Solar Irradiance Measurements Using Smart Devices: A Cost-Effective Technique for Estimation of Solar Irradiance for Sustainable Energy Systems
Abstract
1. Introduction
2. Experimental Setup and Measurements Procedure
- A smartphone solar irradiance sensor is downloaded on an iPhone 7 from Hukseflux for free and then the filter is used to cover the camera, as shown in Figure 1.
- The smartphone is placed horizontally of the semicircular Teflon piece where the tilt angle is 0° and simultaneously a solar irradiance meter is used, as shown in Figure 3.
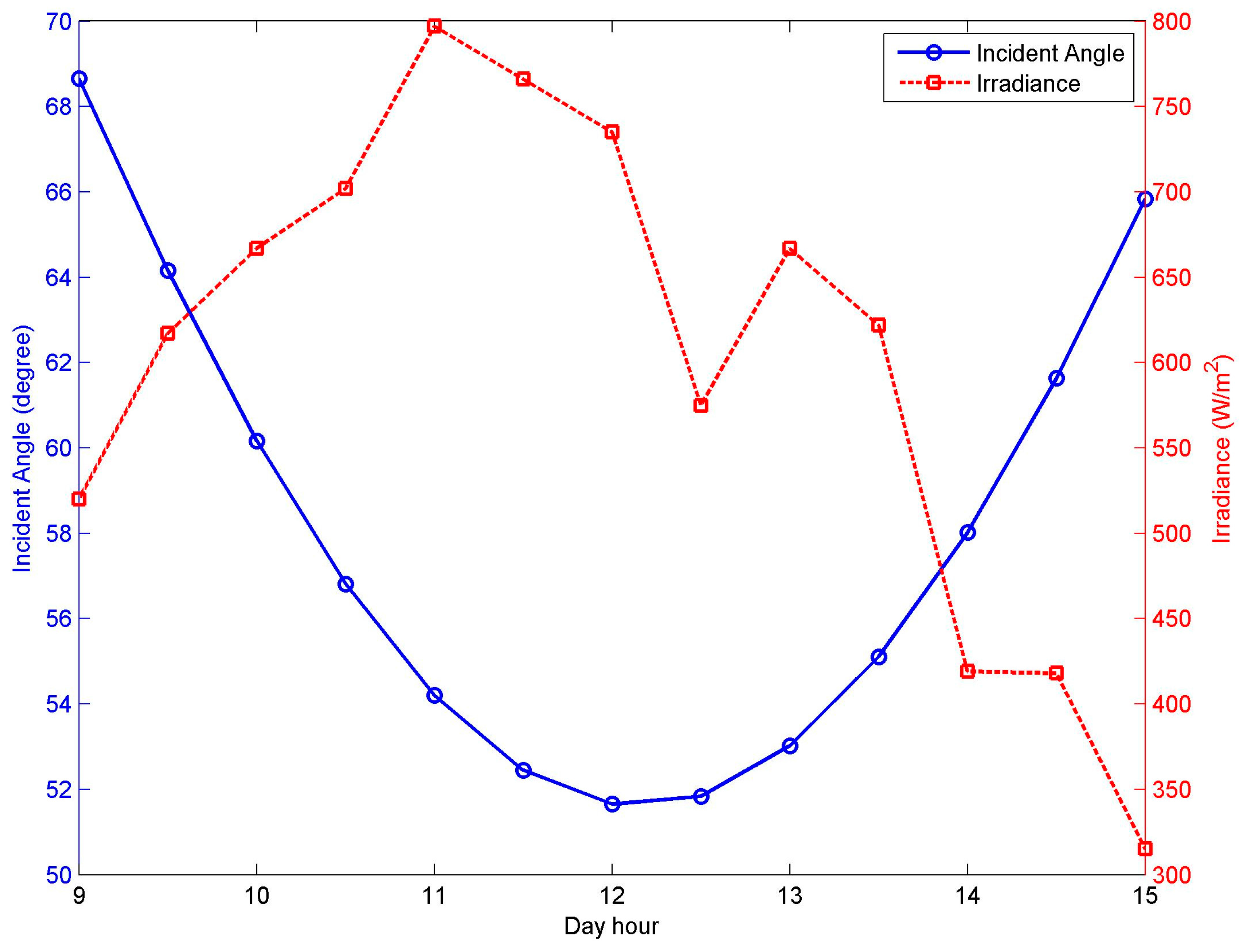
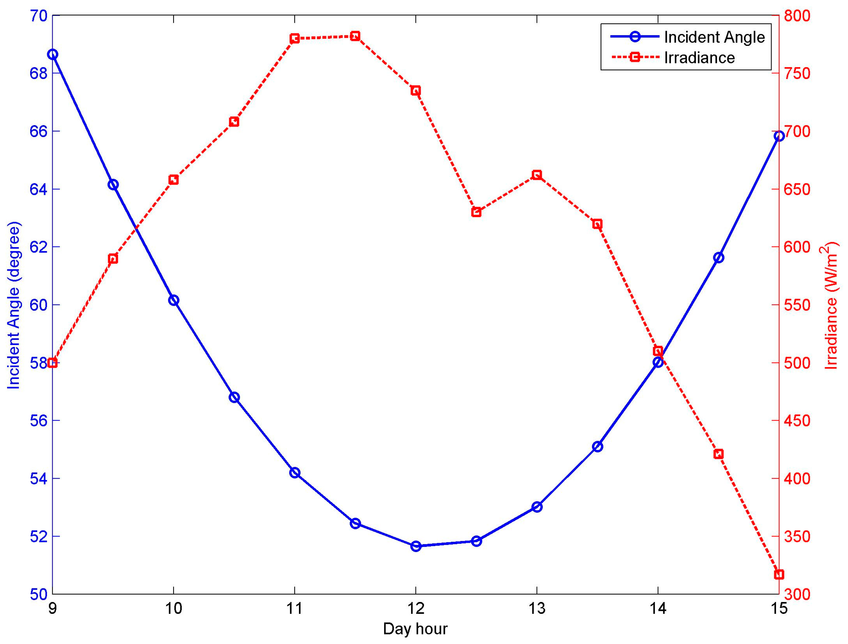
- A calibration is done before doing any measurements. The calibration is done by entering a benchmark value of irradiance corresponding to the current irradiance. The app suggests this value to be found from weather stations in the current location for that time of the year. We used the value measured by the irradiance