Landscape Patterns Affect Precipitation Differing across Sub-climatic Regions
Abstract
1. Introduction
2. Materials
2.1. Study Area
2.2. Data Sources
2.2.1. Landscape Classification data
2.2.2. Precipitation Data
3. Methodology
3.1. Climate Attribution Analysis
3.2. Landscape Pattern Metrics
3.3. The Development and Validation of Predict Models
3.4. Redundancy Analysis (RDA)
4. Results
4.1. Annual Precipitation Variation
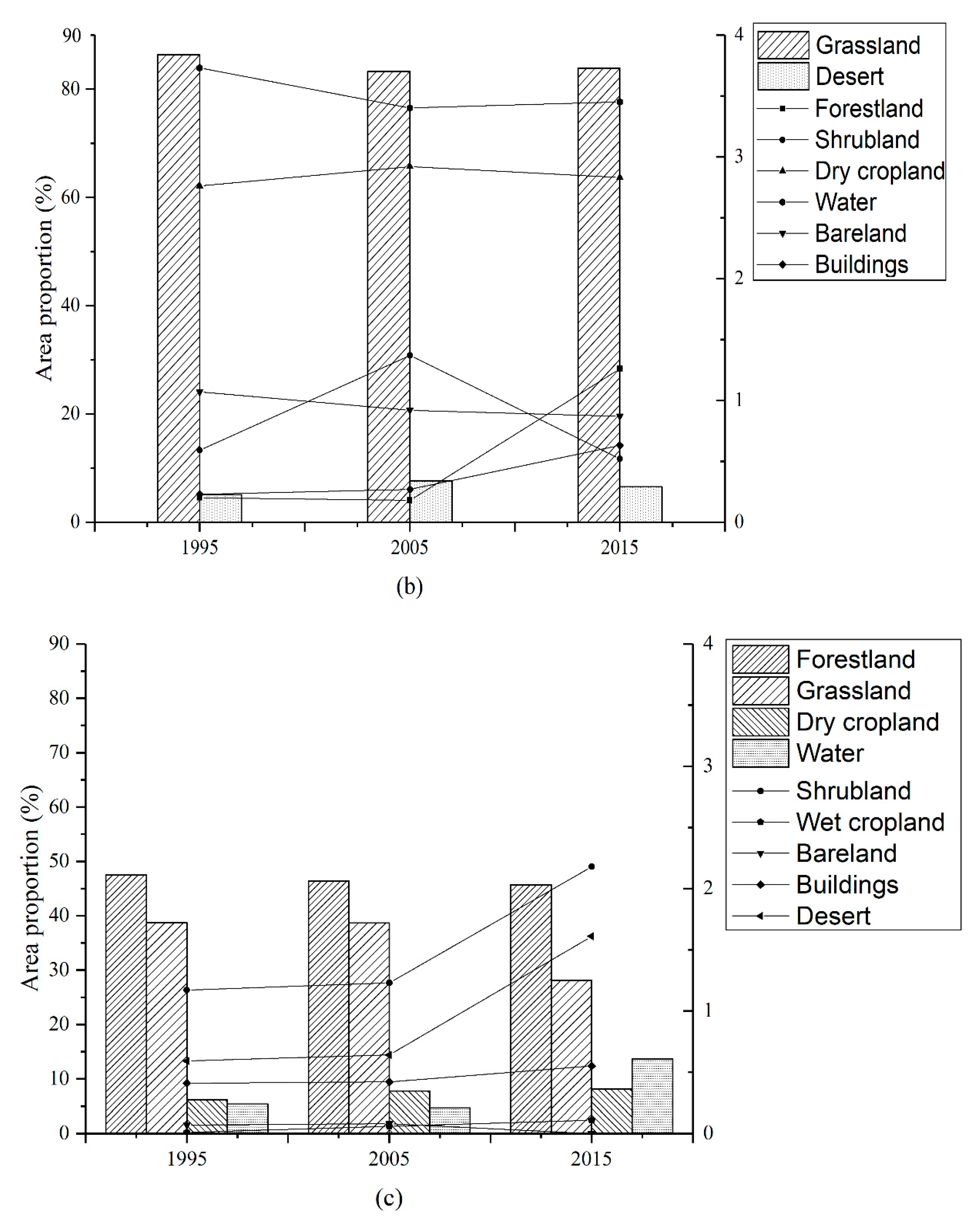
4.2. Land Use/Cover Changes
4.3. Attribution Analysis
4.3.1. The Attribution Ratio of Climate and Landscape Pattern on Precipitation
4.3.2. The Influence of Landscape Pattern on Precipitation
4.3.3. Multiple Correlations among Landscape Metrics and Precipitation
5. Discussion
5.1. Landscape Metrics Selection
5.2. Distinguish the Impacts of Natural Climatic Variation and Landscape Pattern
5.3. Contribution of Landscape Pattern
6. Conclusions
Author Contributions
Acknowledgments
Conflicts of Interest
Appendix A
| Landscape metrics name | Scale | Description |
|---|---|---|
| Mean nearest index (MPI) | class/landscape | ≥0, measuring the proximity of the same type of patches and the fragmentation of the landscape or class |
| Mean nearest neighbour distance (MNN) | class/landscape | 0–1, indicating landscape fragmentation or patch distance increase |
| Interspersion juxtaposition index (IJI) | class/landscape | 0–100, describing the landscape spatial pattern and measuring the interspersion of each patch in the landscape or class |
| Number of patches (NumP) | class/landscape | ≥1, the total number of patches in the landscape or class |
| Mean patch size (MPS) | class/landscape | >0, indicating the degree of fragmentation and presenting an average condition in the landscape or class |
| Patch size coefficient of variation (PSCoV) | class/landscape | Coefficient of variation of all patches size |
| Patch size standard deviance (PSSD) | class/landscape | Patch size standard deviation of all patches |
| Total edge (TE) | class/landscape | Total edge of the landscape or class |
| Edge density (ED) | class/landscape | Amount of edge relative to the landscape or class area |
| Mean shape index (MSI) | class/landscape | Measuring the shape complexity |
| Area-weighted mean shape index (AWMSI) | class/landscape | ≥1, it equals 1 when all patches are regular |
| Mean patch fractal dimension (MPFD) | class/landscape | Measuring the shape complexity |
| Area-weighted mean patch fractal dimension (AWMPFD) | class/landscape | 1–2, it equals 2 when all patches are complex and irregular, the usual upper limit of its value is 1.5 |
| Shannon diversity index (SDI) | landscape | ≥0, measuring the relative patch diversity |
| Shannon evenness index (SEI) | landscape | 0–1, measuring the patch distribution and abundance |
| Total core area (TCA) | class/landscape | The total area of disjunctive core patches |
| Total landscape area (TLA) | Class/landscape | The total area of landscape |
