 0.82 1 | ||||
| Environmental knowledge (EK) | 0.87 | 0.80 | 0.58 | 0.33 2 | 0.76 1 | |||
| Environmental value (EV) | 0.74 | 0.58 | 0.41 | 0.27 2 | 0.29 2 | 0.64 1 | ||
| Environmental behavior intention (EBI) | 0.70 | 0.51 | 0.26 | 0.46 2 | 0.52 2 | 0.74 2 | 0.51 1 |
| Path | Standardized Coefficients | t-Value | p | Supported | Direct Effect | Indirect Effect | Total Effect |
|---|---|---|---|---|---|---|---|
| H1: AE → EBI | 0.20 | 2.24 * | 0.025 | Yes | 0.20 | 0.12 | 0.32 |
| H2: AE → EV | 0.20 | 2.23 * | 0.026 | Yes | 0.20 | - | 0.20 |
| H3: EK → EV | 0.22 | 2.08 * | 0.037 | Yes | 0.22 | - | 0.22 |
| H4: EK → EBI | 0.28 | 2.92 ** | 0.004 | Yes | 0.28 | 0.13 | 0.41 |
| H5: EV → EBI | 0.60 | 3.72 *** | <0.001 | Yes | 0.60 | - | 0.60 |
| AE ↔ EK | 0.33 | 4.61 *** | <0.001 | Yes | - | - | - |
© 2018 by the authors. Licensee MDPI, Basel, Switzerland. This article is an open access article distributed under the terms and conditions of the Creative Commons Attribution (CC BY) license (http://creativecommons.org/licenses/by/4.0/).
Share and Cite
Wang, P.-C.; Yu, C.-Y. Aesthetic Experience as an Essential Factor to Trigger Positive Environmental Consciousness. Sustainability 2018, 10, 1098. https://doi.org/10.3390/su10041098
Wang P-C, Yu C-Y. Aesthetic Experience as an Essential Factor to Trigger Positive Environmental Consciousness. Sustainability. 2018; 10(4):1098. https://doi.org/10.3390/su10041098
Chicago/Turabian StyleWang, Po-Ching, and Chi-Ying Yu. 2018. "Aesthetic Experience as an Essential Factor to Trigger Positive Environmental Consciousness" Sustainability 10, no. 4: 1098. https://doi.org/10.3390/su10041098
APA StyleWang, P.-C., & Yu, C.-Y. (2018). Aesthetic Experience as an Essential Factor to Trigger Positive Environmental Consciousness. Sustainability, 10(4), 1098. https://doi.org/10.3390/su10041098