meter for the calibration of the app. The data is taken every half hour from 9:00 to 15:00 continuously and simultaneously with the solar irradiance meter.
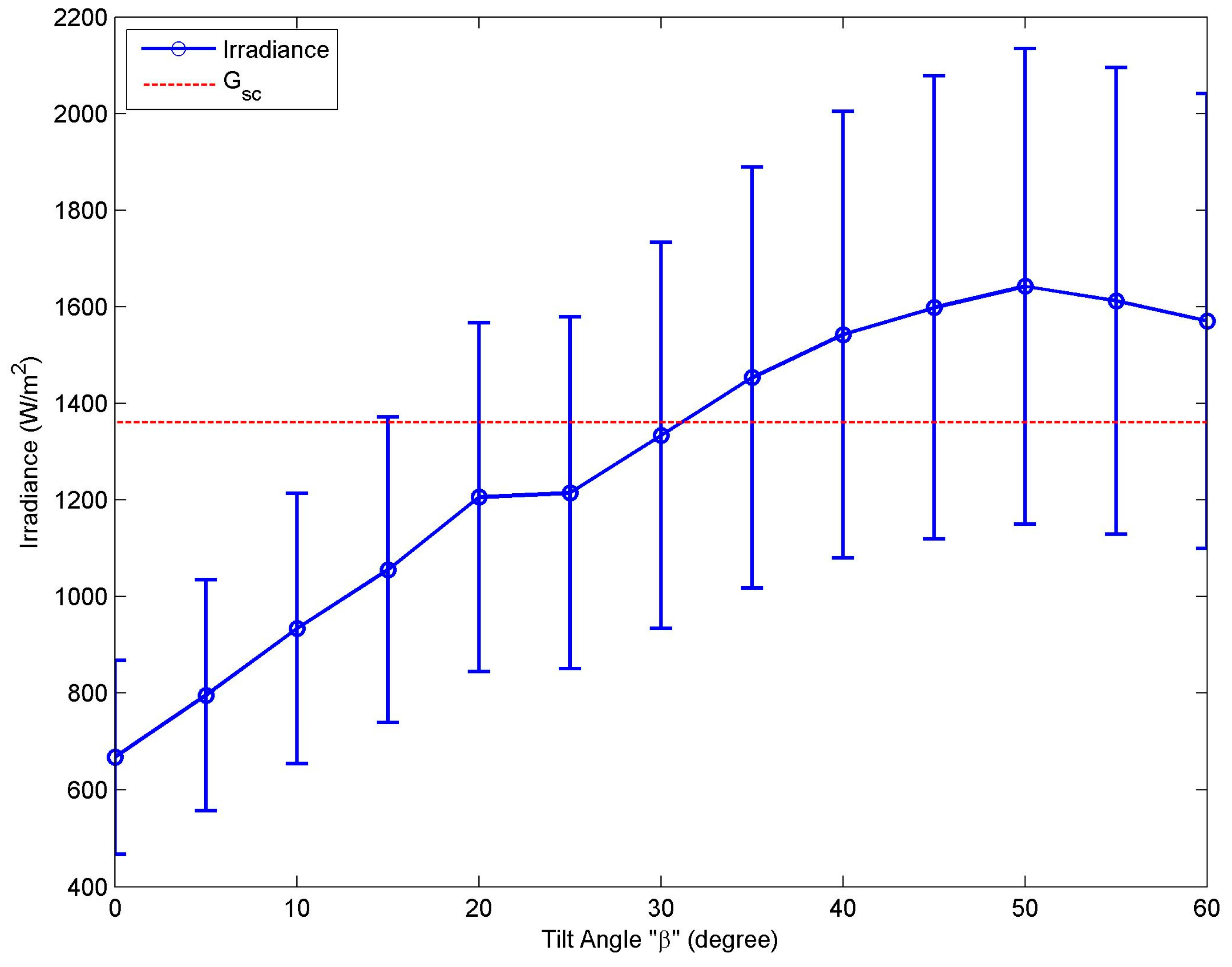
- Another set of measurements is taken to demonstrate the relation between the tilt angle and the solar irradiance using the smartphone only. The mechanical setup is used in this part to help in rotating the smartphone at the required angle. The measurement is taken for tilt angles from 0° to 60° at a fixed day hour, where the rotation of the surface is facing south.
3. Results and Discussion
4. Conclusions
Author Contributions
Conflicts of Interest
References
- Muhammad, I. An Introduction to Solar Radiation, 1st ed.; Academic Press: Don Mills, ON, Canada, 1983; pp. 1–28. ISBN 0123737524. [Google Scholar]
- Poudyal, K.N.; Bhattarai, B.K.; Sapkota, B.K.; Kjeldstad, B.; Karki, N.R. Estimation of Global Solar Radiation using Pyranometer and NILU-UV Irradiance Meter at Pokhara Valley in Nepal. J. Inst. Eng. 2014, 9, 69–78. [Google Scholar] [CrossRef]
- Al-Addous, M.; Dalala, Z.; Class, C.B.; Alawneh, F.; Al-Taani, H. Performance analysis of off-grid PV systems in the Jordan valley. Renew. Energy 2017, 113, 930–941. [Google Scholar] [CrossRef]
- Ma, W.W.; Rasul, M.G.; Liu, G.; Li, M.; Tan, X.H. Climate change impacts on techno-economic performance of roof PV solar system in Australia. Renew. Energy 2016, 88, 430–438. [Google Scholar] [CrossRef]
- Akinyele, D.O.; Rayudu, R.K. Comprehensive techno-economic and environmental impact study of a localised photovoltaic power system (PPS) for off-grid communities. Energy Convers. Manag. 2016, 124, 266–279. [Google Scholar] [CrossRef]
- Seaward. Solar Survey Multifunction Solar Irradiance Meters, 2017. Available online: http://www.seawardsolar.com/downloads/survey_100_and_200r_datasheets_international_v1.3.pdf (accessed on 14 January 2018).