| Core area density (CAD) | class/landscape | The relative number of disjunctive core patches relative to the landscape or class area |
| Mean core area (MCA) | class/landscape | The average area of disjunctive core patches |
| Patch core area standard deviation (CASD) | class/landscape | Patch area standard deviation of core patches |
| Patch core area coefficient of variation (CACoV) | class/landscape | Coefficient of variation of core patch area |
| Total core area index (TCAI) | class/landscape | Measuring the amount of core area in the landscape or class |
| Disjunctive core area coefficient of variation (CACV1) | class/landscape | Coefficient of variation of disjunctive core patch area |
| Disjunctive core area standard deviation (CASD1) | class/landscape | Patch area standard deviation of disjunctive core patches |
| Largest patch index (LPI) | class/landscape | 0–100, the percentage of the total landscape or class |
| Landscape shape index (LSI) | class/landscape | Reflecting the complexity of the landscape or class |
| Mean core area index (MCAI) | class/landscape | The average percentage of a landscape or class patch that is core area |
| Mean core area per patch (MCA1) | class/landscape | The average core area per patch |
| Number of core areas (NCA) | class/landscape | The number of core patches in the landscape or class |
| Modified Simpson’s diversity index (MSIDI) | landscape | Measuring the patch diversity, it equals zero when there is only one patch in the landscape and increases as the number of different patch types increases and the area among patch types becomes more equal |
| Patch richness (PR) | landscape | ≥1, the number of different patches within the landscape |
| Patch richness density (PRD) | landscape | Patch richness is divided by the total area of landscape |
| Simpson’s evenness index (SIEI) | landscape | Measuring the distribution of area among patch types |
| Modified Simpson’s evennessIndex (MSIEI) | landscape | An even distribution of area among patch types in maximum evenness, when it equals 1, the distribution of area is exactly even |
| Class area (CA) | class | >0, the total area of class |
| Percent of landscape (%LAND) | class | 0–100, the percent of class area in the total landscape |
| Core area percent of landscape (C%LAND) | class | 0–100, the percent of core class area in the total landscape |
| Double log fractal dimension (DLFD) | class/landscape | Measuring the shape complexity |
References
- Elmhagen, B.; Eriksson, O.; Lindborg, R. Implications of climate and land-use change for landscape processes, biodiversity, ecosystem services, and governance. Ambio 2015, 44 (Suppl. 1), 1–5. [Google Scholar] [CrossRef] [PubMed]
- Solomon, S.D.; Qin, M.; Manning, Z.; Chen, M.; Marquis, K.B.; Averyt, M.T. Climate change 2007: The physical science basis. contribution of working group I to the fourth assessment report of the intergovernmental panel on climate change. Comput. Geom. 2017, 2, 1–21. [Google Scholar]