- Zeqiang, B.; Wenhua, L.; Yizhuo, S.; Xiaolei, H.; Wei, C. Research on performance test method of silicon pyranometer. In Proceedings of the 2013 IEEE 11th International Conference on Electronic Measurement & Instruments, Harbin, China, 16–19 August 2013. [Google Scholar]
- Nagamine, F.; Shimokawa, R.; Miyake, Y.; Nakata, M.; Fujisawa, K. Calibration of Pyranometers for the photovoltaic device field. Jpn. J. Appl. Phys. 1990, 29, 516–521. [Google Scholar] [CrossRef]
- Pandey, C.K.; Katiyar, A.K. Solar radiation: Models and measurement techniques. J. Energy 2013, 2013, 305207. [Google Scholar] [CrossRef]
- González, M.Á.; González, M.Á.; Martín, M.E.; Llamas, C.; Martínez, Ó.; Vegas, J.; Herguedas, M.; Hernández, C. Teaching and Learning Physics with smartphones, in Blended Learning: Concepts, Methodologies, Tools, and Applications. IGI Glob. 2017, 866–885. [Google Scholar] [CrossRef]
- Kuhn, J. Relevant information about using a mobile phone acceleration sensor in physics experiments. Am. J. Phys. 2014, 82, 94. [Google Scholar] [CrossRef]
- Darocha, T.; Majkowski, J.; Sanak, T.; Podsiadło, P.; Kosiński, S.; Sałapa, K.; Mazur, P.; Ziętkiewicz, M.; Gałązkowski, R.; Krzych, Ł.; et al. Measuring core temperature using the proprietary application and thermo-smartphone adapter. J. Clin. Monit. Comput. 2017, 31, 1299–1304. [Google Scholar] [CrossRef] [PubMed]
- Consolvo, S.; Libby, R.; Smith, I.; Landay, J.A.; McDonald, D.W.; Toscos, T.; Chen, M.Y.; Froehlich, J.; Harrison, B.; Klasnja, P.; et al. Activity sensing in the wild: A field trial of ubifit garden. In Proceedings of the SIGCHI Conference on Human Factors in Computing Systems, Florence, Italy, 5–10 April 2008. [Google Scholar]
- Mun, M.; Boda, P.; Reddy, S.; Shilton, K.; Yau, N.; Burke, J.; Estrin, D.; Hansen, M.; Howard, E.; West, R. PEIR, the personal environmental impact report, as a platform for participatory sensing systems research. In Proceedings of the 7th International Conference on Mobile Systems, Applications, and Services, Kraków, Poland, 22–25 June 2009. [Google Scholar]
- Vesali, F.; Omid, M.; Mobli, H.; Kaleita, A. Feasibility of using smart phones to estimate chlorophyll content in corn plants. Photosynthetica 2017, 55, 603–610. [Google Scholar] [CrossRef]
- Reese Bomhold, C. Educational use of smart phone technology: A survey of mobile phone application use by undergraduate university students. Program 2013, 47, 424–436. [Google Scholar] [CrossRef]
- Vogt, P.; Kuhn, J. Analyzing simple pendulum phenomena with a smartphone acceleration sensor. Phys. Teach. 2012, 50, 439–440. [Google Scholar] [CrossRef]
- Kuhn, J.; Vogt, P. Analyzing spring pendulum phenomena with a smart-phone acceleration sensor. Phys. Teach. 2012, 50, 504–505. [Google Scholar] [CrossRef]
- Carlos Castro-Palacio, J.; Velázquez-Abad, L.; Giménez, M.H.; Monsoriu, J.A. Using a mobile phone acceleration sensor in physics experiments on free and damped harmonic oscillations. Am. J. Phys. 2013, 81, 472–475. [Google Scholar] [CrossRef]
- Monteiro, M.; Cabeza, C.; Marti, A.C. Acceleration measurements using smartphone sensors: Dealing with the equivalence principle. Rev. Bras. Ensino Fís. 2015, 37, 1303. [Google Scholar] [CrossRef]
- Castro-Palacio, J.C.; Velázquez-Abad, L.; Giménez, F.; Monsoriu, J.A. A quantitative analysis of coupled oscillations using mobile accelerometer sensors. Eur. J. Phys. 2013, 34, 737. [Google Scholar] [CrossRef]
- Sans, J.A.; Manjón, F.J.; Pereira, A.L.J.; Gomez-Tejedor, J.A.; Monsoriu, J.A. Oscillations studied with the smartphone ambient light sensor. Eur. J. Phys. 2013, 34, 1349–1354. [Google Scholar] [CrossRef]
- Shakur, A.; Sinatra, T. Angular momentum. Phys. Teach. 2013, 51, 564–565. [Google Scholar] [CrossRef]
- Monteiro, M.; Cabeza, C.; Marti, A.C. Rotational energy in a physical pendulum. Phys. Teach. 2014, 52, 180–181. [Google Scholar] [CrossRef]
- Monteiro, M.; Cabeza, C.; Marti, A.C.; Vogt, P.; Kuhn, J. Angular velocity and centripetal acceleration relationship. Phys. Teach. 2014, 55, 312–313. [Google Scholar] [CrossRef]