- Fan, X.; Ma, Z.; Yang, Q.; Han, Y.; Mahmood, R.; Zheng, Z. Land use/land cover changes and regional climate over the loess plateau during 2001–2009. part I: Observational evidence. Clim. Chang. 2015, 129, 427–440. [Google Scholar] [CrossRef]
- Fan, X.; Ma, Z.; Yang, Q.; Han, Y.; Mahmood, R. Land use/land cover changes and regional climate over the loess plateau during 2001–2009. part II: Interrelationship from observations. Clim. Chang. 2015, 129, 441–455. [Google Scholar] [CrossRef]
- Cox, P.M.; Betts, R.A.; Jones, C.D.; Spall, S.A.; Totterdell, I.J. Acceleration of global warming due to carbon-cycle feedbacks in a coupled climate model. Nature 2000, 408, 184–187. [Google Scholar] [CrossRef] [PubMed]
- Song, S.; Ju, Y.M.; Wang, H.J. Possible impacts of land use change on regional rainfall associated with orderly human activities. Clim. Environ. Res. 2008, 13, 759–774. (In Chinese) [Google Scholar]
- Chen, A.; Yao, X.A.; Sun, R.; Chen, L. Effect of urban green patterns on surface urban cool islands and its seasonal variations. Urban For. Urban Green. 2014, 13, 646–654. [Google Scholar] [CrossRef]
- Coseo, P.; Larsen, L. How factors of land use/land cover, building configuration, and adjacent heat sources and sinks explain urban heat islands in Chicago. Landsc. Urban Plan. 2014, 125, 117–129. [Google Scholar] [CrossRef]
- Du, S.; Xiong, Z.; Wang, Y.C.; Guo, L. Quantifying the multilevel effects of landscape composition and configuration on land surface temperature. Remote Sens. Environ. 2016, 178, 84–92. [Google Scholar] [CrossRef]
- Li, J.; Song, C.; Cao, L.; Zhu, F.; Meng, X.; Wu, J. Impacts of landscape structure on surface urban heat islands: A case study of Shanghai, China. Remote Sens. Environ. 2011, 115, 3249–3263. [Google Scholar] [CrossRef]
- Peng, J.; Xie, P.; Liu, Y.; Ma, J. Urban thermal environment dynamics and associated landscape pattern factors: A case study in the Beijing metropolitan region. Remote Sens. Environ. 2016, 173, 145–155. [Google Scholar] [CrossRef]
- Jaagus, J.; Briede, A.; Rimkus, E.; Remm, K. Precipitation pattern in the Baltic countries under the influence of large-scale atmospheric circulation and local landscape factors. Int. J. Climatol. 2010, 30, 705–720. [Google Scholar] [CrossRef]
- Fujinami, H.; Yasunari, T.; Watanabe, T. Trend and interannual variation in summer precipitation in eastern Siberia in recent decades. Int. J. Climatol. 2016, 36, 355–368. [Google Scholar] [CrossRef]
- Werth, D.; Avissar, R. The local and global effects of amazon deforestation. J. Geophys. Res. 2002, 107, 55–58. [Google Scholar] [CrossRef]
- Ma, D.; Liu, Z.Y.; Lv, S.H.; Michael, N.; Rong, X.Y.; Cheng, G.S.; Wang, F.Y. Short-term climatic impacts of afforestation in the east Asian monsoon region. Sci. Bull. 2013, 58, 2073–2081. [Google Scholar] [CrossRef]
- Gálos, B.; Hagemann, S.; Hänsler, A.; Kindermann, G.; Rechid, D.; Sieck, K. Case study for the assessment of the biogeophysical effects of a potential afforestation in Europe. Carbon Balance Manag. 2013, 8, 3. [Google Scholar] [CrossRef] [PubMed]
- Liu, Y.; Stanturf, J.; Lu, H. Modeling the potential of the northern China forest shelterbelt in improving hydroclimate conditions. J. Am. Water Resour. Assoc. 2008, 44, 1176–1192. [Google Scholar] [CrossRef]
- Mao, H.Q.; Zhe, X.; Yan, X.D.; Zhang, L.J. Modeled impact of cropland expansion on regional climate in India. Chin. J. Ecol. 2016, 35, 1627–1634. (In Chinese) [Google Scholar]
- Ge, Q.; Zheng, J.; Zhang, X.; He, F. Simulated effects of cropland expansion on summer climate in eastern China in the last three centuries. Adv. Meteorol. 2013, 501014. [Google Scholar] [CrossRef]
- Yin, F.Y.; Yin, S.Y.; University, S.N. Characteristics of precipitation variation in Shanxi, Shaanxi and Inner Mongolia in recent 54 years. Agric. Res. Arid Areas 2016, 2, 335–346. (In Chinese) [Google Scholar]
- Pielke, R.A.; Niyogi, D. The role of landscape processes within the climate system. Lect. Notes Earth Sci. 2009, 115, 67–85. [Google Scholar]
- Zhang, Y.; Odeh, I.A.; Ramadan, E. Assessment of land surface temperature in relation to landscape metrics and fractional vegetation cover in an urban/peri-urban region using Landsat data. Int. J. Remote Sens. 2013, 34, 168–189. [Google Scholar] [CrossRef]
- Liu, H.; Weng, Q. Seasonal variations in the relationship between landscape pattern and land surface temperature in Indianapolis, USA. Environ. Monit. Assess. 2008, 144, 199–219. [Google Scholar] [CrossRef] [PubMed]
- Krummel, J.R.; Gardner, R.H.; Sugihara, G.; O’Neil, R.V.; Coleman, P.R. Landscape patterns in a disturbed environment. Oikos 1987, 48, 321–324. [Google Scholar] [CrossRef]
- O’Neil, R.V.; Krummel, J.R.; Gardner’, R.H.; Sugihara, G.; Jackson, B.; DeAngelis, D.L.; Mline, B.T. Indices of landscape pattern. Landsc. Ecol. 1988, 1, 153–162. [Google Scholar] [CrossRef]
- Schindler, S.; Wehrden, H.V.; Poirazidis, K.; Hochachka, W.M.; Wrbka, T.; Kati, V. Performance of methods to select landscape metrics for modelling species richness. Ecol. Model. 2015, 295, 107–112. [Google Scholar] [CrossRef]
- Sun, B.; Zhou, Q.M. Expressing the spatio-temporal pattern of farmland change in arid lands using landscape metrics. J. Arid Environ. 2016, 124, 118–127. [Google Scholar] [CrossRef]
- Estoque, R.C.; Murayama, Y.; Myint, S.W. Effects of landscape composition and pattern on land surface temperature: An urban heat island study in the megacities of Southeast Asia. Sci. Total Environ. 2017, 577, 349–359. [Google Scholar] [CrossRef]
- Zou, J.; Zeng, H. Relationships between urban landscape pattern and land surface temperature: A case study of Shenzhen. Acta Sci. Nat. Univ. Pekinensis 2017, 53, 436–444. (In Chinese) [Google Scholar]
- Yu, F.; Price, K.P.; Ellis, J.; Shi, P. Response of seasonal vegetation development to climatic variations in eastern central Asia. Remote Sens. Environ. 2003, 87, 42–54. [Google Scholar] [CrossRef]