- Hochberg, K.; Gröber, S.; Kuhn, J.; Müller, A. The spinning disc: Studying radial acceleration and its damping process with smartphone acceleration sensors. Phys. Educ. 2014, 49, 137. [Google Scholar] [CrossRef]
- Shakur, A.; Kraft, J. Measurement of Coriolis acceleration with a smartphone. Phys. Teach. 2016, 54, 288–290. [Google Scholar] [CrossRef]
- Arribas, E.; Escobar, I.; Suarez, C.P.; Najera, A.; Beléndez, A. Measurement of the magnetic field of small magnets with a smartphone: A very economical laboratory practice for introductory physics courses. Eur. J. Phys. 2015, 36, 065002. [Google Scholar] [CrossRef]
- Kim, S.-E.; Kim, Y.; Yoon, J.; Kim, E.S. Indoor positioning system using geomagnetic anomalies for smartphones. In Proceedings of the 2012 International Conference on Indoor Positioning and Indoor Navigation (IPIN), Sydney, Australia, 13–15 November 2012. [Google Scholar]
- Gozick, B.; Subbu, K.P.; Dantu, R.; Maeshiro, T. Magnetic maps for indoor navigation. IEEE Trans. Instrum. Meas. 2011, 60, 3883–3891. [Google Scholar] [CrossRef]
- Arabasi, S.; Al-Taani, H. Measuring the Earth’s magnetic field dip angle using a smartphone-aided setup: A simple experiment for introductory physics laboratories. Eur. J. Phys. 2016, 38, 025201. [Google Scholar] [CrossRef]
- Ogawara, Y.; Bhari, S.; Mahrley, S. Observation of the magnetic field using a smartphone. Phys. Teach. 2017, 55, 184–185. [Google Scholar] [CrossRef]
- Renaudin, V.; Combettes, C. Magnetic, acceleration fields and gyroscope quaternion (MAGYQ)-based attitude estimation with smartphone sensors for indoor pedestrian navigation. Sensors 2014, 14, 22864–22890. [Google Scholar] [CrossRef] [PubMed]
- Mei, B.; Cheng, W.; Cheng, X. Fog Computing Based Ultraviolet Radiation Measurement via Smartphones. In Proceedings of the 2015 Third IEEE Workshop on Hot Topics in Web Systems and Technologies (HotWeb), Washington, DC, USA, 12–13 November 2015. [Google Scholar]
- Igoe, D.; Parisi, A.; Carter, B. Characterization of a smartphone camera’s response to ultraviolet a radiation. Photochem. Photobiol. 2013, 89, 215–218. [Google Scholar] [CrossRef] [PubMed]
- Igoe, D.P.; Parisi, A.V.; Carter, B. Evaluating UVA aerosol optical depth using a smartphone camera. Photochem. Photobiol. 2013, 89, 1244–1248. [Google Scholar] [CrossRef] [PubMed]
- Turner, J.; Parisi, A.V.; Igoe, D.P.; Amar, A. Detection of ultraviolet B radiation with internal smartphone. Sens. Instrum. Sci. Technol. 2017, 45, 618–638. [Google Scholar] [CrossRef]
- Fahrni, T.; Kuhn, M.; Sommer, P.; Wattenhofer, R.; Welten, S. Sundroid: Solar radiation awareness with smartphones. In Proceedings of the 13th International Conference on Ubiquitous Computing, Beijing, China, 17–21 September 2011. [Google Scholar]
- Igoe, D.P.; Parisi, A.V. Solar current output as a function of sun elevation: Students as toolmakers. Phys. Educ. 2015, 50, 657–661. [Google Scholar] [CrossRef][Green Version]
- Wilkes, T.; McGonigle, A.; Pering, T.; Taggart, A.; White, B.; Bryant, R.; Willmott, J. Ultraviolet imaging with low cost smartphone sensors: Development and application of a raspberry Pi-based UV camera. Sensors 2016, 16, 1649. [Google Scholar] [CrossRef] [PubMed]
- Wilkes, T.C.; McGonigle, A.J.S.; Willmott, J.R.; Pering, T.D.; Cook, J.M. Low-cost 3D printed 1 nm resolution smartphone sensor-based spectrometer: Instrument design and application in ultraviolet spectroscopy. Opt. Lett. 2017, 42, 4323–4326. [Google Scholar] [CrossRef] [PubMed]
- Gutierrez-Martinez, J.-M.; Castillo-Martinez, A.; Medina-Merodio, J.-A.; Aguado-Delgado, J.; Martinez-Herraiz, J.-J. Smartphones as a Light Measurement Tool: Case of Study. Appl. Sci. 2017, 7, 616. [Google Scholar] [CrossRef]
- Dunn, L.; Gostein, M.; Emery, K. Comparison of pyranometers vs. PV reference cells for evaluation of PV array performance. In Proceedings of the 38th IEEE Photovoltaic Specialists Conference, Austin, TX, USA, 3–8 June 2012. [Google Scholar]
- Hukseflux. User Manual Pyranometer APP 2.0 (Manual v1504). Available online: https://www.hukseflux.com/sites/default/files/product_manual/Pyranometer_App_2.0_manual_v1504.pdf (accessed on 14 January 2018).