- Peng, Y.; Long, S.; Ma, J.; Song, J.; Liu, Z. Temporal-spatial variability in correlations of drought and flood during recent 500 years in Inner Mongolia. China Sci. Total Environ. 2018, 633, 484–491. [Google Scholar] [CrossRef] [PubMed]
- Zhao, G.Y.; Han, Y.; Liu, M.H.; Zhao, S.J.; Liu, W.Z. Characteristics of temporal and spatial variations of extreme temperature events in Inner Mongolia during 1951–2014. J. Arid Land Resour. Environ. 2017, 12, 423–436. (In Chinese) [Google Scholar]
- Cao, Q.; Yu, D.Y.; Georgescu, M.; Han, Z.; Wu, J.G. Impacts of land use and land cover change on regional climate: A case study in the agro-pastoral transitional zone of China. Environ. Res. Lett. 2015, 10, 124025. [Google Scholar] [CrossRef]
- Li, H.B.; Wu, J.G. Use and misuse of landscape indices. Landsc. Ecol. 2004, 19, 389–399. [Google Scholar] [CrossRef]
- Suir, G.M.; Evers, D.E.; Steyer, G.D.; Sasser, C.E. Development of a reproducible method for determining quantity of water and its configuration in a marsh landscape. J. Coast. Res. 2013, 14, 110–117. [Google Scholar] [CrossRef]
- Yang, Y.J.; Shi, T.; Xun, S.P.; Tang, W.A.; Zhang, H.Q.; Zhang, A.M. Impact of Hefei Urbanization on temperature observation based on remote sensing data. Meteorol. Mon. 2011, 37, 1423–1430. (In Chinese) [Google Scholar]
- Liu, K.; Gu, X.F.; Yu, T.; Gao, Z.Q.; Gao, W.; Liu, C.S. Relationships between urban heat island effect and land use and land cover change around urban weather stations. Clim. Environ. Res. 2011, 16, 707–716. [Google Scholar]
- Legendre, P.; Anderson, M. Distance-based redundancy analysis: Testing multispecies responses in multifactorial ecological experiments. Ecol. Monogr. 1999, 69, 1–24. [Google Scholar] [CrossRef]
- Riitters, K.H.; O’Neill, R.V.; Hunsaker, C.T.; Wickham, J.D.; Yankee, D.H.; Timmins, S.P. A factor analysis of landscape pattern and structure metrics. Landsc. Ecol. 1995, 10, 23–39. [Google Scholar] [CrossRef]
- Fan, M.; Wang, Q.H.; Mi, K.; Peng, Y. Scale-dependent effects of landscape pattern on plant diversity in Hunshandak Sandland. Biodivers. Conserv. 2017, 26, 2169–2185. [Google Scholar] [CrossRef]
- Gustafson, E.J. Quantifying landscape spatial pattern: What is the state of the art? Ecosystems 1988, 1, 143–156. [Google Scholar] [CrossRef]
- Parker, D.C.; Meretsky, V. Measuring pattern outcomes in an agent-based model of edge-effect externalities using spatial metrics. Agric. Ecosyst. Environ. 2004, 101, 2–3. [Google Scholar] [CrossRef]
- Kupfer, J.A. Landscape ecology and biogeography Rethinking landscape metrics in a post-FRAGSTATS landscape. Prog. Phys. Geogr. 2012, 36, 400–420. [Google Scholar] [CrossRef]
- Cardille, J.A.; Tuener, M.G. Understanding Landscape Metrics. In Learning Landscape Ecology; Springer: New York, NY, USA, 2017. [Google Scholar]
- Li, X.; Lin, J.Y.; Chen, Y.M.; Liu, X.P.; Ai, B. Calibrating cellular automata based on landscape metrics by using genetic algorithms. Int. J. Geogr. Inf. Sci. 2013, 27, 594–613. [Google Scholar] [CrossRef]