- Hukseflux. Solar Measurement/PyranometerApp. Available online: https://itunes.apple.com/az/app/solar-measurement-pyranometerapp/id449857438?mt=8 (accessed on 14 January 2018).
- Apogee_Instruments. Clear Sky Calculator. Available online: https://play.google.com/store/apps/details?id=com.apogee.clearsky (accessed on 25 January 2018).
- Yordanov, G.H.; Saetre, T.O.; Midtgård, O.-M. Extreme overirradiance events in Norway: 1.6 suns measured close to 60° N. Sol. Energy 2015, 115, 68–73. [Google Scholar] [CrossRef]








| Solar Irradiance in W/m2 | ||||
|---|---|---|---|---|
| Day Hour | Smartphone | Irradiance Meter | Incident Angle (Degree) | Percentage Difference (%) |
| 9:00 | 520 | 500 | 68.66 | 4.00 |
| 9:30 | 617 | 590 | 64.16 | 4.57 |
| 10:00 | 667 | 658 | 60.17 | 1.36 |
| 10:30 | 702 | 708 | 56.81 | 0.85 |
| 11:00 | 797 | 780 | 54.2 | 2.18 |
| 11:30 | 766 | 782 | 52.45 | 2.05 |
| 12:00 | 735 | 735 | 51.65 | 0 |
| 12:30 | 575 | 630 | 51.84 | 8.73 |
| 13:00 | 667 | 662 | 53.02 | 0.76 |
| 13:30 | 622 | 620 | 55.11 | 0.32 |
| 14:00 | 419 | 510 | 58.02 | 17.84 |
| 14:30 | 418 | 421 | 61.63 | 0.71 |
| 15:00 | 315 | 317 | 65.83 | 0.63 |
| Tilt Angle (Degree) | Smartphone Irradiance Measurements (W/m2) | Incident Angle (Degree) |
|---|---|---|
| 0 | 667 | 53.0 |
| 5 | 795 | 48.2 |
| 10 | 933 | 43.4 |
| 15 | 1055 | 38.7 |
| 20 | 1205 | 34.0 |
| 25 | 1214 | 29.4 |
| 30 | 1333 | 24.9 |
| 35 | 1453 | 20.7 |
| 40 | 1542 | 16.9 |
| 45 | 1598 | 13.9 |
| 50 | 1642 | 12.1 |
| 55 | 1612 | 12.3 |
| 60 | 1570 | 14.3 |
© 2018 by the authors. Licensee MDPI, Basel, Switzerland. This article is an open access article distributed under the terms and conditions of the Creative Commons Attribution (CC BY) license (http://creativecommons.org/licenses/by/4.0/).
Share and Cite
Al-Taani, H.; Arabasi, S. Solar Irradiance Measurements Using Smart Devices: A Cost-Effective Technique for Estimation of Solar Irradiance for Sustainable Energy Systems. Sustainability 2018, 10, 508. https://doi.org/10.3390/su10020508
Al-Taani H, Arabasi S. Solar Irradiance Measurements Using Smart Devices: A Cost-Effective Technique for Estimation of Solar Irradiance for Sustainable Energy Systems. Sustainability. 2018; 10(2):508. https://doi.org/10.3390/su10020508
Chicago/Turabian StyleAl-Taani, Hussein, and Sameer Arabasi. 2018. "Solar Irradiance Measurements Using Smart Devices: A Cost-Effective Technique for Estimation of Solar Irradiance for Sustainable Energy Systems" Sustainability 10, no. 2: 508. https://doi.org/10.3390/su10020508
APA StyleAl-Taani, H., & Arabasi, S. (2018). Solar Irradiance Measurements Using Smart Devices: A Cost-Effective Technique for Estimation of Solar Irradiance for Sustainable Energy Systems. Sustainability, 10(2), 508. https://doi.org/10.3390/su10020508