- Alhamad, M.N.; Alrababah, M.A.; Feagin, R.A.; Gharaibeh, A. Mediterranean drylands: The effect of grain size and domain of scale on landscape metrics. Ecol. Indic. 2011, 11, 611–621. [Google Scholar] [CrossRef]
- Piao, S.; Ciais, P.; Huang, Y.; Shen, Z.; Peng, S.; Li, J. The impacts of climate change on water resources and agriculture in China. Nature 2010, 467, 43–51. [Google Scholar] [CrossRef] [PubMed]
- Mahmood, R.; Pielke, R.A.; Hubbard, K.G.; Niyogi, D.; Dirmeyer, P.A.; Mcalpine, C. Land cover changes and their biogeophysical effects on climate. Int. J. Climatol. 2014, 34, 929–953. [Google Scholar] [CrossRef]
- Bender, O.; Boehmer, H.J.; Jens, D.; Schumacher, K.P. Analysis of land-use change in a sector of Upper Franconia (Bavaria, Germany) since 1850 using land register records. Landsc. Ecol. 2005, 20, 149–163. [Google Scholar] [CrossRef]
- Braimoh, A.K. Random and systematic land-cover transitions in northern Ghana. Agric. Ecosyst. Environ. 2006, 113, 254–263. [Google Scholar] [CrossRef]









| Alxa League | Xilingol League | Hulun buir | |||||||
|---|---|---|---|---|---|---|---|---|---|
| 1995 | 2005 | 2015 | 1995 | 2005 | 2015 | 1995 | 2005 | 2015 | |
| 0.34 | 0.13 | 0.28 | 0.18 | 0.07 | 0.14 | 0.20 | 0.05 | 0.09 | |
| 0.21 | 0.64 | 0.43 | 0.24 | 0.42 | 0.25 | 0.49 | 0.28 | 0.25 | |
| Study Areas | Equation | R2 | Adjusted R2 |
|---|---|---|---|
| Alxa League | Y=160.322-0.646CACOV-3 | 0.359 | 0.325 |
| Y=-1821591.191-0.632CACOV-3+362.535TLA-4 | 0.603 | 0.559 | |
| Xilingol League | Y=1882.397-17.296*TCAI-3 | 0.451 | 0.438 |
| Y=1801.188-17.015*TCAI-3+8.815*CLAND-6 | 0.548 | 0.526 | |
| Hulun buir | Y=466.73-0.052*CA-3 | 0.422 | 0.410 |
| Y=489.315-0.086*CA-3+0.047*MCA-3 | 0.536 | 0.515 | |
| Y=500.683-0.141*CA-3+0.097*MCA-3+0.119*CASD-3 | 0.609 | 0.583 | |
| Y=630.986-0.132*CA-3+0.092*MCA-3+0.106*CASD-3-1.642*TCAI-6 | 0.649 | 0.616 |
© 2018 by the authors. Licensee MDPI, Basel, Switzerland. This article is an open access article distributed under the terms and conditions of the Creative Commons Attribution (CC BY) license (http://creativecommons.org/licenses/by/4.0/).
Share and Cite
Wang, Q.; Peng, Y.; Fan, M.; Zhang, Z.; Cui, Q. Landscape Patterns Affect Precipitation Differing across Sub-climatic Regions. Sustainability 2018, 10, 4859. https://doi.org/10.3390/su10124859
Wang Q, Peng Y, Fan M, Zhang Z, Cui Q. Landscape Patterns Affect Precipitation Differing across Sub-climatic Regions. Sustainability. 2018; 10(12):4859. https://doi.org/10.3390/su10124859
Chicago/Turabian StyleWang, Qinghui, Yu Peng, Min Fan, Zheng Zhang, and Qingtong Cui. 2018. "Landscape Patterns Affect Precipitation Differing across Sub-climatic Regions" Sustainability 10, no. 12: 4859. https://doi.org/10.3390/su10124859
APA StyleWang, Q., Peng, Y., Fan, M., Zhang, Z., & Cui, Q. (2018). Landscape Patterns Affect Precipitation Differing across Sub-climatic Regions. Sustainability, 10(12), 4859. https://doi.org/10.3390/su10124859

